Boltzmann Equation and Its Cosmological Applications
Abstract
1. Introduction
2. Boltzmann Equation
2.1. Liouville Operator
2.2. Collision Operator
2.2.1. Eigenstate for Occupation Number
2.2.2. Transition Probability
2.2.3. Expression of Collision Term
2.3. Full and Integrated Boltzmann Equation
2.4. Temperature Parameter
2.5. Limitation of the Approach by the Boltzmann Equation
3. Application to DM Abundance
3.1. Relic Abundance in Freeze-Out
3.2. Constraint on Relic Abundance
3.3. Relic Abundance in Freeze-In
3.3.1. Pair-Creation by Scattering
3.3.2. Pair-Creation by Decay
4. Application to Baryogenesis
4.1. Mean Net Baryon Number
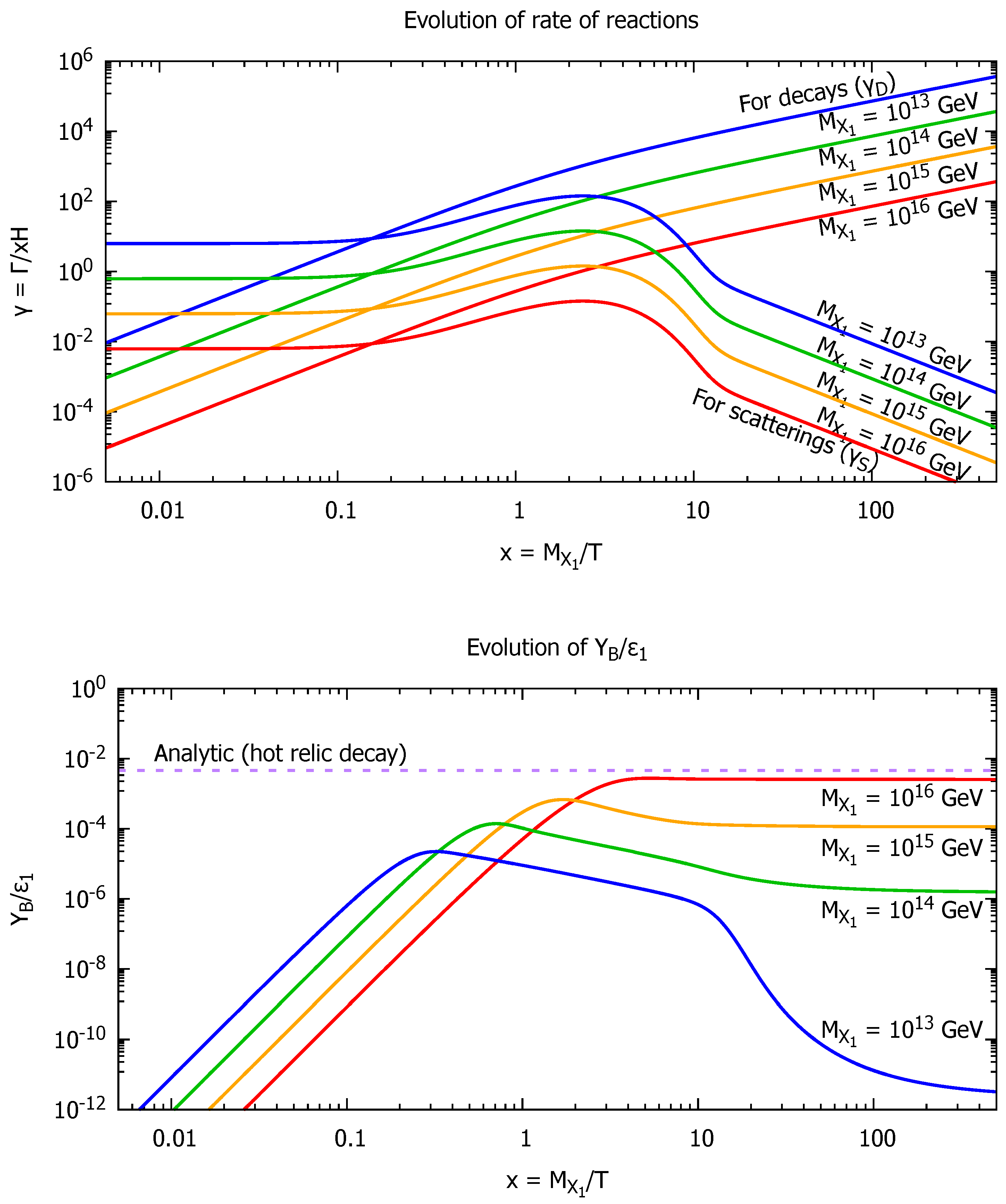
4.2. Boltzmann Equations in Baryogenesis Scenario
5. Summary
Author Contributions
Funding
Data Availability Statement
Acknowledgments
Conflicts of Interest
Appendix A. Validity of the Maxwell–Boltzmann Similarity Approximation
Appendix B. Formulae for Thermal Average by Boltzmann–Maxwell Distribution
Appendix B.1. Number Density and Modified Bessel Function
Appendix B.2. Thermally Averaged Decay Rate
Appendix B.3. Thermal Averaged Cross-Section
Appendix C. Derivation of the Boltzmann Equations in Baryogenesis Scenario
References
- Alpher, R.A.; Bethe, H.; Gamow, G. The origin of chemical elements. Phys. Rev. 1948, 73, 803–804. [Google Scholar] [CrossRef]
- Hayashi, C. Proton-Neutron Concentration Ratio in the Expanding Universe at the Stages preceding the Formation of the Elements. Prog. Theor. Phys. 1950, 5, 224–235. [Google Scholar] [CrossRef]
- Alpher, R.A.; Follin, J.W.; Herman, R.C. Physical Conditions in the Initial Stages of the Expanding Universe. Phys. Rev. 1953, 92, 1347–1361. [Google Scholar] [CrossRef]
- Burbidge, G.R. Nuclear Energy Generation and Dissipation in Galaxies. Pub. Astron. Soc. Pacific 1958, 70, 83. [Google Scholar] [CrossRef]
- Hoyle, F.; Tayler, R.J. The Mystery of the Cosmic Helium Abundance. Nature 1964, 203, 1108. [Google Scholar] [CrossRef]
- Zeldovich, Y.B. Survey of Modern Cosmology. Adv. Astron. Astrophys. 1965, 3, 241–379. [Google Scholar] [CrossRef]
- Peebles, P.J.E. Primeval Helium Abundance and the Primeval Fireball. Phys. Rev. Lett. 1966, 16, 410–413. [Google Scholar] [CrossRef]
- Peebles, P.J.E. Primordial Helium Abundance and the Primordial Fireball. 2. Astrophys. J. 1966, 146, 542–552. [Google Scholar] [CrossRef]
- Kolb, E.W.; Turner, M.S. The Early Universe. Front. Phys. 1990, 69, 1–547. [Google Scholar] [CrossRef]
- Weinberg, S. Cosmology; Oxford University Press: Oxford, UK, 2008; 544p. [Google Scholar]
- Cyburt, R.H.; Fields, B.D.; Olive, K.A.; Yeh, T.H. Big Bang Nucleosynthesis: 2015. Rev. Mod. Phys. 2016, 88, 015004. [Google Scholar] [CrossRef]
- Kompaneets, A.S. The Establishment of Thermal Equilibrium between Quanta and Electrons. Zh. Eksp. Teor. Fiz. 1956, 31, 876. [Google Scholar]
- Kompaneets, A.S. The Establishment of Thermal Equilibrium between Quanta and Electrons. Sov. Phys. JETP 1957, 4, 730. [Google Scholar]
- Weymann, R. Diffusion Approximation for a Photon Gas Interacting with a Plasma via the Compton Effect. Phys. Fluids 1965, 8, 2112. [Google Scholar] [CrossRef]
- Sunyaev, R.A.; Zeldovich, Y.B. Distortions of the background radiation spectrum. Nature 1969, 223, 721. [Google Scholar] [CrossRef]
- Zeldovich, Y.B.; Sunyaev, R.A. The Interaction of Matter and Radiation in a Hot-Model Universe. Astrophys. Space Sci. 1969, 4, 301. [Google Scholar] [CrossRef]
- Sunyaev, R.; Zeldovich, Y.B. The Spectrum of Primordial Radiation, its Distortions and their Significance. Comments Astrophys. Space Phys. 1970, 2, 66. [Google Scholar]
- Sunyaev, R.; Zeldovich, Y.B. The Observations of Relic Radiation as a Test of the Nature of X-Ray Radiation from the Clusters of Galaxies. Comments Astrophys. Space Phys. 1972, 4, 173. [Google Scholar]
- Lee, B.W.; Weinberg, S. Cosmological Lower Bound on Heavy Neutrino Masses. Phys. Rev. Lett. 1977, 39, 165–168. [Google Scholar] [CrossRef]
- Scherrer, R.J.; Turner, M.S. On the Relic, Cosmic Abundance of Stable Weakly Interacting Massive Particles. Phys. Rev. D 1986, 33, 1585, Erratum in Phys. Rev. D 1986, 34, 3263. [Google Scholar] [CrossRef]
- Hall, L.J.; Jedamzik, K.; March-Russell, J.; West, S.M. Freeze-In Production of FIMP Dark Matter. J. High Energy Phys. 2010, 03, 80. [Google Scholar] [CrossRef]
- Hochberg, Y.; Kuflik, E.; Volansky, T.; Wacker, J.G. Mechanism for Thermal Relic Dark Matter of Strongly Interacting Massive Particles. Phys. Rev. Lett. 2014, 113, 171301. [Google Scholar] [CrossRef] [PubMed]
- Griest, K.; Seckel, D. Three exceptions in the calculation of relic abundances. Phys. Rev. D 1991, 43, 3191–3203. [Google Scholar] [CrossRef]
- D’Agnolo, R.T.; Ruderman, J.T. Light Dark Matter from Forbidden Channels. Phys. Rev. Lett. 2015, 115, 061301. [Google Scholar] [CrossRef] [PubMed]
- D’Agnolo, R.T.; Pappadopulo, D.; Ruderman, J.T. Fourth Exception in the Calculation of Relic Abundances. Phys. Rev. Lett. 2017, 119, 061102. [Google Scholar] [CrossRef]
- Kim, H.; Kuflik, E. Superheavy Thermal Dark Matter. Phys. Rev. Lett. 2019, 123, 191801. [Google Scholar] [CrossRef]
- Berlin, A. WIMPs with GUTs: Dark Matter Coannihilation with a Lighter Species. Phys. Rev. Lett. 2017, 119, 121801. [Google Scholar] [CrossRef] [PubMed]
- Kramer, E.D.; Kuflik, E.; Levi, N.; Outmezguine, N.J.; Ruderman, J.T. Heavy Thermal Dark Matter from a New Collision Mechanism. Phys. Rev. Lett. 2021, 126, 081802. [Google Scholar] [CrossRef]
- Garny, M.; Heisig, J.; Lülf, B.; Vogl, S. Coannihilation without chemical equilibrium. Phys. Rev. D 2017, 96, 103521. [Google Scholar] [CrossRef]
- Frumkin, R.; Hochberg, Y.; Kuflik, E.; Murayama, H. Thermal Dark Matter from Freezeout of Inverse Decays. Phys. Rev. Lett. 2023, 130, 121001. [Google Scholar] [CrossRef]
- Frumkin, R.; Kuflik, E.; Lavie, I.; Silverwater, T. Roadmap to Thermal Dark Matter Beyond the WIMP Unitarity Bound. Phys. Rev. Lett. 2023, 130, 171001. [Google Scholar] [CrossRef]
- Yoshimura, M. Unified Gauge Theories and the Baryon Number of the Universe. Phys. Rev. Lett. 1978, 41, 281–284, Erratum in Phys. Rev. Lett. 1979, 42, 746. [Google Scholar] [CrossRef]
- Toussaint, D.; Treiman, S.B.; Wilczek, F.; Zee, A. Matter-Antimatter Accounting, Thermodynamics, and Black Hole Radiation. Phys. Rev. D 1979, 19, 1036–1045. [Google Scholar] [CrossRef]
- Dimopoulos, S.; Susskind, L. On the Baryon Number of the Universe. Phys. Rev. D 1978, 18, 4500–4509. [Google Scholar] [CrossRef]
- Weinberg, S. Cosmological Production of Baryons. Phys. Rev. Lett. 1979, 42, 850–853. [Google Scholar] [CrossRef]
- Nanopoulos, D.V.; Weinberg, S. Mechanisms for Cosmological Baryon Production. Phys. Rev. D 1979, 20, 2484. [Google Scholar] [CrossRef]
- Yoshimura, M. Origin of Cosmological Baryon Asymmetry. Phys. Lett. B 1979, 88, 294–298. [Google Scholar] [CrossRef]
- Fukugita, M.; Yanagida, T. Baryogenesis without Grand Unification. Phys. Lett. B 1986, 174, 45–47. [Google Scholar] [CrossRef]
- Cohen, A.G.; Kaplan, D.B.; Nelson, A.E. Weak Scale Baryogenesis. Phys. Lett. B 1990, 245, 561–564. [Google Scholar] [CrossRef]
- Cohen, A.G.; Kaplan, D.B.; Nelson, A.E. Baryogenesis at the weak phase transition. Nucl. Phys. B 1991, 349, 727–742. [Google Scholar] [CrossRef]
- Rubakov, V.A.; Shaposhnikov, M.E. Electroweak baryon number nonconservation in the early universe and in high-energy collisions. Usp. Fiz. Nauk 1996, 166, 493–537. [Google Scholar] [CrossRef]
- Affleck, I.; Dine, M. A New Mechanism for Baryogenesis. Nucl. Phys. B 1985, 249, 361–380. [Google Scholar] [CrossRef]
- Dine, M.; Randall, L.; Thomas, S.D. Baryogenesis from flat directions of the supersymmetric standard model. Nucl. Phys. B 1996, 458, 291–326. [Google Scholar] [CrossRef]
- Akita, K.; Yamaguchi, M. A precision calculation of relic neutrino decoupling. J. Cosmol. Astropart. Phys. 2020, 2020, 12. [Google Scholar] [CrossRef]
- Kamada, K.; Yamamoto, N.; Yang, D.L. Chiral effects in astrophysics and cosmology. Prog. Part. Nucl. Phys. 2023, 129, 104016. [Google Scholar] [CrossRef]
- Ai, W.Y.; Beniwal, A.; Maggi, A.; Marsh, D.J.E. From QFT to Boltzmann: Freeze-in in the presence of oscillating condensates. J. High Energy Phys. 2024, 2, 122. [Google Scholar] [CrossRef]
- Baym, G.; Kadanoff, L.P. Conservation Laws and Correlation Functions. Phys. Rev. 1961, 124, 287–299. [Google Scholar] [CrossRef]
- Baym, G. Selfconsistent approximation in many body systems. Phys. Rev. 1962, 127, 1391–1401. [Google Scholar] [CrossRef]
- Chou, K.C.; Su, Z.B.; Hao, B.L.; Yu, L. Equilibrium and Nonequilibrium Formalisms Made Unified. Phys. Rept. 1985, 118, 1–131. [Google Scholar] [CrossRef]
- Hamaguchi, K.; Moroi, T.; Mukaida, K. Boltzmann equation for non-equilibrium particles and its application to non-thermal dark matter production. J. High Energy Phys. 2012, 1, 83. [Google Scholar] [CrossRef]
- Binder, T.; Covi, L.; Mukaida, K. Dark Matter Sommerfeld-enhanced annihilation and Bound-state decay at finite temperature. Phys. Rev. D 2018, 98, 115023. [Google Scholar] [CrossRef]
- Riotto, A. Towards a nonequilibrium quantum field theory approach to electroweak baryogenesis. Phys. Rev. D 1996, 53, 5834–5841. [Google Scholar] [CrossRef] [PubMed]
- Buchmuller, W.; Fredenhagen, S. Quantum mechanics of baryogenesis. Phys. Lett. B 2000, 483, 217–224. [Google Scholar] [CrossRef]
- Garbrecht, B.; Prokopec, T.; Schmidt, M.G. Coherent baryogenesis. Phys. Rev. Lett. 2004, 92, 061303. [Google Scholar] [CrossRef]
- Simone, A.D.; Riotto, A. Quantum Boltzmann Equations and Leptogenesis. J. Cosmol. Astropart. Phys. 2007, 8, 2. [Google Scholar] [CrossRef][Green Version]
- Cirigliano, V.; Lee, C.; Ramsey-Musolf, M.J.; Tulin, S. Flavored Quantum Boltzmann Equations. Phys. Rev. D 2010, 81, 103503. [Google Scholar] [CrossRef]
- Beneke, M.; Garbrecht, B.; Fidler, C.; Herranen, M.; Schwaller, P. Flavoured Leptogenesis in the CTP Formalism. Nucl. Phys. B 2011, 843, 177–212. [Google Scholar] [CrossRef]
- Drewes, M.; Mendizabal, S.; Weniger, C. The Boltzmann equation from quantum field theory. Phys. Lett. B 2013, 718, 1119–1124. [Google Scholar] [CrossRef]
- Berges, J. Introduction to nonequilibrium quantum field theory. AIP Conf. Proc. 2004, 739, 3–62. [Google Scholar] [CrossRef]
- Garbrecht, B. Why is there more matter than antimatter? Calculational methods for leptogenesis and electroweak baryogenesis. Prog. Part. Nucl. Phys. 2020, 110, 103727. [Google Scholar] [CrossRef]
- Srednicki, M.; Watkins, R.; Olive, K.A. Calculations of Relic Densities in the Early Universe. Nucl. Phys. B 1988, 310, 693. [Google Scholar] [CrossRef]
- Gondolo, P.; Gelmini, G. Cosmic abundances of stable particles: Improved analysis. Nucl. Phys. B 1991, 360, 145–179. [Google Scholar] [CrossRef]
- Hindmarsh, M.; Philipsen, O. WIMP dark matter and the QCD equation of state. Phys. Rev. D 2005, 71, 087302. [Google Scholar] [CrossRef]
- Drees, M.; Hajkarim, F.; Schmitz, E.R. The Effects of QCD Equation of State on the Relic Density of WIMP Dark Matter. J. Cosmol. Astropart. Phys. 2015, 6, 25. [Google Scholar] [CrossRef]
- Laine, M.; Meyer, M. Standard Model thermodynamics across the electroweak crossover. J. Cosmol. Astropart. Phys. 2015, 7, 35. [Google Scholar] [CrossRef]
- Borsanyi, S.; Fodor, Z.; Guenther, J.; Kampert, K.H.; Katz, S.D.; Kawanai, T.; Kovacs, T.G.; Mages, S.W.; Pasztor, A.; Pittler, F.; et al. Calculation of the axion mass based on high-temperature lattice quantum chromodynamics. Nature 2016, 539, 69–71. [Google Scholar] [CrossRef]
- Saikawa, K.; Shirai, S. Primordial gravitational waves, precisely: The role of thermodynamics in the Standard Model. J. Cosmol. Astropart. Phys. 2018, 5, 35. [Google Scholar] [CrossRef]
- Saikawa, K.; Shirai, S. Precise WIMP Dark Matter Abundance and Standard Model Thermodynamics. J. Cosmol. Astropart. Phys. 2020, 8, 11. [Google Scholar] [CrossRef]
- Cline, J.M.; Kainulainen, K.; Scott, P.; Weniger, C. Update on scalar singlet dark matter. Phys. Rev. D 2013, 88, 055025. [Google Scholar] [CrossRef]
- Arkani-Hamed, N.; Delgado, A.; Giudice, G.F. The Well-tempered neutralino. Nucl. Phys. B 2006, 741, 108–130. [Google Scholar] [CrossRef][Green Version]
- Tulin, S.; Yu, H.B.; Zurek, K.M. Three Exceptions for Thermal Dark Matter with Enhanced Annihilation to γγ. Phys. Rev. D 2013, 87, 036011. [Google Scholar] [CrossRef]
- Ibarra, A.; Pierce, A.; Shah, N.R.; Vogl, S. Anatomy of Coannihilation with a Scalar Top Partner. Phys. Rev. D 2015, 91, 095018. [Google Scholar] [CrossRef]
- Bringmann, T.; Hofmann, S. Thermal decoupling of WIMPs from first principles. J. Cosmol. Astropart. Phys. 2007, 4, 16, Erratum in J. Cosmol. Astropart. Phys. 2016, 3, E02. [Google Scholar] [CrossRef]
- Bringmann, T. Particle Models and the Small-Scale Structure of Dark Matter. New J. Phys. 2009, 11, 105027. [Google Scholar] [CrossRef]
- Binder, T.; Bringmann, T.; Gustafsson, M.; Hryczuk, A. Early kinetic decoupling of dark matter: When the standard way of calculating the thermal relic density fails. Phys. Rev. D 2017, 96, 115010, Erratum in Phys. Rev. D 2020, 101, 099901. [Google Scholar] [CrossRef]
- Ala-Mattinen, K.; Kainulainen, K. Precision calculations of dark matter relic abundance. J. Cosmol. Astropart. Phys. 2020, 9, 40. [Google Scholar] [CrossRef]
- Ala-Mattinen, K.; Heikinheimo, M.; Kainulainen, K.; Tuominen, K. Momentum distributions of cosmic relics: Improved analysis. Phys. Rev. D 2022, 105, 12. [Google Scholar] [CrossRef]
- Aghanim, N.; Akrami, Y.; Arroja, F.; Ashdown, M.; Aumont, J.; Baccigalupi, C.; Ballardini, M.; Banday, A.J.; Barreiro, R.B.; Bartolo, N.; et al. Planck 2018 results. I. Overview and the cosmological legacy of Planck. Astron. Astrophys. 2020, 641, A1. [Google Scholar] [CrossRef]
- Roszkowski, L.; Sessolo, E.M.; Trojanowski, S. WIMP dark matter candidates and searches—Current status and future prospects. Rept. Prog. Phys. 2018, 81, 066201. [Google Scholar] [CrossRef]
- Bernal, N.; Heikinheimo, M.; Tenkanen, T.; Tuominen, K.; Vaskonen, V. The Dawn of FIMP Dark Matter: A Review of Models and Constraints. Int. J. Mod. Phys. A 2017, 32, 1730023. [Google Scholar] [CrossRef]
- Chu, X.; Hambye, T.; Tytgat, M.H.G. The Four Basic Ways of Creating Dark Matter Through a Portal. J. Cosmol. Astropart. Phys. 2012, 5, 34. [Google Scholar] [CrossRef]
- Sakharov, A.D. Violation of CP Invariance, C asymmetry, and baryon asymmetry of the universe. Pisma Zh. Eksp. Teor. Fiz. 1967, 5, 32–35. [Google Scholar] [CrossRef]
- Davidson, S.; Nardi, E.; Nir, Y. Leptogenesis. Phys. Rept. 2008, 466, 105–177. [Google Scholar] [CrossRef]
- Anisimov, A.; Buchmüller, W.; Drewes, M.; Mendizabal, S. Quantum Leptogenesis I. Annals Phys. 2011, 326, 1998–2038, Erratum in Annals Phys. 2011, 338, 376–377. [Google Scholar] [CrossRef]
- Buchmuller, W.; Bari, P.D.; Plumacher, M. Leptogenesis for pedestrians. Annals Phys. 2005, 315, 305–351. [Google Scholar] [CrossRef]


| Species | Particle Statistic | #B |
|---|---|---|
| Chiral fermion (Majorana) | − | |
| Chiral fermion | b | |
| Complex scalar | 0 |
| Process | |
|---|---|
| b | |
Disclaimer/Publisher’s Note: The statements, opinions and data contained in all publications are solely those of the individual author(s) and contributor(s) and not of MDPI and/or the editor(s). MDPI and/or the editor(s) disclaim responsibility for any injury to people or property resulting from any ideas, methods, instructions or products referred to in the content. |
© 2025 by the authors. Licensee MDPI, Basel, Switzerland. This article is an open access article distributed under the terms and conditions of the Creative Commons Attribution (CC BY) license (https://creativecommons.org/licenses/by/4.0/).
Share and Cite
Enomoto, S.; Su, Y.-H.; Zheng, M.-Z.; Zhang, H.-H. Boltzmann Equation and Its Cosmological Applications. Symmetry 2025, 17, 921. https://doi.org/10.3390/sym17060921
Enomoto S, Su Y-H, Zheng M-Z, Zhang H-H. Boltzmann Equation and Its Cosmological Applications. Symmetry. 2025; 17(6):921. https://doi.org/10.3390/sym17060921
Chicago/Turabian StyleEnomoto, Seishi, Yu-Hang Su, Man-Zhu Zheng, and Hong-Hao Zhang. 2025. "Boltzmann Equation and Its Cosmological Applications" Symmetry 17, no. 6: 921. https://doi.org/10.3390/sym17060921
APA StyleEnomoto, S., Su, Y.-H., Zheng, M.-Z., & Zhang, H.-H. (2025). Boltzmann Equation and Its Cosmological Applications. Symmetry, 17(6), 921. https://doi.org/10.3390/sym17060921

