Abstract
The watershed habitat, especially floodplains, is often impacted by the interaction between the natural environment and human activities, and the fragile ecological balance is easily disturbed. Therefore, the study of the changes in habitat quality in floodplains is significant for the reconstruction of damaged habitats. In this study, the landscape patterns and habitat quality in the Yongding River floodplain from 1967 to 2018 were evaluated. We employed spatial analysis to explore the characteristics and correlation of its spatio-temporal pattern change. Our results show that, first, the overall landscape pattern of the Yongding River floodplain was dominated by arable land and forestland while the construction land expanded. Second, the landscape pattern tended toward fragmentation, and the degree of landscape complexity increased. Third, the habitat quality was generally above the medium level. However, the low-quality area continued to increase. Furthermore, there was a strong correlation between habitat quality and the Aggregation Index, Diversity Index, and the area of water and forestland. In this context, the protection of the integrity and diversity of the landscape, reducing or even prohibiting the loss of water and forestland habitats, and restoring the ecological river, should be strengthened. The contribution of this paper provides a scientific reference to the comprehensive management and ecological restoration of river ecosystems.
1. Introduction
Habitat quality refers to the ability of an ecosystem to provide conditions appropriate for individual and population persistence, and it can reflect the essential attributes of the ecological environment as well as the regional ecological health level [1]. However, due to human activities, habitats have been degraded and fragmented or even disappeared in recent decades, seriously threatening biodiversity and human well-being [2,3]. The intensity of human activities can be demonstrated by land use changes [4], which reveal the interaction between human activities and the natural environment [5]. Therefore, understanding how land usage changes affect habitat quality is important for optimizing and enhancing the ecological environment. Landscape pattern describes the shape, proportion, and spatial configuration of land use or landscape ecosystems [6]. Landscape pattern analysis is increasingly being applied to research on land use changes [7]. For example, a specific city [8,9] or a certain kind of landscape [10], such as a wetland landscape or forest landscape, can be taken as the research object to study its landscape pattern changes. The common analysis methods include Markov’s transition matrix and landscape pattern index analysis. The former is used to study the dynamic change direction of land use, and the latter quantitatively describes the spatial change in landscape structure [11,12]. Moreover, the impact of landscape pattern changes on regional habitat quality has attracted considerable attention in recent years [13,14]. Since landscape patterns can effectively reflect the impact of human activities on land use changes [15,16], the study of the correlation between landscape patterns and habitat quality can quantitatively describe the impact of human activities on habitat quality from different spatial scales.
A river habitat is a comprehensive environment of the living habitat of aquatic animals, plants, and adjacent environments, and it strongly influences the stability and health of river ecosystems [17,18]. However, under the influence of climate change and human activities, water shortage and environmental problems have been progressively prominent, leading to the gradual degradation of river ecosystems and the reduction in biodiversity [19,20]. The evaluation of river habitat quality can provide the basis for river ecological environmental remediation, river regulation project, and river health restoration [21,22,23]. At present, according to the technical characteristics, the evaluation methods of a river habitat can be mainly divided into two categories: the evaluation of an index system based on a field sampling survey and the simulation of an ecological model based on 3S technology [24]. Of these, the habitat quality module in the InVEST model has been widely used because of its easy access to basic data, quantitative evaluation results, and spatial visualization [25,26]. Scholars have used this module to analyze the habitat quality at different scales, such as river basins and cities, from different aspects of hydrological and vegetation index changes [27,28]. Therefore, the InVEST model is used in this paper to study the evolution of habitat quality and its correlation with landscape pattern changes under the influence of human activities and natural history conditions so as to promote the sustainable development of river habitats.
As the mother river of Beijing (located in China), the Yongding River, with a total length of more than 740 km, is the largest river in the Haihe River system. The Yongding River plays an important role in landscape, ecology, and society and acts as an important ecological barrier to the southwest aspect of the city. Historically, large tracts of primary forest existed, with clear water and lush vegetation, especially in the upstream regions. However, deforestation from the 13th to the 20th centuries led to massive floods. In the past 50 years, increased damming and water extraction have dramatically changed the hydrological, resulting in perennial drought in the Yongding River, in particular the plain section, which has a serious water shortage and is challenged by channel exposure and environmental deterioration. In this regard, under the guidance of various policies, the Yongding River Comprehensive Rehabilitation project was implemented. This river section management mainly highlights the restoration of the natural characteristics of the river, with strategies such as ecological restoration, beach management, and regional safety construction. Therefore, based on land use data of the Yongding River floodplain from 1967 to 2018, this study analyzes the spatial and temporal changes in landscape patterns and habitat quality from the river section scale. Specifically, the objectives of this study are (1) to assess and visualize the landscape pattern and habitat quality in different periods to compare previous changes and the current situation and (2) to comprehensively identify the relationship and coupling mechanism between different landscape pattern indices and habitat quality to provide a reference for the planning, construction, and protection of the Yongding River floodplain in the future.
2. Materials and Methods
2.1. Study Area
The diversion of the Yongding River gradually formed the Yongding River floodplain, which is located in the lower Yongding River plain. Including the Lianggezhuang–Qujiadian section of the Yongding River, the Yongding River floodplain spans Beijing, Langfang, and Tianjin, with a length of about 67 km, covering about 581 km2 (Figure 1). The establishment of the Beijing Guanting Reservoir in 1954 caused a decline in the amount of water in the sections below the reservoir. Specifically, the annual inflow in the floodplain dropped from 1.72 billion cubic meters to 300 million cubic meters [29]. After 1970, mountain gorge floods hardly flowed into the floodplain, resulting in the river plain gradually drying up and not flowing [30]. In addition, this area is constantly disturbed by strong human activities. Accordingly, a significant ecological environment change has occurred.
Figure 1.
Geographic location of the study area.
2.2. Data Resources
The land use data in 1967, 1980, 2004, and 2018 of the Yongding River floodplain was extracted from the remote sensing images of the corresponding wet seasons based on the image analysis principle of less cloud cover and optimal vegetation discrimination. Due to the long research span, the image sources were satellite remote sensing images that can be obtained from various historical periods, which were taken from June to September. The negative impact of the input data had been produced due to the diversity and quality of different satellites. To be specific, as shown in Table 1, inconsistent resolutions in the input images were unexpected, which may cause undesired and inaccurate data classification results. Thus, all data collected by satellites were uniformly processed as 10 m × 10 m raster data.
Table 1.
Satellite image source.
According to the actual characteristics of the related river corridor and the relevant landscape ecology theories [31], the land use types in the Yongding River floodplain were divided into seven categories, i.e., arable land, forestland, grassland, bottomland, water, construction land, and unused land (Table 2). In order to avoid errors caused by different interpretation methods, these four-year data were classified by manual interpretation in ArcGIS, cooperating with a series of data preprocessing work, such as projection transformation and clipping, which outputs raster data as a result (Figure 2).
Table 2.
Land use classification of the Yongding River floodplain.
Figure 2.
Land use in the Yongding River floodplain from 1967 to 2018.
2.3. Methods
2.3.1. Dynamic Landscape Change Calculation
The trend of land use type changes in a certain period can be reflected by the changes in a dynamic landscape. In this study, the Markov transfer matrix was utilized to comprehensively reveal the detailed structural features of land use changes in terms of quantity and direction. Specifically, the transfer matrix of land use types in different periods was obtained through remote sensing image interpretation data.
2.3.2. Landscape Pattern Calculation
The landscape index can reflect the fluctuation of the structural characteristics and spatial pattern of a landscape [32]. Considering the realistic situation of the floodplain, eight different landscape pattern indices were selected from four different types of indices, including the area index, shape index, aggregation index, and diversity index, to analyze the landscape pattern of the river corridor. In this context, PD (Patch Density), AREA_CV (Patch Area Coefficient of Variation), IJI (Interspersion Juxtaposition Index), SHDI (Shannon’s Diversity Index), AI (Aggregation Index), and CONTAG (Contagion), at the landscape level, and PD (Patch Density), AREA_CV (Patch Area Coefficient of Variation), LPI (Largest Patch Index), and LSI (Landscape Shape Index), at the class level, were selected. The specific calculation formulas are shown in Table 3.
Table 3.
Formulas for the landscape indices and their description.
2.3.3. Habitat Quality Calculation
The spatially explicit HQ module in the InVEST (v.3.8.0) model is well-developed and widely used as a model to assess ecosystem services [33]. In this study, InVEST was applied to analyze the habitat quality of the Yongding River floodplain from 1967 to 2018. Based on the land use data, the habitat quality was calculated by the locations, intensity, and max distance of the different threat factors as well as the sensitivity of various land-cover types [34]. In the InVEST model, the threat factors were set mainly according to the disturbance degree of the natural ecosystem influenced by land use type [35]. The greater the land use intensity, the lower the habitat quality, and the greater the threat to the regional biodiversity. Using the basic theory of landscape ecology and field situation as well as the human influence on the Yongding River floodplain, construction land, arable land, and unused land were denoted as threat factors. According to the model and related research results [36,37], the habitat sensitivity parameters of the above threat factors were eventually determined (Table 4 and Table 5).
Table 4.
Setting of the threat factor parameters.
Table 5.
Sensitivity of land-cover types to threat factors.
The InVEST model assumes that habitat quality is a continuous variable ranging from 0 to 1, where a larger value indicates a better habitat quality, while a lower value represents the opposite [38]. To facilitate the comparison between spatial and temporal changes in habitat quality, the Natural Breaks method was used in ArcGIS to divide the habitat quality into four levels: low (0–0.25); moderate (0.25–0.5); good (0.5–0.75); and excellent (0.75–1). In this regard, the spatial distribution map of the habitat quality in the Yongding River floodplain was generated. The proportion of habitat areas in different levels was calculated to analyze the habitat quality changes in the Yongding River floodplain in different time periods.
2.3.4. Habitat Quality Hotspot Analysis and Spatial Autocorrelation Analysis
The study of regional clustering distribution characteristics is called hotspot analysis, which indicates the statistically significant high and low values of the spatial distribution in terms of habitat quality [39]. In the ArcGIS platform, the Getis-Ord Gi* index was used to identify the hotspots and cold spots of habitat quality in the Yongding River floodplain.
Spatial autocorrelation refers to the correlation degree of a certain geographic attribute in different spatial locations [40,41]. Habitat quality possesses some regularity with regard to spatial distribution, while global autocorrelation can be used to describe whether habitat quality has an agglomeration effect on the entire area. In this study, the global Moran’s I index was used to estimate the degree of habitat quality agglomeration.
2.3.5. Correlation Analysis
The basic principle of grey relation analysis is to judge whether the sequence curves are closely correlated according to the degree of similarity based on their geometric shapes. Meanwhile, on the basis of uncertain information, grey relation analysis can effectively measure the degree of correlation and obtain the main characteristics of the corresponding desired matters [42]. Therefore, the grey relation model was used in this paper to depict the correlation between habitat quality and the landscape pattern index in the Yongding River floodplain. According to the model and related studies [43], the habitat quality was marked as the reference sequence, with the landscape pattern index as the comparison sequence. To eliminate the influence of the difference in dimensionality between various elements on the accuracy of the results, the initial value dimensionless method was adopted to process the data.
From the aforementioned grey relation analysis, habitat-quality-related core indices were also obtained. Basically, a single-factor correlation analysis was conducted between the core indices and habitat quality based on a pixel scale to further study the spatial correlation between landscape indices and habitat quality and, additionally, identify key restoration areas. The correlation coefficients were computed as follows:
where denotes the correlation coefficients of the variables x and y; and are the habitat quality and landscape index in a year i, respectively; and and are the average values of the habitat quality and landscape index over n years, respectively.
3. Results
3.1. Analysis of Landscape Pattern Characteristics
3.1.1. Land-Use Changes
After processing in ArcGIS, the overall areas of the land use types in 1967, 1980, 2004, and 2018 were obtained (Table 6).
Table 6.
Land use type area (km2) and proportion from 1967 to 2018.
The results show that the total area of arable land and forestland dominated in the Yongding River floodplain, accounting for more than 80%. The land use structure changed drastically from 1967 to 2018. In the first stage (1967–1980), the forestland decreased by 38.56 km2, while the arable land and construction land increased by 25.20 km2 and 9.14 km2, respectively. In contrast, landscape units, such as water and bottomland, decreased slightly. In the second stage (1980–2004), as shown in Figure 3, the forestland area declined continuously, whereas there was an increase in the construction land area. Additionally, the area of water and bottomland decreased significantly. In the third stage (2004–2018), the forestland increased by 33.42 km2, with the bottomland area diminishing continuously. Additionally, the water area increased mainly from man-made ditches, ponds, and wetlands along the river. Furthermore, the area of unused land changed sharply. However, it was relatively scattered and small in area, so the changes in unused land were not analyzed emphatically in this study. In general, the area of arable land and forestland tended to back to how it looked in 1967. The grassland area continued to increase and was mainly located in Langfang city and the region around Beijing Daxing Airport. Construction land expanded significantly, with a dramatic expansion from 6.03% in 1967 to 13.60% in 2018. The bottomland almost disappeared, and the water area declined slightly. In conclusion, the main characteristics of the structural changes in land use types in the Yongding River floodplain are expressed by the rapid expansion of construction land and the reductions in bottomland and water.
Figure 3.
Land use changes from 1967 to 2018 (km2).
The land use transfer matrix visually shows the transfer and change characteristics of land use types. With the help of the overlay analysis tool in the ArcGIS software, the land use transfer matrices during 1967–1980, 1980–2004, and 2004–2018 in the Yongding River floodplain were produced and are shown in Figure 4.
Figure 4.
Land use transfer from 1967 to 2018.
From 1967 to 1980, 123.48 km2 of forestland was converted into arable land, becoming the largest land use type. In addition to the conversion between forestland and arable land, there was still 33.72 km2 of forestland evolving to arable land. Furthermore, about 5.04 km2 of the area was transformed from water to arable land, accounting for 31.68% of the total water area, which was a major shift in the reduction in water. During 1980–2004, arable land and forestland were transformed into construction land by 13.19 km2 and 7.12 km2, respectively, and were the main areas that were transformed into construction land. The stability of the bottomland was the worst since a large section of this region evolved into forestland, arable land, and grassland, with the transfer rate reaching a surprising 97.55%. The area of water converted into arable land and forestland was 3.36 km2 and 5.52 km2, respectively, accounting for 63.25% of the total water area. The transferred-out area of forestland in the third stage was the smallest of these three periods, and a transferred-in area of 111.68 km2, among which arable land accounted for 82.73%. This phenomenon could be explained by pilot policies, such as returning farmland to forest, issued by Hebei Province in early 2000, which played an important role in ensuring and maintaining the ecological security of the Beijing–Tianjin–Hebei region [44]. With the further promotion of this policy, the phenomenon of deforestation for farming can gradually disappear, and thus, a better ecological environment in the river corridor can be expected. Moreover, during the entire study period, the stability of construction land was the highest, reaching above 75%, and the conversion of grassland and bottomland to other land use types was very frequent.
3.1.2. Landscape Pattern Index Changes
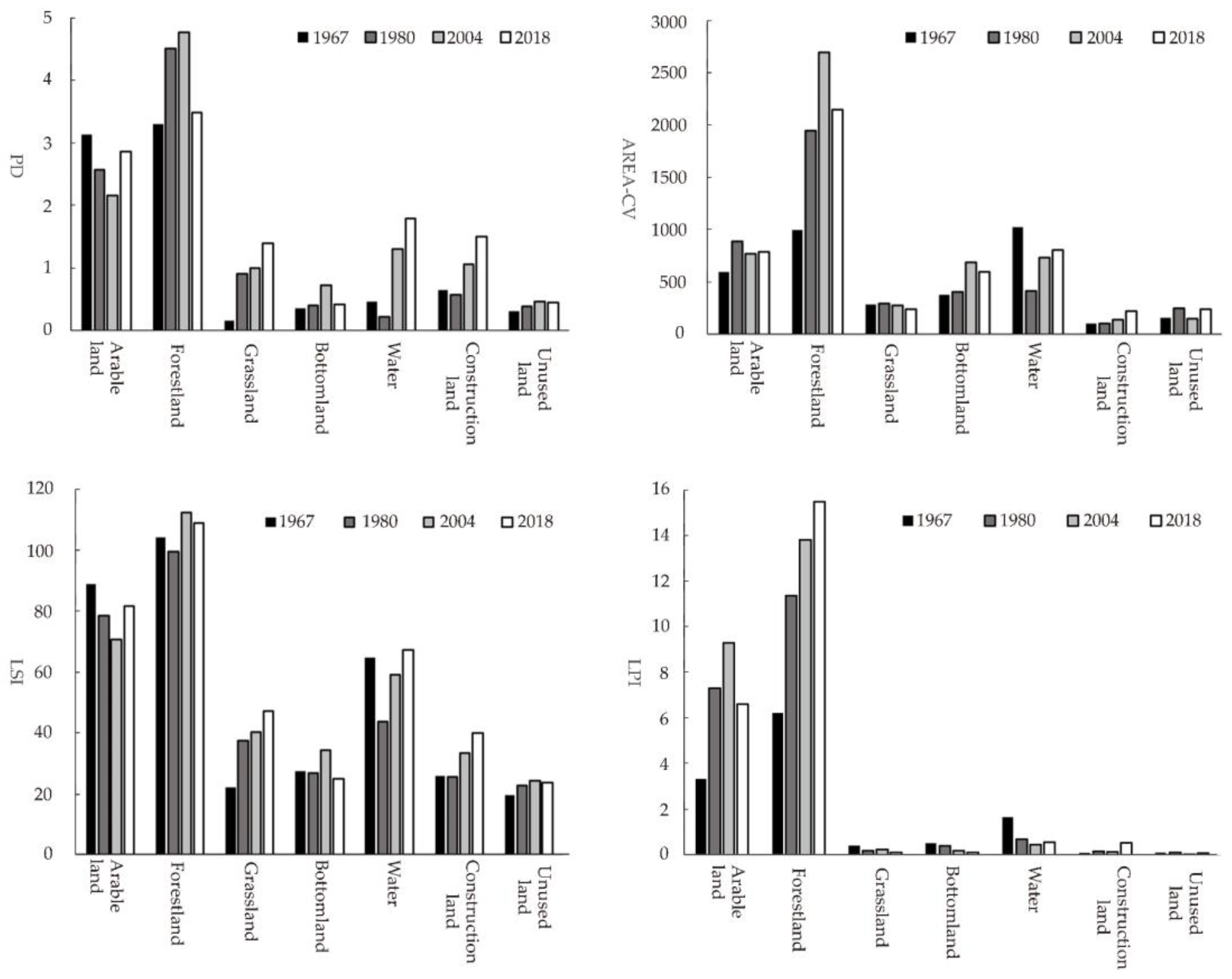
To study the overall trend of landscape pattern changes, six indicators were chosen to analyze the changes in landscape fragmentation, diversity, and agglomeration. Then, four of these indicators, in terms of spatial distribution, were further analyzed, as shown in Table 7 and Figure 5.
Table 7.
Landscape pattern index changes at the landscape level.
Figure 5.
Landscape pattern index distribution.
PD and AREA_CV scientifically reflect the degree of landscape fragmentation. From 1967 to 2018, PD continuously increased, while AREA_CV first rose and then stayed relatively stable after 2004, indicating the increases in patch dispersion and landscape fragmentation. Affected by human activities, natural patches were gradually divided by the extension of construction lands and roads. Especially the fragmentation degree of the urban section near Tianjin increased significantly as a result. In addition, the fragmentation degree also gradually increased at the confluence of tributaries, such as the confluence of the Yongding River and Xinlong River, mostly due to the increase in small villages and the fragmentation of the surrounding forestland.
SHDI is an important index of landscape diversity to characterize the richness of land use types [45]. The results reveal that SHDI oscillated and increased by 7.82% from 1967 to 2018, while IJI rose continuously, basically showing the same trend. The overall landscape complexity of the Yongding River floodplain was enhanced, and the distribution of land use types was gradually balanced. According to the distribution of SHDI, the Yongding River channels had remarkable diversity advantages in 1967, with numerous tributaries and complex habitats. In 1980, the diversity of tributaries decreased, while the habitats in the main channels were still complex. However, after 2004, the diversity advantages of the channels were almost completely lost.
CONTAG and AI describe the extension trend or agglomeration degree of different patches. From 1967 to 2018, CONTAG dropped with fluctuation, while AI first increased and then decreased, which indicates that the landscape was composed of dominant patches in the early stage of the study with a similar trend, and the distribution of land use changed from aggregation to dispersion later on, resulting in the decline in connectivity between patches.
Landscape pattern changes are the result of different land use type changes [46]. In this paper, four representative indicators were selected and calculated for different land use types to analyze the landscape pattern changes in-depth.
The PD of natural patches, such as water and grassland, showed an overall upward trend, which suggested that contiguous natural patches were separated and destroyed, and were probably affected by the combination of river interruption and human activities. In this context, the fragmentation degree of the bottomland also increased while the total area decreased considerably. The PD of forestland first increased and then decreased, probably benefiting from the afforestation project in Langfang City since 2002. Forestland, water, and grassland are substantial land use types in the river corridor, and their rapid fragmentation mainly accounted for the increase in landscape fragmentation in the Yongding River floodplain. The AREA_CV of forestland and water was relatively larger and evolved evidently. This phenomenon suggested that their patch area oscillated substantially in different years. Especially water was obviously affected by the drying of the river, which led to the gradual fragmentation of patches and the discrete distribution tendency from 1980 to 2018.
LPI is used to measure the dominance of land use type. Specifically, large patches are conducive to the survival of organisms and the improvement of anti-interference ability, thereby maintaining species diversity. Figure 6 shows that the LPI of the forestland was significantly larger, followed by that of arable land than that of other land use types. It indicates that the forestland and arable land are the dominant landscapes in the study area. In detail, the LPI of the arable land increased first and then decreased while the forestland continued to increase, revealing that the landscape dominance of arable land decreased while that of forestland increased. Except for forestland, arable land, and construction land, the LPI of other land types decreased, especially that of water, indicating a gradual reduction or fragmentation in a large area of water resulting from river interruption. From 1967 to 2018, the LSI of forestland, grassland, and construction land showed an overall upward trend, which refers to the complicated tendency of their patch shapes. At each time node, the LSI of the bottomland was almost the smallest, while that of the forestland was the highest. It reveals that the bottomland can be easily affected by human activities, and the forestland possesses more complex patch shapes and stronger ecological resilience. Additionally, the patch shape of construction land was more complex, probably caused by the appearance of new towns and the agglomeration of small villages.
Figure 6.
Landscape pattern indices of different land use types.
In summary, the landscape structure changes in forestland were the most complex. From 1967 to 2004, the main change in forestland was the continuous reduction in area and the continuous fragmentation of patches. The disappeared forestland was mostly converted to arable land and construction land. After the implementation of the project of returning farmland to forest, the forestland area expanded substantially, forming large area patches. Additionally, the fragmentation degree of water and bottomland significantly increased, whereas the bottomland even almost disappeared. On the contrary, the area of construction land was continuously expanded. Although its landscape developed toward fragmentation, the construction land was more collected, and the patch shape was more complex.
3.2. Habitat Quality Changes
3.2.1. Spatial and Temporal Evolution of Habitat Quality
Based on the InVEST model, habitat quality in the Yongding River floodplain from 1967 to 2018 was evaluated (Table 8). These results suggest that the overall habitat quality in the study area had a declining trend, with a slight improvement from 2004 to 2018. During the study period, the habitat quality was mainly at a moderate or excellent level, accounting for more than 80% of the entire area. However, this percentage decreased continuously, and the regions with low habitat quality continuously expanded. Moreover, the area of the regions with excellent habitat quality decreased first and then increased, which was closely related to the forestland area changes.
Table 8.
Ratio of each HQ level during 1967–2018.
As shown in Figure 7, the distribution in habitat quality changed remarkably from 1967 to 2018. Combined with the analysis of land use, the spatial distribution of the habitat quality was essentially the same as that of land use in the Yongding River floodplain, which shows that the regions with excellent habitat quality were mainly dominated by forestland, bottomland, and water. In 1967, the habitat quality of the main channel and its surrounding areas was considerably higher, with mixed levels in the periphery. After 1980, the river gradually dried up, resulting in a reduction in the excellent-quality and good-quality regions near the main channel. The mass loss of forestland also led to the decline in habitat quality in the peripheral area. However, from 2004 to 2018, habitat quality remarkably improved in certain regions, resulting from the transformation of arable land and grassland into forestland. However, the habitat dominance of the river channel was almost eliminated, implying the serious degradation of the habitat in the river channel. Furthermore, due to the urban expansion and the construction of Daxing Airport, the area of construction land increased, resulting in the continuous diffusion of low-quality patches from the urban area. According to the analysis of the landscape pattern distribution map, the changing trend of habitat quality in the main channel was basically consistent with that of the SHDI index, and the changing trend of the periphery was also partially overlapped. Therefore, it is particularly essential to restore habitat diversity during the river ecological restoration.
Figure 7.
Spatial distribution of habitat quality during 1967–2018.
3.2.2. Hotspot Analysis and Spatial Auto-Correlation Analysis of Habitat Quality
The study indicated that the habitat quality in the Yongding River floodplain displayed a distribution characteristic of agglomeration. The Moran I index values of habitat quality in 1967, 1980, 2004, and 2018 were 0.2571, 0.2819, 0.2578, and 0.3822, respectively, and the Z values were much higher than 2.58, suggesting a more severe spatial agglomeration.
Figure 8 (left column) shows the hot and cold spots of habitat quality in spatial distribution. The proportions of habitat-quality cold spots in the Yongding River floodplain in 1967 and 2018 were 7.48% and 17.33%, respectively, which reflects that the negative impact of habitat stress on the ecological environment, caused by frequent human activities, expanded. In 1967, the cold spot region was scattered around a smaller area. During 1967–1980, cold spot regions clustered in the south–central part of the study area due to the main loss of forestland. When entering the period of 1980–2018, cold spots and sub-cold spots were the dominant areas in the west and the south, which were mainly caused by the construction of Daxing Airport and urban expansion in the corresponding regions. The hotspots were originally clustered in the east near downtown Tianjin and then disappeared with urban expansion. After 2004, they gathered in the central and eastern regions, which was closely related to the artificial construction of irrigation ditches and ponds at the intersection of tributaries and replanting woodland in the east. Combined with the analysis of the landscape pattern distribution map, the concentration of habitat quality hotspots commonly coincided with the increase of CONTAG. Therefore, the improvement of the extensibility between patches was probably conducive to the restoration of habitat quality.
Figure 8.
Hotspot analysis (left) and spatial auto-correlation analysis (right).
According to Figure 8 (right column), the regions with a significant spatial correlation of habitat quality in the Yongding River floodplain were mainly low–low and high–low. During 1967–2018, the area proportion of the low–low type first increased and then decreased, with an overall increase of 2.85%. Meanwhile, from 1967 to 1980, the low–low regions were mainly distributed in construction land and arable land. However, after 2004, they were clustered in construction land only. These results reveal that, with the increase in land use intensity, the expansion of construction land became the main cause of ecological environmental degradation.
3.3. Correlation Analysis
3.3.1. Grey Relation Analysis of Habitat Quality and Landscape Pattern
Grey relation analysis was conducted between the landscape index and habitat quality, and the top 20 indices with a strong correlation were selected for detailed analysis (Figure 9). At the level of the landscape pattern index, the correlation coefficients between habitat quality and each landscape pattern index were higher than 0.5. As the top two most associated with habitat quality, both AI and CONTAG reflected the extension trend of the landscape. This phenomenon indicates that the degree of landscape aggregation had a great impact on habitat quality in the Yongding River floodplain. Meanwhile, LSI, AREA_CV, and PD, which reflected the degree of landscape fragmentation, also had a strong correlation with habitat quality. With the boosted landscape fragmentation, the habitat quality showed a fluctuating downward trend. At the level of landscape type area (also known as class area, CA), the correlation between habitat quality level and arable land area was the highest (0.93), followed by water area and forestland area. Arable land, the largest land use type in the study area, had low habitat suitability due to the extensive agricultural activities. On the contrary, water, as a core land use type in the river corridor, had a positive impact on habitat quality, although it only occupied a relatively small area. The results reveal that there was a strong correlation between habitat quality and landscape indices. Consequently, it was necessary to prevent landscape fragmentation, strengthen the protection degree of ecological sources (e.g., water and forestland) with high habitat suitability, and improve the protection and construction of ecosystem connectivity and integrity.
Figure 9.
Grey relation coefficient between landscape index and habitat quality.
According to the results of the grey relation analysis, the three landscape pattern indicators—AI, SHDI, and CONTAG—were the core influencing factors. The spatial distribution of correlation in the Yongding River floodplain between the habitat quality and the landscape pattern indicators is shown in Figure 10. The plot showed that AI, SHDI, and CONTAG had negative or positive impacts on habitat quality in different regions. In accordance with statistical analysis, the average spatial correlation coefficients of habitat quality with AI, SHDI, and CONTAG were 0.05, 0.17, and −0.18, respectively. This reveals that habitat quality was mostly positively correlated with AI and SHDI, and the positive correlation with SHDI was even stronger than that with AI. From a specific perspective of the river channel range, the average spatial correlation coefficients between habitat quality and AI and SHDI were 0.14 and 0.11, respectively, which indicates that AI had a more substantial impact on habitat quality on this occasion. For CONTAG, more or less negative effects were observed in most districts, and positive influence was identified in the center of the channel. Accordingly, it was speculated that the dense pattern with multiple elements in the Yongding River floodplain is more conducive to the improvement in habitat quality. These results suggest that the effects of landscape patterns on habitat quality possess various magnitudes and directions at the spatial scale, which means that AI and SHDI are the main factors affecting the spatial differential distribution of habitat quality.
Figure 10.
Spatial distribution of correlation during 1967–2018 between the habitat quality and the indicators of landscape pattern: (a) AI; (b) SHDI; and (c) CONTAG.
3.3.2. Correlation Analysis of Habitat Quality and Land Use Structure
Figure 11 shows the direction and area of land use type transfer in the habitat quality improvement and decline regions from 1967 to 2018. In the habitat quality improvement region, in addition to a small part of arable land transferring to grassland and water, the remaining arable land was transferred to forestland, with a total area of 102.72 km2. Meanwhile, a small amount of grassland (5.24 km2) and construction land (7.68 km2) were converted to forestland with higher habitat suitability. In the habitat quality decline region, a large area of forestland, about 134.00 km2 in total, was converted to arable land and construction land. In addition, 6.44 km2 of the bottomland was converted to arable land and grassland, accounting for 46.97% of the total area of the bottomland. Furthermore, the transferred-out area of water was 5.73 km2, most of which was occupied by arable land, accounting for 58.88% of the total transferred area.
Figure 11.
Land use type changes in regions with high habitat quality (left) and low habitat quality (right).
4. Discussion
In 1967, before the lower section of the Yongding River stopped flowing, this region witnessed slow population growth and experienced an economic depression. During this period, the floodplain landscape basically maintained a natural state with good ecological conditions. Specifically, the good connectivity of the large water area, the high aggregation degree and low fragmentation degree of the grassland and bottomland patches, and the complex structure of the forestland and arable land patches were obviously observed. Subsequently, due to the continuous increase in the intensity of human interference, the areas with different land use types fluctuated considerably. In detail, the area of forestland decreased, while that of construction land and unused land increased. Moreover, the water and bottomland in river channels almost disappeared. In addition to the mutual transformation between arable land and forestland, the transformation of land use types was mainly from arable land and forestland to grassland and construction land. In this regard, compared with recent decades, when the Yongding River floodplain provided a suitable habitat for many biological communities, the native ecosystem was later destroyed, and the habitat regions on which animals and plants relied for growth and reproduction were gradually reduced due to human disturbance. As a result, the lower sections of the Yongding River have been completely cut off since 1995. Specifically, the succession of the river channel and natural patches was affected drastically, and the degree of landscape fragmentation increased rapidly. Therefore, the government issued a policy of returning farmland to forest and the Three North Shelter Forest Program in 2003. Relying on the above two key projects, Langfang highlighted the village greening and riverbank greening construction. Furthermore, the development plan for modern agriculture has been carried out in Langfang since 2010, and the districts along the Yongding River have been identified as pilot areas for modern agriculture. The city government supports the pilot areas to adjust the agricultural industrial structure, adhere to economic and intensive land use, and reduce the planting area of field crops. At the same time, afforestation development was continuously promoted to improve the ecological environment. These artificial afforestation activities significantly transformed arable land into forestland and grassland, thus enhancing habitat quality. However, some policies also led to the hardening of riverbanks, consequently hindering natural restoration. For example, the restoration of original dikes and the construction of new dikes, which were involved in the regulation engineering of the floodplain in 2012 [47], resulted in a series of negative consequences, such as the worsening of the absence of bottomland, the inability of natural plants to grow on riverbanks, and the destruction of the habitat of the river corridor. Overall, the habitat quality began to improve after 2004, and the status of the river corridor ecosystem gradually recovered. In summary, policy intervention and human dominance had significant impacts on habitat quality in the Yongding River floodplain. Conservation policies promoted ecological improvement in some regions, which partly compensated for the negative effects of human-led land use changes, such as urban expansion.
Some studies have proved that the landscape pattern of land uses can affect regional habitat quality [48,49]. Our latest study results reveal that both landscape pattern indices, AI and SHDI, are positively correlated with habitat quality, with obvious spatial heterogeneity indicated by the spatial correlation analysis. According to Table 7 and Table 8 and Figure 5, Figure 6 and Figure 7, as the complexity of the landscape structure composition or the landscape aggregation increase, the enhancement of habitat quality is encouraged. Especially for river channels and buffer zones within a certain distance, the landscape aggregation degree shows a greater positive impact. These findings are relatively consistent with those of other case studies that revealed that the impacts of landscape patterns on habitat quality had different magnitudes and directions on the temporal and spatial scales [50]. In particular, AI tends to show a positive impact, while the effect of SHDI is relatively complex and mostly related to the properties of the underlying surface [51,52]. Accordingly, in the future ecological restoration process, special attention, such as defining ecological conservation redlines, should be paid to the habitat degradation of the main river channels and surrounding areas to reduce the threat of construction land expansion on the original natural environment habitat. Moreover, we need to focus on protecting ecological sources (such as forestland, bottomland, and water), adhere to the policy of returning farmland to forest, and enhance the aggregation degree of dominant patches to improve the overall habitat quality of the Yongding River floodplain. In addition, optimizing the layout and structure of the water basin and forestland, reducing or controlling the loss of water and bottomland, as well as restoring the ecological river channel are also effective measures to improve habitat quality and the biodiversity conservation effectiveness in the Yongding River floodplain.
As an ecological buffer zone for the transition from nature to city, the Yongding River floodplain forms a pattern dominated by arable land, forestland, and construction land, which can be easily affected by external factors. Compared with the general ecosystem, human activities have caused the adverse side effect of long-term comprehensive interference in the environment, and the same threat factor may be amplified. However, the InVEST model obtained habitat quality by accumulating the influence of threat factors on habitat quality, whereas the simple accumulation of stress factors is not completely equivalent to the comprehensive influence of each threat factor [53]. Therefore, it is essential to further determine the sensitivity of habitat threat factors reasonably in the Yongding River floodplain to improve and refine the model scientifically, which is a long-term task for the protection of the floodplain ecological environment.
5. Conclusions
Based on the satellite image data of the Yongding River floodplain during 1967–2018, this paper analyzed the spatial and temporal evolution of landscape patterns and habitat quality to explore their correlation. The results show the following: (1) Arable land, grassland, and forestland were the main land categories in the Yongding River floodplain during 1990–2020. Under the effect of urbanization construction and policies, the construction of land in the floodplain increased significantly, whereas the area of water, bottomland, and forestland decreased sharply. In addition to the conversion of arable land and forestland, the changes in land use type were mainly from arable land and forestland to construction land and grassland; (2) Landscape patches tended to be fragmented and complex in variety and shape. In particular, major land use types in the river corridor, such as bottomland and water, were seriously fragmented, and their distribution tended to be discrete. It further indicates that the original ecological landscape pattern was damaged; (3) From 1967 to 2018, the overall habitat quality of the Yongding River floodplain reached above the medium level. However, the area of habitat quality with a poor level continued to expand. Meanwhile, the habitat quality showed a declining trend. The obvious spatial discrepancy was explored, with the advantages of ecological habitats in the river channel declining significantly. (4) Habitat quality was closely related to AI and SHDI and the area of arable land, water, and forestland. The protection of landscape connectivity, naturalness, and integrity should be strengthened to avoid the destruction of water and forest habitats, preventing landscape fragmentation.
Author Contributions
Conceptualization, J.S.; data curation, R.Y.; Methodology, J.S. and M.W.; resources, R.Z. and R.Y.; supervision, Z.L. and X.X.; visualization, J.S.; writing—original draft, J.S. and R.Z.; writing—review and editing, J.S. and M.W. All authors have read and agreed to the published version of the manuscript.
Funding
This research was funded by the National Major Science and Technology Projects of China, grant number 2018ZX07101005.
Institutional Review Board Statement
Not applicable.
Informed Consent Statement
Not applicable.
Data Availability Statement
Restrictions apply to the availability of these data. Data were obtained from the China Institute of Water Resources and Hydropower Research and are available from Junyi Su with the permission of the China Institute of Water Resources and Hydropower Research.
Conflicts of Interest
The authors declare no conflict of interest.
References
- Lopes, N.D.R.; Li, T.; Qian, D.; Matomela, N.; Sá, R.M. Factors influencing coastal land cover change and corresponding impact on habitat quality in the North-western Coastline of Guinea-Bissau (NC-GB). Ocean. Coast. Manag. 2022, 224, 106181. [Google Scholar] [CrossRef]
- Yan, Y.; Chai, Z.; Yang, X.; Simayi, Z.; Yang, S. The temporal and spatial changes of the ecological environment quality of the urban agglomeration on the northern slope of Tianshan Mountain and the influencing factors. Ecol. Indic. 2021, 133, 108380. [Google Scholar] [CrossRef]
- Fraissinet, M.; Ancillotto, L.; Migliozzi, A.; Capasso, S.; Bosso, L.; Chamberlain, D.E.; Russo, D. Responses of avian assemblages to spatiotemporal landscape dynamics in urban ecosystems. Landsc. Ecol. 2022, 38, 293–305. [Google Scholar] [CrossRef]
- Berta Aneseyee, A.; Noszczyk, T.; Soromessa, T.; Elias, E. The InVEST habitat quality model associated with land use/cover changes: A qualitative case study of the Winike Watershed in the Omo-Gibe Basin, Southwest Ethiopia. Remote Sens. 2020, 12, 1103. [Google Scholar] [CrossRef]
- Smeraldo, S.; Bosso, L.; Fraissinet, M.; Bordignon, L.; Brunelli, M.; Ancillotto, L.; Russo, D. Modelling risks posed by wind turbines and power lines to soaring birds: The black stork (Ciconia nigra) in Italy as a case study. Biodivers. Conserv. 2020, 29, 1959–1976. [Google Scholar] [CrossRef]
- Gu, Q.; Hu, H.; Ma, L.; Sheng, L.; Yang, S.; Zhang, X.; Zhang, M.; Zheng, K.; Chen, L. Characterizing the spatial variations of the relationship between land use and surface water quality using self-organizing map approach. Ecol. Indic. 2019, 102, 633–643. [Google Scholar] [CrossRef]
- Xu, W.; Wang, J.; Zhang, M.; Li, S. Construction of landscape ecological network based on landscape ecological risk assessment in a large-scale opencast coal mine area. J. Clean. Prod. 2021, 286, 125523. [Google Scholar] [CrossRef]
- Dadashpoor, H.; Azizi, P.; Moghadasi, M. Land use change, urbanization, and change in landscape pattern in a metropolitan area. Sci. Total Environ. 2019, 655, 707–719. [Google Scholar] [CrossRef]
- Jia, L.; Ma, Q.; Du, C.; Hu, G.; Shang, C. Rapid urbanization in a mountainous landscape: Patterns, drivers, and planning implications. Landsc. Ecol. 2020, 35, 2449–2469. [Google Scholar] [CrossRef]
- Liu, J.; Coomes, D.A.; Gibson, L.; Hu, G.; Liu, J.; Luo, Y.; Wu, C.; Yu, M. Forest fragmentation in China and its effect on biodiversity. Biol. Rev. 2019, 94, 1636–1657. [Google Scholar] [CrossRef]
- Jiao, M.; Hu, M.; Xia, B. Spatiotemporal dynamic simulation of land-use and landscape-pattern in the Pearl River Delta, China. Sustain. Cities Soc. 2019, 49, 101581. [Google Scholar] [CrossRef]
- Wang, Q.; Wang, H. Spatiotemporal dynamics and evolution relationships between land-use/land cover change and landscape pattern in response to rapid urban sprawl process: A case study in Wuhan, China. Ecol. Eng. 2022, 182, 106716. [Google Scholar] [CrossRef]
- Litza, K.; Alignier, A.; Closset-Kopp, D.; Ernoult, A.; Mony, C.; Osthaus, M.; Staley, J.; Berge, S.V.D.; Vanneste, T.; Diekmann, M. Hedgerows as a habitat for forest plant species in the agricultural landscape of Europe. Agric. Ecosyst. Environ. 2022, 326, 107809. [Google Scholar] [CrossRef]
- Fan, Y.; Wang, H.W.; Yang, S.T.; Liu, Q.; Heng, J.Y.; Gao, Y.B. Identification of ecological protection crucial areas in Altay Prefecture based on habitat quality and ecological security pattern. Acta Ecol. Sin 2021, 41, 7614–7626. [Google Scholar]
- Daniela, R.; Marco, V. Land use and landscape pattern changes driven by land reclamation in a coastal area: The case of Volturno delta plain, Campania Region, southern Italy. Environ. Earth Sci. 2017, 76, 694. [Google Scholar] [CrossRef]
- Huang, M.; Li, Y.; Xia, C.; Zeng, C.; Zhang, B. Coupling responses of landscape pattern to human activity and their drivers in the hinterland of Three Gorges Reservoir Area. Glob. Ecol. Conserv. 2022, 33, e01992. [Google Scholar] [CrossRef]
- Pal, S.; Talukdar, S.; Ghosh, R. Damming effect on habitat quality of riparian corridor. Ecol. Indic. 2020, 114, 106300. [Google Scholar] [CrossRef]
- Quan, Q.; Gao, S.; Shang, Y.; Wang, B. Assessment of the sustainability of Gymnocypris eckloni habitat under river damming in the source region of the Yellow River. Sci. Total Environ. 2021, 778, 146312. [Google Scholar] [CrossRef]
- Nematollahi, S.; Fakheran, S.; Kienast, F.; Jafari, A. Application of InVEST habitat quality module in spatially vulnerability assessment of natural habitats (case study: Chaharmahal and Bakhtiari province, Iran). Environ. Monit. Assess. 2020, 192, 487. [Google Scholar] [CrossRef]
- Martínez-Megías, C.; Rico, A. Biodiversity impacts by multiple anthropogenic stressors in Mediterranean coastal wetlands. Sci. Total Environ. 2022, 818, 151712. [Google Scholar] [CrossRef]
- Yohannes, H.; Soromessa, T.; Argaw, M.; Dewan, A. Spatio-temporal changes in habitat quality and linkage with landscape characteristics in the Beressa watershed, Blue Nile basin of Ethiopian highlands. J. Environ. Manag. 2021, 281, 111885. [Google Scholar] [CrossRef] [PubMed]
- Zhai, T.; Wang, J.; Fang, Y.; Qin, Y.; Huang, L.; Chen, Y. Assessing ecological risks caused by human activities in rapid urbanization coastal areas: Towards an integrated approach to determining key areas of terrestrial-oceanic ecosystems preservation and restoration. Sci. Total Environ. 2020, 708, 135153. [Google Scholar] [CrossRef] [PubMed]
- Rowiński, P.M.; Okruszko, T.; Radecki-Pawlik, A. Environmental hydraulics research for river health: Recent advances and challenges. Ecohydrol. Hydrobiol. 2021, 22, 213–225. [Google Scholar] [CrossRef]
- Li, M.; Zhou, Y.; Xiao, P.; Tian, Y.; Huang, H.; Xiao, L. Evolution of habitat quality and its topographic gradient effect in northwest hubei province from 2000 to 2020 based on the invest model. Land 2021, 10, 857. [Google Scholar] [CrossRef]
- Wang, Q.; Wang, H. Evaluation for the spatiotemporal patterns of ecological vulnerability and habitat quality: Implications for supporting habitat conservation and healthy sustainable development. Environ. Geochem. Health 2022, 1–31. [Google Scholar] [CrossRef]
- Yang, Y. Evolution of habitat quality and association with land-use changes in mountainous areas: A case study of the Taihang Mountains in Hebei Province, China. Ecol. Indic. 2021, 129, 107967. [Google Scholar] [CrossRef]
- Stella, J.C.; Bendix, J. Chapter 5—Multiple Stressors in Riparian Ecosystems. In Multiple Stressors in River Ecosystems; Elsevier BV: Amsterdam, The Netherlands, 2019; pp. 81–110. [Google Scholar]
- Zhang, Y.Z.; Jiang, Z.Y.; Li, Y.Y.; Yang, Z.G.; Wang, X.H.; Li, X.B. Construction and optimization of an urban ecological security pattern based on habitat quality assessment and the minimum cumulative resistance model in Shenzhen city, China. Forests 2021, 12, 847. [Google Scholar] [CrossRef]
- Guo, P.; Liu, J. Research and thinking on the management of Yongding River Plain. South-to-North Water Transf. Water Sci. Technol. 1996, 3, 24–26. [Google Scholar]
- Di, S.; Ll, Z.; Pan, X.; Xue, W.; Zhang, C.; Ll, Y.; Xue, Z.; Hu, Z. Analysis on the change of water surface area and fluvial morphology by remote sensing technology during the ecological water supplement in Yongding River. Beijing Water 2020, 4, 13–17. [Google Scholar]
- Li, B.; Wang, W. Trade-offs and synergies in ecosystem services for the Yinchuan Basin in China. Ecol. Indic. 2018, 84, 837–846. [Google Scholar] [CrossRef]
- Han, Y.; Wang, J.L.; Li, P. Influences of landscape pattern evolution on regional crop water requirements in regions of large-scale agricultural operations. J. Clean. Prod. 2021, 327, 129499. [Google Scholar] [CrossRef]
- Sallustio, L.; De Toni, A.; Strollo, A.; Di Febbraro, M.; Gissi, E.; Casella, L.; Geneletti, D.; Munafò, M.; Vizzarri, M.; Marchetti, M. Assessing habitat quality in relation to the spatial distribution of protected areas in Italy. J. Environ. Manag. 2017, 201, 129–137. [Google Scholar] [CrossRef] [PubMed]
- Li, J.; Dong, S.; Li, Y.; Wang, Y.; Li, Z.; Li, F. Effects of land use change on ecosystem services in the China–Mongolia–Russia economic corridor. J. Clean. Prod. 2022, 360, 132175. [Google Scholar] [CrossRef]
- Kadaverugu, R.; Dhyani, S.; Purohit, V.; Dasgupta, R.; Kumar, P.; Hashimoto, S.; Pujari, P.; Biniwale, R. Scenario-based quantification of land-use changes and its impacts on ecosystem services: A case of Bhitarkanika mangrove area, Odisha, India. J. Coast. Conserv. 2022, 26, 30. [Google Scholar] [CrossRef]
- Kahara, S.N.; Skalos, D.; Madurapperuma, B.; Hernandez, K. Habitat quality and drought effects on breeding mallard and other waterfowl populations in California, USA. J. Wildl. Manag. 2022, 86, e22133. [Google Scholar] [CrossRef]
- Mengist, W.; Soromessa, T.; Feyisa, G.L. Landscape change effects on habitat quality in a forest biosphere reserve: Implications for the conservation of natives habitats. J. Clean. Prod. 2021, 329, 129778. [Google Scholar] [CrossRef]
- Wang, B.; Cheng, W. Effects of Land Use/Cover on Regional Habitat Quality under Different Geomorphic Types Based on InVEST Model. Remote Sens. 2022, 14, 1279. [Google Scholar] [CrossRef]
- Xu, L.; Chen, S.; Xu, Y.; Li, G.; Su, W. Impacts of land-use change on habitat quality during 1985–2015 in the Taihu Lake Basin. Sustainability 2019, 11, 3513. [Google Scholar] [CrossRef]
- Bosso, L.; Smeraldo, S.; Russo, D.; Chiusano, M.L.; Bertorelle, G.; Johannesson, K.; Butlin, R.K.; Danovaro, R.; Raffini, F. The rise and fall of an alien: Why the successful colonizer Littorina saxatilis failed to invade the Mediterranean Sea. Biol. Invasions 2022, 24, 3169–3187. [Google Scholar] [CrossRef]
- Liu, Y.; Tian, J.; Zheng, W.; Yin, L. Spatial and temporal distribution characteristics of haze and pollution particles in China based on spatial statistics. Urban Clim. 2022, 41, 101031. [Google Scholar] [CrossRef]
- Liu, S.; Yang, Y.; Forrest, J. Grey Incidence Analysis Models. In Grey Data Analysis. Computational Risk Management; Springer: Singapore, 2017; pp. 67–103. [Google Scholar] [CrossRef]
- Liu, Y.; Zuo, R.; Dong, Y. Analysis of temporal and spatial characteristics of urban expansion in Xiaonan District from 1990 to 2020 using time series Landsat imagery. Remote Sens. 2021, 13, 4299. [Google Scholar] [CrossRef]
- National Environmental Protection Agency. 2003 Report on the State Environment in China. Environ. Prot. 2004, 7, 3–17. [Google Scholar]
- Fu, F.; Deng, S.; Wu, D.; Liu, W.; Bai, Z. Research on the spatiotemporal evolution of land use landscape pattern in a county area based on CA-Markov model. Sustain. Cities Soc. 2022, 80, 103760. [Google Scholar] [CrossRef]
- Japelaghi, M.; Gholamalifard, M.; Shayesteh, K. Spatio-temporal analysis and prediction of landscape patterns and change processes in the Central Zagros region, Iran. Remote Sens. Appl. Soc. Environ. 2019, 15, 100244. [Google Scholar] [CrossRef]
- Niu, Y. Research and thinking about the governance of Yongding River Plain. Water Sci. Eng. Technol. 2018, 207, 20–22. [Google Scholar]
- Ahmadi Mirghaed, F.; Souri, B. Effect of landscape fragmentation on soil quality and ecosystem services in land use and landform types. Environ. Earth Sci. 2022, 81, 330. [Google Scholar] [CrossRef]
- Tavakoli, M.; Mohammadyari, F. Modeling the spatial distribution of multiple ecosystem services in Ilam dam watershed, Western Iran: Identification of areas for spatial planning. Urban Ecosyst. 2022, 1–20. [Google Scholar] [CrossRef]
- Hou, B.; Wei, C.; Liu, X.; Meng, Y.; Li, X. Assessing Forest Landscape Stability through Automatic Identification of Landscape Pattern Evolution in Shanxi Province of China. Remote Sens. 2023, 15, 545. [Google Scholar] [CrossRef]
- Zhu, C.; Zhang, X.; Zhou, M.; He, S.; Gan, M.; Yang, L.; Wang, K. Impacts of urbanization and landscape pattern on habitat quality using OLS and GWR models in Hangzhou, China. Ecol. Indic. 2020, 117, 106654. [Google Scholar] [CrossRef]
- Xie, B.; Meng, S.; Zhang, M. Evolution of Habitat Quality and Its Response to Topographic Gradient Effect in a Karst Plateau: A Case Study of the Key Biodiversity Conservation Project Area of Wuling Mountains. Int. J. Environ. Res. Public Health 2022, 20, 331. [Google Scholar] [CrossRef]
- Zhang, D.; Wang, J.; Wang, Y.; Xu, L.; Zheng, L.; Zhang, B.; Bi, Y.; Yang, H. Is There a Spatial Relationship between Urban Landscape Pattern and Habitat Quality? Implication for Landscape Planning of the Yellow River Basin. Int. J. Environ. Res. Public Health 2022, 19, 11974. [Google Scholar] [CrossRef] [PubMed]
Disclaimer/Publisher’s Note: The statements, opinions and data contained in all publications are solely those of the individual author(s) and contributor(s) and not of MDPI and/or the editor(s). MDPI and/or the editor(s) disclaim responsibility for any injury to people or property resulting from any ideas, methods, instructions or products referred to in the content. |
© 2023 by the authors. Licensee MDPI, Basel, Switzerland. This article is an open access article distributed under the terms and conditions of the Creative Commons Attribution (CC BY) license (https://creativecommons.org/licenses/by/4.0/).










