Quaking Aspen in a High-Use Recreation Area: Challenges of People, Ungulates, and Sodium on Landscape Resilience
Abstract
1. Introduction
2. Methods
2.1. Study Site
2.2. Field Methods
2.3. Soil Testing for Na, Ca, Mg, pH, SAR, and EC
2.4. Data Analysis
3. Results
3.1. Descriptive Statistics of Site Conditions
3.2. Ordination Seeking Key Site Indicators
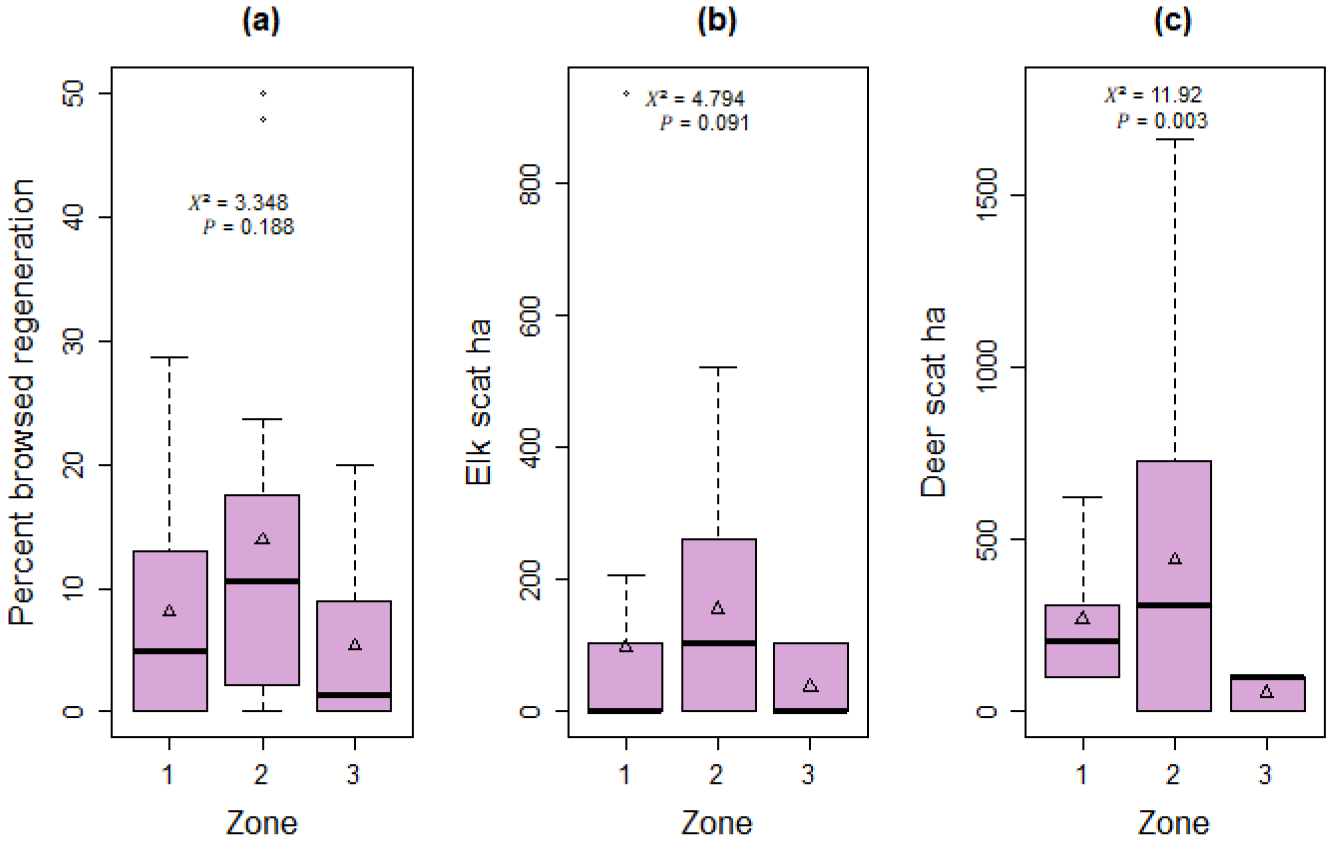
3.3. Between-Group Difference for Zones and Sodium
3.4. What Indicators Cause between-Group Differences?
4. Discussion
4.1. How Does Aspen Condition Vary across the Study Area?
4.2. What Effect Does High-Use Recreation Have on Ungulate Presence and Aspen Conditions?
4.3. How Is Soil Contamination Impacting Aspen Communities?
4.4. How Might Area Maintenance Impact the Aspen Landscape?
5. Conclusions and Management Implications
Author Contributions
Funding
Data Availability Statement
Acknowledgments
Conflicts of Interest
References
- Little, E.L.; Viereck, L.A. Atlas of United States Trees: (No. 1146). Conifers and Important Hardwoods; United States Government Printing Office: Washington, DC, USA, 1971; Volume 4.
- Perala, D.A.; Burns, R.M.; Honkala, B. Populus tremuloides Michx.—Quaking Aspen. Silv. N. Am. 1990, 2, 555–569. [Google Scholar]
- Angelstam, P.; Manton, M.; Pedersen, S.; Elbakidze, M. Disrupted Trophic Interactions Affect Recruitment of Boreal Deciduous and Coniferous Trees in Northern Europe. Ecol. Appl. 2017, 27, 1108–1123. [Google Scholar] [CrossRef] [PubMed]
- Edenius, L.; Ericsson, G.; Kempe, G.; Bergström, R.; Danell, K. The Effects of Changing Land Use and Browsing on Aspen Abundance and Regeneration: A 50-year Perspective from Sweden. J. Appl. Ecol. 2011, 48, 301–309. [Google Scholar] [CrossRef]
- Kota, A.M.; Bartos, D.L. Evaluation of Techniques to Protect Aspen Suckers from Ungulate Browsing in the Black Hills. West. J. Appl. For. 2010, 25, 161–168. [Google Scholar] [CrossRef]
- Myking, T.; Bohler, F.; Austrheim, G.; Solberg, E.J. Life History Strategies of Aspen (Populus tremula L.) and Browsing Effects: A Literature Review. Forestry 2011, 84, 61–71. [Google Scholar] [CrossRef]
- Usoltsev, V.; Shobairi, S.; Chasovskikh, V. Climate-Induced Gradients of Populus sp. Forest Biomass on the Territory of Eurasia. J. Ecol. Eng. 2018, 19, 206–212. [Google Scholar]
- Worrall, J.J.; Rehfeldt, G.E.; Hamann, A.; Hogg, E.H.; Marchetti, S.B.; Michaelian, M.; Gray, L.K. Recent Declines of Populus tremuloides in North America Linked to Climate. For. Ecol. Manag. 2013, 299, 35–51. [Google Scholar] [CrossRef]
- Bartos, D.L.; Campbell, R.B. Decline of Quaking Aspen in the Interior West—Examples from Utah. Rangel. Arch. 1998, 20, 17–24. [Google Scholar]
- Di Orio, A.P.; Callas, R.; Schaefer, R.J. Forty-Eight Year Decline and Fragmentation of Aspen (Populus tremuloides) in the South Warner Mountains of California. For. Ecol. Manag. 2005, 206, 307–313. [Google Scholar] [CrossRef]
- Strand, E.K.; Vierling, L.A.; Bunting, S.C.; Gessler, P.E. Quantifying Successional Rates in Western Aspen Woodlands: Current Conditions, Future Predictions. For. Ecol. Manag. 2009, 257, 1705–1715. [Google Scholar] [CrossRef]
- Rogers, P.C.; Leffler, A.J.; Ryel, R.J. Landscape Assessment of a Stable Aspen Community in Southern Utah, USA. For. Ecol. Manag. 2010, 259, 487–495. [Google Scholar] [CrossRef]
- Worrall, J.J.; Egeland, L.; Eager, T.; Mask, R.A.; Johnson, E.W.; Kemp, P.A.; Shepperd, W.D. Rapid Mortality of Populus tremuloides in Southwestern Colorado, USA. For. Ecol. Manag. 2008, 255, 686–696. [Google Scholar] [CrossRef]
- Kulakowski, D.; Veblen, T.T.; Drinkwater, S. The Persistence of Quaking Aspen (Populus tremuloides) in the Grand Mesa Area, Colorado. Ecol. Appl. 2004, 14, 1603–1614. [Google Scholar] [CrossRef]
- Manier, D.J.; Laven, R.D. Changes in Landscape Patterns Associated with the Persistence of Aspen (Populus tremuloides Michx.) on the Western Slope of the Rocky Mountains, Colorado. For. Ecol. Manag. 2002, 167, 263–284. [Google Scholar] [CrossRef]
- Sankey, T.T. Regional Assessment of Aspen Change and Spatial Variability on Decadal Time Scales. Remote Sens. 2009, 1, 896–914. [Google Scholar] [CrossRef]
- Rogers, P.C.; Gale, J.A. Restoration of the Iconic Pando Aspen Clone: Emerging Evidence of Recovery. Ecosphere 2017, 8, e01661. [Google Scholar] [CrossRef]
- Hedenås, H.; Ericson, L. Epiphytic Macrolichens as Conservation Indicators: Successional Sequence in Populus tremula Stands. Biol. Conserv. 2000, 93, 43–53. [Google Scholar] [CrossRef]
- Oaten, D.K.; Larsen, K.W. Aspen Stands as Small Mammal “Hotspots” within Dry Forest Ecosystems of British Columbia. Northwest Sci. 2008, 82, 276–285. [Google Scholar] [CrossRef]
- Rogers, P.C.; Pinno, B.D.; Šebesta, J.; Albrectsen, B.R.; Li, G.; Ivanova, N.; Kusbach, A.; Kuuluvainen, T.; Landhäusser, S.M.; Liu, H.; et al. A Global View of Aspen: Conservation Science for Widespread Keystone Systems. Glob. Ecol. Conserv. 2020, 21, e00828. [Google Scholar] [CrossRef]
- Chong, G.W.; Simonson, S.E.; Stohlgren, T.J.; Kalkhan, M.A. Biodiversity: Aspen Stands Have the Lead, But Will Nonnative Species Take Over; U.S. Department of Agriculture, Forest Service, Rocky Mountain Research Station: Fort Collins, CO, USA, 2001; pp. 13–15.
- Hardenbol, A.A.; Junninen, K.; Kouki, J. A Key Tree Species for Forest Biodiversity, European Aspen (Populus tremula), Is Rapidly Declining in Boreal Old-Growth Forest Reserves. For. Ecol. Manag. 2020, 462, 118009. [Google Scholar] [CrossRef]
- Kuhn, T.J.; Safford, H.D.; Jones, B.E.; Tate, K.W. Aspen (Populus tremuloides) Stands and Their Contribution to Plant Diversity in a Semiarid Coniferous Landscape. Plant Ecol. 2011, 212, 1451–1463. [Google Scholar] [CrossRef]
- Assal, T.J.; Keables, M. Quaking Aspen: The Iconic and Dynamic Deciduous Tree of the Rocky Mountains. In The Rocky Mountain IT iWest: A Compendium of Geographic Perspectives; Smith, J., Johnson, R., Eds.; University Press: Denver, CO, USA, 2020; pp. 20–28. [Google Scholar]
- Dahms, C.; Geils, B. Assessment of Forest Ecosystem Health in the Southwest. Forest Service General Technical Report; Rocky Mountain Forest and Range Experiment Station: Fort Collins, CO, USA, 1997.
- McCool, S. Quaking Aspen and the Human Experience: Dimensions, Issues, and Challenges. In Sustaining Aspen in Western Landscapes: Symposium Proceedings; Shepperd, W.D., Binkley, D., Bartos, D.L., Stohlgren, T.J., Eskew, L.G., Eds.; U.S. Department of Agriculture, Forest Service, Rocky Mountain Research Station: Fort Collins, CO, USA, 2001; Proceedings RMRS-P-18; pp. 147–160. [Google Scholar]
- Harniss, R.O.; Harper, K.T. Tree Dynamics in Seral and Stable Aspen Stands of Central Utah. Aspen Bibliogr. 1982, 4310. Available online: https://digitalcommons.usu.edu/aspen_bib/4310 (accessed on 5 December 2022).
- Rogers, P.C.; Landhäusser, S.M.; Pinno, B.D.; Ryel, R.J. A Functional Framework for Improved Management of Western North American Aspen (Populus tremuloides Michx.). For. Sci. 2014, 60, 345–359. [Google Scholar] [CrossRef]
- Kashian, D.M.; Romme, W.H.; Regan, C.M. Reconciling Divergent Interpretations of Quaking Aspen Decline on the Northern Colorado Front Range. Ecol. Appl. 2007, 17, 1296–1311. [Google Scholar] [CrossRef]
- Kurzel, B.P.; Veblen, T.T.; Kulakowski, D. A Typology of Stand Structure and Dynamics of Quaking Aspen in Northwestern Colorado. For. Ecol. Manag. 2007, 252, 176–190. [Google Scholar] [CrossRef]
- Mueggler, W.F. Vegetation Associations in Aspen: Ecology and Management in the Western United States; USDA Forest Service, Rocky Mountain Forest and Range Experiment Station: Fort Collins, CO, USA, 1985; pp. 45–55.
- Mueggler, W.F. Age Distribution and Reproduction of Intermountain Aspen Stands. West. J. Appl. For. 1989, 4, 41–45. [Google Scholar] [CrossRef]
- Crouch, C.D.; Rogers, P.C.; Moore, M.M.; Waring, K.M. Building Ecosystem Resilience and Adaptive Capacity: A Systematic Review of Aspen Ecology and Management in the Southwest. For. Sci. 2023, 69, 334–354. [Google Scholar] [CrossRef]
- Britton, J.M.; DeRose, R.J.; Mock, K.E.; Long, J.N. Herbivory and Advance Reproduction Influence Quaking Aspen Regeneration Response to Management in Southern Utah, USA. Can. J. For. Res. 2016, 46, 674–682. [Google Scholar] [CrossRef]
- Zeigenfuss, L.C.; Binkley, D.; Tuskan, G.A.; Romme, W.H.; Yin, T.; DiFazio, S.; Singer, F.J. Aspen Ecology in Rocky Mountain National Park: Age Distribution, Genetics, and the Effects of Elk Herbivory. Open File Rep. 2008, 1337. Available online: https://info.ornl.gov/sites/publications/files/Pub13554.pdf (accessed on 1 July 2024).
- DeByle, N.V.; Winokur, R.P. Aspen: Ecology and Management in the Western United States; U.S. Department of Agriculture, Forest Service, Rocky Mountain Forest and Range Experiment Station: Fort Collins, CO, USA, 1985.
- Hessl, A.E.; Graumlich, L.J. Interactive Effects of Human Activities, Herbivory and Fire on Quaking Aspen (Populus tremuloides) Age Structures in Western Wyoming. J. Biogeogr. 2002, 29, 889–902. [Google Scholar] [CrossRef]
- Bailey, J.K.; Schweitzer, J.A.; Rehill, B.J.; Irschick, D.J.; Whitham, T.G.; Lindroth, R.L. Rapid Shifts in the Chemical Composition of Aspen Forests: An Introduced Herbivore as an Agent of Natural Selection. Biol. Invasions 2007, 9, 715–722. [Google Scholar] [CrossRef]
- Beschta, R.L.; Ripple, W.J. Large Predators and Trophic Cascades in Terrestrial Ecosystems of the Western United States. Biol. Conserv. 2009, 142, 2401–2414. [Google Scholar] [CrossRef]
- Fairweather, M.; Tkacz, B. Monitoring Aspen Regeneration in Northern Arizona. In Proceedings of the 46th Western International Forest Disease Work Conference, Reno, NV, USA, 28 September–2 October 1998; pp. 18–23. [Google Scholar]
- Martin, T.E.; Maron, J.L. Climate Impacts on Bird and Plant Communities from Altered Animal–Plant Interactions. Nat. Clim. Chang. 2012, 2, 195–200. [Google Scholar] [CrossRef]
- Rogers, P.C.; McAvoy, D.J. Mule Deer Impede Pando’s Recovery: Implications for Aspen Resilience from a Single-Genotype Forest. PLoS ONE 2018, 13, e0203619. [Google Scholar] [CrossRef]
- Rolf, J.M. Aspen Fencing in Northern Arizona: A 15-Year Perspective. In Sustaining Aspen in Western Landscapes: Symposium Proceedings; Department of Agriculture, Forest Service, Rocky Mountain Research Station: Fort Collins, CO, USA, 2001; Volume Proceedings RMRS-P-18, pp. 193–196. [Google Scholar]
- Rogers, P.C.; Šebesta, J. Past Management Spurs Differential Plant Communities within a Giant Single-Clone Aspen Forest. Forests 2019, 10, 1118. [Google Scholar] [CrossRef]
- Dietrich, S.T.; MacKenzie, M.D.; Battigelli, J.P.; Enterina, J.R. Building a Better Soil for Upland Surface Mine Reclamation in Northern Alberta: Admixing Peat, Subsoil, and Peat Biochar in a Greenhouse Study with Aspen. Can. J. Soil Sci. 2017, 97, 592–605. [Google Scholar] [CrossRef]
- Lauer, N. Elevated Root Zone pH and NaCl Leads to Decreased Foliar Nitrogen, Chlorophyll, and Physiological Performance in Trembling Aspen (Populus tremuloides), Green Alder (Alnus alnobetula), Tamarack (Larix laricina), and White Spruce (Picea glauca). Trees 2023, 37, 1041–1054. [Google Scholar] [CrossRef]
- Lilles, E.B.; Purdy, B.G.; Chang, S.X.; Macdonald, S.E. Soil and Groundwater Characteristics of Saline Sites Supporting Boreal Mixedwood Forests in Northern Alberta. Can. J. Soil. Sci. 2010, 90, 1–14. [Google Scholar] [CrossRef]
- Tremblay, P.-Y.; Thiffault, E.; Pinno, B.D. Effects of Land Reclamation Practices on the Productivity of Young Trembling Aspen and White Spruce on a Reclaimed Oil Sands Mining Site in Northern Alberta. New For. 2019, 50, 911–942. [Google Scholar] [CrossRef]
- Piatt, J.R.; Krause, P.D. Road and Site Characteristics That Influence Road Salt Distribution and Damage to Roadside Aspen Trees. Water Air Soil Pollut. 1974, 3, 301–304. [Google Scholar] [CrossRef]
- Allen, J.A.; Chambers, J.L.; Stine, M. Prospects for Increasing the Salt Tolerance of Forest Trees: A Review. Tree Physiol. 1994, 14, 843–853. [Google Scholar] [CrossRef]
- Maas, E. Salt Tolerance of Plants. Appl. Agric. Res. 1986, 1, 12–25. [Google Scholar]
- Rogers, P.C. Pando’s Pulse: Vital Signs Signal Need for Course Correction at World-Renowned Aspen Forest. Conserv. Sci. Pract. 2022, 4, e12804. [Google Scholar] [CrossRef]
- Rogers, P.C.; Mittanck, C.M.; Ryel, R.J. Aspen Status Report and Recommendation for the Book Cliffs. West. Aspen Alliance 2013, 1–23. Available online: https://digitalcommons.usu.edu/aspen_bib/7701/ (accessed on 16 April 2024).
- Arnberger, A.; Hinterberger, B. Visitor Monitoring Methods for Managing Public Use Pressures in the Danube Floodplains National Park, Austria. J. Nat. Conserv. 2003, 11, 260–267. [Google Scholar] [CrossRef]
- Hughes, J.; Macdonald, D.W. A Review of the Interactions between Free-Roaming Domestic Dogs and Wildlife. Biol. Conserv. 2013, 157, 341–351. [Google Scholar] [CrossRef]
- Hammitt, W.E.; Cole, D.N.; Monz, C.A. Wildland Recreation: Ecology and Management; John Wiley & Sons: Hoboken, NJ, USA, 2015; ISBN 1-118-39700-2. [Google Scholar]
- Miller, A.B.; Blahna, D.J.; Morse, W.C.; Leung, Y.-F.; Rowland, M.M. From Recreation Ecology to a Recreation Ecosystem: A Framework Accounting for Social-Ecological Systems. J. Outdoor Recreat. Tour. 2022, 38, 100455. [Google Scholar] [CrossRef]
- Eco-Visio 2019. Available online: http://www.eco-visio.net/ (accessed on 25 February 2024).
- National Centers for Environmental Information NOAA NCEI. U.S. Climate Normals Quick Access. Available online: https://www.ncei.noaa.gov/access/us-climate-normals/#dataset=normals-annual%20seasonal%20timeframe=30 (accessed on 9 April 2024).
- Esri. ArcGIS® Pro [Software]; Environmental Systems Research Institute: Redlands, CA, USA, 2022. [Google Scholar]
- Utah Geospatial Resource Center. Available online: https://gis.utah.gov/ (accessed on 16 April 2024).
- Rogers, P.C.; Mittanck, C.M. Herbivory Strains Resilience in Drought-prone Aspen Landscapes of the Western United States. J. Veg. Sci. 2014, 25, 457–469. [Google Scholar] [CrossRef]
- Bunnefeld, N.; Linnell, J.D.; Odden, J.; Van Duijn, M.; Andersen, R. Risk Taking by Eurasian Lynx (Lynx lynx) in a Human-dominated Landscape: Effects of Sex and Reproductive Status. J. Zool. 2006, 270, 31–39. [Google Scholar] [CrossRef]
- Roberts, D.W.; Cooper, S.V. Concepts and Techniques of Vegetation Mapping. In Land Classifications Based on Vegetation: Applications for Resource Management; University of Michigan: Moscow, ID, USA, 1987; pp. 90–96. [Google Scholar]
- Gavlak, R.; Horneck, D.; Miller, R.O.; Kotuby-Amacher, J. Soil, Plant and Water Reference Methods for the Western Region; WCC-103 Publication; Western Rural Development Center: Fort Collins, CO, USA, 2003; pp. 1–207. [Google Scholar]
- Horneck, D.A.; Ellsworth, J.W.; Hopkins, B.G.; Sullivan, D.M.; Stevens, R.G. Managing Salt-Affected Soils for Crop Production; Oregon State University Extension Service: Condon, OR, USA, 2007. [Google Scholar]
- Davis, J.G.; Waskom, R.M.; Bauder, T.A.; Cardon, G. Managing Sodic Soils; Colorado State University Extension: Fort Collins, CO, USA, 2012. [Google Scholar]
- Evers, D.; Schmit, C.; Mailliet, Y.; Hausman, J.F. Growth Characteristics and Biochemical Changes of Poplar Shoots In Vitro under Sodium Chloride Stress. J. Plant Physiol. 1997, 151, 748–753. [Google Scholar] [CrossRef]
- R Core Team. R: A Language and Environment for Statistical Computing; R Foundation for Statistical Computing: Vienna, Austria, 2022. [Google Scholar]
- McCune, B.; Mefford, M.J. PC-ORD. Multivariate Analysis of Ecological Data. Version 7; MjM Software Design: Gleneden Beach, OR, USA, 2016. [Google Scholar]
- McCune, B.; Grace, J.B.; Urban, D.L. Analysis of Ecological Communities; MjM Software Design: Gleneden Beach, OR, USA, 2002. [Google Scholar]
- Vaske, J.J. Survey Research and Analysis; ERIC: Urbana, IL, USA, 2019; ISBN 1-57167-879-4. [Google Scholar]
- Zar, J.H. Biostatistical Analysis, 3rd ed.; Prentice Hall: Upper Saddle River, NJ, USA, 1996. [Google Scholar]
- Kruskal, J.B. Nonmetric Multidimensional Scaling: A Numerical Method. Psychometrika 1964, 29, 115–129. [Google Scholar] [CrossRef]
- Peck, J.E. Multivariate Analysis for Community Ecologists; MjM Software Design: Gleneden Beach, OR, USA, 2010. [Google Scholar]
- Mielke, P.W.; Berry, K.J.; Johnson, E.S. Multi-Response Permutation Procedures for a Priori Classifications. Commun. Stat.-Theory Methods 1976, 5, 1409–1424. [Google Scholar] [CrossRef]
- Oksanen, J. Ordination and Analysis of Dissimilarities: Tutorial with R and Vegan; University Tennessee: Knoxville, TN, USA, 2009. [Google Scholar]
- Norton, J.J. (Department of Plants, Soils and Climate, Ecology Center Associate, Detroit, MI, USA). Personal communication, 2023.
- Jones, B.E.; Burton, D.; Tate, K.W. Effectiveness Monitoring of Aspen Regeneration on Managed Rangelands; US Department of Agriculture, Forest Service, Pacific Southwest Region: Vallejo, CA, USA, 2005.
- Kitchen, S.G.; Behrens, P.N.; Goodrich, S.K.; Green, A.; Guyson, J.; O’Brien, M.; Tart, D. Guidelines for Aspen Restoration in Utah with Applicability to the Intermountain West; General Technical Report; U.S. Department of Agriculture, Forest Service, Rocky Mountain Research Station: Fort Collins, CO, USA, 2019.
- Calder, W.J.; St. Clair, S.B. Facilitation Drives Mortality Patterns along Succession Gradients of Aspen-conifer Forests. Ecosphere 2012, 3, 1–11. [Google Scholar] [CrossRef]
- Visscher, D.R.; Walker, P.D.; Flowers, M.; Kemna, C.; Pattison, J.; Kushnerick, B. Human Impact on Deer Use Is Greater than Predators and Competitors in a Multiuse Recreation Area. Anim. Behav. 2023, 197, 61–69. [Google Scholar] [CrossRef]
- Parsons, A.W.; Bland, C.; Forrester, T.; Baker-Whatton, M.C.; Schuttler, S.G.; McShea, W.J.; Costello, R.; Kays, R. The Ecological Impact of Humans and Dogs on Wildlife in Protected Areas in Eastern North America. Biol. Conserv. 2016, 203, 75–88. [Google Scholar] [CrossRef]
- Thompson, M.J.; Henderson, R.E. Elk Habituation as a Credibility Challenge for Wildlife Professionals. Wildl. Soc. Bull. (1973–2006) 1998, 26, 477–483. [Google Scholar]
- Stankowich, T. Ungulate Flight Responses to Human Disturbance: A Review and Meta-Analysis. Biol. Conserv. 2008, 141, 2159–2173. [Google Scholar] [CrossRef]
- Burton, A.C.; Beirne, C.; Gaynor, K.M.; Sun, C.; Granados, A.; Allen, M.L.; Alston, J.M.; Alvarenga, G.C.; Calderón, F.S.Á.; Amir, Z.; et al. Mammal Responses to Global Changes in Human Activity Vary by Trophic Group and Landscape. Nat Ecol Evol 2024, 8, 924–935. [Google Scholar] [CrossRef]
- Barker, B.; Cardon, G.; Yost, M.; Stock, M.; Creech, E.; Gale, J. Managing Saline and Sodic Soils and Irrigation Water; Utah State University Extension: Logan, UT, USA, 2023; pp. 1–15. [Google Scholar]
- Bolu, W.H.; Polle, A. Growth and Stress Reactions in Roots and Shoots of a Salt-Sensitive Poplar Species (Populus × canescens). Trop. Ecol. 2004, 45, 161–172. [Google Scholar]
- Bradfield, E.G.; Guttridge, C.G. Effect of Night-Time Humidity and Nutrient Solution Concentration on the Calcium Content of Tomato Fruit. Sci. Hortic. 1984, 22, 207–217. [Google Scholar] [CrossRef]
- Lopez, M.V.; Satti, S.M.E. Calcium and Potassium-Enhanced Growth and Yield of Tomato under Sodium Chloride Stress. Plant Sci. 1996, 114, 19–27. [Google Scholar] [CrossRef]
- Lilles, E.B.; Purdy, B.G.; Macdonald, S.E.; Chang, S.X. Growth of Aspen and White Spruce on Naturally Saline Sites in Northern Alberta: Implications for Development of Boreal Forest Vegetation on Reclaimed Saline Soils. Can. J. Soil. Sci. 2012, 92, 213–227. [Google Scholar] [CrossRef]
- Khasa, P.; Hambling, B.; Kernaghan, G.; Fung, M.; Ngimbi, E. Genetic Variability in Salt Tolerance of Selected Boreal Woody Seedlings. For. Ecol. Manag. 2002, 165, 257–269. [Google Scholar] [CrossRef]
- Vaario, L.-M.; Yrjälä, K.; Rousi, M.; Sipilä, T.; Pulkkinen, P. Leaf Number Indicates Salt Tolerance of Young Seedling Families of European Aspen (Populus tremula L.) Growing in Different Soils. Silva Fenn. 2011, 45, 19–33. [Google Scholar] [CrossRef]
- Landhäusser, S.M.; Lieffers, V.J. Leaf Area Renewal, Root Retention and Carbohydrate Reserves in a Clonal Tree Species Following Above-ground Disturbance. J. Ecol. 2002, 90, 658–665. [Google Scholar] [CrossRef]
- Zier, J.L.; Baker, W.L. A Century of Vegetation Change in the San Juan Mountains, Colorado: An Analysis Using Repeat Photography. For. Ecol. Manag. 2006, 228, 251–262. [Google Scholar] [CrossRef]







| Code | Descriptor | Overstory Mortality/Disease | Vertical Stand Layers | Visible Browse Impacts |
|---|---|---|---|---|
| 1 | Good | Minimal overstory mortality and stem disease present (<5%) | Several aspen layers (>3) | Browsing impacts on regeneration uncommon (<25%) |
| 2 | Moderate | Does not fit 1 or 3 | Does not fit 1 or 3 | Does not fit 1 or 3 |
| 3 | Poor | Overstory mortality and/or stem cankers common (>25%) | Layers absent or minimal (≥2) | Browsing impacts clearly evident on regeneration (>50%) |
| Zone 1 | Zone 2 | Zone 3 | Overall Study Area | |||||
|---|---|---|---|---|---|---|---|---|
| Variables | Mean | SD | Mean | SD | Mean | SD | Mean | SD |
| Elevation | 2032.80 | 7.07 | 2009.96 | 11.19 | 2013.33 | 8.38 | 2019.92 | 13.88 |
| Slope | 7.42 | 0.75 | 8.90 | 2.66 | 7.36 | 1.55 | 7.93 | 1.93 |
| Aspect | 47.85 | 15.01 | 47.67 | 34.98 | 24.53 | 10.92 | 42.09 | 25.17 |
| Understory cover | 2.56 | 1.58 | 3.19 | 2.14 | 3.45 | 2.50 | 3 | 2.02 |
| % canopy cover | 9.33 | 10.67 | 24.88 | 14.71 | 25.64 | 21.52 | 18.84 | 16.88 |
| Stand layers | 1.94 | 1.26 | 2.50 | 1.03 | 2.91 | 0.83 | 2.38 | 1.13 |
| Stand condition | 2.50 | 0.62 | 1.94 | 0.77 | 2.27 | 0.65 | 2.24 | 0.71 |
| Regeneration ha−1 | 4626.60 | 4021.88 | 3483.48 | 2040.32 | 5344.44 | 5780.35 | 4395.63 | 3976.43 |
| Recruitment ha−1 | 523.29 | 772.96 | 860.72 | 719.66 | 974.40 | 1477.04 | 753.54 | 970.2 |
| Mature ha−1 | 256.23 | 250.57 | 430.36 | 279.53 | 578.73 | 466.13 | 396.98 | 342.12 |
| Recruitment–mature ha−1 ratio | 3.86 | 5.11 | 3.51 | 4.34 | 2.38 | 3.00 | 3.36 | 4.33 |
| Live and dead basal area | 3.97 | 3.03 | 9.44 | 6.01 | 9.58 | 7.20 | 7.28 | 5.93 |
| Live basal area | 1.30 | 2.16 | 6.30 | 4.96 | 5.51 | 4.86 | 4.11 | 4.59 |
| Dead basal area | 2.67 | 1.75 | 3.13 | 4.59 | 4.07 | 4.86 | 3.18 | 3.74 |
| Live–total basal area ratio | 0.20 | 0.31 | 0.74 | 0.31 | 0.57 | 0.38 | 0.48 | 0.4 |
| Elk scat ha−1 | 98.22 | 224.11 | 156.00 | 165.53 | 37.82 | 52.47 | 104 | 177.38 |
| Deer scat ha−1 | 271.56 | 182.38 | 442.00 | 518.61 | 56.73 | 54.31 | 279.64 | 356.72 |
| % browse | 8.08 | 8.97 | 13.94 | 15.42 | 5.37 | 7.18 | 9.50 | 11.64 |
| % damage | 11.11 | 21.66 | 28.53 | 27.14 | 28.78 | 35.30 | 21.62 | 28.13 |
| Soil pH | 7.23 | 0.45 | 7.38 | 0.48 | 7.38 | 0.54 | 7.32 | 0.48 |
| Electrical conductivity dS/m | 0.48 | 0.19 | 0.44 | 0.17 | 0.48 | 0.21 | 0.46 | 0.18 |
| Na (mg)/soil (kg) | 17.79 | 30.96 | 4.21 | 1.85 | 22.33 | 24.84 | 14.07 | 23.87 |
| Mg (mg)/soil (kg) | 3.55 | 2.91 | 2.35 | 1.98 | 9.71 | 7.81 | 4.63 | 5.23 |
| Ca (mg)/soil (kg) | 34.78 | 19.23 | 36.62 | 20.00 | 65.75 | 37.62 | 43 | 27.8 |
| Sodium adsorption ratio | 1.07 | 1.61 | 0.28 | 0.06 | 0.83 | 0.77 | 0.73 | 1.12 |
| Meters to road | 110.43 | 44.79 | 136.11 | 58.69 | 93.08 | 52.53 | 115.32 | 53.55 |
| Meters to summer trials | 13.36 | 11.33 | 17.12 | 19.23 | 21.85 | 17.94 | 16.77 | 16.13 |
| Meters to winter trials | 8.46 | 8.29 | 16.11 | 19.59 | 19.39 | 17.44 | 13.85 | 15.75 |
| Meters to stream | 35.01 | 23.09 | 75.79 | 46.62 | 47.38 | 49.88 | 52.53 | 42.91 |
| r | |||
|---|---|---|---|
| Variable | Axis 1 | Axis 2 | Axis 3 |
| Zone | 0.143 | 0.340 | −0.377 |
| Slope | 0.053 | −0.154 | 0.081 |
| Aspect | −0.154 | 0.047 | −0.086 |
| Understory | 0.079 | 0.207 | 0.040 |
| Percent canopy cover | 0.264 | 0.658 | −0.397 |
| Stand layers | 0.338 | 0.462 | −0.237 |
| Stand condition | −0.253 | −0.293 | −0.028 |
| Recruitment ha−1 | 0.806 | 0.466 | 0.218 |
| Mature ha−1 | −0.171 | 0.755 | −0.356 |
| Total basal area | −0.122 | 0.629 | −0.236 |
| Live basal area | 0.058 | 0.587 | −0.347 |
| Dead basal area | −0.263 | 0.276 | 0.052 |
| Elk scat ha−1 | −0.357 | 0.122 | 0.518 |
| Deer scat ha−1 | −0.449 | 0.197 | 0.685 |
| % browse | −0.296 | 0.210 | 0.277 |
| % damage | 0.234 | 0.280 | 0.043 |
| Soil pH | 0.060 | 0.333 | 0.113 |
| Electrical conductivity (EC) | 0.260 | −0.259 | 0.393 |
| Na (mg)/soil (kg) | −0.251 | 0.207 | −0.32 |
| Mg (mg)/soil (kg) | −0.212 | 0.170 | −0.459 |
| Ca (mg)/soil (kg) | −0.152 | 0.221 | −0.411 |
| Sodium adsorption ratio (SAR) | −0.184 | 0.058 | −0.193 |
| Meters from road | 0.148 | 0.406 | 0.131 |
| Meters from summer trail | −0.220 | 0.398 | 0.225 |
| Meters from winter trail | −0.262 | −0.038 | 0.153 |
| Meters from stream | −0.017 | −0.038 | 0.052 |
| Cumulative value | 0.405 | 0.319 | 0.158 |
| Zone | T | A | p |
|---|---|---|---|
| Zone 1 vs. Zone 2 | −2.49 | 0.03 | 0.025 |
| Zone 1 vs. Zone 3 | −1.88 | 0.03 | 0.052 |
| Zone 2 vs. Zone 3 | −3.40 | 0.04 | 0.008 |
| Soil Sodium Levels | |||
| Low vs. Medium | −0.83 | 0.01 | 0.18 |
| Low vs. High | −2.70 | 0.04 | 0.02 |
| Medium vs. High | −0.45 | 0.01 | 0.26 |
Disclaimer/Publisher’s Note: The statements, opinions and data contained in all publications are solely those of the individual author(s) and contributor(s) and not of MDPI and/or the editor(s). MDPI and/or the editor(s) disclaim responsibility for any injury to people or property resulting from any ideas, methods, instructions or products referred to in the content. |
© 2024 by the authors. Licensee MDPI, Basel, Switzerland. This article is an open access article distributed under the terms and conditions of the Creative Commons Attribution (CC BY) license (https://creativecommons.org/licenses/by/4.0/).
Share and Cite
Corkery, G.; Miller, A.B.; Rogers, P.C. Quaking Aspen in a High-Use Recreation Area: Challenges of People, Ungulates, and Sodium on Landscape Resilience. Land 2024, 13, 1003. https://doi.org/10.3390/land13071003
Corkery G, Miller AB, Rogers PC. Quaking Aspen in a High-Use Recreation Area: Challenges of People, Ungulates, and Sodium on Landscape Resilience. Land. 2024; 13(7):1003. https://doi.org/10.3390/land13071003
Chicago/Turabian StyleCorkery, Georgie, Anna B. Miller, and Paul C. Rogers. 2024. "Quaking Aspen in a High-Use Recreation Area: Challenges of People, Ungulates, and Sodium on Landscape Resilience" Land 13, no. 7: 1003. https://doi.org/10.3390/land13071003
APA StyleCorkery, G., Miller, A. B., & Rogers, P. C. (2024). Quaking Aspen in a High-Use Recreation Area: Challenges of People, Ungulates, and Sodium on Landscape Resilience. Land, 13(7), 1003. https://doi.org/10.3390/land13071003

