Coupling Coordination Analysis of County Tourism Development and Multidimensional Poverty Based on Nighttime Light Data
Abstract
1. Introduction
2. Materials and Methods
2.1. Study Area
2.2. Data Sources and Processing
2.3. Research Methods
2.3.1. Area Light Index
2.3.2. Evaluation Index System
- (1)
- The evaluation of multidimensional poverty was as follows: Scholars have widely adopted statistics-based multidimensional poverty assessment [9,37], and the MPI has become the basis for regional poverty measurement. Based on the theory of multidimensional poverty, and adhering to the principles of scientificity, comprehensiveness, and data availability, a multidimensional poverty indicator system (Table 2) was constructed in combination with the poverty alleviation standards of “having no worries about food and clothing, and three guarantees” and the rural revitalization strategy. The system consists of five dimensions: natural environment, economic infrastructure, transport, public services, and social structure, with a total of 10 indicators. The actual comprehensive development index (ACDI) was constructed to characterize the comprehensive development level of key counties based on index data. The weight of each index was calculated using the entropy method with a time variable [38], resulting in a more objective calculation.
- (2)
- The evaluation of tourism development was as follows: Based on the entropy method and the research results of most scholars [23,39], two indicators, per capita tourism income and per capita tourist reception, were selected to construct a tourism development index system (Table 3), and the tourism development index (TDI) was calculated. Per capita tourism income directly reflects the development effect of tourism, while per capita tourist reception represents the radiation-driving effect of tourism on related industries. It reflects the comprehensive contribution of the real economic input of tourism to the entire key counties and effectively represents the advantages and disadvantages of the pro-poor impact of tourism.
2.3.3. Measurement Model Construction
- (1)
- The regression model fitting was performed as follows: The study chose each district of Chongqing as a sample area and established the relationship model between ANLI and ACDI, namely the multidimensional poverty measurement model. The economic and social development level of each district and county in Chongqing was quite different, which conformed to the poverty spatial difference in the entire region [14]. In addition, compared with other key counties in Sichuan, Chongqing, as a municipality directly under the central government, has more complete statistical data on its districts and counties, which is conducive to the construction of a multidimensional poverty index system.
- (2)
- The model accuracy test was performed as follows: To ensure the reliability of OECD calculations based on ANLI, we compared it with the ACDI calculations based on statistical data, calculated relative error (RE), and mean relative error (MRE) as follows:
2.3.4. Coefficient of Variation
2.3.5. Coupling Coordination Degree Model
3. Results
3.1. Multidimensional Poverty Measurement Model
3.1.1. Measurement Model Selection
3.1.2. Accuracy Evaluation
3.2. Spatio-Temporal Characteristics of Multidimensional Poverty
3.3. Spatio-Temporal Characteristics of Tourism Development
3.4. Analysis of Coupled Coordination Relationship
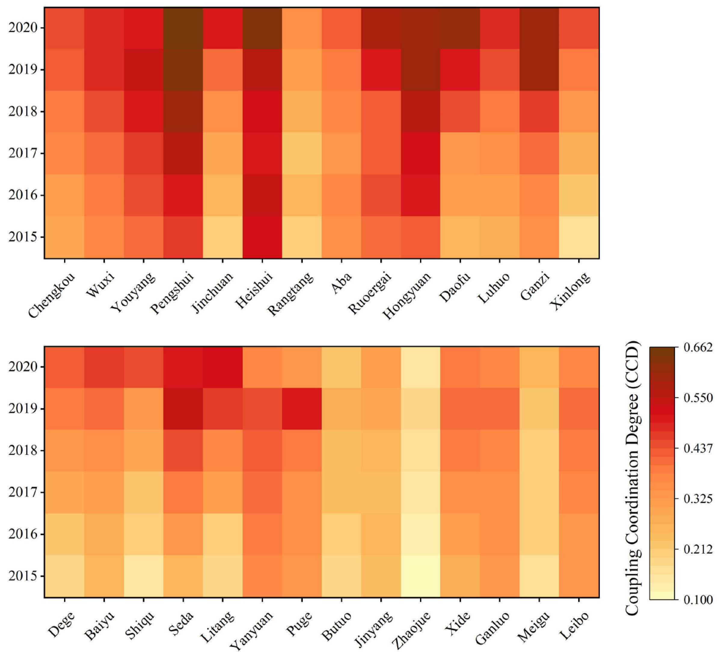
3.4.1. Coupling Coordination Degree
3.4.2. Coupling Coordination Type
4. Discussion
4.1. Assessing Multidimensional Poverty by NTL Data
4.2. Synchronization of Tourism Development and Poverty Reduction
4.3. Limitations and Future Research Directions
5. Conclusions
5.1. Main Findings
- (1)
- From 2015 to 2020, the level of tourism development in key counties in the Sichuan–Chongqing region had shown an upward trend. The counties receiving high-level tourism development assistance were mainly concentrated in Aba Prefecture, while Liangshan Prefecture’s tourism development level was generally low. The spatial difference in tourism development among each assisted county was narrowing. Of all, Chongqing’s key counties exhibited the most balanced tourism development. While Liangshan Prefecture showed significant spatial differences, there was a noticeable trend towards narrowing the gap.
- (2)
- During the same period, the multidimensional poverty level of key counties had continuously improved, especially since ECDI was in the accelerated growth stage from 2017 to 2020. The median and low ECDI values were mainly distributed in Aba Prefecture and Ganzi Prefecture, while the high ECDI values were relatively concentrated in Chongqing and Liangshan Prefecture. The spatial distribution of multidimensional poverty was consistent with the distribution of ECDI, with regions having a slight difference corresponding to high ECDI values, while regions with low ECDI showed an unbalanced spatial distribution of multidimensional poverty.
- (3)
- Since 2015, most key counties’ CCDs supporting county tourism development and multidimensional poverty had increased to varying degrees, indicating coordinated development, holistically. Among them, Chongqing’s key counties’ coordination level was the highest, while Liangshan Prefecture’s coordination level was relatively low. In addition, regional differences in tourism poverty reduction were gradually narrowing, regional development was moving towards synergy and equilibrium, and the speed of narrowing differences was slowing down.
- (4)
- In terms of coordination type, the key counties were obstacles to coordination in the early stage and mainly transformed into reluctant coordination and moderate coordination in the later stage. In 2019, high coordination began to appear. The obstacles to coordination were mainly distributed in Ganzi Prefecture and Liangshan Prefecture in the early stage and concentrated in Liangshan Prefecture later. The distribution of reluctant coordination and moderate coordination counties was relatively scattered, and local agglomeration was formed near high coordination counties in the later stage. Generally speaking, the overall transition from the initial obstacles to coordination stage to a relatively high coordination development stage. However, the threshold effect of tourism poverty reduction led to a certain degree of non-synchronization between tourism development and poverty reduction in Aba Prefecture.
5.2. Policy Implications
Author Contributions
Funding
Data Availability Statement
Conflicts of Interest
References
- Guo, Y.; Zhou, Y.; Liu, Y. Targeted Poverty Alleviation and Its Practices in Rural China: A Case Study of Fuping County, Hebei Province. J. Rural. Stud. 2022, 93, 430–440. [Google Scholar] [CrossRef]
- Niu, T.; Chen, Y.; Yuan, Y. Measuring Urban Poverty Using Multi-Source Data and a Random Forest Algorithm: A Case Study in Guangzhou. Sustain. Cities Soc. 2020, 54, 102014. [Google Scholar] [CrossRef]
- Shi, K.; Chang, Z.; Chen, Z.; Wu, J.; Yu, B. Identifying and Evaluating Poverty Using Multisource Remote Sensing and Point of Interest (POI) Data: A Case Study of Chongqing, China. J. Clean. Prod. 2020, 255, 120245. [Google Scholar] [CrossRef]
- Qin, D.; Xu, H.; Chung, Y. Perceived Impacts of the Poverty Alleviation Tourism Policy on the Poor in China. J. Hosp. Tour. Manag. 2019, 41, 41–50. [Google Scholar] [CrossRef]
- Liu, T.; Yu, L.; Chen, X.; Li, X.; Du, Z.; Yan, Y.; Peng, D.; Gong, P. Utilizing Nighttime Light Datasets to Uncover the Spatial Patterns of County-Level Relative Poverty-Returning Risk in China and Its Alleviating Factors. J. Clean. Prod. 2024, 448, 141682. [Google Scholar] [CrossRef]
- Kubiszewski, I.; Costanza, R.; Franco, C.; Lawn, P.; Talberth, J.; Jackson, T.; Aylmer, C. Beyond GDP: Measuring and Achieving Global Genuine Progress. Ecol. Econ. 2013, 93, 57–68. [Google Scholar] [CrossRef]
- Bossert, W.; Chakravarty, S.R.; D’Ambrosio, C. Multidimensional Poverty and Material Deprivation with Discrete Data. Rev. Income Wealth 2013, 59, 29–43. [Google Scholar] [CrossRef]
- Alkire, S.; Foster, J. Counting and Multidimensional Poverty Measurement. J. Public Econ. 2011, 95, 476–487. [Google Scholar] [CrossRef]
- Yu, J. Multidimensional Poverty in China: Findings Based on the CHNS. Soc. Indic. Res. 2013, 112, 315–336. [Google Scholar] [CrossRef]
- Li, G.; Cai, Z.; Liu, J.; Liu, X.; Su, S.; Huang, X.; Li, B. Multidimensional Poverty in Rural China: Indicators, Spatiotemporal Patterns and Applications. Soc. Indic. Res. 2019, 144, 1099–1134. [Google Scholar] [CrossRef]
- Wang, Y.; Wang, B. Multidimensional Poverty Measure and Analysis: A Case Study from Hechi City, China. SpringerPlus 2016, 5, 642. [Google Scholar] [CrossRef]
- Burke, M.; Driscoll, A.; Lobell, D.B.; Ermon, S. Using Satellite Imagery to Understand and Promote Sustainable Development. Science 2021, 371, eabe8628. [Google Scholar] [CrossRef]
- Yu, B.; Shi, K.; Hu, Y.; Huang, C.; Chen, Z.; Wu, J. Poverty Evaluation Using NPP-VIIRS Nighttime Light Composite Data at the County Level in China. IEEE J. Sel. Top. Appl. Earth Obs. Remote Sens. 2015, 8, 1217–1229. [Google Scholar] [CrossRef]
- Yong, Z.; Li, K.; Xiong, J.; Cheng, W.; Wang, Z.; Sun, H.; Ye, C. Integrating DMSP-OLS and NPP-VIIRS Nighttime Light Data to Evaluate Poverty in Southwestern China. Remote Sens. 2022, 14, 600. [Google Scholar] [CrossRef]
- Zeng, B.; Ryan, C. Assisting the Poor in China through Tourism Development: A Review of Research. Tour. Manag. 2012, 33, 239–248. [Google Scholar] [CrossRef]
- Bowden, J. Pro-Poor Tourism and the Chinese Experience. Asia Pac. J. Tour. Res. 2005, 10, 379–398. [Google Scholar] [CrossRef]
- An, H.-M.; Xiao, C.-D.; Tong, Y.; Fan, J. Ice-and-Snow Tourism and Its Sustainable Development in China: A New Perspective of Poverty Alleviation. Adv. Clim. Change Res. 2021, 12, 881–893. [Google Scholar] [CrossRef]
- Liu, Z.; Xie, A. Poverty Reduction Effects of Integrating High-Quality Development and Cultural Tourism in China. Chin. J. Popul. Resour. Environ. 2022, 20, 383–391. [Google Scholar] [CrossRef]
- Ridderstaat, J.; Fu, X.; Lin, B. A Framework for Understanding the Nexus between Tourism Development and Poverty: Application to Honduras. Tour. Manag. 2022, 93, 104620. [Google Scholar] [CrossRef]
- Schmidt, J.; Uriely, N. Tourism Development and the Empowerment of Local Communities: The Case of Mitzpe Ramon, a Peripheral Town in the Israeli Negev Desert. J. Sustain. Tour. 2019, 27, 805–825. [Google Scholar] [CrossRef]
- Zhao, L. Tourism, Institutions, and Poverty Alleviation: Empirical Evidence from China. J. Travel Res. 2021, 60, 1543–1565. [Google Scholar] [CrossRef]
- Yang, J.; Wu, Y.; Wang, J.; Wan, C.; Wu, Q. A Study on the Efficiency of Tourism Poverty Alleviation in Ethnic Regions Based on the Staged DEA Model. Front. Psychol. 2021, 12, 642966. [Google Scholar] [CrossRef] [PubMed]
- Xiao, K.; Ullah, W.; Fu, J.; Zhang, X. Poverty Alleviation Efficiency of Tourism and Its Spatiotemporal Differentiation in Jiangxi Province of China Based on the DEA Model. SAGE Open 2023, 13, 215824402311688. [Google Scholar] [CrossRef]
- Folarin, O.; Adeniyi, O. Does Tourism Reduce Poverty in Sub-Saharan African Countries? J. Travel Res. 2020, 59, 140–155. [Google Scholar] [CrossRef]
- Bires, Z.; Raj, S. Tourism as a Pathway to Livelihood Diversification: Evidence from Biosphere Reserves, Ethiopia. Tour. Manag. 2020, 81, 104159. [Google Scholar] [CrossRef]
- Winter, T.; Kim, S. Exploring the Relationship between Tourism and Poverty Using the Capability Approach. J. Sustain. Tour. 2021, 29, 1655–1673. [Google Scholar] [CrossRef]
- Dossou, T.A.M.; Ndomandji Kambaye, E.; Bekun, F.V.; Eoulam, A.O. Exploring the Linkage between Tourism, Governance Quality, and Poverty Reduction in Latin America. Tour. Econ. 2023, 29, 210–234. [Google Scholar] [CrossRef]
- Gascón, J. Pro-Poor Tourism as a Strategy to Fight Rural Poverty: A Critique. J. Agrar. Change 2015, 15, 499–518. [Google Scholar] [CrossRef]
- Llorca-Rodríguez, C.M.; Casas-Jurado, A.C.; García-Fernández, R.M. Tourism and Poverty Alleviation: An Empirical Analysis Using Panel Data on Peru’s Departments. Int. J. Tour. Res. 2017, 19, 746–756. [Google Scholar] [CrossRef]
- Scheyvens, R.; Hughes, E. Can Tourism Help to “End Poverty in All Its Forms Everywhere”? The Challenge of Tourism Addressing SDG1. J. Sustain. Tour. 2019, 27, 1061–1079. [Google Scholar] [CrossRef]
- He, J.; Wang, X.; Liu, D.; Sun, X.; Duan, Z. The Decoupling Relationship between Tourism Development and Multidimensional Poverty in National-Level Poor Counties: A Case Study of Southwest China. Geogr. Res. 2019, 38, 1189–1207. [Google Scholar] [CrossRef]
- Li, J.; Dang, P.; Ren, L. Rural Tourismand Its Impacts on the Rural Households’ Multidimensional Poverty in Poor Mountainous Areas in China. Hum. Geogr. 2020, 35, 122–131. [Google Scholar] [CrossRef]
- Ge, Y.; Hu, S.; Song, Y.; Zheng, H.; Liu, Y.; Ye, X.; Ma, T.; Liu, M.; Zhou, C. Sustainable Poverty Reduction Models for the Coordinated Development of the Social Economy and Environment in China. Sci. Bull. 2023, 68, 2236–2246. [Google Scholar] [CrossRef]
- Wang, D.; Sha, M.; Zhu, M. Coupling Analysis of Tourism Resource Superiorityand Poverty Alleviation Power in National Poverty-Stricken Counties: A Case Study of 433 Povertyalleviation Counties. Hum. Geogr. 2020, 35, 111–119+149. [Google Scholar] [CrossRef]
- Wu, K.; Wang, X. Aligning Pixel Values of DMSP and VIIRS Nighttime Light Images to Evaluate Urban Dynamics. Remote Sens. 2019, 11, 1463. [Google Scholar] [CrossRef]
- Pan, J.; Hu, Y. Spatial Identification of Multi-Dimensional Poverty in Rural China: A Perspective of Nighttime-Light Remote Sensing Data. J. Indian Soc. Remote Sens. 2018, 46, 1093–1111. [Google Scholar] [CrossRef]
- Hanandita, W.; Tampubolon, G. Multidimensional Poverty in Indonesia: Trend Over the Last Decade (2003–2013). Soc. Indic. Res. 2016, 128, 559–587. [Google Scholar] [CrossRef]
- Jing, W.; Zhang, W.; Luo, P.; Wu, L.; Wang, L.; Yu, K. Assessment of Synergistic Development Potential between Tourism and Rural Restructuring Using a Coupling Analysis: A Case Study of Southern Shaanxi, China. Land 2022, 11, 1352. [Google Scholar] [CrossRef]
- Mu, X.; Guo, X.; Ming, Q. The Spatio-Temporal Evolution and Impact Mechanism of County Tourism Poverty Alleviation Efficiency from the Perspective of Multidimensional Poverty: A Case Study of 25 Border Counties (Cities) in Yunnan Province. Econ. Geogr. 2020, 40, 199–210. [Google Scholar] [CrossRef]
- Deng, H.; Lu, L. The Urban Tourism Efficiencies of Cities in Anhui Province Based on DEA Model. J. Nat. Resour. 2014, 29, 313–323. [Google Scholar] [CrossRef]
- Lai, Z.; Ge, D.; Xia, H.; Yue, Y.; Wang, Z. Coupling Coordination between Environment, Economy and Tourism: A Case Study of China. PLoS ONE 2020, 15, e0228426. [Google Scholar] [CrossRef] [PubMed]
- Zhang, Y.; Haseeb, M.; Hossain, M.E.; Hu, M.; Li, Z. Study on the Coupling and Coordination Degree between Urban Tourism Development and Habitat Environment in the Yangtze River Delta in China. Environ. Sci. Pollut. Res. 2022, 30, 14805–14820. [Google Scholar] [CrossRef] [PubMed]
- Cheng, L.; Zhang, J. Assessment of Coupling Coordination between Tourism Development and Economic Growth after the 2008 Wenchuan Earthquake: Beichuan, China. Asia Pac. J. Tour. Res. 2020, 25, 602–619. [Google Scholar] [CrossRef]
- Pan, J.; Hu, Y. Spatial Identification of Multidimensional Poverty in China Based on Nighttime Light Remote Sensing Data. Econ. Geogr. 2016, 36, 124–131. [Google Scholar]
- Li, X.; Xu, H.; Chen, X.; Li, C. Potential of NPP-VIIRS Nighttime Light Imagery for Modeling the Regional Economy of China. Remote Sens. 2013, 5, 3057–3081. [Google Scholar] [CrossRef]
- Gibson, J.; Olivia, S.; Boe-Gibson, G.; Li, C. Which Night Lights Data Should We Use in Economics, and Where? J. Dev. Econ. 2021, 149, 102602. [Google Scholar] [CrossRef]
- Gibson, J.; Olivia, S.; Boe-Gibson, G. Night Lights in Economics: Sources and Uses. J. Econ. Surv. 2020, 34, 955–980. [Google Scholar] [CrossRef]
- Tuttle, B.; Anderson, S.; Elvidge, C.; Ghosh, T.; Baugh, K.; Sutton, P. Aladdin’s Magic Lamp: Active Target Calibration of the DMSP OLS. Remote Sens. 2014, 6, 12708–12722. [Google Scholar] [CrossRef]
- Wang, F.; Du, L.; Tian, M.; Liu, Y.; Zhang, Y. Sustainability of Rural Tourism in Poverty Reduction: Evidence from Panel Data of 15 Underdeveloped Counties in Anhui Province, China. PLoS ONE 2023, 18, e0283048. [Google Scholar] [CrossRef]
- Zhao, L.; Zhang, C. Threshold Effect and Empirical Test of Tourism on Poverty Alleviation—Based on Provincial Panel Data in Western China. Finance Trade Econ. 2018, 39, 130–145. [Google Scholar] [CrossRef]
- Tian, M.; Huang, Y.; Wang, F.; Liu, Y.; Liu, C.; Meng, X. The Threshold Effect of Rural Tourism in Poverty Reduction in Underdeveloped Areas——Based on Panel Data of 15 Underdeveloped Counties in Anhui Province. For. Econ. 2022, 44, 65–81. [Google Scholar] [CrossRef]
- Zhao, L.; Xia, X. Tourism and Poverty Reduction: Empirical Evidence from China. Tour. Econ. 2020, 26, 233–256. [Google Scholar] [CrossRef]
- Alam, M.S.; Paramati, S.R. The Impact of Tourism on Income Inequality in Developing Economies: Does Kuznets Curve Hypothesis Exist? Ann. Tour. Res. 2016, 61, 111–126. [Google Scholar] [CrossRef]
- Seetanah, B.; Gopy-Ramdhany, N.; Bhattu-Babajee, R. Can Tourism Curb Income Inequality? Tourism Agenda 2030. Tour. Rev. 2023, 78, 646–664. [Google Scholar] [CrossRef]
- Ma, D.; Sun, D.; Wang, Z. Exploring the Rural Revitalization Effect under the Interaction of Agro-Tourism Integration and Tourism-Driven Poverty Reduction: Empirical Evidence for China. Land 2024, 13, 60. [Google Scholar] [CrossRef]










| Data | Description | Year | Source |
|---|---|---|---|
| NPP-VIIRS | Annual VIIRS Nighttime Lights Version 2 | 2015–2020 | https://eogdata.mines.edu/products/vnl/, accessed on 12 April 2023 |
| Socio-economic data | Data on economy, education, medical care and social protection of districts and counties in Chongqing | 2015–2020 | https://tjj.cq.gov.cn/, accessed on 18 April 2023 |
| Tourism data | Key counties tourism income and tourism reception | 2015–2020 | Statistical Communiqué on the National Economic and Social Development of key counties (2015–2020) |
| Boundaries | Shapefiles of county-level regions in Sichuan and Chongqing | 2019 | https://www.webmap.cn/, accessed on 12 April 2023 |
| DEM | GDEMV2 30M raster | / | https://www.gscloud.cn/, accessed on 20 April 2023 |
| Dimension | Index | Attribute | Weight |
|---|---|---|---|
| Natural environment | Average altitude (m) | − | 0.044 |
| Proportion of area with slope above 25° (%) | − | 0.049 | |
| Economic base | GDP per capita (yuan) | + | 0.121 |
| Per capita local fiscal income (yuan) | + | 0.144 | |
| Per capita disposable income of rural residents (yuan) | + | 0.091 | |
| Transportation facilities | Road network density (km/km2) | + | 0.064 |
| Public service | Number of students enrolled per capita (persons/10,000 persons) | + | 0.066 |
| Number of beds in hospitals and health centers per capita (beds/10,000 persons) | + | 0.167 | |
| Number of beds per capita in socially adopted units (beds/10,000 persons) | + | 0.200 | |
| Social structure | Proportion of population aged 60 and over (%) | − | 0.054 |
| Index | Attribute | Weight |
|---|---|---|
| Per capita tourism income (yuan) | + | 0.585 |
| Per capita tourist reception (person–times) | + | 0.415 |
| Coordination Level | Type |
|---|---|
| Obstacles to coordination | |
| Reluctant coordination | |
| Moderate coordination | |
| High coordination |
| Year | R2 of Different Regression Models | ||||
|---|---|---|---|---|---|
| Linear | Quadratic Polynomial | Cubic Polynomial | Exponential | Logarithmic | |
| 2015 | 0.660 | 0.737 | 0.784 | 0.495 | 0.850 |
| 2016 | 0.669 | 0.770 | 0.819 | 0.512 | 0.851 |
| 2017 | 0.630 | 0.747 | 0.829 | 0.473 | 0.896 |
| 2018 | 0.698 | 0.812 | 0.865 | 0.548 | 0.881 |
| 2019 | 0.639 | 0.732 | 0.797 | 0.505 | 0.853 |
| 2020 | 0.638 | 0.714 | 0.812 | 0.489 | 0.895 |
| Year | MRE | The Proportion of Mean Relative Error (MRE) | ||
|---|---|---|---|---|
| High Accuracy (0~25%) | Medium Accuracy (25~50%) | Error (50~100%) | ||
| 2015 | 13.08% | 89.19% | 10.81% | 0 |
| 2016 | 13.49% | 86.49% | 13.51% | 0 |
| 2017 | 10.02% | 97.30% | 2.70% | 0 |
| 2018 | 10.72% | 94.59% | 5.41% | 0 |
| 2019 | 10.78% | 91.89% | 8.11% | 0 |
| 2020 | 8.60% | 97.30% | 2.70% | 0 |
| Region | Coupling Coordination Degree (CCD) | ||||||
|---|---|---|---|---|---|---|---|
| 2015 | 2016 | 2017 | 2018 | 2019 | 2020 | Mean | |
| Synthesis | 0.288 | 0.324 | 0.347 | 0.383 | 0.433 | 0.444 | 0.370 |
| Chongqing | 0.381 | 0.415 | 0.451 | 0.486 | 0.525 | 0.525 | 0.464 |
| Aba | 0.349 | 0.396 | 0.381 | 0.418 | 0.462 | 0.514 | 0.420 |
| Ganzi | 0.233 | 0.275 | 0.328 | 0.382 | 0.454 | 0.499 | 0.362 |
| Liangshan | 0.260 | 0.283 | 0.297 | 0.314 | 0.350 | 0.307 | 0.302 |
Disclaimer/Publisher’s Note: The statements, opinions and data contained in all publications are solely those of the individual author(s) and contributor(s) and not of MDPI and/or the editor(s). MDPI and/or the editor(s) disclaim responsibility for any injury to people or property resulting from any ideas, methods, instructions or products referred to in the content. |
© 2024 by the authors. Licensee MDPI, Basel, Switzerland. This article is an open access article distributed under the terms and conditions of the Creative Commons Attribution (CC BY) license (https://creativecommons.org/licenses/by/4.0/).
Share and Cite
Xiao, H.; Yu, J.; Zhang, Y.; Xin, C.; Wan, J.; Tang, X. Coupling Coordination Analysis of County Tourism Development and Multidimensional Poverty Based on Nighttime Light Data. Land 2024, 13, 680. https://doi.org/10.3390/land13050680
Xiao H, Yu J, Zhang Y, Xin C, Wan J, Tang X. Coupling Coordination Analysis of County Tourism Development and Multidimensional Poverty Based on Nighttime Light Data. Land. 2024; 13(5):680. https://doi.org/10.3390/land13050680
Chicago/Turabian StyleXiao, Hai, Jiahao Yu, Yifan Zhang, Chuliang Xin, Jiangjun Wan, and Xiaohong Tang. 2024. "Coupling Coordination Analysis of County Tourism Development and Multidimensional Poverty Based on Nighttime Light Data" Land 13, no. 5: 680. https://doi.org/10.3390/land13050680
APA StyleXiao, H., Yu, J., Zhang, Y., Xin, C., Wan, J., & Tang, X. (2024). Coupling Coordination Analysis of County Tourism Development and Multidimensional Poverty Based on Nighttime Light Data. Land, 13(5), 680. https://doi.org/10.3390/land13050680
