Reconfigurable Intelligent Surface in Wireless-Powered Interference-Limited Communication Networks
Abstract
1. Introduction
1.1. Background Information
1.2. Related Works
1.3. Motivation and Contributions
- A closed-form expression of the system end-to-end probability distribution function is derived,
- The exact closed-form expression for the system outage probability is obtained,
- The analytical expression of the system average throughput under the delay-tolerant transmission mode is also derived,
- The exact closed-form expression for the system average bit error rate is obtained under the binary and coherent modulation scheme, and
- Related to [22], the co-channel interference system considered in this work utilizes wireless-powered communication technique.
1.4. Structure of the Paper
2. System and Channel Models
3. System Statistical Characteristics
4. System Performance Analysis
4.1. Outage Probability Analysis
4.2. Average Throughput Analysis
4.3. Average Bit Error Rate Analysis
4.3.1. For Binary Modulation
4.3.2. For M-Ary Coherent Modulation
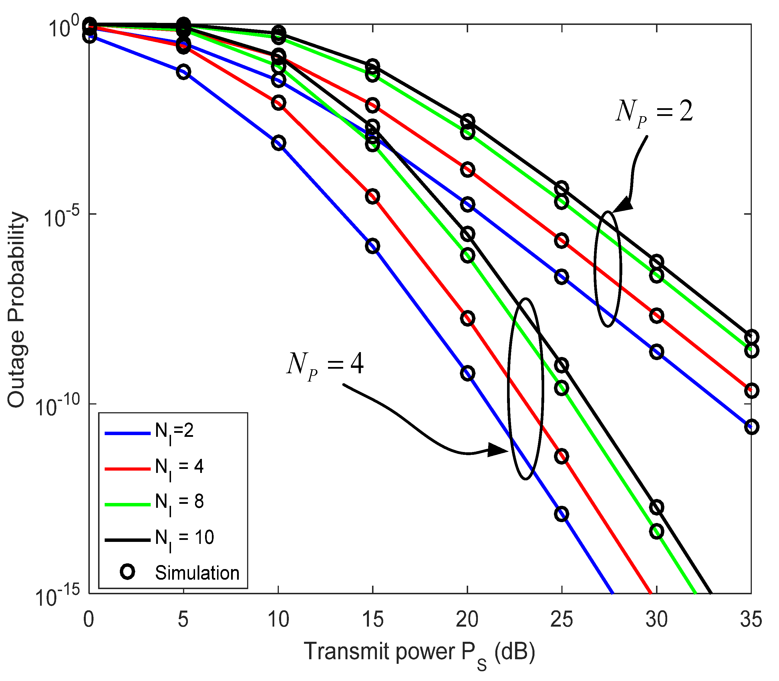
5. Numerical Results and Discussions
6. Conclusions
Author Contributions
Funding
Institutional Review Board Statement
Informed Consent Statement
Data Availability Statement
Conflicts of Interest
References
- Basar, E.; Di Renzo, M.; De Rosny, J.; Debbah, M.; Alouini, M.-S.; Zhang, R. Wireless communications through reconfigurable intelligent surfaces. IEEE Access 2019, 7, 116753–116773. [Google Scholar] [CrossRef]
- Dixit, D.; Joshi, K.C.; Sharma, S. Performance of Intelligent Reconfigurable Surface-Based Wireless Communications Using QAM Signaling. arXiv 2020, arXiv:2010.00519. [Google Scholar]
- Basar, E. Transmission through large intelligent surfaces: A new frontier in wireless communications. In Proceedings of the 2019 European Conference on Networks and Communications (EuCNC), Valencia, Spain, 18–21 June 2019; pp. 112–117. [Google Scholar]
- Odeyemi, K.O.; Owolawi, P.A.; Olakanmi, O.O. Performance Analysis of Reconfigurable Intelligent Surface Assisted Underwater Optical Communication System. Prog. Electromagn. Res. 2020, 98, 101–111. [Google Scholar] [CrossRef]
- Wu, Q.; Zhang, R. Towards smart and reconfigurable environment: Intelligent reflecting surface aided wireless network. IEEE Commun. Mag. 2019, 58, 106–112. [Google Scholar] [CrossRef]
- Samuh, M.H.; Salhab, A.M. Performance analysis of reconfigurable intelligent surfaces over Nakagami-m fading channels. arXiv 2020, arXiv:2010.07841. [Google Scholar]
- Badarneh, O.S.; Da Costa, D.B.; Nardelli, P.H.J. Wireless-powered communication networks with random mobility. IEEE Access 2019, 7, 166476–166492. [Google Scholar] [CrossRef]
- Badarneh, O.S. A comprehensive analysis of the achievable throughput in interference-limited wireless-powered networks with nonlinear energy harvester. Trans. Emerg. Telecommun. Technol. 2020, 31, e4141. [Google Scholar] [CrossRef]
- Messadi, O.; Sali, A.; Khodamoradi, V.; Salah, A.A.; Pan, G.; Hashim, S.J.; Noordin, N.K. Optimal Relay Selection Scheme with Multiantenna Power Beacon for Wireless-Powered Cooperation Communication Networks. Sensors 2021, 21, 147. [Google Scholar] [CrossRef] [PubMed]
- Badarneh, O.S.; Almehmadi, F.S.; Ansari, I.S.; Yang, X. Wireless energy harvesting in cooperative decode-and-forward relaying networks over mixed generalized η-μ and κ-μ fading channels. Trans. Emerg. Telecommun. Technol. 2018, 29, e3262. [Google Scholar] [CrossRef]
- Nasir, A.A.; Zhou, X.; Durrani, S.; Kennedy, R.A. Relaying protocols for wireless energy harvesting and information processing. IEEE Trans. Wirel. Commun. 2013, 12, 3622–3636. [Google Scholar] [CrossRef]
- Yang, L.; Meng, F.; Zhang, J.; Hasna, M.O.; Di Renzo, M. On the performance of RIS-assisted dual-hop UAV communication systems. IEEE Trans. Veh. Technol. 2020, 69, 10385–10390. [Google Scholar] [CrossRef]
- Odeyemi, K.O.; Owolawi, P.A.; Olakanmi, O.O. On the Performance of Reconfigurable Intelligent Surface Aided Power Line Communication System under Different Relay Transmission Protocols. Prog. Electromagn. Res. C 2021, 111, 119–133. [Google Scholar] [CrossRef]
- Salhab, A.M. Performance Analysis of RIS-Assisted Source Mixed RF/FSO Relay Networks. arXiv 2020, arXiv:2011.05612. [Google Scholar]
- Odeyemi, K.O.; Owolawi, P.A.; Olakanmi, O.O. Reconfigurable intelligent surface assisted mobile network with randomly moving user over Fisher-Snedecor fading channel. Phys. Commun. 2020, 43, 101186. [Google Scholar] [CrossRef]
- Makarfi, A.U.; Rabie, K.M.; Kaiwartya, O.; Badarneh, O.S.; Li, X.; Kharel, R. Reconfigurable intelligent surface enabled IoT networks in generalized fading channels. In Proceedings of the ICC 2020—2020 IEEE International Conference on Communications (ICC), Virtual Conference, Dublin, Ireland, 7–11 June 2020; pp. 1–6. [Google Scholar]
- Canbilen, A.E.; Basar, E.; Ikki, S.S. Reconfigurable intelligent surface-assisted space shift keying. IEEE Wirel. Commun. Lett. 2020, 9, 1495–1499. [Google Scholar] [CrossRef]
- Yue, X.; Liu, Y. Performance analysis of intelligent reflecting surface assisted NOMA networks. arXiv 2020, arXiv:2002.09907. [Google Scholar]
- Yang, L.; Guo, W.; da Costa, D.B.; Alouini, M.-S. Free-Space Optical Communication with Reconfigurable Intelligent Surfaces. arXiv 2020, arXiv:2012.00547. [Google Scholar]
- Makarfi, A.U.; Rabie, K.M.; Kaiwartya, O.; Li, X.; Kharel, R. Physical layer security in vehicular networks with reconfigurable intelligent surfaces. In Proceedings of the 2020 IEEE 91st Vehicular Technology Conference (VTC2020-Spring), Antwerp, Belgium, 25–28 May 2020; pp. 1–6. [Google Scholar]
- Ai, Y.; Kong, L.; Cheffena, M.; Chatzinotas, S.; Ottersten, B. Secure Vehicular Communications through Reconfigurable Intelligent Surfaces. arXiv 2020, arXiv:2011.14899. [Google Scholar]
- Yang, L.; Yang, Y.; da Costa, D.B.; Trigui, I. Performance Analysis of an Interference-Limited RIS-Aided Network. arXiv 2020, arXiv:2011.07479. [Google Scholar]
- Yang, L.; Meng, F.; Wu, Q.; da Costa, D.B.; Alouini, M.-S. Accurate closed-form approximations to channel distributions of RIS-aided wireless systems. IEEE Wirel. Commun. Lett. 2020, 9, 1985–1989. [Google Scholar] [CrossRef]
- Adamchik, V.; Marichev, O. The algorithm for calculating integrals of hypergeometric type functions and its realization in REDUCE system. In Proceedings of the International Symposium on Symbolic and Algebraic Computation, Tokyo, Japan, 20–24 August 1990; pp. 212–224. [Google Scholar]
- Yang, L.-L.; Chen, H.-H. Error probability of digital communications using relay diversity over Nakagami-m fading channels. IEEE Trans. Wirel. Commun. 2008, 7, 1806–1811. [Google Scholar] [CrossRef]
- Nguyen, H.-N.; Nguyen, N.-L.; Nguyen, N.-T.; Le, A.-T.; Ha, N.-D.X.; Do, D.-T.; Voznak, M. Reliable and Secure Transmission in Multiple Antennas Hybrid Satellite-Terrestrial Cognitive Networks Relying on NOMA. IEEE Access 2020, 8, 215044–215056. [Google Scholar] [CrossRef]
- Gradshteyn, I.; Ryzhik, I.; Romer, R.H. Tables of Integrals, Series, and Products; American Association of Physics Teachers: College Park, MD, USA, 1988. [Google Scholar]
- Zedini, E.; Ansari, I.S.; Alouini, M.-S. Performance analysis of mixed Nakagami-m and Gamma–Gamma dual-hop FSO transmission systems. IEEE Photonics J. 2014, 7, 1–20. [Google Scholar] [CrossRef]
- Bhutto, Z.; Yoon, W. Dual-Hop Cooperative Relaying with Beamforming Under Adaptive Transmission in κ–μ Shadowed Fading Environments. Electronics 2019, 8, 658. [Google Scholar] [CrossRef]
- Prudnikov, A.; Brychkov, Y.A.; Marichev, O. Integrals and Series Volume 3: More Special Functions; Taylor and Francis: Oxford, UK, 2003. [Google Scholar]
- Simon, M.K.; Alouini, M.-S. Digital Communication over Fading Channels; John Wiley & Sons: Hoboken, NJ, USA, 2005; Volume 95. [Google Scholar]
- Lu, J.; Letaief, K.B.; Chuang, J.-I.; Liou, M.L. M-PSK and M-QAM BER computation using signal-space concepts. IEEE Trans. Commun. 1999, 47, 181–184. [Google Scholar]
- Badarneh, O.S.; Sofotasios, P.C.; Muhaidat, S.; Cotton, S.L.; Da Costa, D.B. Product and Ratio of Product of Fisher-Snedecor Variates and Their Applications to Performance Evaluations of Wireless Communication Systems. IEEE Access 2020, 8, 215267–215286. [Google Scholar] [CrossRef]









Publisher’s Note: MDPI stays neutral with regard to jurisdictional claims in published maps and institutional affiliations. |
© 2021 by the authors. Licensee MDPI, Basel, Switzerland. This article is an open access article distributed under the terms and conditions of the Creative Commons Attribution (CC BY) license (https://creativecommons.org/licenses/by/4.0/).
Share and Cite
Odeyemi, K.; Owolawi, P.; Olakanmi, O. Reconfigurable Intelligent Surface in Wireless-Powered Interference-Limited Communication Networks. Symmetry 2021, 13, 960. https://doi.org/10.3390/sym13060960
Odeyemi K, Owolawi P, Olakanmi O. Reconfigurable Intelligent Surface in Wireless-Powered Interference-Limited Communication Networks. Symmetry. 2021; 13(6):960. https://doi.org/10.3390/sym13060960
Chicago/Turabian StyleOdeyemi, Kehinde, Pius Owolawi, and Oladayo Olakanmi. 2021. "Reconfigurable Intelligent Surface in Wireless-Powered Interference-Limited Communication Networks" Symmetry 13, no. 6: 960. https://doi.org/10.3390/sym13060960
APA StyleOdeyemi, K., Owolawi, P., & Olakanmi, O. (2021). Reconfigurable Intelligent Surface in Wireless-Powered Interference-Limited Communication Networks. Symmetry, 13(6), 960. https://doi.org/10.3390/sym13060960

