Post-Processing of High Formwork Monitoring Data Based on the Back Propagation Neural Networks Model and the Autoregressive—Moving-Average Model
Abstract
:1. Introduction
2. Methodology
2.1. ARMA (p, q) Model
2.2. Back Propagation Neural Networks (BPNN)
3. Model Establishment
3.1. Simulation Settings
3.2. Pre-Simulation
4. Performance on Simulated Data
4.1. Different Coefficients
4.2. Different Length
4.3. Different Order
5. Application
5.1. High Formwork Safety Monitoring System
5.2. Application in Stress Sequence
6. Conclusions
- For each system, the accuracy rate of the proposed model order selection method is above 90%, and both show better performance than the AIC or the BIC. At the same time, the BIC criterion is better than the AIC when the model order is lower;
- In the Monte Carlo simulation, changing the model’s coefficients will affect the accuracy of the BIC judgment, the instability increases significantly in the higher-order model. However, the order judgment method of BPNN still has an accuracy rate of more than 90%;
- The mathematically symmetric ARMA model is more likely to make errors in the BPNN method, so this type of model needs to be judged in conjunction with the MSE descent gradient.
- The judgment efficiency of AIC and BIC will increase as the length of the time series increases. The proposed BPNN order judgment method is not sensitive to the change of sequence length and has a relatively high accuracy rate;
- For changes in the order of the model, both AIC and BIC are more sensitive. In particular, the BIC cannot be judged correctly when the model order is high. The BPNN still maintains a good judgment effect;
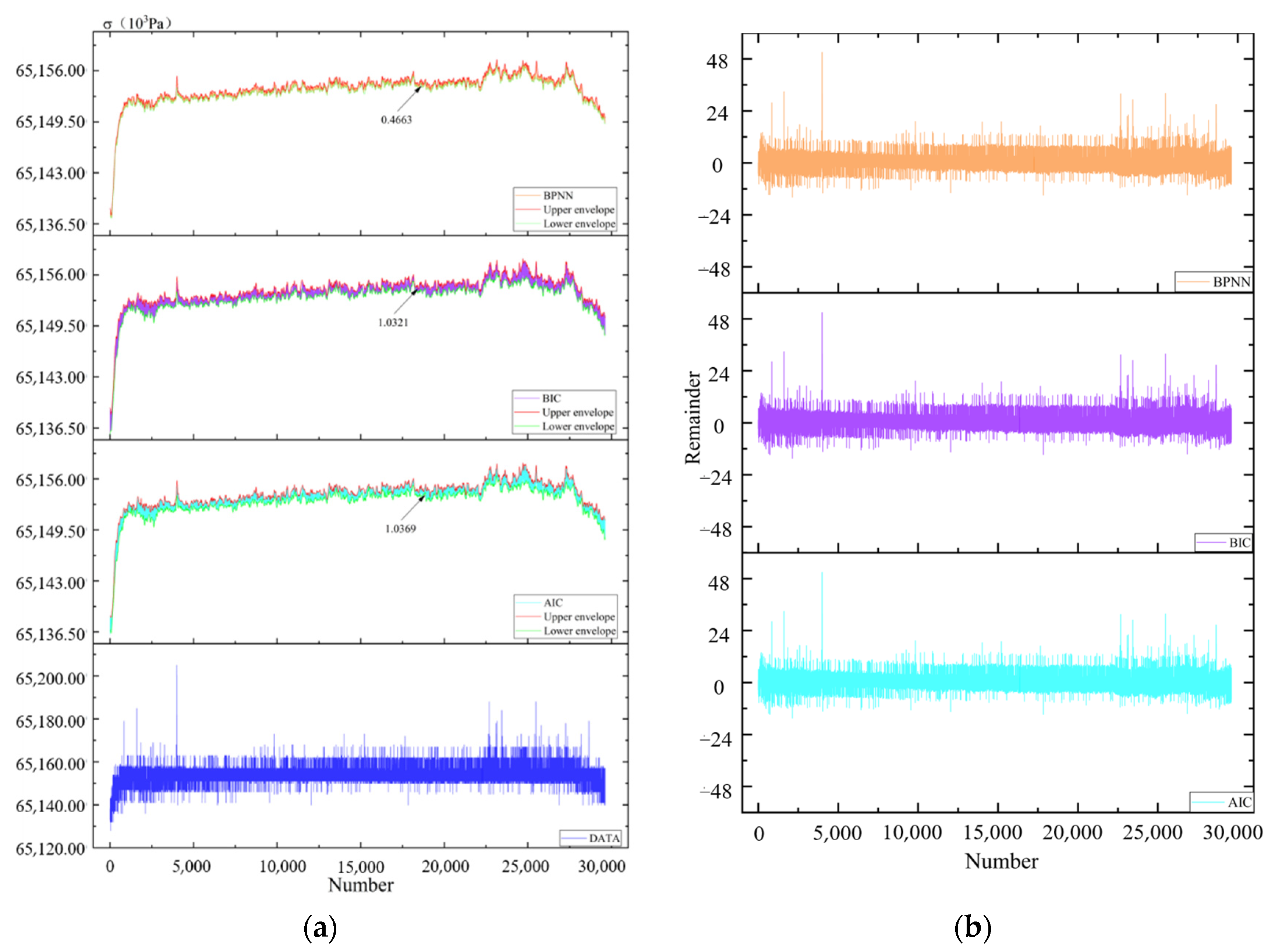
- For the measured data used in the paper that meets the requirements of causality, the judgment effect of BPNN is not significantly different from that of the BIC, but the AIC is obviously inferior. When the time series does not meet the causality requirements, we will transform it into a stationary series. The analysis result shows that the processing result of BPNN increased by about 50%;
- The stress sequence of the high formwork can be processed by the ARMA process to obtain its change trend and noise sequence. This is feasible for obtaining effective information on the stress sequence.
Author Contributions
Funding
Institutional Review Board Statement
Informed Consent Statement
Data Availability Statement
Conflicts of Interest
References
- Beale, R.G. Scaffold research—A review. J. Constr. Steel Res. 2014, 98, 188–200. [Google Scholar] [CrossRef] [Green Version]
- Yang, Y.; Cheng, Q.; Zhu, Y.; Wang, L.; Jin, R. Feasibility Study of Tractor-Test Vehicle Technique for Practical Structural Condition Assessment of Beam-Like Bridge Deck. Remote Sens. 2020, 12, 114. [Google Scholar] [CrossRef] [Green Version]
- Wu, W.; Yang, H.; Chew, D.A.S.; Yang, S.-H.; Gibb, A.G.F.; Li, Q. Towards an autonomous real-time tracking system of near-miss accidents on construction sites. Autom. Constr. 2010, 19, 134–141. [Google Scholar] [CrossRef]
- Huang, Y.L.; Chen, W.F.; Chen, H.J.; Yen, T.; Kao, Y.G.; Lin, C.Q. A monitoring method for scaffold-frame shoring systems for elevated concrete formwork. Comput. Struct. 2000, 78, 681–690. [Google Scholar] [CrossRef]
- Entezami, A.; Sarmadi, H.; Behkamal, B.; Mariani, S. Big Data Analytics and Structural Health Monitoring: A Statistical Pattern Recognition-Based Approach. Sensors 2020, 20, 2328. [Google Scholar] [CrossRef] [PubMed] [Green Version]
- Yang, Y.; Yang, Y.B.; Chen, Z.X. Seismic damage assessment of RC structures under shaking table tests using the modified direct stiffness calculation method. Eng. Struct. 2017, 131, 574–586. [Google Scholar] [CrossRef]
- Yang, Y.; Xiang, C.; Jiang, M.; Li, W.; Kuang, Y. Bridge Damage Identification Method Considering Road Surface Roughness by Using Indirect Measurement Technique. China J. Highw. Transp. 2019, 32, 99–106. [Google Scholar]
- Bai, J.; Chen, H.; Zhao, J.; Liu, M.; Jin, S. Seismic design and subassemblage tests of buckling-restrained braced RC frames with shear connector gusset connections. Eng. Struct. 2021, 234, 112018. [Google Scholar] [CrossRef]
- Chen, H.; Bai, J. Seismic performance evaluation of buckling-restrained braced RC frames considering stiffness and strength requirements and low-cycle fatigue behaviors. Eng. Struct. 2021, 239, 112359. [Google Scholar] [CrossRef]
- Qin, Y.; Shu, G.P.; Zhou, G.G.; Han, J.H. Compressive behavior of double skin composite wall with different plate thicknesses. J. Constr. Steel Res. 2019, 157, 297–313. [Google Scholar] [CrossRef]
- Yao, G.; Wu, C.; Yang, Y. Scientometric analysis for mechanical performance on broken-line long-span steel structure in construction considering geometric nonlinearity. Symmetry 2021, 137, 1229. [Google Scholar] [CrossRef]
- Wang, Y.H.; Liu, Y.J.; Zhou, X.H. Seismic behavior of steel coupling beam with different buckling constraint materials. Constr. Build. Mater. 2017, 149, 111–129. [Google Scholar] [CrossRef]
- Huang, N.E.; Shen, Z.; Long, S.R.; Wu, M.L.C.; Shih, H.H.; Zheng, Q.N.; Yen, N.C.; Tung, C.C.; Liu, H.H. The empirical mode decomposition and the Hilbert spectrum for nonlinear and non-stationary time series analysis. Proc. R. Soc. Lond. Ser. A Math. Phys. Eng. Sci. 1998, 454, 903–995. [Google Scholar] [CrossRef]
- Bellahsene, H.; Taleb-Ahmed, A. ARMA order model detection using minimum of Kurtosis: Application on seismic data. Arab. J. Geosci. 2018, 11, 1–7. [Google Scholar] [CrossRef]
- Yang, Y.; Li, C.; Ling, Y.; Tan, X.; Luo, K. Research on new damage detection method of frame structures based on generalized pattern search algorithm. Chin. J. Sci. Instrum. 2021, 42, 123–131. [Google Scholar]
- Momin, B.; Chavan, G. Univariate Time Series Models for Forecasting Stationary and Non-stationary Data: A Brief Review. Inf. Commun. Technol. Intell. Syst. 2018, 84, 219–226. [Google Scholar]
- Brockwell, P.J.; Davis, R.A.; Brockwell, P.J.; Davis, R.A. ARMA Models. In Introduction to Time Series and Forecasting, 3rd ed.; Springer Texts in Statistics; Springer: Cham, Switzerland, 2016; Volume 3, pp. 73–96. [Google Scholar]
- Akaike, H. A Bayesian analysis of the minimum AIC procedure. Ann. I Stat. Math. 1978, 30, 9–14. [Google Scholar] [CrossRef]
- Akaike, H. Statistical predictor identification. Ann. I Stat. Math. 1970, 22, 203–217. [Google Scholar] [CrossRef]
- Hossain, M.-B.; Moon, J.; Chon, K.H. Estimation of ARMA Model Order via Artificial Neural Network for Modeling Physiological Systems. IEEE Access 2020, 8, 186813–186820. [Google Scholar] [CrossRef]
- Hang, J.; Zhang, J.; Cheng, M. Fault diagnosis of wind turbine based on multi-sensors information fusion technology. IET Renew. Power Gener. 2014, 8, 289–298. [Google Scholar] [CrossRef]
- Qian, X.; Iop. Parameter prediction based on Improved Process neural network and ARMA error compensation in Evaporation Process. In IOP Conference Series: Earth and Environmental Science; IOP Publishing: Bristol, UK, 2018; Volume 108, p. 022078. [Google Scholar] [CrossRef]
- Kocak, C.; Dalar, A.Z.; Yolcu, O.C.; Bas, E.; Egrioglu, E. A new fuzzy time series method based on an ARMA-type recurrent Pi-Sigma artificial neural network. Soft Comput. 2020, 24, 8243–8252. [Google Scholar] [CrossRef]
- Khashei, M.; Bijari, M. An artificial neural network (p, d, q) model for timeseries forecasting. Expert Syst. Appl. 2010, 37, 479–489. [Google Scholar] [CrossRef]
- Chon, K.H.; Cohen, R.J. Linear and nonlinear ARMA model parameter estimation using an artificial neural network. IEEE Trans. Biomed. Eng. 1997, 44, 168–174. [Google Scholar] [CrossRef] [PubMed]
- Yang, Y.; Lin, Y.; Bo, W.; Gang, Y.; Hang, L.; Soltys, R. Safety Prediction Using Vehicle Safety Evaluation Model Passing on Long-Span Bridge with Fully Connected Neural Network. Adv. Civil Eng. 2019, 2019, 1–12. [Google Scholar] [CrossRef]
- Yao, G.; Guo, H.; Yang, Y.; Xiang, C.; Robert, S. Dynamic Characteristics and Time-History Analysis of Hydraulic Climbing Formwork for Seismic Motions. Adv. Civil Eng. 2021, 2021, 1–17. [Google Scholar]
- Zipser, D.; Andersen, R.A. A back-propagation programmed network that simulates response properties of a subset of posterior parietal neurons. Nature 1988, 331, 679–684. [Google Scholar] [CrossRef]
- Xu, L. Least mean-square error reconstruction principle for self-organizing neural-nets. Neural Netw. 1993, 6, 627–648. [Google Scholar] [CrossRef]
- LeCun, Y.; Bengio, Y.; Hinton, G. Deep learning. Nature 2015, 521, 436–444. [Google Scholar] [CrossRef]
- Yao, X.; Liu, Y. A new evolutionary system for evolving artificial neural networks. IEEE Trans. Neural Netw. 1997, 8, 694–713. [Google Scholar] [CrossRef] [Green Version]
- Graupe, D.; Krause, D.J.; Moore, J.B. Identification of autoregressive moving-average parameters of time series. IEEE Trans. Autom. Control 1975, AC20, 104–107. [Google Scholar] [CrossRef]
- Martinelli, G.; Orlandi, G.; Burrascano, P. ARMA estimation by the classical predictor. IEEE Trans. Circuits Syst. 1985, 32, 506–507. [Google Scholar] [CrossRef]
- Lee, K.C.; Oh, S.B. An intelligent approach to time series identification by a neural network-driven decision tree classifier. Decis. Support Syst. 1996, 17, 183–197. [Google Scholar] [CrossRef]
- Kingma, D.P.; Ba, J. Adam: A Method for Stochastic Optimization. In Proceedings of the 3rd International Conference on Learning Representations, San Diego, CA, USA, 7 May 2015. [Google Scholar]
- Stanley, K.O.; Clune, J.; Lehman, J.; Miikkulainen, R. Designing neural networks through neuroevolution. Nat. Mach. Intell. 2019, 1, 24–35. [Google Scholar] [CrossRef]
- Guenther, F.; Fritsch, S. Neuralnet: Training of Neural Networks. R J. 2010, 2, 30–38. [Google Scholar] [CrossRef] [Green Version]
- Gu, J.; Wang, Z.; Kuen, J.; Ma, L.; Shahroudy, A.; Shuai, B.; Liu, T.; Wang, X.; Wang, G.; Cai, J.; et al. Recent advances in convolutional neural networks. Pattern Recognit. 2018, 77, 354–377. [Google Scholar] [CrossRef] [Green Version]
- Wang, K.; Wu, Y.; Gao, Y.; Li, Y. New methods to estimate the observed noise variance for an ARMA model. Measurement 2017, 99, 164–170. [Google Scholar] [CrossRef]
- Zhang, Y.; Kim, C.-W.; Zhang, L.; Bai, Y.; Yang, H.; Xu, X.; Zhang, Z. Long term structural health monitoring for old deteriorated bridges: A copula-ARMA approach. Smart Struct. Syst. 2020, 25, 285–299. [Google Scholar]
- De Livera, A.M.; Hyndman, R.J.; Snyder, R.D. Forecasting Time Series With Complex Seasonal Patterns Using Exponential Smoothing. J. Am. Stat. Assoc. 2011, 106, 1513–1527. [Google Scholar] [CrossRef] [Green Version]
- Valipour, M.; Banihabib, M.E.; Behbahani, S.M.R. Comparison of the ARMA, ARIMA, and the autoregressive artificial neural network models in forecasting the monthly inflow of Dez dam reservoir. J. Hydrol. 2013, 476, 433–441. [Google Scholar] [CrossRef]













| (a) ARMA (1, 2) | ||||||
| Number | ||||||
| 1 | 0.68598 | 0.52501 | 0.30802 | |||
| 2 | 0.64442 | 0.31632 | 0.25568 | |||
| 3 | 0.6858 | 0.52559 | 0.43188 | |||
| 4 | 0.69234 | 0.16724 | 0.36293 | |||
| 5 | 0.64172 | 0.40218 | 0.26578 | |||
| 6 | 0.69125 | 0.10683 | 0.69129 | |||
| 7 | 0.67355 | 0.13828 | 0.39175 | |||
| 8 | 0.58189 | 0.44822 | 0.29035 | |||
| 9 | 0.65346 | 0.5068 | 0.37852 | |||
| 10 | 0.65751 | 0.46853 | 0.31898 | |||
| 11 | 0.57612 | 0.55828 | 0.1989 | |||
| 12 | 0.5549 | 0.5677 | 0.36828 | |||
| 13 | 0.57328 | 0.16801 | 0.40967 | |||
| 14 | 0.62506 | 0.11917 | 0.45852 | |||
| 15 | 0.64303 | 0.12413 | 0.6465 | |||
| 16 | 0.66412 | 0.18832 | 0.58978 | |||
| 17 | 0.52794 | 0.59022 | 0.20596 | |||
| 18 | 0.65484 | 0.54687 | 0.44928 | |||
| 19 | 0.50026 | 0.14956 | 0.65269 | |||
| 20 | 0.57071 | 0.65167 | 0.23093 | |||
| 21 | 0.51364 | 0.23927 | 0.27787 | |||
| 22 | 0.58889 | 0.18203 | 0.58252 | |||
| 23 | 0.5552 | 0.19295 | 0.54223 | |||
| 24 | 0.66197 | 0.22495 | 0.50503 | |||
| 25 | 0.69481 | 0.31173 | 0.66661 | |||
| (b) ARMA (2, 3) | ||||||
| Number | ||||||
| 1 | 0.56187 | 0.11088 | 0.31731 | 0.10306 | 0.44403 | |
| 2 | 0.29368 | 0.22157 | 0.17051 | 0.27467 | 0.32838 | |
| 3 | 0.19265 | 0.66323 | 0.48151 | 0.26584 | 0.21114 | |
| 4 | 0.28469 | 0.26203 | 0.227 | 0.20943 | 0.46187 | |
| 5 | 0.12039 | 0.54207 | 0.12816 | 0.50777 | 0.13457 | |
| 6 | 0.50685 | 0.18235 | 0.11274 | 0.22457 | 0.43534 | |
| 7 | 0.25565 | 0.66183 | 0.12575 | 0.16069 | 0.66979 | |
| 8 | 0.24022 | 0.26447 | 0.26283 | 0.27753 | 0.25457 | |
| 9 | 0.30066 | 0.25647 | 0.25259 | 0.10025 | 0.44024 | |
| 10 | 0.23385 | 0.27877 | 0.29301 | 0.36222 | 0.33182 | |
| 11 | 0.52257 | 0.24083 | 0.26788 | 0.29762 | 0.27343 | |
| 12 | 0.37619 | 0.15621 | 0.30297 | 0.13064 | 0.25225 | |
| 13 | 0.29519 | 0.36147 | 0.11577 | 0.21734 | 0.46065 | |
| 14 | 0.41579 | 0.42125 | 0.18491 | 0.10473 | 0.568 | |
| 15 | 0.25602 | 0.57018 | 0.13555 | 0.14648 | 0.5147 | |
| 16 | 0.37881 | 0.45223 | 0.18419 | 0.21338 | 0.48166 | |
| 17 | 0.33787 | 0.31189 | 0.20047 | 0.27474 | 0.24118 | |
| 18 | 0.40362 | 0.45338 | 0.2618 | 0.2151 | 0.3823 | |
| 19 | 0.15286 | 0.38683 | 0.51148 | 0.15672 | 0.16223 | |
| 20 | 0.39763 | 0.16128 | 0.14097 | 0.29433 | 0.26854 | |
| 21 | 0.32716 | 0.51292 | 0.1052 | 0.14028 | 0.63252 | |
| 22 | 0.22749 | 0.28874 | 0.16985 | 0.16377 | 0.46749 | |
| 23 | 0.41344 | 0.43832 | 0.42688 | 0.23569 | 0.27483 | |
| 24 | 0.26962 | 0.64428 | 0.50579 | 0.25514 | 0.10056 | |
| 25 | 0.62415 | 0.11642 | 0.21241 | 0.23787 | 0.27413 | |
| (c) ARMA (4, 2) | ||||||
| Number | ||||||
| 1 | 0.1173 | 0.14669 | 0.11194 | 0.28898 | 0.26858 | 0.27696 |
| 2 | 0.10356 | 0.38866 | 0.27642 | 0.22115 | 0.34628 | 0.58485 |
| 3 | 0.19003 | 0.10435 | 0.16407 | 0.19478 | 0.35867 | 0.35484 |
| 4 | 0.19558 | 0.17231 | 0.18333 | 0.40822 | 0.52755 | 0.18906 |
| 5 | 0.19987 | 0.1165 | 0.12641 | 0.47265 | 0.52957 | 0.18639 |
| 6 | 0.16881 | 0.14111 | 0.4436 | 0.1778 | 0.26526 | 0.59525 |
| 7 | 0.1385 | 0.1794 | 0.1131 | 0.42791 | 0.35514 | 0.29305 |
| 8 | 0.12084 | 0.26884 | 0.13637 | 0.38152 | 0.37562 | 0.20007 |
| 9 | 0.14009 | 0.1314 | 0.14363 | 0.50568 | 0.35714 | 0.21889 |
| 10 | 0.11697 | 0.17643 | 0.19267 | 0.19714 | 0.57655 | 0.28871 |
| 11 | 0.32149 | 0.14979 | 0.13027 | 0.35725 | 0.19231 | 0.45819 |
| 12 | 0.11596 | 0.1146 | 0.29422 | 0.22075 | 0.6898 | 0.30744 |
| 13 | 0.19825 | 0.2323 | 0.111 | 0.12595 | 0.107 | 0.58112 |
| 14 | 0.15196 | 0.10187 | 0.22066 | 0.45185 | 0.23608 | 0.36163 |
| 15 | 0.27141 | 0.1968 | 0.15257 | 0.28422 | 0.57048 | 0.39562 |
| 16 | 0.11062 | 0.22939 | 0.37438 | 0.25847 | 0.68981 | 0.19552 |
| 17 | 0.14397 | 0.10805 | 0.39279 | 0.15033 | 0.1266 | 0.458 |
| 18 | 0.19712 | 0.20237 | 0.28527 | 0.12375 | 0.23074 | 0.68393 |
| 19 | 0.18443 | 0.1625 | 0.10434 | 0.32789 | 0.33492 | 0.2104 |
| 20 | 0.4223 | 0.19247 | 0.11811 | 0.21622 | 0.22415 | 0.35038 |
| 21 | 0.11076 | 0.26585 | 0.42486 | 0.11908 | 0.16995 | 0.58259 |
| 22 | 0.15044 | 0.19221 | 0.14957 | 0.19805 | 0.38759 | 0.4243 |
| 23 | 0.11706 | 0.13743 | 0.14761 | 0.14352 | 0.10387 | 0.51243 |
| 24 | 0.17383 | 0.1815 | 0.17688 | 0.30087 | 0.55079 | 0.35127 |
| 25 | 0.23135 | 0.23691 | 0.10951 | 0.37275 | 0.13111 | 0.42879 |
| Wireless Receiver | Wireless Inclinometer | Wireless Load Meter | Wireless Displacement Meter | |
|---|---|---|---|---|
| Version | WH-GNSS | WH-WTS | WH-WLS | WH-WDS |
| Communication interface | 10 M, RS232 | NBTOT | NB-IOT/LORA | NBTOT |
| Power consumption | <20 uA | <60 uA | <60 uA | <60 uA |
| Positioning accuracy | Plane: ±3 mm Elevation: ±5 mm | ±0.01° | 0.05 | 0.2%F·S |
| Operating temperature | −30~70 °C | −40~85 °C | −20~65 °C | −20~65 °C |
| Producer | HUAHEIOT | HUAHEIOT | HUAHEIOT | HUAHEIOT |
| Country | China | China | China | China |
Publisher’s Note: MDPI stays neutral with regard to jurisdictional claims in published maps and institutional affiliations. |
© 2021 by the authors. Licensee MDPI, Basel, Switzerland. This article is an open access article distributed under the terms and conditions of the Creative Commons Attribution (CC BY) license (https://creativecommons.org/licenses/by/4.0/).
Share and Cite
Yang, Y.; Yang, L.; Yao, G. Post-Processing of High Formwork Monitoring Data Based on the Back Propagation Neural Networks Model and the Autoregressive—Moving-Average Model. Symmetry 2021, 13, 1543. https://doi.org/10.3390/sym13081543
Yang Y, Yang L, Yao G. Post-Processing of High Formwork Monitoring Data Based on the Back Propagation Neural Networks Model and the Autoregressive—Moving-Average Model. Symmetry. 2021; 13(8):1543. https://doi.org/10.3390/sym13081543
Chicago/Turabian StyleYang, Yang, Lin Yang, and Gang Yao. 2021. "Post-Processing of High Formwork Monitoring Data Based on the Back Propagation Neural Networks Model and the Autoregressive—Moving-Average Model" Symmetry 13, no. 8: 1543. https://doi.org/10.3390/sym13081543
APA StyleYang, Y., Yang, L., & Yao, G. (2021). Post-Processing of High Formwork Monitoring Data Based on the Back Propagation Neural Networks Model and the Autoregressive—Moving-Average Model. Symmetry, 13(8), 1543. https://doi.org/10.3390/sym13081543

