Nonlinear Water Waves Induced by Vertical Disturbances Through a Navier–Stokes Solver with the Implementation of the Immersed Boundary Method
Abstract
1. Introduction
2. Governing Equations and Numerical Methodology
2.1. Governing Equations
2.2. Numerical Methodology
3. Benchmark Tests and Model Validation
3.1. Generation of Linear Waves
3.2. Generation of Tsunami-like Waves
4. Effects of Bottom Disturbance on Wave Features
4.1. Disturbance Settings
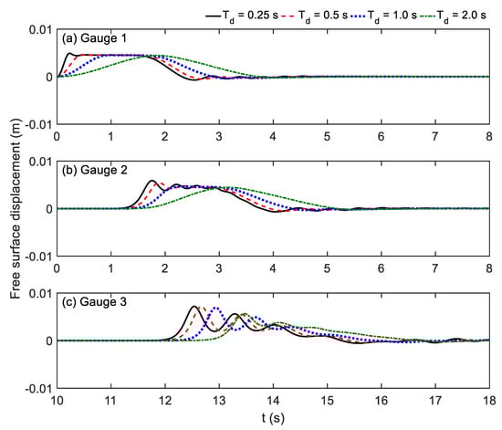
4.2. Influence of Disturbance Velocity
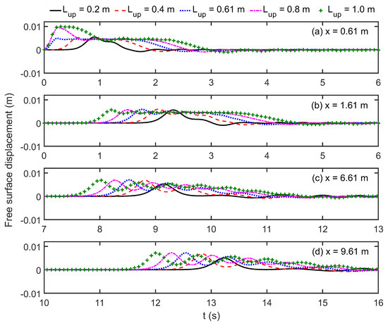
4.3. Influence of Disturbance Bulk
5. Conclusions
- The model demonstrates high accuracy across a defined parameter space, simulating bottom disturbances with non-dimensional velocity amplitudes () ranging from 0.113 to 0.091 and non-dimensional widths (Lup/0.61) ranging from 0.328 to 1.639, validating its capability in capturing essential wave features across a broad range of disturbance velocities and widths.
- The generated wave field exhibits strong dependence on both the disturbance duration Td and width Lup. For instance, the decrease in Td and the growth of Lup can independently lead to an increase in phase celerity and wave height of the leading soliton. All simulated cases evolve into dispersive wave trains whose leading crest undergoes fission into successive solitons, a hallmark of a tsunami-like wave.
- Shorter disturbance durations result in earlier fission of the leading crest into soliton trains and higher phase celerities. This inverse relationship between disturbance duration and wave celerity provides crucial insight for wave forecasting applications.
- Larger disturbance widths generate nonlinear waves in a near-linear increase in the phase celerity of the leading wave. The amplitude of the leading soliton decreases with increasing Td but increases with expanding Lup, revealing competing mechanisms governing wave amplitude evolution.
- Wave energy evolution demonstrates distinct spatiotemporal patterns, with the main wave energy nonlinearly migrating from higher frequencies to lower frequencies in the offshore direction (the prorogating direction) for longer disturbances. This spectral evolution underscores the critical role of both disturbance duration and width in governing wave energy propagation characteristics.
Author Contributions
Funding
Data Availability Statement
Conflicts of Interest
References
- Semenov, Y.A.; Wu, G.X. Free-surface gravity flow due to a submerged body in uniform current. J. Fluid Mech. 2020, 883, A60. [Google Scholar] [CrossRef]
- Derakhti, M.; Dalrymple, R.A.; Okal, E.A.; Synolakis, C.E. Temporal and topographic source effects on tsunami generation. J. Geophys. Res. Ocean. 2019, 124, 5270–5288. [Google Scholar] [CrossRef]
- Gao, J.L.; Ma, X.Z.; Dong, G.H.; Chen, H.Z.; Liu, Q.; Zang, J. Investigation on the effects of Bragg reflection on harbor oscillations. Coast. Eng. 2021, 170, 103977. [Google Scholar] [CrossRef]
- Synolakis, C.E.; Bernard, E.N. Tsunami science before and beyond boxing day 2004. Philos. Trans. R. Soc. A Math. Phys. Eng. Sci. 2006, 364, 2231–2265. [Google Scholar] [CrossRef]
- Reeve, D.E.; Horrillo-Caraballo, J.; Karunarathna, H.; Wang, X. Experimental study of wave trains generated by vertical bed movements. Appl. Ocean Res. 2024, 147, 103971. [Google Scholar] [CrossRef]
- Fang, K.; Liu, Z.; Sun, J.; Xie, Z.; Zheng, Z. Development and validation of a two-layer Boussinesq model for simulating free surface waves generated by bottom motion. Appl. Ocean Res. 2020, 94, 101977. [Google Scholar] [CrossRef]
- Jing, H.; Gao, Y.; Liu, C.; Hou, J. Far-field characteristics of linear water waves generated by a submerged landslide over a flat seabed. J. Mar. Sci. Eng. 2020, 8, 196. [Google Scholar] [CrossRef]
- Gao, J.; Ji, C.; Gaidai, O.; Liu, Y.; Ma, X. Numerical investigation of transient harbor oscillations induced by N-waves. Coast. Eng. 2017, 125, 119–131. [Google Scholar] [CrossRef]
- Gao, J.; Ma, X.; Chen, H.; Zang, J.; Dong, G. On hydrodynamic characteristics of transient harbor resonance excited by double solitary waves. Ocean Eng. 2021, 219, 108345. [Google Scholar] [CrossRef]
- Hammack, J.L.; Segur, H. The Korteweg-de Vries equation and water waves. Part 2. Comparison with experiments. J. Fluid Mech. 1974, 65, 289–314. [Google Scholar] [CrossRef]
- Tinti, S.; Bortolucci, E. Energy of water waves induced by submarine landslides. Pure Appl. Geophys. 2000, 157, 281–318. [Google Scholar] [CrossRef]
- Infeld, E.; Karczewska, A.; Rowlands, G.; Rozmej, P. Exact cnoidal solutions of the extended KdV equation. Acta Phys. Pol. A 2018, 133, 1191–1199. [Google Scholar] [CrossRef]
- Nadiga, B.T.; Margolin, L.G.; Smolarkiewicz, P.K. Different approximations of shallow fluid flow over an obstacle. Phys. Fluids 1996, 8, 2066–2077. [Google Scholar] [CrossRef]
- Duan, W.Y.; Wang, Z.; Zhao, B.B.; Ertekin, R.C.; Kim, J.W. Steady solution of the velocity field of steep solitary waves. Appl. Ocean Res. 2018, 73, 70–79. [Google Scholar] [CrossRef]
- Madsen, P.A.; Bingham, H.B.; Schäffer, H.A. Boussinesq-type formulations for fully nonlinear and extremely dispersive water waves: Derivation and analysis. Proc. R. Soc. A 2003, 459, 1075–1104. [Google Scholar] [CrossRef]
- Løvholt, F.; Pedersen, G.; Harbitz, C.B.; Glimsdal, S.; Kim, J. On the characteristics of landslide tsunamis. Philos. Trans. R. Soc. A Math. Phys. Eng. Sci. 2015, 373, 20140376. [Google Scholar] [CrossRef]
- Shen, L.W.; Chan, E.S. Numerical simulation of fluid-structure interaction using a combined volume of fluid and immersed boundary method. Ocean Eng. 2008, 35, 939–952. [Google Scholar] [CrossRef]
- Jin, X.; Qin, Y.Y.; Tao, Y.; Lin, P. Numerical modeling of transient nonlinear water waves generated by horizontally moving bottom disturbances. Phys. Fluids 2024, 36, 113125. [Google Scholar] [CrossRef]
- Whittaker, C.N.; Nokes, R.I.; Lo, H.Y.; Liu, P.F.; Davidson, M.J. Physical and numerical modelling of tsunami generation by a moving obstacle at the bottom boundary. Environ. Fluid Mech. 2017, 17, 929–958. [Google Scholar] [CrossRef]
- Ebrahimi, A.; Boroomand, B. Simulation of nonlinear free surface waves using a fixed grid method. J. Appl. Fluid Mech. 2023, 16, 2054–2068. [Google Scholar] [CrossRef]
- Mi, S.; Wang, M.; Avital, E.J.; Williams, J.J.; Chatjigeorgiou, I.K. An implicit Eulerian–Lagrangian model for flow-net interaction using immersed boundary method in OpenFOAM. Ocean Eng. 2022, 264, 112843. [Google Scholar] [CrossRef]
- Zhang, D.; Chwang, A.T. Numerical study of nonlinear shallow water waves produced by a submerged moving disturbance in viscous flow. Phys. Fluids 1996, 8, 147–155. [Google Scholar] [CrossRef]
- Jin, X.; Dai, C.; Huang, H.L.; Qin, Y.Y.; Tao, Y.; Zhang, F.G. A comparative study of RNN, CNN, LSTM and GRU for random sea wave forecasting. Ocean Eng. 2025, 338, 122013. [Google Scholar] [CrossRef]
- Meylan, M.H.; Stepanyants, Y.A. Scattering of gravity-capillary waves on a bottom step. Phys. Fluids 2024, 36, 011701. [Google Scholar] [CrossRef]
- Ockendon, H.; Ockendon, J.R.; Waterhouse, D.D. Multi-mode resonance in fluids. J. Fluid Mech. 1996, 315, 317–344. [Google Scholar] [CrossRef]
- Kim, M.W.; Koo, W.; Hong, S.Y. Numerical analysis of various artificial damping schemes in a three-dimensional numerical wave tank. Ocean Eng. 2013, 75, 165–173. [Google Scholar] [CrossRef]
- Ibrahim, R.A. Recent advances in physics of fluid parametric sloshing and related problems. J. Fluids Eng. 2015, 137, 090801. [Google Scholar] [CrossRef]
- Mao, H.; He, Y.; Wu, G.; Lin, J.; Ji, R. Study of liquid viscosity effects on hydrodynamic forces on an oscillating circular cylinder underwater using OpenFOAM. Symmetry 2021, 13, 1806. [Google Scholar] [CrossRef]
- Jin, X.; Liu, M.M.; Zou, Y.J.; Luo, M.; Yang, F.; Wang, L. Numerical simulation of Faraday waves in a rectangular tank and damping mechanism of internal baffles. J. Fluids Struct. 2022, 109, 103503. [Google Scholar] [CrossRef]
- Jin, X.; Xue, M.A.; Lin, P.Z. Experimental and numerical study of nonlinear modal characteristics of Faraday waves. Ocean Eng. 2021, 221, 108554. [Google Scholar] [CrossRef]
- Jin, X.; Huang, H.L.; Tao, Y.; Zhang, F.G.; Luo, M.; Fan, C.Y.; Tang, T. A systematic review on mechanism and regulation strategy of marine hydrodynamic noise: Advances, challenges, and perspectives. Ocean Eng. 2025, 330, 121202. [Google Scholar] [CrossRef]
- Wang, R.; Ning, D.; Zhang, C.; Zou, Q.; Liu, Z. Nonlinear and viscous effects on the hydrodynamic performance of a fixed OWC wave energy converter. Coast. Eng. 2018, 131, 42–50. [Google Scholar] [CrossRef]
- Zhang, C.; Tan, J.; Ning, D. Machine learning strategy for viscous calibration of fully-nonlinear liquid sloshing simulation in FLNG tanks. Appl. Ocean Res. 2021, 114, 102737. [Google Scholar] [CrossRef]
- Wu, G.X.; Taylor, R.E.; Greaves, D.M. The effect of viscosity on the transient free surface waves in a two-dimensional tank. J. Eng. Math. 2001, 40, 77–90. [Google Scholar] [CrossRef]
- Jin, X.; Lin, P.Z. Viscous effects on liquid sloshing under external excitations. Ocean Eng. 2019, 171, 695–707. [Google Scholar] [CrossRef]
- Jin, X.; Tang, J.B.; Tang, X.C.; Mi, S.; Wu, J.X.; Liu, M.M.; Huang, Z.L. Effect of viscosity on sloshing in a rectangular tank with intermediate liquid depth. Exp. Therm. Fluid Sci. 2020, 118, 110148. [Google Scholar] [CrossRef]
- Jamin, T.; Gordillo, L.; Ruiz-Chavarría, G.; Berhanu, M.; Falcon, E. Experiments on generation of surface waves by an underwater moving bottom. Proc. R. Soc. A 2015, 471, 20150069. [Google Scholar] [CrossRef]
- Slunyaev, A.V.; Kokorina, A.V.; Klein, M. Nonlinear dynamic pressure beneath waves in water of intermediate depth: Theory and experiment. Eur. J. Mech. B Fluids 2022, 94, 155–170. [Google Scholar] [CrossRef]
- Lee, J.J.; Skjelbreia, J.E.; Raichlen, F. Measurements of velocities in solitary waves. J. Waterw. Port Coast. Ocean. Div. 1982, 108, 200–218. [Google Scholar] [CrossRef]
- Bai, Y.; Cheung, K.F. Depth-integrated free-surface flow with a two-layer non-hydrostatic formulation. Int. J. Numer. Methods Fluids 2012, 69, 411–429. [Google Scholar] [CrossRef]
- Gao, J.; Ma, X.; Zang, J.; Dong, G.; Ma, X.; Zhu, Y.; Zhou, L. Numerical investigation of harbor oscillations induced by focused transient wave groups. Coast. Eng. 2020, 158, 103670. [Google Scholar] [CrossRef]
- Jin, X.; Huang, H.L.; Xu, X.K.; Qin, Y.Y.; Luo, M.; Wen, Y. Assessment of offshore wind and wave energy resources for combined exploitation in the East China Sea. Energy 2025, 323, 135730. [Google Scholar] [CrossRef]
- Dragani, W.C. Numerical experiments on the generation of long ocean waves in coastal waters of the Buenos Aires province, Argentina. Cont. Shelf Res. 2007, 27, 699–712. [Google Scholar] [CrossRef]
- Auclair, F.; Bordois, L.; Dossmann, Y.; Duhaut, T.; Paci, A.; Ulses, C.; Nguyen, C. A non-hydrostatic non-Boussinesq algorithm for free-surface ocean modelling. Ocean Model. 2018, 132, 12–29. [Google Scholar] [CrossRef]
- Wassim, E.; Zheng, B.; Shang, Y. A parallel two-grid method based on finite element approximations for the 2D/3D Navier-Stokes equations with damping. Eng. Comput. 2024, 40, 541–554. [Google Scholar] [CrossRef]
- Gao, J.; Wu, Y.; Song, Z.; He, M. Influences of low velocity uniform current on characteristics of gap resonance occurring between two adjacent fixed bodies. Mar. Struct. 2026, 106, 103961. [Google Scholar] [CrossRef]
- Mi, C.; Gao, J.; Song, Z.; Liu, Y. Hydrodynamic wave forces on two side-by-side barges subjected to nonlinear focused wave groups. Ocean Eng. 2025, 317, 120056. [Google Scholar] [CrossRef]
- Wang, H.E.; Chan, I.C. Numerical investigation of wave generation characteristics of bottom-tilting flume wavemaker. J. Mar. Sci. Eng. 2020, 8, 769. [Google Scholar] [CrossRef]
- Xie, P.; Du, Y. Tsunami wave generation in Navier-Stokes solver and the effect of leading trough on wave run-up. Coast. Eng. 2023, 182, 104293. [Google Scholar] [CrossRef]
- Galvin, C.J. Wave Height Prediction for Wave Generators in Shallow Water; Technical Memorandum No. 4; U.S. Army Coastal Engineering Research Center: Duck, NC, USA, 1964. [Google Scholar]
- Jing, H.; Chen, G.; Liu, C.; Wang, W.; Zuo, J. Dispersive effects of water waves generated by submerged landslide. Nat. Hazards 2020, 103, 1917–1941. [Google Scholar] [CrossRef]
- Wu, C.S. A modified volume-of-fluid/hybrid Cartesian immersed boundary method for simulating free-surface undulation over moving topographies. Comput. Fluids 2019, 179, 91–111. [Google Scholar] [CrossRef]
- Kawai, H.; Satoh, M.; Kawaguchi, K.; Seki, K. Characteristics of the 2011 Tohoku tsunami waveform acquired around Japan by NOWPHAS equipment. Coastal. Eng. J. 2013, 55, 1350008. [Google Scholar] [CrossRef]












Disclaimer/Publisher’s Note: The statements, opinions and data contained in all publications are solely those of the individual author(s) and contributor(s) and not of MDPI and/or the editor(s). MDPI and/or the editor(s) disclaim responsibility for any injury to people or property resulting from any ideas, methods, instructions or products referred to in the content. |
© 2025 by the authors. Licensee MDPI, Basel, Switzerland. This article is an open access article distributed under the terms and conditions of the Creative Commons Attribution (CC BY) license (https://creativecommons.org/licenses/by/4.0/).
Share and Cite
Ma, H.-P.; Zhang, H.-X. Nonlinear Water Waves Induced by Vertical Disturbances Through a Navier–Stokes Solver with the Implementation of the Immersed Boundary Method. Water 2025, 17, 3573. https://doi.org/10.3390/w17243573
Ma H-P, Zhang H-X. Nonlinear Water Waves Induced by Vertical Disturbances Through a Navier–Stokes Solver with the Implementation of the Immersed Boundary Method. Water. 2025; 17(24):3573. https://doi.org/10.3390/w17243573
Chicago/Turabian StyleMa, Hai-Ping, and Hong-Xia Zhang. 2025. "Nonlinear Water Waves Induced by Vertical Disturbances Through a Navier–Stokes Solver with the Implementation of the Immersed Boundary Method" Water 17, no. 24: 3573. https://doi.org/10.3390/w17243573
APA StyleMa, H.-P., & Zhang, H.-X. (2025). Nonlinear Water Waves Induced by Vertical Disturbances Through a Navier–Stokes Solver with the Implementation of the Immersed Boundary Method. Water, 17(24), 3573. https://doi.org/10.3390/w17243573
