Behavioral Conflicts in Urban Greenway Recreation: A Case Study of the “Three Rivers and One Mountain” Greenway in Xi’an, China
Abstract
1. Introduction
2. Materials and Methods
2.1. Case Selection
2.2. Data Collection
2.3. Data Analysis
3. Results
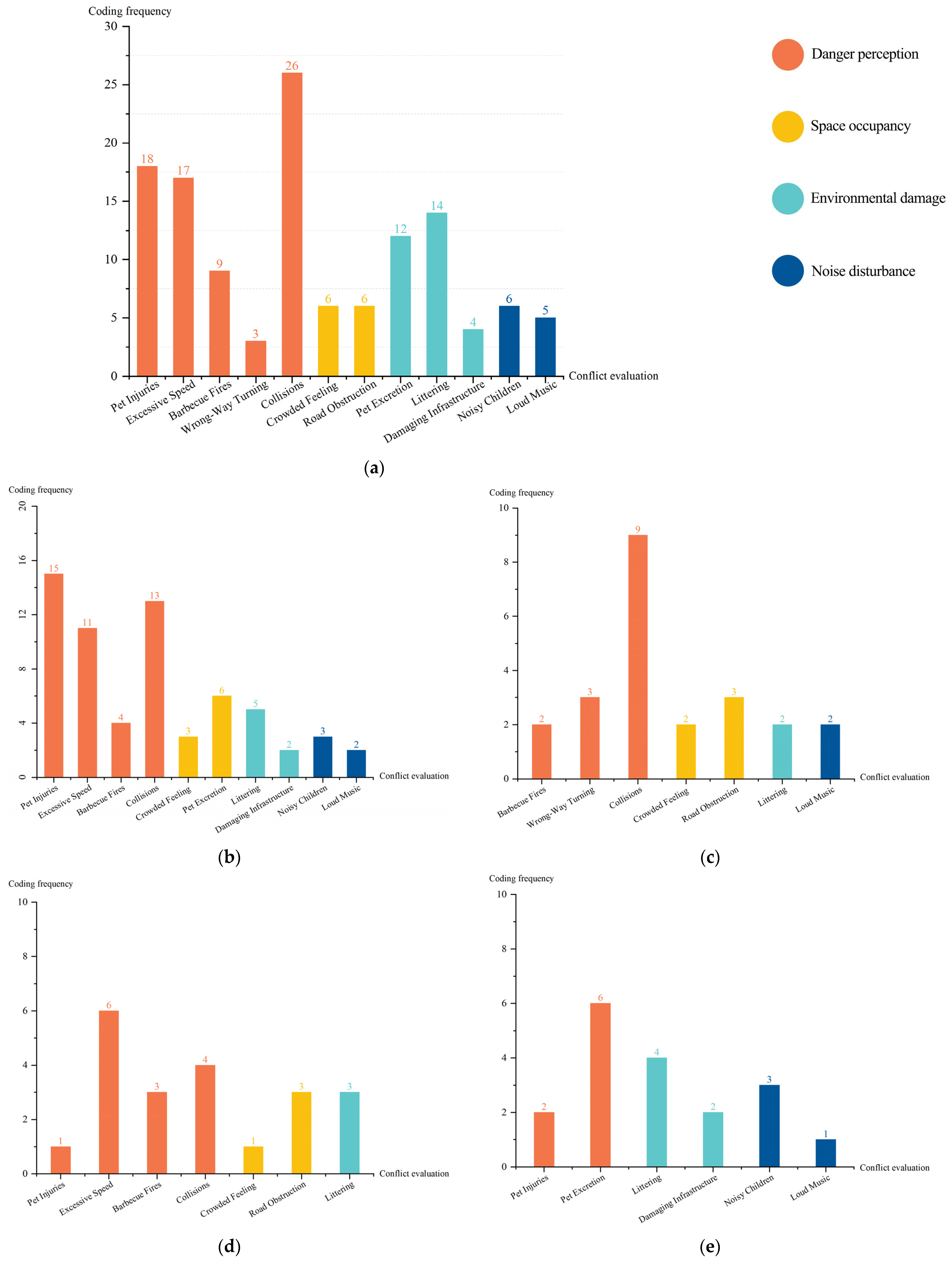
3.1. Types of Behavioral Conflicts
3.2. Influencing Factors of Behavioral Conflict Perception
3.3. Respondents’ Focus on Greenway Development
4. Discussion
4.1. Types of Behavioral Conflicts among Recreational Groups
4.1.1. Danger Perception Behavioral Conflict Type
4.1.2. Space Occupancy Behavioral Conflict Type
4.1.3. Environmental Damage Behavioral Conflict Type
4.1.4. Noise Disturbance Behavioral Conflict Type
4.2. Influence of Demographic and Other Factors on Behavioral Conflict Perception
4.3. Recommendations for Greenway Development
4.4. Limitations and Future Directions
5. Conclusions
Author Contributions
Funding
Data Availability Statement
Conflicts of Interest
References
- Akpinar, A. Factors influencing the use of urban greenways: A case study of Aydın, Turkey. Urban For. Urban Green. 2016, 16, 123–131. [Google Scholar] [CrossRef]
- Li, L.; Gao, X.; Li, J.; Meng, L.; Wang, Z.; Yang, L. Difference of Usage Behavior between Urban Greenway and Suburban Greenway: A Case Study in Beijing, China. Land 2022, 11, 1245. [Google Scholar] [CrossRef]
- Liu, Z.; Lin, Y.; De Meulder, B.; Wang, S. Can greenways perform as a new planning strategy in the Pearl River Delta, China? Landsc. Urban Plan. 2019, 187, 81–95. [Google Scholar] [CrossRef]
- Xie, B.; Pang, Z.; He, D.; Lu, Y.; Chen, Y. Effects of neighborhood environment on different aspects of greenway use: Evidence from East Lake Greenway, China. J. Transp. Geogr. 2023, 106, 103488. [Google Scholar] [CrossRef]
- Guo, J.; Fu, Y.; Sun, X. Green innovation efficiency and multiple paths of urban sustainable development in China: Multi-configuration analysis based on urban innovation ecosystem. Sci. Rep. 2023, 13, 12975. [Google Scholar] [CrossRef] [PubMed]
- Liu, Z.; Lin, Y.; De Meulder, B.; Wang, S. Heterogeneous landscapes of urban greenways in Shenzhen: Traffic impact, corridor width and land use. Urban For. Urban Green. 2020, 55, 126785. [Google Scholar] [CrossRef]
- Zheng, D.Y.; Zhou, X.Y.; He, Y.J.; Jiang, W.W. The Research on Urban Greenway Fineness Route Selection Technology Based on Multivariate Big Data and Network Model: A Cace Study of Wuhan Greenways. Modern Urban Research 2023, 113–118. [Google Scholar]
- Keith, S.J.; Larson, L.R.; Shafer, C.S.; Hallo, J.C.; Fernandez, M. Greenway use and preferences in diverse urban communities: Implications for trail design and management. Landsc. Urban Plan. 2018, 172, 47–59. [Google Scholar] [CrossRef]
- Zhang, Y.; Huang, Y.; Zheng, M.; Zhang, H.; Zhang, Q.; He, T.; Ye, J. A Study on the Characteristics and Influencing Factors of Soundscape Perception in Landscape Spaces of Urban Greenways. Forests 2024, 15, 670. [Google Scholar] [CrossRef]
- Xing, Y.L.; Chen, Y.H.; Lei, Y.Q.; Zhang, M. Post Occupancy Evaluation of Urban Recreational Greenway—Fudao of Fuzhou City as an Example. J. Heilongjiang Vocat. Inst. Ecol. Eng. 2023, 36, 15–19+77. [Google Scholar]
- He, H.; Li, J.; Lin, X.; Yu, Y. Greenway Cyclists’ Visual Perception and Landscape Imagery Assessment. Front. Psychol. 2021, 12, 541469. [Google Scholar] [CrossRef]
- Cao, S.; Song, C.; Jiang, S.; Luo, H.; Zhang, P.; Huang, Y.; Yu, J.; Li, K.; Li, N.; Guo, B.; et al. Effects of Urban Greenway Environmental Types and Landscape Characteristics on Physical and Mental Health Restoration. Forests 2024, 15, 679. [Google Scholar] [CrossRef]
- Chi, W.; Lin, G. The Use of Community Greenways: A Case Study on A Linear Greenway Space in High Dense Residential Areas, Guangzhou. Land 2019, 8, 188. [Google Scholar] [CrossRef]
- Lynch, A.J. Creating Effective Urban Greenways and Stepping-stones: Four Critical Gaps in Habitat Connectivity Planning Research. J. Plan. Lit. 2018, 34, 131–155. [Google Scholar] [CrossRef]
- Tan, K.W. A greenway network for singapore. Landsc. Urban Plan. 2006, 76, 45–66. [Google Scholar] [CrossRef]
- Xu, H.; Fu, F.; Miao, M. What Is the Effect of Cultural Greenway Projects in High-Density Urban Municipalities? Assessing the Public Living Desire near the Cultural Greenway in Central Beijing. Int. J. Environ. Res. Public Health 2022, 19, 2147. [Google Scholar] [CrossRef]
- Fábos, J.G.; Ryan, R.L. An introduction to greenway planning around the world. Landsc. Urban Plan. 2006, 76, 1–6. [Google Scholar] [CrossRef]
- Fábos, J.G. Greenway planning in the United States: Its origins and recent case studies. Landsc. Urban Plan. 2004, 68, 321–342. [Google Scholar] [CrossRef]
- Little, C.E. Greenways for America; JHU Press: Baltimore, MD, USA, 1995. [Google Scholar]
- Horte, O.; Eisenman, T. Urban Greenways: A Systematic Review and Typology. Land 2020, 9, 40. [Google Scholar] [CrossRef]
- Zhang, Y.; Ong, G.X.; Jin, Z.; Seah, C.M.; Chua, T.S. The effects of urban greenway environment on recreational activities in tropical high-density Singapore: A computer vision approach. Urban For. Urban Green. 2022, 75, 127678. [Google Scholar] [CrossRef]
- Lin, J.; Yang, W.; Yu, K.; Geng, J.; Liu, J. Identification and Construction of Ecological Nodes in the Fuzhou Ecological Corridors. Forests 2022, 13, 1837. [Google Scholar] [CrossRef]
- von Haaren, C.; Reich, M. The German way to greenways and habitat networks. Landsc. Urban Plan. 2006, 76, 7–22. [Google Scholar] [CrossRef]
- Liu, C.; Chen, X.F.; Sun, X.X.; Deng, S.Q.; Tan, Y.P. Overview and Inspiration of Greenway Construction in Japan. World For. Res. 2016, 29, 91–96. [Google Scholar] [CrossRef]
- Chen, Y.; Gu, W.; Liu, T.; Yuan, L.; Zeng, M. Increasing the Use of Urban Greenways in Developing Countries: A Case Study on Wutong Greenway in Shenzhen, China. Int. J. Environ. Res. Public Health 2017, 14, 554. [Google Scholar] [CrossRef] [PubMed]
- Ferguson, M.D.; Caraynoff, A.R.; Ferguson, L.A.; Barcelona, R.J.; Evensen, D.; Knox, H.; Pytlik, S.; Grosz, D. Whether They Return: Modeling Outdoor Recreation Behaviors, Decision Making, and Intention-to-Return in Congressionally Designated Wilderness. Forests 2022, 13, 1018. [Google Scholar] [CrossRef]
- Guangsi, L.I.N.; Zhaosen, Z. Research on the Influencing Factors of Users’ Perception of the Inclusiveness of Urban Parks Based on the Grounded Theory. Landsc. Archit. Front. 2022, 10, 12–37. [Google Scholar] [CrossRef]
- Marzano, M.; Dandy, N. Recreationist behaviour in forests and the disturbance of wildlife. Biodivers. Conserv. 2012, 21, 2967–2986. [Google Scholar] [CrossRef]
- Shelby, L.B.; Vaske, J.J. Perceived Crowding among Hunters and Anglers: A Meta-Analysis. Hum. Dimens. Wildl. 2007, 12, 241–261. [Google Scholar] [CrossRef]
- Wang, C.-P.; Dawson, C.P. Recreation Conflict Along New York′s Great Lakes Coast. Coast. Manag. 2005, 33, 297–314. [Google Scholar] [CrossRef]
- Wong, K.K.; Yu, X. Recreation conflict perception among visitors to Tuen Mun Park, Hong Kong, China: Outgroup evaluation, resource specificity, and lifestyle tolerance. Manag. Leis. 2012, 17, 349–362. [Google Scholar] [CrossRef]
- Schroeder, S.A.; Fulton, D.C.; Cornicelli, L.; McInenly, L.E. Recreation conflict, coping, and satisfaction: Minnesota grouse hunters’ conflicts and coping response related to all-terrain vehicle users, hikers, and other hunters. J. Outdoor Recreat. Tour. 2020, 30, 100282. [Google Scholar] [CrossRef]
- Bakhtiari, F.; Jacobsen, J.B.; Jensen, F.S. Willingness to travel to avoid recreation conflicts in Danish forests. Urban For. Urban Green. 2014, 13, 662–671. [Google Scholar] [CrossRef]
- Kainzinger, S.; Burns, R.C.; Arnberger, A. Whitewater Boater and Angler Conflict, Crowding and Satisfaction on the North Umpqua River, Oregon. Hum. Dimens. Wildl. 2015, 20, 542–552. [Google Scholar] [CrossRef]
- Sever, I.; Verbič, M. Providing information to respondents in complex choice studies: A survey on recreational trail preferences in an urban nature park. Landsc. Urban Plan. 2018, 169, 160–177. [Google Scholar] [CrossRef]
- Watkins, C.E.; Poudyal, N.C. Recreation group encounters and impacts on satisfaction in Tennessee wildlife management areas. Hum. Dimens. Wildl. 2020, 26, 507–522. [Google Scholar] [CrossRef]
- Price, S.; Blacketer, M.; Brownlee, M. The influence of place attachment on campers’ evaluations of ecological impacts due to recreation use. J. Outdoor Recreat. Tour. 2018, 21, 30–38. [Google Scholar] [CrossRef]
- Pickering, C.; Rossi, S.D.; Hernando, A.; Barros, A. Current knowledge and future research directions for the monitoring and management of visitors in recreational and protected areas. J. Outdoor Recreat. Tour. 2018, 21, 10–18. [Google Scholar] [CrossRef]
- Dissanayake, S.T.M.; Meyer, A.G. Incorporating Beliefs and Experiences into Choice Experiment Analysis: Implications for Policy Recommendations. Appl. Econ. Perspect. Policy 2020, 43, 823–848. [Google Scholar] [CrossRef]
- Mann, C.; Absher, J.D. Recreation conflict potential and management implications in the northern/central Black Forest Nature Park. J. Environ. Plan. Manag. 2008, 51, 363–380. [Google Scholar] [CrossRef]
- Birks, M.; Hoare, K.; Mills, J. Grounded Theory: The FAQs. Int. J. Qual. Methods 2019, 18, 1609406919882535. [Google Scholar] [CrossRef]
- Turner, C.; Astin, F. Grounded theory: What makes a grounded theory study? Eur. J. Cardiovasc. Nurs. 2021, 20, 285–289. [Google Scholar] [CrossRef]
- Charmaz, K.; Thornberg, R. The pursuit of quality in grounded theory. Qual. Res. Psychol. 2020, 18, 305–327. [Google Scholar] [CrossRef]
- Wang, H.D.; Ye, J.; Tarin, M.W.K.; Liu, Y.Y.; Zheng, Y.S. Tourists’ Safety Perception Clues in the Urban Forest Environment: Visual Quality, Facility Completeness, Accessibility-A Case Study of Urban Forests in Fuzhou, China. Int. J. Environ. Res. Public Health 2022, 19, 1293. [Google Scholar] [CrossRef] [PubMed]
- Mak, B.K.L.; Jim, C.Y. Contributions of human and environmental factors to concerns of personal safety and crime in urban parks. Secur. J. 2021, 35, 263–293. [Google Scholar] [CrossRef]
- Pam Carothers, J.J.V.M. Social Values versus Interpersonal Conflict among Hikers and Mountain Bikers. Leis. Sci. 2001, 23, 47–61. [Google Scholar] [CrossRef]
- Bachinger, M.; Hafner, M.; Harprecht, P. Cultural and space-based factors influencing recreational conflicts in forests. The example of cyclists and other forest visitors in Freiburg (Germany). Eur. J. Cult. Manag. Policy 2024, 13, 12494. [Google Scholar] [CrossRef]
- Vaske, J.J.; Needham, M.D.; Cline, R.C. Clarifying Interpersonal and Social Values Conflict among Recreationists. J. Leis. Res. 2017, 39, 182–195. [Google Scholar] [CrossRef]
- Kleiner, A.; Freuler, B.W.; Arnberger, A.; Hunziker, M. Biking-hiking conflicts and their mitigation in urban recreation areas: Results of a quasi-experimental long-term evaluation in the Zurich forest. J. Outdoor Recreat. Tour. 2022, 40, 100563. [Google Scholar] [CrossRef]
- Wang, Y.-J.; Yu, S.-Q.; Lin, M.-H. Study on visitors′ crowding perception, adjustment mechanism and satisfaction in urban natural parks. J. Nat. Resour. 2023, 38, 1025–1039. [Google Scholar] [CrossRef]
- Jacob, G.R.; Schreyer, R. Conflict in Outdoor Recreation: A Theoretical Perspective. J. Leis. Res. 2018, 12, 368–380. [Google Scholar] [CrossRef]
- Harshaw, H. Outdoor recreation participation in BC forest-dependent communities. For. Chron. 2008, 84, 2. [Google Scholar] [CrossRef]
- Keith, S.J.; Boley, B.B. Importance-performance analysis of local resident greenway users: Findings from Three Atlanta BeltLine Neighborhoods. Urban For. Urban Green. 2019, 44, 126426. [Google Scholar] [CrossRef]
- Confer, J.J.; Thapa, B.; Mendelsohn, J.L. Exploring a Typology of Recreation Conflict in Outdoor Environments. World Leis. J. 2011, 47, 12–23. [Google Scholar] [CrossRef]
- Mallette, A.; Heaney, S.; McGlynn, B.; Stuart, S.; Witkowski, S.; Plummer, R. Outdoor education, environmental perceptions, and sustainability: Exploring relationships and opportunities. J. Outdoor Environ. Educ. 2024. [Google Scholar] [CrossRef]
- Ren, Y.; Yang, Q. Research on the Factors Influencing the Perception of Urban Park Recreational Behavior Based on the “Homo Urbanicus” Theory. Sustainability 2023, 15, 6525. [Google Scholar] [CrossRef]
- Yao, X.; Sun, Y.; Sun, B.; Huang, Y. The Impact of the Urban Forest Park Recreation Environment and Perceived Satisfaction on Post-Tour Behavioral Intention—Using Tongzhou Grand Canal Forest Park as an Example. Forests 2024, 15, 330. [Google Scholar] [CrossRef]
- Ferguson, M.D.; Giles, G.; Ferguson, L.A.; Barcelona, R.; Evensen, D.; Barrows, C.; Leberman, M. Seeing the forest for the trees: A social-ecological systems approach to managing outdoor recreation visitation in parks and protected areas. J. Outdoor Recreat. Tour. 2022, 38, 100473. [Google Scholar] [CrossRef]
- Gong, L.; Mao, B.; Qi, Y.; Xu, C. A satisfaction analysis of the infrastructure of country parks in Beijing. Urban For. Urban Green. 2015, 14, 480–489. [Google Scholar] [CrossRef]
- Zhang, Z.; Gao, Y.; Zhou, S.; Zhang, T.; Zhang, W.; Meng, H. Psychological Cognitive Factors Affecting Visual Behavior and Satisfaction Preference for Forest Recreation Space. Forests 2022, 13, 136. [Google Scholar] [CrossRef]



| Recreation Group Types | Number | Proportion |
| Walkers | 60 | 53.57% |
| Mountain Bikers | 21 | 18.75% |
| Joggers | 13 | 11.61% |
| Campers | 18 | 16.07% |
| Conflict Perception | Number | Proportion |
| Perceived conflicts and provided suggestions | 61 | 54.46% |
| Did not perceive conflicts but provided suggestions | 51 | 45.54% |
| Gender Distribution | Number | Proportion |
| Male | 62 | 55.36% |
| Female | 50 | 44.64% |
| Identity | Number | Proportion |
| Residents | 72 | 64.29% |
| Tourists | 40 | 35.71% |
| Conflict Type | Conflict Evaluation | Conflict Descriptive Statements |
|---|---|---|
| Danger perception | Pet injuries | “If dogs are not leashed, it can frighten people...”; “I’m afraid that large dogs might fight with my small dog and hurt it...” |
| Excessive speed | “Cyclists ride very fast, which could affect the elderly and children...” | |
| barbecue Fires | “Some people picnic there, but honestly, it doesn’t feel safe. If the wind blows and ignites the grass, especially with all the trees around...” | |
| Wrong-way turning | “While cycling, I encounter others suddenly turning or riding in the wrong direction, which can cause collisions if I can’t brake in time...” | |
| Collisions | “People walking their pets might collide with others...”; “We need to be extra careful with kids, especially in crowded areas, to avoid accidents...” | |
| Space occupancy | Crowded feeling | “It’s too crowded. If people are running on the track, walkers shouldn’t stand there...” |
| Road obstruction | “A group of people walking side by side affects our activities and causes disturbances...” | |
| Environmental damage | Pet excretion | “Pet waste left behind is very dirty...” |
| Littering | “Some people litter, which is not good...” | |
| Damaging infrastructure | “Some children are not well supervised and break streetlights, which affects our mood...” | |
| Noise disturbance | Noisy children | “Children making loud noises is very disruptive...” |
| Loud music | “Some people play very loud music as they pass by, which affects my mood...” |
| Demographic Information | Category | Number (Proportion) | ||||
|---|---|---|---|---|---|---|
| Total | Danger Perception | Space Occupancy | Environmental Damage | Noise Disturbance | ||
| Gender | Male | 35 (57.38%) | 16 (45.71%) | 4 (11.43%) | 11 (31.43%) | 4 (11.43%) |
| Female | 26 (42.63%) | 12 (46.15%) | 1 (3.85%) | 11 (42.31%) | 2 (7.69%) | |
| Age | 18–25 | 4 (6.56%) | 3 (75%) | 0 (0%) | 0 (0%) | 1 (25%) |
| 26–30 | 15 (24.59%) | 2 (13.33%) | 2 (13.33%) | 9 (60%) | 2 (13.33%) | |
| 31–40 | 21 (34.43%) | 11 (52.38%) | 2 (9.52%) | 6 (28.57%) | 2 (9.52%) | |
| 41–50 | 7 (11.48%) | 4 (57.14%) | 1 (14.29%) | 2 (28.57%) | 0 (0%) | |
| 51–60 | 7 (11.48%) | 5 (71.43%) | 0 (0%) | 1 (14.29%) | 1 (14.29%) | |
| 60+ | 7 (11.48%) | 3 (42.86%) | 0 (0%) | 4 (57.14%) | 0 (0%) | |
| Highest education level | Elementary school or below | 4 (6.56%) | 2 (50%) | 0 (0%) | 2 (50%) | 0 (0%) |
| Middle school | 6 (9.84%) | 4 (66.67%) | 0 (0%) | 2 (33.33%) | 0 (0%) | |
| High school/Vocational school | 10 (16.39%) | 7 (70%) | 0 (0%) | 3 (30%) | 0 (0%) | |
| Associate/Bachelor’s degree | 30 (49.18%) | 13 (43.33%) | 2 (6.67%) | 12 (40%) | 3 (10%) | |
| Master’s degree | 3 (4.92%) | 0 (0%) | 2 (66.67%) | 1 (33.33%) | 0 (0%) | |
| Doctorate | 8 (13.11%) | 2 (25%) | 1 (12.5%) | 2 (25%) | 3 (37.5%) | |
| Residency status | Tourist | 22 (36.07%) | 10 (45.45%) | 3 (13.64%) | 5 (22.73%) | 4 (18.18%) |
| Resident | 39 (63.93%) | 18 (46.15%) | 2 (5.13%) | 17 (43.59%) | 2 (5.13%) | |
| Familiarity with greenway | Very familiar with its basic functions | 8 (13.11%) | 2 (25%) | 1 (12.5%) | 2 (25%) | 3 (37.5%) |
| Familiar and frequent visitor | 30 (49.18%) | 14 (46.67%) | 2 (6.67%) | 12 (40%) | 2 (6.67%) | |
| Heard of it | 16 (26.23%) | 8 (50%) | 2 (12.5%) | 5 (31.25%) | 1 (6.25%) | |
| Completely unfamiliar | 7 (11.48%) | 4 (57.14%) | 0 (0%) | 3 (42.86%) | 0 (0%) | |
| Primary purpose | Physical exercise | 51 (83.61%) | 24 (47.06%) | 4 (7.84%) | 17 (33.33%) | 6 (11.76%) |
| Sightseeing | 5 (8.20%) | 1 (20%) | 0 (0%) | 4 (80%) | 0 (0%) | |
| Photography | 0 (0%) | 0 (0%) | 0 (0%) | 0 (0%) | 0 (0%) | |
| Playing with children | 4 (6.56%) | 2 (50%) | 1 (25%) | 1 (25%) | 0 (0%) | |
| Walking pets | 1 (1.64%) | 1 (100%) | 0 (0%) | 0 (0%) | 0 (0%) | |
| Evaluation Type | Evaluation Statements |
|---|---|
| Infrastructure | “More parking lots should be built...” |
| “The restrooms are inadequate; the nearest one is a ten-minute walk away...” | |
| “There are too few resting places; more benches or shorter distances between rest stops would be helpful...” | |
| “Installing some streetlights in certain areas would be better...” | |
| “There seem to be few pavilions; having some would provide shelter from wind and rain...” | |
| “The functions of the greenway are relatively limited; I hope more recreational facilities are added to offer richer cultural and entertainment experiences...” | |
| Green landscaping | “Develop more green landscapes to build an emotional connection with the greenway...” |
| “I hope the greenway can enhance its greenery; a variety of plants would lift my spirits...” | |
| Behavior management | “Traffic management should be improved, with separate routes for cyclists and pedestrians to avoid disturbances...” |
| “More outdoor dining and camping areas should be provided, and security should not interfere with recreational activities...” | |
| “Effective cleaning and maintenance are needed to avoid dirty and messy areas that can affect the mood...” | |
| “There should be dedicated paths for runners; mixing vehicles and people is unsafe, so pedestrian and vehicle lanes should be separated...” | |
| “More informational signs should be set up, such as ‘Do not step on the grass’ and ‘No littering’, to guide proper behavior through education...” |
Disclaimer/Publisher’s Note: The statements, opinions and data contained in all publications are solely those of the individual author(s) and contributor(s) and not of MDPI and/or the editor(s). MDPI and/or the editor(s) disclaim responsibility for any injury to people or property resulting from any ideas, methods, instructions or products referred to in the content. |
© 2024 by the authors. Licensee MDPI, Basel, Switzerland. This article is an open access article distributed under the terms and conditions of the Creative Commons Attribution (CC BY) license (https://creativecommons.org/licenses/by/4.0/).
Share and Cite
Yang, X.; Zhang, J.; Yu, Y.; Qiao, X.-J. Behavioral Conflicts in Urban Greenway Recreation: A Case Study of the “Three Rivers and One Mountain” Greenway in Xi’an, China. Land 2024, 13, 1097. https://doi.org/10.3390/land13071097
Yang X, Zhang J, Yu Y, Qiao X-J. Behavioral Conflicts in Urban Greenway Recreation: A Case Study of the “Three Rivers and One Mountain” Greenway in Xi’an, China. Land. 2024; 13(7):1097. https://doi.org/10.3390/land13071097
Chicago/Turabian StyleYang, Xiaolu, Jingyi Zhang, Yueyang Yu, and Xiu-Juan Qiao. 2024. "Behavioral Conflicts in Urban Greenway Recreation: A Case Study of the “Three Rivers and One Mountain” Greenway in Xi’an, China" Land 13, no. 7: 1097. https://doi.org/10.3390/land13071097
APA StyleYang, X., Zhang, J., Yu, Y., & Qiao, X.-J. (2024). Behavioral Conflicts in Urban Greenway Recreation: A Case Study of the “Three Rivers and One Mountain” Greenway in Xi’an, China. Land, 13(7), 1097. https://doi.org/10.3390/land13071097

