Effects of Freeze–Thaw Cycles and the Prefreezing Water Content on the Soil Pore Size Distribution
Abstract
1. Introduction
2. Materials and Methods
2.1. Soil Sampling Sites and Basic Soil Properties
2.2. Test Scheme
2.3. Methods and Principles
3. Results
3.1. T2 Curves for Three Kinds of Soils
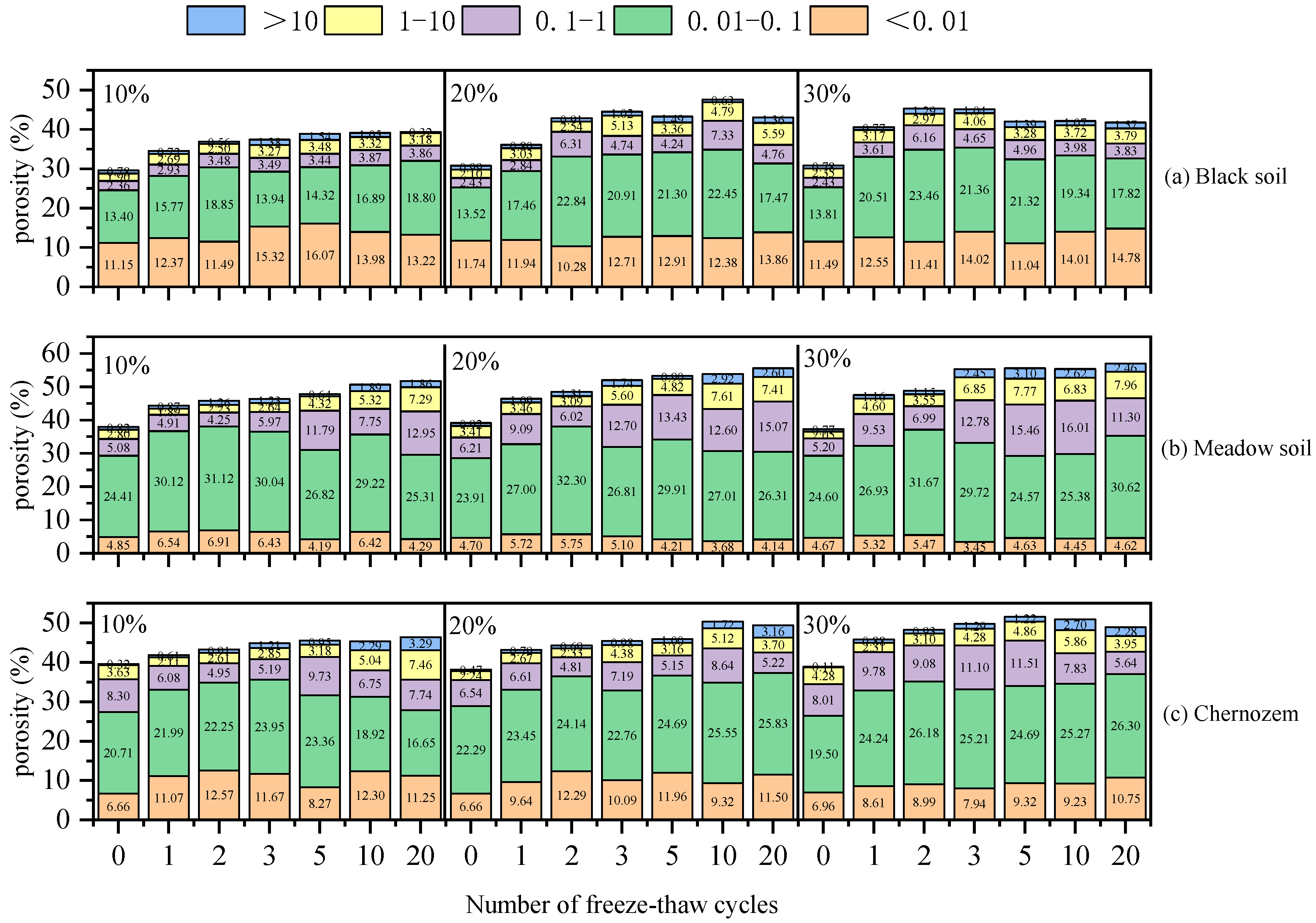
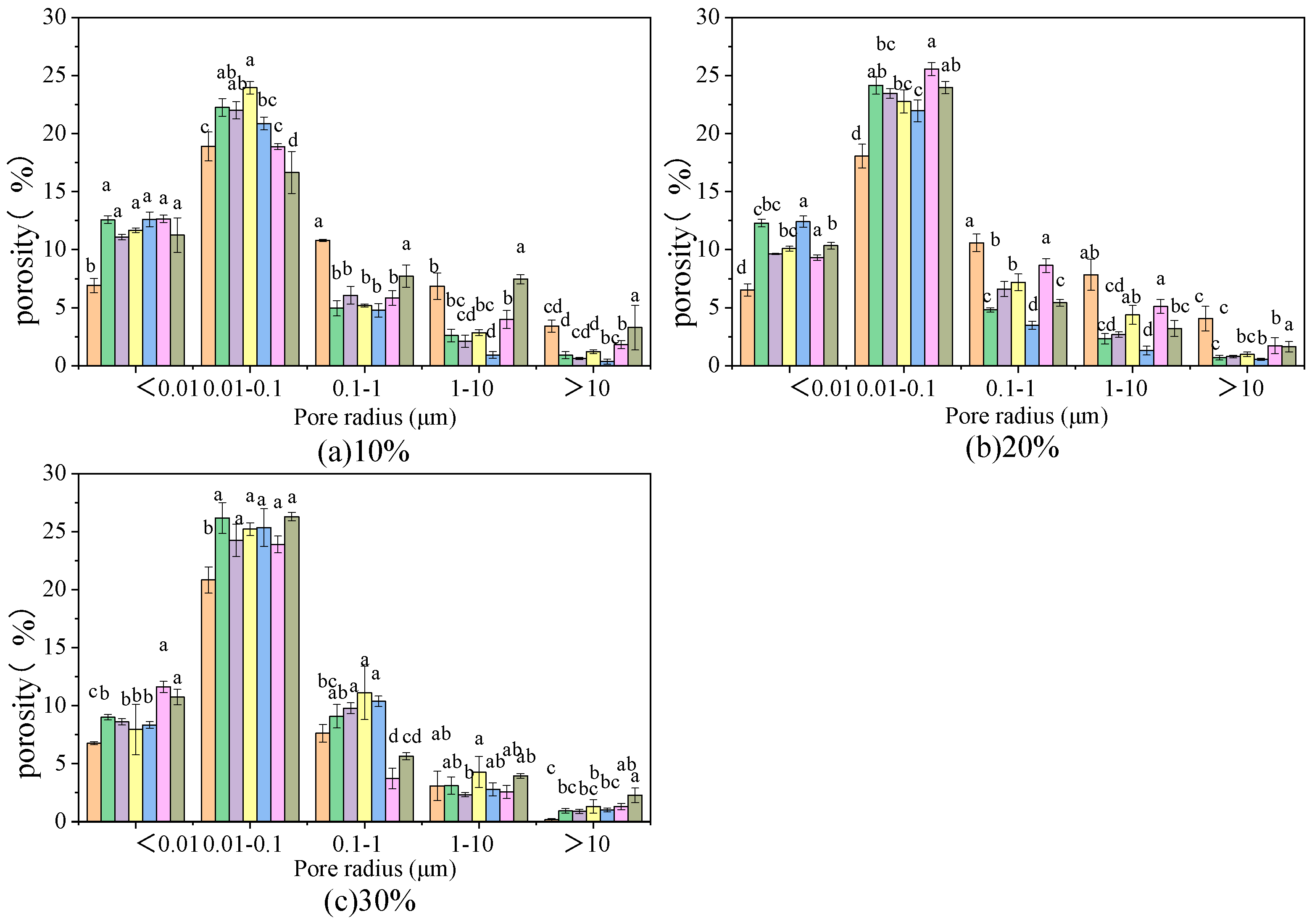
3.2. Soil PSD and Porosity Changes under Different Numbers of FTCs
3.3. Soil PSD and Porosity Change for Different Prefreezing Water Contents
4. Discussion
4.1. The Effect of the Surface Relaxation Strength on the NMR Measurements
4.2. Effect of FTCs on the Soil Pore Structure
4.3. Effect of the Prefreezing Water Content on the Soil Pore Structure
5. Conclusions
Author Contributions
Funding
Data Availability Statement
Acknowledgments
Conflicts of Interest
References
- Zhang, T.; Barry, R.; Knowles, K.; Ling, F.; Armstrong, R. Distribution of seasonally and perennially frozen ground in the Northern Hemisphere. In Proceedings of the 8th International Conference on Permafrost, Zürich, Switzerland, 21–25 July 2003; pp. 1289–1294. [Google Scholar]
- Nie, S.; Jia, X.; Zou, Y.; Bian, J. Effects of Freeze–Thaw Cycles on Soil Nitrogen Transformation in Improved Saline Soils from an Irrigated Area in Northeast China. Water 2024, 16, 653. [Google Scholar] [CrossRef]
- Gao, Z.; Hu, X.; Li, X.-Y.; Li, Z.-C. Effects of freeze-thaw cycles on soil macropores and its implications on formation of hummocks in alpine meadows in the Qinghai Lake watershed, northeastern Qinghai-Tibet Plateau. J. Soils Sediments 2021, 21, 245–256. [Google Scholar] [CrossRef]
- Sorensen, P.O.; Finzi, A.C.; Giasson, M.-A.; Reinmann, A.B.; Sanders-DeMott, R.; Templer, P.H. Winter soil freeze-thaw cycles lead to reductions in soil microbial biomass and activity not compensated for by soil warming. Soil Biol. Biochem. 2018, 116, 39–47. [Google Scholar] [CrossRef]
- Musa, A.; Ya, L.; Anzhi, W.; Cunyang, N. Characteristics of soil freeze–thaw cycles and their effects on water enrichment in the rhizosphere. Geoderma 2016, 264, 132–139. [Google Scholar] [CrossRef]
- Fu, Q.; Zhao, H.; Li, T.; Hou, R.; Liu, D.; Ji, Y.; Zhou, Z.; Yang, L. Effects of biochar addition on soil hydraulic properties before and after freezing-thawing. Catena 2019, 176, 112–124. [Google Scholar] [CrossRef]
- Dexter, A.; Czyż, E.; Gaţe, O. Soil structure and the saturated hydraulic conductivity of subsoils. Soil Tillage Res. 2004, 79, 185–189. [Google Scholar] [CrossRef]
- Xiao, L.; Yao, K.; Li, P.; Liu, Y.; Zhang, Y. Effects of freeze-thaw cycles and initial soil moisture content on soil aggregate stability in natural grassland and Chinese pine forest on the Loess Plateau of China. J. Soils Sediments 2020, 20, 1222–1230. [Google Scholar] [CrossRef]
- Muukkonen, P.; Hartikainen, H.; Alakukku, L. Effect of soil structure disturbance on erosion and phosphorus losses from Finnish clay soil. Soil Tillage Res. 2009, 103, 84–91. [Google Scholar] [CrossRef]
- Ma, R.; Cai, C.; Li, Z.; Wang, J.; Xiao, T.; Peng, G.; Yang, W. Evaluation of soil aggregate microstructure and stability under wetting and drying cycles in two Ultisols using synchrotron-based X-ray micro-computed tomography. Soil Tillage Res. 2015, 149, 1–11. [Google Scholar] [CrossRef]
- Wan, X.; Lai, Y.; Wang, C. Experimental study on the freezing temperatures of saline silty soils. Permafr. Periglac. Process 2015, 26, 175–187. [Google Scholar] [CrossRef]
- Wu, Y.; Zhai, E.; Zhang, X.; Wang, G.; Lu, Y. A study on frost heave and thaw settlement of soil subjected to cyclic freeze-thaw conditions based on hydro-thermal-mechanical coupling analysis. Cold Reg. Sci. Technol. 2021, 188, 103296. [Google Scholar] [CrossRef]
- Henry, H.A. Soil freeze–thaw cycle experiments: Trends, methodological weaknesses and suggested improvements. Soil Biol. Biochem. 2007, 39, 977–986. [Google Scholar] [CrossRef]
- Qi, J.; Vermeer, P.A.; Cheng, G. A review of the influence of freeze-thaw cycles on soil geotechnical properties. Permafr. Periglac. Process 2006, 17, 245–252. [Google Scholar] [CrossRef]
- Henry, H.A. Climate change and soil freezing dynamics: Historical trends and projected changes. Clim. Chang. 2008, 87, 421–434. [Google Scholar] [CrossRef]
- Hall, K. Evidence for freeze–thaw events and their implications for rock weathering in northern Canada: II. The temperature at which water freezes in rock. Earth Surf. Process Landf. 2007, 32, 249–259. [Google Scholar] [CrossRef]
- Groffman, P.M.; Driscoll, C.T.; Fahey, T.J.; Hardy, J.P.; Fitzhugh, R.D.; Tierney, G.L. Colder soils in a warmer world: A snow manipulation study in a northern hardwood forest ecosystem. Biogeochemistry 2001, 56, 135–150. [Google Scholar] [CrossRef]
- Fraser, J.K. Freeze-thaw frequencies and mechanical weathering in Canada. Arctic 1959, 12, 40–53. [Google Scholar] [CrossRef]
- Eigenbrod, K. Effects of cyclic freezing and thawing on volume changes and permeabilities of soft fine-gained soils. Can. Geotech. J. 1996, 33, 529–537. [Google Scholar] [CrossRef]
- Guo, D.; Yang, M.; Wang, H. Sensible and latent heat flux response to diurnal variation in soil surface temperature and moisture under different freeze/thaw soil conditions in the seasonal frozen soil region of the central Tibetan Plateau. Environ. Earth Sci. 2011, 63, 97–107. [Google Scholar] [CrossRef]
- Granger, R.; Gray, D.; Dyck, G. Snowmelt infiltration to frozen prairie soils. Can. J. Earth Sci. 1984, 21, 669–677. [Google Scholar] [CrossRef]
- Niu, G.-Y.; Yang, Z.-L. Effects of frozen soil on snowmelt runoff and soil water storage at a continental scale. J. Hydrometeorol. 2006, 7, 937–952. [Google Scholar] [CrossRef]
- Wang, E.; Cruse, R.M.; Chen, X.; Daigh, A. Effects of moisture condition and freeze/thaw cycles on surface soil aggregate size distribution and stability. Can. J. Soil Sci. 2012, 92, 529–536. [Google Scholar] [CrossRef]
- Dagesse, D.F. Freezing-induced bulk soil volume changes. Can. J. Soil Sci. 2010, 90, 389–401. [Google Scholar] [CrossRef]
- Pittman, F.; Mohammed, A.; Cey, E. Effects of antecedent moisture and macroporosity on infiltration and water flow in frozen soil. Hydrol. Process 2020, 34, 795–809. [Google Scholar] [CrossRef]
- Wang, C.; Li, S.; Lai, Y.; Chen, Q.; He, X.; Zhang, H.; Liu, X. Predicting the Soil Freezing Characteristic from the Particle Size Distribution Based on Micro-Pore Space Geometry. Water Resour. Res. 2022, 58, e2021WR030782. [Google Scholar] [CrossRef]
- Lu, X.; Li, R.; Shi, H.; Liang, J.; Miao, Q.; Fan, L. Successive simulations of soil water-heat-salt transport in one whole year of agriculture after different mulching treatments and autumn irrigation. Geoderma 2019, 344, 99–107. [Google Scholar] [CrossRef]
- Parkin, G.; von Bertoldi, A.P.; McCoy, A.J. Effect of tillage on soil water content and temperature under freeze–thaw conditions. Vadose Zone J. 2013, 12, vzj2012.0075. [Google Scholar] [CrossRef]
- Li, Z.; Ma, L.; Flerchinger, G.N.; Ahuja, L.R.; Wang, H.; Li, Z. Simulation of overwinter soil water and soil temperature with SHAW and RZ-SHAW. Soil Sci. Soc. Am. J. 2012, 76, 1548–1563. [Google Scholar] [CrossRef]
- Ferrick, M.; Gatto, L.W. Quantifying the effect of a freeze–thaw cycle on soil erosion: Laboratory experiments. Earth Surf. Process Landf. J. Br. Geomorphol. Res. Group 2005, 30, 1305–1326. [Google Scholar] [CrossRef]
- Konrad, J.-M.; Seto, J. Frost heave characteristics of undisturbed sensitive Champlain Sea clay. Can. Geotech. J. 1994, 31, 285–298. [Google Scholar] [CrossRef]
- Lewis, J.; Sjöstrom, J. Optimizing the experimental design of soil columns in saturated and unsaturated transport experiments. J. Contam. Hydrol. 2010, 115, 1–13. [Google Scholar] [CrossRef] [PubMed]
- Land Administrative Bureau of Heilongjiang Province. Heilongjiang Soil; Agriculture Press: Beijing, China, 1992.
- Jiang, R.; Li, T.; Liu, D.; Fu, Q.; Hou, R.; Li, Q.; Cui, S.; Li, M. Soil infiltration characteristics and pore distribution under freezing–thawing conditions. Cryosphere 2021, 15, 2133–2146. [Google Scholar] [CrossRef]
- Coates, G.R.; Xiao, L.; Prammer, M.G. NMR Logging Principles and Applications; Haliburton Energy Services Publication: Houston, TX, USA, 1999. [Google Scholar]
- Tian, H.; Wei, C.; Wei, H.; Yan, R.; Chen, P. An NMR-based analysis of soil-water characteristics. Appl. Magn. Reson. 2014, 45, 49–61. [Google Scholar] [CrossRef]
- Godefroy, S.; Korb, J.-P.; Fleury, M.; Bryant, R. Surface nuclear magnetic relaxation and dynamics of water and oil in macroporous media. Phys. Rev. E 2001, 64, 021605. [Google Scholar] [CrossRef] [PubMed]
- Meyer, M.; Buchmann, C.; Schaumann, G. Determination of quantitative pore-size distribution of soils with 1H NMR relaxometry. Eur. J. Soil Sci. 2018, 69, 393–406. [Google Scholar] [CrossRef]
- Sleutel, S.; Cnudde, V.; Masschaele, B.; Vlassenbroek, J.; Dierick, M.; Van Hoorebeke, L.; Jacobs, P.; De Neve, S. Comparison of different nano-and micro-focus X-ray computed tomography set-ups for the visualization of the soil microstructure and soil organic matter. Comput. Geosci. 2008, 34, 931–938. [Google Scholar] [CrossRef]
- Nunan, N.; Ritz, K.; Rivers, M.; Feeney, D.S.; Young, I.M. Investigating microbial micro-habitat structure using X-ray computed tomography. Geoderma 2006, 133, 398–407. [Google Scholar] [CrossRef]
- Kleinberg, R. Pore size distributions, pore coupling, and transverse relaxation spectra of porous rocks. J. Magn. Reson. Imaging 1994, 12, 271–274. [Google Scholar] [CrossRef]
- Chen, X.; Li, L.; Li, X.; Kang, J.; Xiang, X.; Shi, H.; Ren, X.J.W. Effect of biochar on soil-water characteristics of soils: A pore-scale study. Water 2023, 15, 1909. [Google Scholar] [CrossRef]
- Rahmati, M.; Pohlmeier, A.; Abasiyan, S.M.A.; Weihermüller, L.; Vereecken, H. Water retention and pore size distribution of a biopolymeric-amended loam soil. Vadose Zone J. 2019, 18, 1–13. [Google Scholar] [CrossRef]
- Jaeger, F.; Grohmann, E.; Schaumann, G.E. 1 H NMR relaxometry in natural humous soil samples: Insights in microbial effects on relaxation time distributions. J. Plant Soil 2006, 280, 209–222. [Google Scholar] [CrossRef]
- Matteson, A.; Tomanic, J.; Herron, M.; Allen, D.; Kenyon, W. NMR relaxation of clay/brine mixtures. SPE Reserv. Eval. Eng. 2000, 3, 408–413. [Google Scholar] [CrossRef]
- Jaeger, F.; Bowe, S.; Van As, H.; Schaumann, G. Evaluation of 1H NMR relaxometry for the assessment of pore-size distribution in soil samples. Eur. J. Soil Sci. 2009, 60, 1052–1064. [Google Scholar] [CrossRef]
- Bryar, T.R.; Daughney, C.J.; Knight, R.J. Paramagnetic effects of iron (III) species on nuclear magnetic relaxation of fluid protons in porous media. J. Magn. Reson. 2000, 142, 74–85. [Google Scholar] [CrossRef] [PubMed]
- Bryar, T.R.; Knight, R.J. Sensitivity of nuclear magnetic resonance relaxation measurements to changing soil redox conditions. Geophys. Res. Lett. 2002, 29, 50-51–50-54. [Google Scholar] [CrossRef]
- Kenyon, W.; Day, P.; Straley, C.; Willemsen, J. A three-part study of NMR longitudinal relaxation properties of water-saturated sandstones. SPE Form. Eval. 1988, 3, 622–636. [Google Scholar] [CrossRef]
- Watanabe, K.; Kito, T.; Dun, S.; Wu, J.Q.; Greer, R.C.; Flury, M. Water infiltration into a frozen soil with simultaneous melting of the frozen layer. Vadose Zone J. 2013, 12, vzj2011.0188. [Google Scholar] [CrossRef]
- Watanabe, K.; Wake, T. Hydraulic conductivity in frozen unsaturated soil. In Proceedings of the 9th International Conference on Permafrost, Fairbanks, AK, USA, 29 June–3 July 2008; pp. 1927–1932. [Google Scholar]
- McCauley, C.A.; White, D.M.; Lilly, M.R.; Nyman, D.M. A comparison of hydraulic conductivities, permeabilities and infiltration rates in frozen and unfrozen soils. Cold Reg. Sci. Technol. 2002, 34, 117–125. [Google Scholar] [CrossRef]
- Benoit, G.R.; Voorhees, W.B. Effect of freeze–thaw activity on water retention, hydraulic conductivity, density, and surface strength of two soils frozen at high water content. In Proceedings of the International Conference on Frozen Soil Impact on Agricultural, Range, and Frost Lands, Washington, DC, USA, 21–22 March 1990; pp. 45–51. [Google Scholar]
- Yergeau, E.; Kowalchuk, G.A. Responses of Antarctic soil microbial communities and associated functions to temperature and freeze–thaw cycle frequency. Environ. Microbiol. 2008, 10, 2223–2235. [Google Scholar] [CrossRef]
- Ho, E.; Gough, W. Freeze thaw cycles in Toronto, Canada in a changing climate. Theor. Appl. Climatol. 2006, 83, 203–210. [Google Scholar] [CrossRef]
- Liu, B.; Fan, H.; Jiang, Y.; Ma, R. Linking pore structure characteristics to soil strength and their relationships with detachment rate of disturbed Mollisol by concentrated flow under freeze–thaw effects. J. Hydrol. 2023, 617, 129052. [Google Scholar] [CrossRef]
- Shen, J.; Wang, Q.; Chen, Y.; Han, Y.; Zhang, X.; Liu, Y. Evolution process of the microstructure of saline soil with different compaction degrees during freeze-thaw cycles. Eng. Geol. 2022, 304, 106699. [Google Scholar] [CrossRef]
- Zhao, Y.-D.; Hu, X. How Do Freeze–Thaw Cycles Affect the Soil Pore Structure in Alpine Meadows Considering Soil Aggregate and Soil Column Scales? J. Soil Sci. Plant Nutr. 2022, 22, 4207–4216. [Google Scholar] [CrossRef]
- Park, S.-E.; Bartsch, A.; Sabel, D.; Wagner, W.; Naeimi, V.; Yamaguchi, Y. Monitoring freeze/thaw cycles using ENVISAT ASAR Global Mode. Remote Sens. Environ. 2011, 115, 3457–3467. [Google Scholar] [CrossRef]
- Lehrsch, G.A. Freeze-thaw cycles increase near-surface aggregate stability. Soil Sci. 1998, 163, 63–70. [Google Scholar] [CrossRef]
- Liu, B.; Ma, R.; Fan, H. Evaluation of the impact of freeze-thaw cycles on pore structure characteristics of black soil using X-ray computed tomography. Soil Tillage Res. 2021, 206, 104810. [Google Scholar] [CrossRef]
- Formanek, G.E.; McCool, D.K.; Papendick, R.I. Freeze-thaw and consolidation effects on strength of a wet silt loam. Trans. ASAE 1984, 27, 1749–1752. [Google Scholar] [CrossRef]
- Munkholm, L.J.; Schjønning, P.; Kay, B.D. Tensile strength of soil cores in relation to aggregate strength, soil fragmentation and pore characteristics. Soil Tillage Res. 2002, 64, 125–135. [Google Scholar] [CrossRef]
- Dagesse, D.F. Effect of the Freeze/Thaw Process on the Structural Stability of Soil Aggregates. Ph.D. Thesis, University of Guelph, Guelph, ON, Canada, 2006. [Google Scholar]
- Brun, M.; Lallemand, A.; Quinson, J.-F.; Eyraud, C. A new method for the simultaneous determination of the size and shape of pores: The thermoporometry. Thermochim. Acta 1977, 21, 59–88. [Google Scholar] [CrossRef]
- Hamilton, J. Behavior of expansive soils in western Canada. In Proceedings of the Expansive Soils, Denver, CO, USA, 16 June 1980; pp. 815–833. [Google Scholar]
- Othman, M.A.; Benson, C.H. Effect of freeze–thaw on the hydraulic conductivity and morphology of compacted clay. J. Can. Geotech. J. 1993, 30, 236–246. [Google Scholar] [CrossRef]
- Hamilton, A.J.C.G.J. Freezing shrinkage in compacted clays. Can. Geotech. J. 1966, 3, 1–17. [Google Scholar] [CrossRef]
- Li, G.-y.; Ma, W.; Mu, Y.-h.; Wang, F.; Fan, S.-z.; Wu, Y.-h. Effects of freeze-thaw cycle on engineering properties of loess used as road fills in seasonally frozen ground regions, North China. J. Mt. Sci. 2017, 14, 356–368. [Google Scholar] [CrossRef]
- Lu, J.; Zhang, M.; Zhang, X.; Pei, W.; Bi, J. Experimental study on the freezing–thawing deformation of a silty clay. Cold Reg. Sci. Technol. 2018, 151, 19–27. [Google Scholar] [CrossRef]










| Soil Type | Cropland Area/hm2 | Typical Profile Location | Coordinate |
|---|---|---|---|
| Black soil | 1.77 × 105 | Xiangfang District, Harbin | 126.73° E, 45.75° N |
| Meadow soil | 1.10 × 105 | Xingan township, Zhaoyuan County | 125.08° E, 45.52° N |
| Chernozem | 2.22 × 105 | Fengle township, Zhaozhou County | 125.42° E, 45.78° N |
| Soil Types | Bulk Density g/cm3 | Organic Content g/kg | Electrical Conductivity s/m | Particle Size/% | Soil Texture | ||
|---|---|---|---|---|---|---|---|
| Sand/mm (2~0.05) | Silt/mm (0.05~0.002) | Clay/mm (<0.002) | |||||
| Black soil | 1.65 | 28.32 | 0.02 | 12.64 | 70.82 | 16.54 | Silt loam |
| Meadow soil | 1.53 | 16.51 | 0.01 | 9.52 | 73.00 | 17.48 | |
| Chernozem | 1.55 | 26.52 | 0.01 | 38.99 | 50.30 | 10.71 | |
Disclaimer/Publisher’s Note: The statements, opinions and data contained in all publications are solely those of the individual author(s) and contributor(s) and not of MDPI and/or the editor(s). MDPI and/or the editor(s) disclaim responsibility for any injury to people or property resulting from any ideas, methods, instructions or products referred to in the content. |
© 2024 by the authors. Licensee MDPI, Basel, Switzerland. This article is an open access article distributed under the terms and conditions of the Creative Commons Attribution (CC BY) license (https://creativecommons.org/licenses/by/4.0/).
Share and Cite
Jiang, R.; Bai, X.; Wang, X.; Hou, R.; Liu, X.; Yang, H. Effects of Freeze–Thaw Cycles and the Prefreezing Water Content on the Soil Pore Size Distribution. Water 2024, 16, 2040. https://doi.org/10.3390/w16142040
Jiang R, Bai X, Wang X, Hou R, Liu X, Yang H. Effects of Freeze–Thaw Cycles and the Prefreezing Water Content on the Soil Pore Size Distribution. Water. 2024; 16(14):2040. https://doi.org/10.3390/w16142040
Chicago/Turabian StyleJiang, Ruiqi, Xuefeng Bai, Xianghao Wang, Renjie Hou, Xingchao Liu, and Hanbo Yang. 2024. "Effects of Freeze–Thaw Cycles and the Prefreezing Water Content on the Soil Pore Size Distribution" Water 16, no. 14: 2040. https://doi.org/10.3390/w16142040
APA StyleJiang, R., Bai, X., Wang, X., Hou, R., Liu, X., & Yang, H. (2024). Effects of Freeze–Thaw Cycles and the Prefreezing Water Content on the Soil Pore Size Distribution. Water, 16(14), 2040. https://doi.org/10.3390/w16142040

