The Impact of Heave Motion on Gap Resonance in Floating Structures: A Numerical Investigation
Abstract
1. Introduction
2. Numerical Setup
2.1. Numerical Model
2.2. Numerical Wave Tank
2.3. Test Conditions
3. Model Validations
4. Comparisons Between Floating- and Fixed-Box Systems
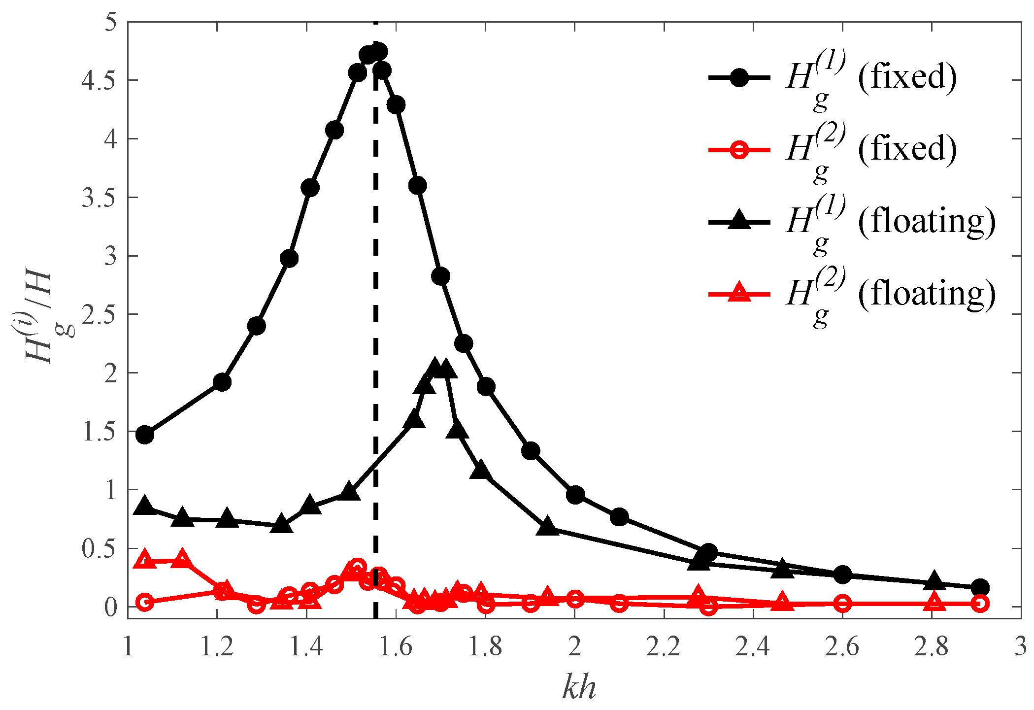
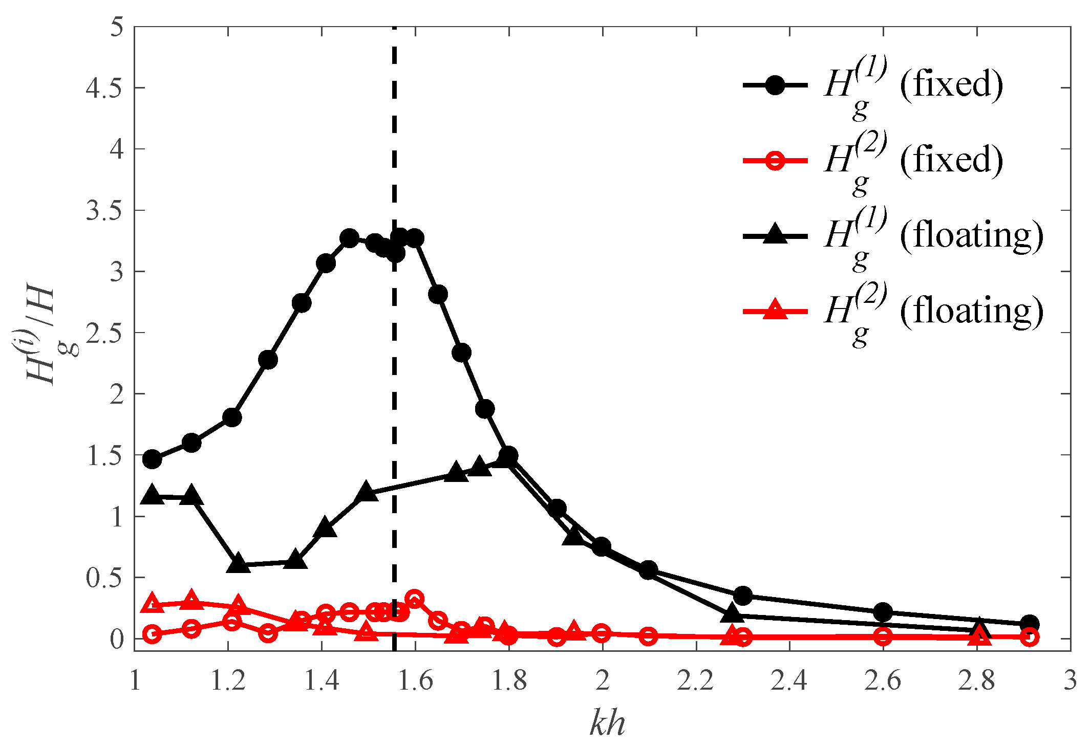
4.1. Amplification of Free-Surface Elevation Inside Narrow Gap
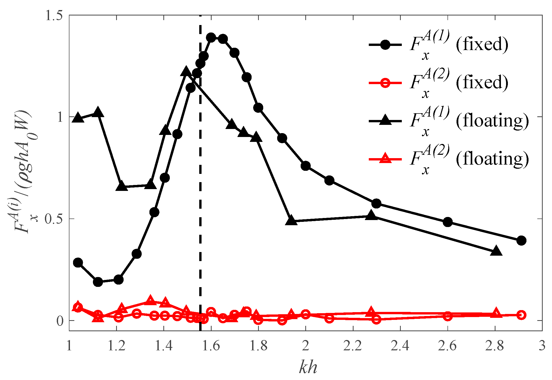
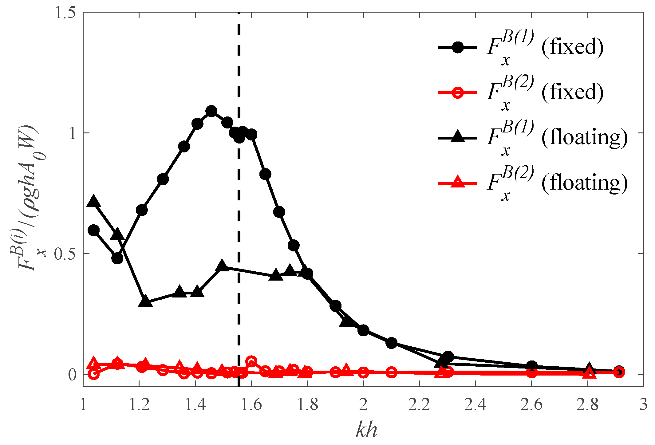
4.2. Horizontal Wave Force
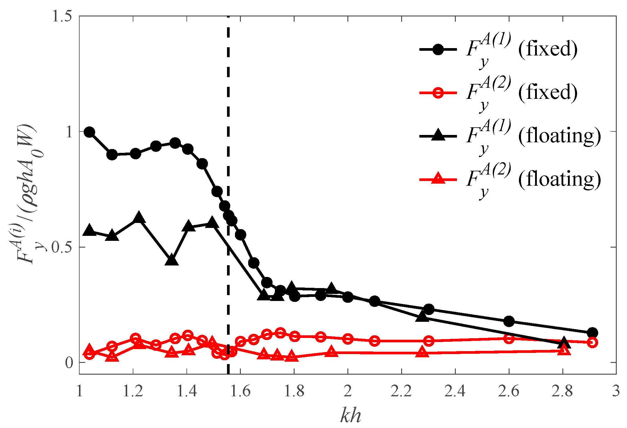
4.3. Vertical Wave Force
5. Conclusions
- 1.
- Incident waves with a smaller wave height result in greater wave amplification when gap resonance occurs in the narrow gap. This occurs because smaller wave heights result in lower energy dissipation within the gap, leading to more pronounced resonance effects. As the incident wave height increases, nonlinear effects and dissipation become more dominant, which suppresses the extent of wave amplification. For smaller waves, the free-surface elevation within the gap is able to reach much higher proportions relative to the incoming wave height, amplifying the wave energy trapped between the structures. This observation is crucial for accurately predicting the behaviour of wave–structure interactions, especially in cases involving low-energy waves.
- 2.
- The inclusion of heave motions in the floating-box system shifts the resonance frequency to a higher value (larger kh) and significantly reduces the wave amplification compared with the fixed-box system. The shift in resonance frequency can be attributed to the changes in water mass trapped within the gap, which alters the system’s natural frequency. In the floating-box system, the heave motion of the structures modifies the dynamic response of the system, resulting in less-pronounced resonance effects. The flexibility introduced by heave motions dampens the energy build-up that typically occurs in the fixed-box system, thereby reducing the wave amplification. This finding highlights the importance of considering structural motion when designing marine systems to mitigate potential resonance-induced loads.
- 3.
- Gap resonance can induce extreme wave forces on structures. However, its impact on the wave forces on the rear box in the floating-box system is minimal. The presence of gap resonance amplifies the wave forces acting on the structures, particularly around the resonance frequency, where forces can become extreme. However, in the floating-box system, the rear box experiences significantly smaller wave forces due to the energy dissipation caused by the heave motions and the altered wave patterns between the boxes. The wave forces on the rear box are more controlled, making it less susceptible to extreme load conditions than the front box. This finding is especially relevant in practical engineering applications, where mitigating extreme loads on offshore structures is critical to ensuring their long-term stability and operational safety.
Author Contributions
Funding
Data Availability Statement
Conflicts of Interest
References
- Liang, H.; Liu, X.; Chua, K.H.; de Mello, P.C.; Choo, Y.S. Wave actions on side-by-side barges with sloshing effects: Fixed-free arrangement. Flow 2022, 2, E20. [Google Scholar] [CrossRef]
- Jiang, S.-C.; Bai, W. Coupling analysis for sway motion box with internal liquid sloshing under wave actions. Phys. Fluids 2020, 32, 72106. [Google Scholar] [CrossRef]
- Gao, J.; Hou, L.; Liu, Y.; Shi, H. Influences of bragg reflection on harbor resonance triggered by irregular wave groups. Ocean Eng. 2024, 305, 117941. [Google Scholar] [CrossRef]
- Li, J.Y.; Liu, Z.; Liao, S.J.; Borthwick, A.G. Steady-state harmonic resonance of periodic interfacial waves with free-surface boundary conditions based on the homotopy analysis method. J. Fluid Mech. 2021, 916, A58. [Google Scholar] [CrossRef]
- Li, J.Y.; Liu, Z.; Liao, S.J.; Borthwick, A.G. Steady-state multiple near resonances of periodic interfacial waves with rigid boundary. Phys. Fluids 2020, 32, 87104. [Google Scholar] [CrossRef]
- Miao, G.; Saitoh, T.; Ishida, H. Water wave interaction of twin large scale caissons with a small gap between. Coast. Eng. J. 2001, 43, 39–58. [Google Scholar] [CrossRef]
- Molin, B. On the piston and sloshing modes in moonpools. J. Fluid Mech. 2001, 430, 27–50. [Google Scholar] [CrossRef]
- Saitoh, T.; Miao, G.; Ishida, H. Theoretical analysis on appearance condition of fluid resonance in a narrow gap between two modules of very large floating structure. In Proceedings of the 3rd Asia-Pacific Workshop on Marine Hydrodynamics, Shanghai, China, 27–28 June 2006; pp. 170–175. [Google Scholar]
- Ning, D.; Zhu, Y.; Zhang, C.; Zhao, M. Experimental and numerical study on wave response at the gap between two barges of different draughts. Appl. Ocean Res. 2018, 77, 14–25. [Google Scholar] [CrossRef]
- Tan, L.; Lu, L.; Tang, G.Q.; Cheng, L.; Chen, X.B. A viscous damping model for piston mode resonance. J. Fluid Mech. 2019, 871, 510–533. [Google Scholar] [CrossRef]
- Kristiansen, T.; Faltinsen, O.M. Studies on resonant water motion between a ship and a fixed terminal in shallow water. J. Offshore Mech. Arct. Eng. 2009, 131, 21102. [Google Scholar] [CrossRef]
- Liu, Y.; Li, H.-J.; Lu, L.; Li, A.-J.; Tan, L. A semi-analytical potential solution for wave resonance in gap between floating box and vertical wall. China Ocean Eng. 2020, 34, 747–759. [Google Scholar] [CrossRef]
- Faltinsen, O.M.; Rognebakke, O.F.; Timokha, A.N. Two-dimensional resonant piston-like sloshing in a moonpool. J. Fluid Mech. 2007, 575, 359–397. [Google Scholar] [CrossRef]
- Jiang, S.-C.; Liu, H.; Sun, T.-Z.; Gu, Q. Numerical simulation for hydrodynamic behavior of box-systems with and without narrow gaps. Ocean Eng. 2020, 214, 107698. [Google Scholar] [CrossRef]
- Tan, L.; Tang, G.-Q.; Zhou, Z.-B.; Cheng, L.; Chen, X.; Lu, L. Theoretical and numerical investigations of wave resonance between two floating bodies in close proximity. J. Hydrodyn. Ser. B 2017, 29, 805–816. [Google Scholar] [CrossRef]
- Ning, D.; Su, X.; Zhao, M.; Teng, B. Hydrodynamic difference of rectangular-box systems with and without narrow gaps. J. Eng. Mech. 2015, 141, 4015023. [Google Scholar] [CrossRef]
- Lu, L.; Cheng, L.; Teng, B.; Sun, L. Numerical simulation and comparison of potential flow and viscous fluid models in near trapping of narrow gaps. J. Hydrodyn. Ser. B 2010, 22, 120–125. [Google Scholar] [CrossRef]
- Chen, X.B. Hydrodynamics in Offshore and Naval Applications (Keynote lecture). In Proceedings of the 6th International Conference on Hydrodynamics, Perth, WA, Australia, 24–26 November 2004. [Google Scholar]
- Liang, H.; Chua, K.-H.; Wang, H.-C.; Choo, Y.S. Numerical and experimental investigations into fluid resonance in a gap between two side-by-side vessels. Appl. Ocean Res. 2021, 111, 102581. [Google Scholar] [CrossRef]
- Moradi, N.; Zhou, T.; Cheng, L. Effect of inlet configuration on wave resonance in the narrow gap of two fixed bodies in close proximity. Ocean Eng. 2015, 103, 88–102. [Google Scholar] [CrossRef]
- He, G.; Chen, L.; Zhang, J.; Wang, X. Hydrodynamic resonance of three identical rectangular boxes with narrow gaps by a CIP method. Int. J. Offshore Polar Eng. 2019, 29, 437–445. [Google Scholar] [CrossRef]
- Gao, J.; Chen, H.; Zang, J.; Chen, L.; Wang, G.; Zhu, Y. Numerical investigations of gap resonance excited by focused transient wave groups. Ocean Eng. 2020, 212, 107628. [Google Scholar] [CrossRef]
- Feng, X.; Bai, W. Wave resonances in a narrow gap between two barges using fully nonlinear numerical simulation. Appl. Ocean Res. 2015, 50, 119–129. [Google Scholar] [CrossRef]
- Zhao, W.; Pan, Z.; Lin, F.; Li, B.; Taylor, P.H.; Efthymiou, M. Estimation of gap resonance relevant to side-by-side offloading. Ocean Eng. 2018, 153, 1–9. [Google Scholar] [CrossRef]
- Zhao, W.; Taylor, P.H.; Wolgamot, H.A.; Eatock Taylor, R. Gap resonance from linear to quartic wave excitation and the structure of nonlinear transfer functions. J. Fluid Mech. 2021, 926, A3. [Google Scholar] [CrossRef]
- Yin, Y.; Jiang, S.-C.; Geng, B.-L. Fluid resonance in the narrow gap for a box close to a bottom-mounted wall with permeable bed. Ocean Eng. 2022, 258, 111726. [Google Scholar] [CrossRef]
- Ding, Y.; Walther, J.H.; Shao, Y. Higher-order gap resonance between two identical fixed barges: A study on the effect of water depth. Phys. Fluids 2022, 34, 52113. [Google Scholar] [CrossRef]
- Zou, M.; Chen, M.; Zhu, L.; Li, L.; Zhao, W. A constant parameter time domain model for dynamic modelling of multi-body system with strong hydrodynamic interactions. Ocean Eng. 2023, 268, 113376. [Google Scholar] [CrossRef]
- Gong, S.; Gao, J.; Song, Z.; Shi, H.; Liu, Y. Hydrodynamics of fluid resonance in a narrow gap between two boxes with different breadths. Ocean Eng. 2024, 311, 118986. [Google Scholar] [CrossRef]
- Song, Z.; Mi, C.; Zhou, Z.; Gao, J.; Liu, Y. Two-dimensional viscous study of coupled nonlinear fluid resonances in two narrow gaps. Phys. Fluids 2024, 36, 103112. [Google Scholar] [CrossRef]
- Li, Y. Fully nonlinear analysis of second-order gap resonance between two floating barges. Eng. Anal. Bound. Elem. 2019, 106, 1–19. [Google Scholar] [CrossRef]
- Li, Y.; Zhang, C. Analysis of wave resonance in gap between two heaving barges. Ocean Eng. 2016, 117, 210–220. [Google Scholar] [CrossRef]
- He, G.; Jing, P.; Jin, R.; Zhang, W.; Zhang, J.; Liu, T. Two-dimensional numerical study on fluid resonance in the narrow gap between two rigid-connected heave boxes in waves. Appl. Ocean Res. 2021, 110, 102628. [Google Scholar] [CrossRef]
- Gao, J.-L.; Lyu, J.; Wang, J.-H.; Zhang, J.; Liu, Q.; Zang, J.; Zou, T. Study on Transient Gap Resonance with Consideration of the Motion of Floating Body. China Ocean Eng. 2022, 36, 994–1006. [Google Scholar] [CrossRef]
- Gao, J.; Mi, C.; Song, Z.; Liu, Y. Transient gap resonance between two closely-spaced boxes triggered by nonlinear focused wave groups. Ocean Eng. 2024, 305, 117938. [Google Scholar] [CrossRef]
- Li, S.; Teng, B. Numerical examination of wave-induced coupling roll motion and fluid resonance between twin floating barges in proximity. Procedia Eng. 2015, 126, 242–246. [Google Scholar] [CrossRef]
- Lu, L.; Tan, L.; Zhou, Z.; Zhao, M.; Ikoma, T. Two-dimensional numerical study of gap resonance coupling with motions of floating body moored close to a bottom-mounted wall. Phys. Fluids 2020, 32, 92101. [Google Scholar] [CrossRef]
- Gao, J.; Gong, S.; He, Z.; Shi, H.; Zang, J.; Zou, T.; Bai, X. Study on Wave Loads During Steady-State Gap Resonance with Free Heave Motion of Floating Structure. J. Mar. Sci. Eng. 2023, 11, 448. [Google Scholar] [CrossRef]
- Li, B.; Liang, H.; Chen, X.; Araujo, R. Study of telescopic gangway motions in time domain during offshore operation. Ocean Eng. 2021, 230, 108692. [Google Scholar] [CrossRef]
- Li, B.; Qiao, D.; Zhao, W.; Hu, Z.; Li, S. Operability analysis of SWATH as a service vessel for offshore wind turbine in the southeastern coast of China. Ocean Eng. 2022, 251, 111017. [Google Scholar] [CrossRef]
- Jing, P.; He, G.; Ghassemi, H.; Luan, Z. Transient responses of the linear and nonlinear gap resonances in the fixed and free-heaving moonpools. Phys. Fluids 2023, 35, 87125. [Google Scholar] [CrossRef]
- Jing, P.; Cui, T.; He, G.; Zhang, C.; Luan, Z. Effects of multi motion responses and incident-wave height on the gap resonances in a moonpool. Phys. Fluids 2024, 36, 17117. [Google Scholar] [CrossRef]
- Jing, P.; He, G.; Zhang, C.; He, R.; Zhang, Z. Effects of nonlinearities on the gap resonances between two free-heaving barges. Phys. Fluids 2024, 36, 47125. [Google Scholar] [CrossRef]
- Gao, J.; Zang, J.; Chen, L.; Chen, Q.; Ding, H.; Liu, Y. On hydrodynamic characteristics of gap resonance between two fixed bodies in close proximity. Ocean Eng. 2019, 173, 28–44. [Google Scholar] [CrossRef]
- Jacobsen, N.G.; Fuhrman, D.R.; Fredsøe, J. A wave generation toolbox for the open-source CFD library: OpenFoam®. Int. J. Numer. Methods Fluids 2012, 70, 1073–1088. [Google Scholar] [CrossRef]
- Ding, H.; Chen, Q.; Zang, J. Numerical simulation of wave interactions with floating offshore renewable energy structures: A comparative study between a Particle-based PIC model and OpenFOAM. J. Fluids Struct. 2024, 126, 104092. [Google Scholar] [CrossRef]
















Disclaimer/Publisher’s Note: The statements, opinions and data contained in all publications are solely those of the individual author(s) and contributor(s) and not of MDPI and/or the editor(s). MDPI and/or the editor(s) disclaim responsibility for any injury to people or property resulting from any ideas, methods, instructions or products referred to in the content. |
© 2024 by the authors. Licensee MDPI, Basel, Switzerland. This article is an open access article distributed under the terms and conditions of the Creative Commons Attribution (CC BY) license (https://creativecommons.org/licenses/by/4.0/).
Share and Cite
Ding, H.; Gao, J.; Zang, J. The Impact of Heave Motion on Gap Resonance in Floating Structures: A Numerical Investigation. Water 2024, 16, 3644. https://doi.org/10.3390/w16243644
Ding H, Gao J, Zang J. The Impact of Heave Motion on Gap Resonance in Floating Structures: A Numerical Investigation. Water. 2024; 16(24):3644. https://doi.org/10.3390/w16243644
Chicago/Turabian StyleDing, Haoyu, Junliang Gao, and Jun Zang. 2024. "The Impact of Heave Motion on Gap Resonance in Floating Structures: A Numerical Investigation" Water 16, no. 24: 3644. https://doi.org/10.3390/w16243644
APA StyleDing, H., Gao, J., & Zang, J. (2024). The Impact of Heave Motion on Gap Resonance in Floating Structures: A Numerical Investigation. Water, 16(24), 3644. https://doi.org/10.3390/w16243644

