Root Distribution and Soil Properties of Gully Heads and Their Effects on Headcut Migration in the Mollisols Region of Northeast China
Abstract
:1. Introduction
2. Materials and Methods
2.1. Study Area
2.2. Selection of Typical Gullies
2.3. Soil and Root Sample Collection and Measurement
2.4. Determination of Gully Headcut Migration
2.5. Parameter Calculation
2.6. Data Processing, Statistical Analysis, and Figure Plotting
3. Results
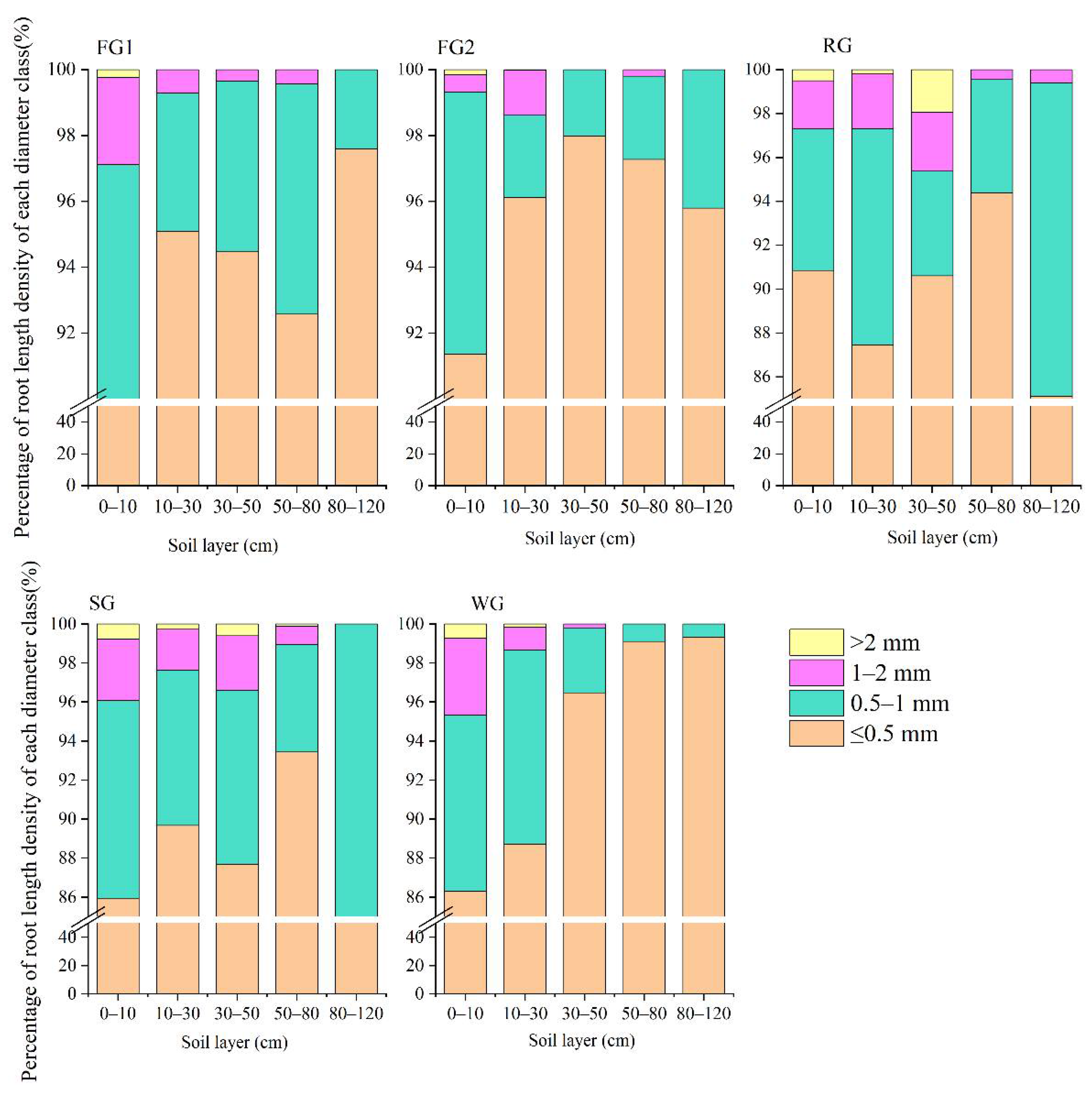
3.1. Root Distribution along Gully Headwall
3.2. Soil Properties of Gully Heads
3.2.1. Soil Bulk Density, Texture, and Organic Matter
3.2.2. Soil Stress Strength, Disintegration Capacity and Saturated Hydraulic Conductivity
3.2.3. Soil Aggregate Distribution and Stability
3.3. Relationships between Soil Properties of Gully Heads and Root Distribution
3.4. Gully Headcut Migration and Its Influencing Factors
4. Discussion
4.1. Root Distribution and Soil Properties of Gully Heads
4.2. Gully Headcut Migration and Its Response to Influencing Factors
5. Conclusions
Author Contributions
Funding
Data Availability Statement
Conflicts of Interest
Appendix A


References
- Poesen, J.; Nachtergaele, J.; Verstraeten, G.; Valentin, C. Gully Erosion and Environmental Change: Importance and Research Needs. Catena 2003, 50, 91–133. [Google Scholar] [CrossRef]
- Belayneh, M.; Yirgu, T.; Tsegaye, D. Current extent, temporal trends, and rates of gully erosion in the Gumara watershed, Northwestern Ethiopia. Glob. Ecol. Conserv. 2020, 24, e01255. [Google Scholar] [CrossRef]
- Castillo, C.; Gómez, J.A. A century of gully erosion research: Urgency, complexity and study approaches. Earth-Sci. Rev. 2016, 160, 300–319. [Google Scholar] [CrossRef]
- Hosseinalizadeh, M.; Kariminejad, N.; Chen, W.; Pourghasemi, H.R.; Alinejad, M.; Mohammadian Behbahani, A.; Tiefenbacher, J.P. Gully headcut susceptibility modeling using functional trees, naïve Bayes tree, and random forest models. Geoderma 2019, 342, 1–11. [Google Scholar] [CrossRef]
- Vanmaercke, M.; Panagos, P.; Vanwalleghem, T.; Hayas, A.; Foerster, S.; Borrelli, P.; Rossi, M.; Torri, D.; Casali, J.; Borselli, L. Measuring, modelling and managing gully erosion at large scales: A state of the art. Earth-Sci. Rev. 2021, 218, 103637. [Google Scholar] [CrossRef]
- Vanmaercke, M.; Poesen, J.; Van Mele, B.; Demuzere, M.; Bruynseels, A.; Golosov, V.; Bezerra, J.F.R.; Bolysov, S.; Dvinskih, A.; Frankl, A.; et al. How fast do gully headcuts retreat? Earth-Sci. Rev. 2016, 154, 336–355. [Google Scholar] [CrossRef]
- Ionita, I.; Niacsu, L.; Petrovici, G.; Blebea-Apostu, A.M. Gully development in eastern Romania: A case study from Falciu Hills. Nat. Hazards 2015, 79, 113–138. [Google Scholar] [CrossRef]
- Rieke-Zapp, D.H.; Nichols, M.H. Headcut retreat in a semiarid watershed in the southwestern United States since 1935. Catena 2011, 87, 1–10. [Google Scholar] [CrossRef]
- Rodzik, J.; Furtak, T.; Zglobicki, W. The impact of snowmelt and heavy rainfall runoff on erosion rates in a gully system, Lublin Upland, Poland. Earth Surf. Processes Landf. 2009, 34, 1938–1950. [Google Scholar] [CrossRef]
- Li, Z.; Zhang, Y.; Zhu, Q.; He, Y.; Yao, W. Assessment of bank gully development and vegetation coverage on the Chinese Loess Plateau. Geomorphology 2015, 228, 462–469. [Google Scholar] [CrossRef]
- Moeyersons, J.; Makanzu Imwangana, F.; Dewitte, O. Site- and rainfall-specific runoff coefficients and critical rainfall for mega-gully development in Kinshasa (DR Congo). Nat. Hazards 2015, 79, 203–233. [Google Scholar] [CrossRef]
- Wang, H.; Zhang, G.-H. Temporal variation in soil erodibility indices for five typical land use types on the Loess Plateau of China. Geoderma 2021, 381, 114695. [Google Scholar] [CrossRef]
- Makanzu Imwangana, F.; Dewitte, O.; Ntombi, M.; Moeyersons, J. Topographic and road control of mega-gullies in Kinshasa (DR Congo). Geomorphology 2014, 217, 131–139. [Google Scholar] [CrossRef]
- Vandekerckhove, L.; Poesen, J.; Wijdenes, D.O.; Gyssels, G. Short-term bank gully retreat rates in Mediterranean environments. Catena 2001, 44, 133–161. [Google Scholar] [CrossRef]
- Nazari Samani, A.; Ahmadi, H.; Mohammadi, A.; Ghoddousi, J.; Salajegheh, A.; Boggs, G.; Pishyar, R. Factors Controlling Gully Advancement and Models Evaluation (Hableh Rood Basin, Iran). Water Resour. Manag. 2010, 24, 1531–1549. [Google Scholar] [CrossRef]
- Guo, M.; Wang, W.; Shi, Q.; Chen, T.; Kang, H.; Li, J. An experimental study on the effects of grass root density on gully headcut erosion in the gully region of China’s Loess Plateau. Land Degrad. Dev. 2019, 30, 2107–2125. [Google Scholar] [CrossRef]
- Torri, D.; Poesen, J. A review of topographic threshold conditions for gully head development in different environments. Earth-Sci. Rev. 2014, 130, 73–85. [Google Scholar] [CrossRef]
- Hayas, A.; Poesen, J.; Vanwalleghem, T. Rainfall and Vegetation Effects on Temporal Variation of Topographic Thresholds for Gully Initiation in Mediterranean Cropland and Olive Groves. Land Degrad. Dev. 2017, 28, 2540–2552. [Google Scholar] [CrossRef]
- Kang, H.; Wang, W.; Guo, M.; Li, J.; Shi, Q. How does land use/cover influence gully head retreat rates? An in-situ simulation experiment of rainfall and upstream inflow in the gullied loess region, China. Land Degrad. Dev. 2021, 32, 2789–2804. [Google Scholar] [CrossRef]
- Knapen, A.; Poesen, J.; Govers, G.; Gyssels, G.; Nachtergaele, J. Resistance of soils to concentrated flow erosion: A review. Earth-Sci. Rev. 2007, 80, 75–109. [Google Scholar] [CrossRef]
- Vannoppen, W.; Vanmaercke, M.; De Baets, S.; Poesen, J. A review of the mechanical effects of plant roots on concentrated flow erosion rates. Earth-Sci. Rev. 2015, 150, 666–678. [Google Scholar] [CrossRef] [Green Version]
- Guo, M.; Wang, W.; Wang, T.; Wang, W.; Kang, H. Impacts of different vegetation restoration options on gully head soil resistance and soil erosion in loess tablelands. Earth Surf. Processes Landf. 2020, 45, 1038–1050. [Google Scholar] [CrossRef]
- Wang, J.; Zhang, Y.; Deng, J.; Yu, S.; Zhao, Y. Long-Term Gully Erosion and Its Response to Human Intervention in the Tablel and Region of the Chinese Loess Plateau. Remote Sens. 2021, 13, 5053. [Google Scholar] [CrossRef]
- Wang, B.; Zhang, G.-H.; Shi, Y.-Y.; Zhang, X.C. Soil detachment by overland flow under different vegetation restoration models in the Loess Plateau of China. Catena 2014, 116, 51–59. [Google Scholar] [CrossRef]
- Hu, W.; Shao, M.; Wang, Q.; Fan, J.; Horton, R. Temporal changes of soil hydraulic properties under different land uses. Geoderma 2009, 149, 355–366. [Google Scholar] [CrossRef]
- Zhao, Y.; Wu, P.; Zhao, S.; Feng, H. Variation of soil infiltrability across a 79-year chronosequence of naturally restored grassland on the Loess Plateau, China. J. Hydrol. 2013, 504, 94–103. [Google Scholar] [CrossRef]
- Li, Q.; Liu, G.-B.; Zhang, Z.; Tuo, D.-F.; Bai, R.-R.; Qiao, F.-F. Relative contribution of root physical enlacing and biochemistrical exudates to soil erosion resistance in the Loess soil. Catena 2017, 153, 61–65. [Google Scholar] [CrossRef]
- Wang, B.; Zhang, G.-H. Quantifying the Binding and Bonding Effects of Plant Roots on Soil Detachment by Overland Flow in 10 Typical Grasslands on the Loess Plateau. Soil Sci. Soc. Am. J. 2017, 81, 1567–1576. [Google Scholar] [CrossRef]
- Parsakhoo, A.; Lotfalian, M.; Kavian, A.; Hosseini, S.A. Assessment of soil erodibility and aggregate stability for different parts of a forest road. J. For. Res. 2014, 25, 193–200. [Google Scholar] [CrossRef]
- Kusre, B.C.; Ghosh, P.; Nath, K. Prioritization of soil conservation measures using erodibility indices as criteria in Sikkim (India). J. Earth Syst. Sci. 2018, 127, 6. [Google Scholar] [CrossRef] [Green Version]
- Guo, M.; Chen, Z.; Wang, W.; Wang, T.; Wang, W.; Cui, Z. Revegetation induced change in soil erodibility as influenced by slope situation on the Loess Plateau. Sci. Total Environ. 2021, 772, 145540. [Google Scholar] [CrossRef]
- Guo, M.; Wang, W.; Kang, H.; Yang, B. Changes in soil properties and erodibility of gully heads induced by vegetation restoration on the Loess Plateau, China. J. Arid Land 2018, 10, 712–725. [Google Scholar] [CrossRef] [Green Version]
- Guo, M.M.; Wang, W.L.; Kang, H.L.; Yang, B.; Li, J.M. Changes in soil properties and resistance to concentrated flow across a 25-year passive restoration chronosequence of grasslands on the Chinese Loess Plateau. Restor. Ecol. 2020, 28, 104–114. [Google Scholar] [CrossRef]
- Wen, Y.; Kasielke, T.; Li, H.; Zepp, H.; Zhang, B. A case-study on history and rates of gully erosion in Northeast China. Land Degrad. Dev. 2021, 32, 4254–4266. [Google Scholar] [CrossRef]
- Li, C.; Fu, B.; Wang, S.; Stringer, L.C.; Wang, Y.; Li, Z.; Liu, Y.; Zhou, W. Drivers and impacts of changes in China’s drylands. Nat. Rev. Earth Environ. 2021, 2, 858–873. [Google Scholar] [CrossRef]
- Dong, Y.; Wu, Y.; Qin, W.; Guo, Q.; Yin, Z.; Duan, X. The gully erosion rates in the black soil region of northeastern China: Induced by different processes and indicated by different indexes. Catena 2019, 182, 104146. [Google Scholar] [CrossRef]
- Yang, J.; Zhang, S.; Chang, L.; Li, F.; Li, T.; Gao, Y. Gully erosion regionalization of black soil area in northeastern China. Chin. Geogr. Sci. 2017, 27, 78–87. [Google Scholar] [CrossRef] [Green Version]
- Zhang, X.; Liu, X. Current scenario of gully erosion and its control strategy in Mollisols areas of Northeast China. Trans. Chin. Soc. Agric. Eng. 2021, 37, 320–326, (In Chinese with English Abstract). [Google Scholar]
- Hu, G.; Wu, Y.; Liu, B.; Yu, Z.; You, Z.; Zhang, Y. Short-term gully retreat rates over rolling hill areas in black soil of Northeast China. Catena 2007, 71, 321–329. [Google Scholar] [CrossRef]
- Wu, Y.; Zheng, Q.; Zhang, Y.; Liu, B.; Cheng, H.; Wang, Y. Development of gullies and sediment production in the black soil region of northeastern China. Geomorphology 2008, 101, 683–691. [Google Scholar] [CrossRef]
- Farrish, K. Spatial and temporal fine-root distribution in three Louisiana forest soils. Soil Sci. Soc. Am. J. 1991, 55, 1752–1757. [Google Scholar] [CrossRef]
- Hendrick, R.L.; Pregitzer, K.S. Temporal and depth-related patterns of fine root dynamics in northern hardwood forests. J. Ecol. 1996, 84, 167–176. [Google Scholar] [CrossRef]
- Purbopuspito, J.; Van Rees, K. Root distribution at various distances from clove trees growing in Indonesia. Plant Soil 2002, 239, 313–320. [Google Scholar] [CrossRef]
- Han, F.; Zheng, J.; Zhang, X. Plant root system distribution and its effect on soil nutrient on slope land converted from farmland in the Loess Plateau. Trans. CSAE 2009, 25, 50–55, (In Chinese with English Abstract). [Google Scholar]
- Bengough, A.; Mackenzie, C.; Elangwe, H. Biophysics of the growth responses of pea roots to changes in penetration resistance. Plant Soil 1994, 167, 135–141. [Google Scholar] [CrossRef]
- Li, Y.Y.; Shao, M.A. Change of soil physical properties under long-term natural vegetation restoration in the Loess Plateau of China. J. Arid Environ. 2006, 64, 77–96. [Google Scholar] [CrossRef]
- Jiao, F.; Wen, Z.-M.; An, S.-S. Changes in soil properties across a chronosequence of vegetation restoration on the Loess Plateau of China. Catena 2011, 86, 110–116. [Google Scholar] [CrossRef]
- Wang, B.; Zhang, G.-H.; Yang, Y.-F.; Li, P.-P.; Liu, J.-X. Response of soil detachment capacity to plant root and soil properties in typical grasslands on the Loess Plateau. Agric. Ecosyst. Environ. 2018, 266, 68–75. [Google Scholar] [CrossRef]
- Liu, Z.; Liu, J.; Hu, W.; Qi, Y. Water-holding Characteristics of Litter and Soil of Juglans mandshurica Natural Secondary Forest with Different Densities. For. Eng. 2021, 37, 52–59. [Google Scholar] [CrossRef]
- Bryan, R.B. The development, use and efficiency of indices of soil erodibility. Geoderma 1968, 2, 5–26. [Google Scholar] [CrossRef]
- Cerdà, A. The influence of geomorphological position and vegetation cover on the erosional and hydrological processes on a Mediterranean hillslope. Hydrol. Processes 1998, 12, 661–671. [Google Scholar] [CrossRef]
- Yu, D.-S.; Shi, X.-Z.; Weindorf, D.C. Relationships Between Permeability and Erodibility of Cultivated Acrisols and Cambisols in Subtropical China. Pedosphere 2006, 16, 304–311. [Google Scholar] [CrossRef]
- Zhou, Z.C.; Gan, Z.T.; Shangguan, Z.P.; Dong, Z.B. Effects of grazing on soil physical properties and soil erodibility in semiarid grassland of the Northern Loess Plateau (China). Catena 2010, 82, 87–91. [Google Scholar] [CrossRef]
- Oostwoud Wijdenes, D.J.; Bryan, R. Gully-head erosion processes on a semi-arid valley floor in Kenya: A case study into temporal variation and sediment budgeting. Earth Surf. Processes Landf. 2001, 26, 911–933. [Google Scholar] [CrossRef]
- Marzolff, I.; Ries, J.B.; Poesen, J. Short-term versus medium-term monitoring for detecting gully-erosion variability in a Mediterranean environment. Earth Surf. Processes Landf. 2011, 36, 1604–1623. [Google Scholar] [CrossRef]
- Frankl, A.; Poesen, J.; Deckers, J.; Haile, M.; Nyssen, J. Gully head retreat rates in the semi-arid highlands of Northern Ethiopia. Geomorphology 2012, 173, 185–195. [Google Scholar] [CrossRef] [Green Version]
- Ionita, I.; Niacsu, L.; Poesen, J.; Fullen, M.A. Controls on the development of continuous gullies: A 60 year monitoring study in the Moldavian Plateau of Romania. Earth Surf. Processes Landf. 2021, 46, 2746–2763. [Google Scholar] [CrossRef]
- Wells, R.R.; Bennett, S.J.; Alonso, C.V. Effect of soil texture, tailwater height, and porewater pressure on the morphodynamics of migrating headcuts in upland concentrated flows. Earth Surf. Processes Landf. 2009, 34, 18671877. [Google Scholar] [CrossRef]
- Gyssels, G.; Poesen, J.; Bochet, E.; Li, Y. Impact of plant roots on the resistance of soils to erosion by water: A review. Prog. Phys. Geogr. 2005, 29, 189–217. [Google Scholar] [CrossRef] [Green Version]
- Zhang, J.; Song, C.; Wang, S. Dynamics of soil organic carbon and its fractions after abandonment of cultivated wetlands in northeast China. Soil Tillage Res. 2007, 96, 350–360. [Google Scholar] [CrossRef]








| Gully Code | Developed Position | Drainage Area (ha) | Elevation (m) | Length (m) | Slope (°) | Dominant Species at Gully Head |
|---|---|---|---|---|---|---|
| FG1 | Farmland | 6.32 | 185.9–227.7 | 224.74 | 4.43 | Echinochloa crus-galli, Artemisia scoparia |
| FG2 | Farmland | 2.99 | 189.8–224.6 | 257.26 | 5.68 | Echinochloa crus-galli, Artemisia scoparia |
| RG | Unpaved road | 32.08 | 196.3–224.1 | 189.30 | 3.42 | Artemisia scoparia, Geranium sibiricum |
| SG | Stable gully | 55.61 | 203.3–220.7 | 169.39 | 4.14 | Populus ussuriensis, Pinus sylvestris, Echinochloa crus-galli |
| WG | Woodland and grassland | 59.85 | 171.3–204.1 | 461.32 | 1.18 | Equisetum arvense, Echinochloa crus-galli, Sonchus arvensis |
| Gully Type | Soil Layer (cm) | SBD (g cm−3) | OMC (%) | Clay (<0.002 mm, %) | Silt (0.002–0.05 mm, %) | Sand (0.05–2.0 mm, %) | SS (kg cm−2) | SDR (g min−1) | SHC (mm min−1) | MWD (mm) | GMD (mm) |
|---|---|---|---|---|---|---|---|---|---|---|---|
| FG1 | 0–10 | 1.48Ba | 16.15Ab | 32.15Ba | 57.44Aa | 10.41Ab | 1.56Cb | 2.72Bb | 0.15Bb | 0.67Ab | 0.36Ab |
| 10–30 | 1.47Bab | 11.47Bbc | 35.51Aba | 57.91Aa | 6.58Bb | 3.63Bab | 2.60Bb | 0.25Ac | 0.76Ab | 0.38Aa | |
| 30–50 | 1.54ABa | 5.57Cc | 39.04Aa | 55.03Ab | 5.93Bb | 4.10ABab | 6.21Aba | 0.24Ac | 0.43Bc | 0.25Bbc | |
| 50–80 | 1.56ABab | 4.62Cc | 39.84Aa | 53.97Bb | 6.19Bb | 5.51Aa | 8.18Aa | 0.07Cb | 0.41Bc | 0.24Bb | |
| 80–120 | 1.64Aa | 4.52Cc | 35.97ABab | 56.84Ab | 7.20ABab | 5.38Aa | 7.52Aa | 0.04Cc | 0.24Cb | 0.14Cb | |
| FG2 | 0–10 | 1.46Ba | 18.18Ab | 34.41Ba | 52.93Bb | 12.66Aab | 5.96Aa | 2.93Bb | 0.24Bb | 0.74Ab | 0.42Aab |
| 10–30 | 1.64Aa | 10.71Bc | 34.76Ba | 57.99Aa | 7.25Bb | 5.88Aa | 2.43Bb | 0.66Ab | 0.72Ab | 0.35Bab | |
| 30–50 | 1.62ABa | 5.04Cc | 37.24Aa | 59.12Aa | 3.64Cc | 3.72Bb | 4.98Aba | 0.42ABc | 0.64Ba | 0.32BCa | |
| 50–80 | 1.69Aa | 3.30Cc | 41.49Aa | 56.03Ab | 2.48Cc | 6.63Aa | 6.35Aa | 0.09Cb | 0.52Cb | 0.32BCa | |
| 80–120 | 1.72Aa | 2.37Cc | 41.21Aa | 56.27Ab | 2.52Cc | 6.31Aa | 7.59Aa | 0.04Cc | 0.50Ca | 0.27Ca | |
| RG | 0–10 | 1.27Ba | 22.89Aa | 29.01Ba | 56.44Aa | 14.56A a | 2.97Bb | 1.28Bb | 1.58Aa | 1.54Aa | 0.53Aa |
| 10–30 | 1.51Aa | 14.52Bb | 30.59Aa | 59.07Aa | 10.33ABa | 6.33Aa | 2.38Bb | 0.62Bb | 1.56Aa | 0.43Aa | |
| 30–50 | 1.59Aa | 7.70Cbc | 31.18ABab | 61.54Aa | 7.28Bb | 5.48Aa | 1.15Bb | 0.37BCc | 0.47Bbc | 0.27Bb | |
| 50–80 | 1.53Aab | 4.40CDc | 36.43ABa | 58.46Aa | 5.12Cb | 3.36Bb | 4.33Ab | 0.17Cb | 0.66Ba | 0.28Bab | |
| 80–120 | 1.58Ab | 1.88Dc | 40.08Aa | 55.37Ab | 4.55Cc | 3.54Bb | 5.40Ab | 0.12Cc | 0.57Ba | 0.28Ba | |
| SG | 0–10 | 1.23Ba | 27.93Aa | 33.86Aa | 56.20Aa | 9.94Bb | 6.01Aa | 7.63Aa | 1.35Aa | 0.69Ab | 0.48Aab |
| 10–30 | 1.35Ab | 21.54ABa | 30.75Aa | 58.79Aa | 10.45ABa | 3.73Bb | 6.13Aa | 1.17Aa | 0.46Bb | 0.23Bc | |
| 30–50 | 1.39Ab | 18.26Ba | 29.84ABb | 59.22Aa | 10.94ABa | 1.02Cc | 6.20Aa | 0.93Abb | 0.41BCc | 0.22Bc | |
| 50–80 | 1.37Ab | 16.95Ba | 27.45Bb | 59.74Aa | 12.82Aa | 1.31Cc | 6.18Aa | 1.02ABab | 0.32BCcd | 0.16Bc | |
| 80–120 | 1.35Ac | 26.49Aa | 29.97ABb | 60.88Aa | 9.15Ba | 1.48Cc | 3.82Bb | 0.88Bb | 0.26Cb | 0.17Bb | |
| WG | 0–10 | 1.34Ba | 14.79Ab | 28.42Aa | 55.93Ba | 15.65Aa | 2.11Bb | 8.23Aa | 1.09Ba | 0.58ABb | 0.33ABc |
| 10–30 | 1.49Aab | 13.28Ab | 30.44Aa | 57.79Aa | 11.78ABa | 4.13ABab | 5.54Ba | 1.31ABa | 0.68Ab | 0.36Abc | |
| 30–50 | 1.56Aa | 11.15Ab | 26.92Ab | 58.64Aa | 14.45Aa | 5.26Aa | 5.07Ba | 1.67Aa | 0.57ABab | 0.34ABbc | |
| 50–80 | 1.48Ab | 10.61ABb | 27.54Ab | 62.21Aa | 10.25ABa | 3.23Bb | 3.07Cb | 1.76Aa | 0.25Bd | 0.25Ba | |
| 80–120 | 1.32Bc | 9.31Bb | 30.38Ab | 62.03Aa | 7.59Ba | 3.13Bb | 3.15BCb | 1.22ABa | 0.30Bb | 0.25Bb |
Publisher’s Note: MDPI stays neutral with regard to jurisdictional claims in published maps and institutional affiliations. |
© 2022 by the authors. Licensee MDPI, Basel, Switzerland. This article is an open access article distributed under the terms and conditions of the Creative Commons Attribution (CC BY) license (https://creativecommons.org/licenses/by/4.0/).
Share and Cite
Zhang, X.; Qi, J.; Xu, J.; Zhou, P.; Chen, Z.; Wang, L.; Guo, M. Root Distribution and Soil Properties of Gully Heads and Their Effects on Headcut Migration in the Mollisols Region of Northeast China. Land 2022, 11, 184. https://doi.org/10.3390/land11020184
Zhang X, Qi J, Xu J, Zhou P, Chen Z, Wang L, Guo M. Root Distribution and Soil Properties of Gully Heads and Their Effects on Headcut Migration in the Mollisols Region of Northeast China. Land. 2022; 11(2):184. https://doi.org/10.3390/land11020184
Chicago/Turabian StyleZhang, Xingyi, Jiarui Qi, Jinzhong Xu, Pengchong Zhou, Zhuoxin Chen, Lixin Wang, and Mingming Guo. 2022. "Root Distribution and Soil Properties of Gully Heads and Their Effects on Headcut Migration in the Mollisols Region of Northeast China" Land 11, no. 2: 184. https://doi.org/10.3390/land11020184
APA StyleZhang, X., Qi, J., Xu, J., Zhou, P., Chen, Z., Wang, L., & Guo, M. (2022). Root Distribution and Soil Properties of Gully Heads and Their Effects on Headcut Migration in the Mollisols Region of Northeast China. Land, 11(2), 184. https://doi.org/10.3390/land11020184

