Skip Content
You are currently on the new version of our website. Access the old version .
SymmetrySymmetry
  • This is an early access version, the complete PDF, HTML, and XML versions will be available soon.
  • Article
  • Open Access

30 January 2026

Research on an Ultra-Short-Term Wind Power Forecasting Model Based on Multi-Scale Decomposition and Fusion Framework

,
,
,
,
,
and
1
School of Electric Power, Inner Mongolia University of Technology, Hohhot 010080, China
2
Engineering Research Center of Large Energy Storage Technology, Ministry of Education, Hohhot 010080, China
3
School of Energy and Power Engineering, Inner Mongolia University of Technology, Hohhot 010080, China
*
Author to whom correspondence should be addressed.
This article belongs to the Topic Energy Power, Mechanical Engineering and Their Applications

Abstract

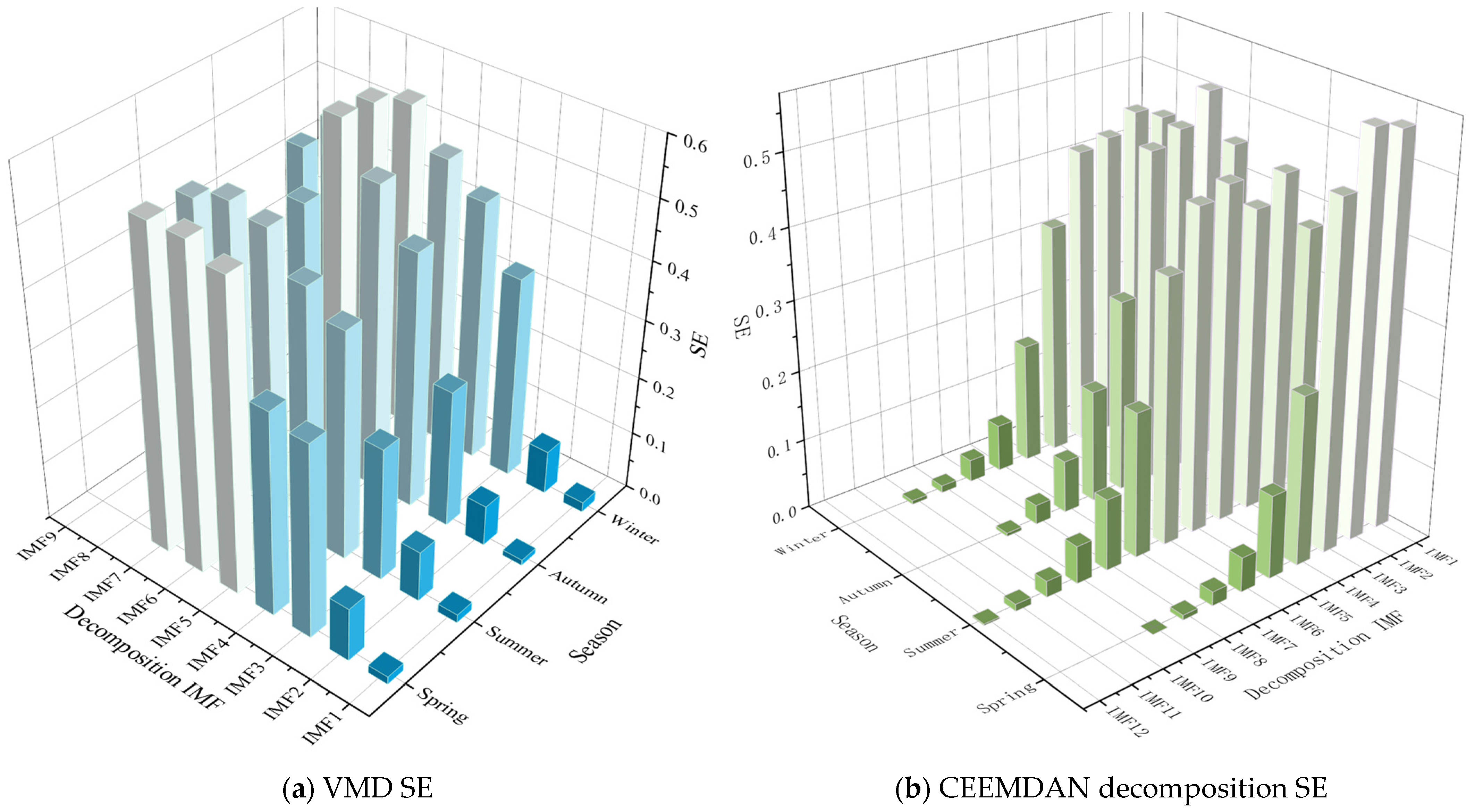
Accurate wind power prediction is of great significance for the dispatch, security, and stable operation of energy systems. It helps enhance the symmetry and coordination between the highly stochastic and volatile nature of the power generation supply side and the stringent requirements for stability and power quality on the grid demand side. To further enhance the accuracy of ultra-short-term wind power forecasting, this paper proposes a novel prediction framework based on multi-layer data decomposition, reconstruction, and a combined prediction model. A multi-stage decomposition and reconstruction technique is first employed to significantly reduce noise interference: the Sparrow Search Algorithm (SSA) is utilized to optimize the parameters for an initial Variational Mode Decomposition (VMD), followed by a secondary decomposition of the high-frequency components using Complete Ensemble Empirical Mode Decomposition with Adaptive Noise (CEEMDAN). The resulting components are then reconstructed based on Sample Entropy (SE), effectively improving the quality of the input data. Subsequently, a hybrid prediction model named IMGWO-BiTCN-BiGRU is constructed to extract spatiotemporal bidirectional features from the input sequences. Finally, simulation experiments are conducted using actual measurement data from the Sotavento wind farm in Spain. The results demonstrate that the proposed hybrid model outperforms benchmark models across all evaluation metrics, validating its effectiveness in improving forecasting accuracy and stability.

Article Metrics

Citations

Article Access Statistics

Article metric data becomes available approximately 24 hours after publication online.