Sustainable Banana-Waste-Derived Biosorbent for Congo Red Removal from Aqueous Solutions: Kinetics, Equilibrium, and Breakthrough Studies
Abstract
1. Introduction
2. Materials and Methods
2.1. Materials
2.2. Instrument Analysis
2.3. Determination of the pH of the Zero Charge Point (pHZC)
2.4. Adsorption Studies
3. Results and Discussions
3.1. Characterizations
3.1.1. FTIR Analysis
3.1.2. SEM Analysis
3.1.3. XRD Analysis
3.1.4. Thermogravimetric Analysis
3.1.5. BET Analysis
3.1.6. pH of the Zero Charge Point (pHZC)
3.1.7. Post-Adsorption Characterization
3.2. Adsorption Studies
3.2.1. Effect of Adsorbent Type on CR Uptake
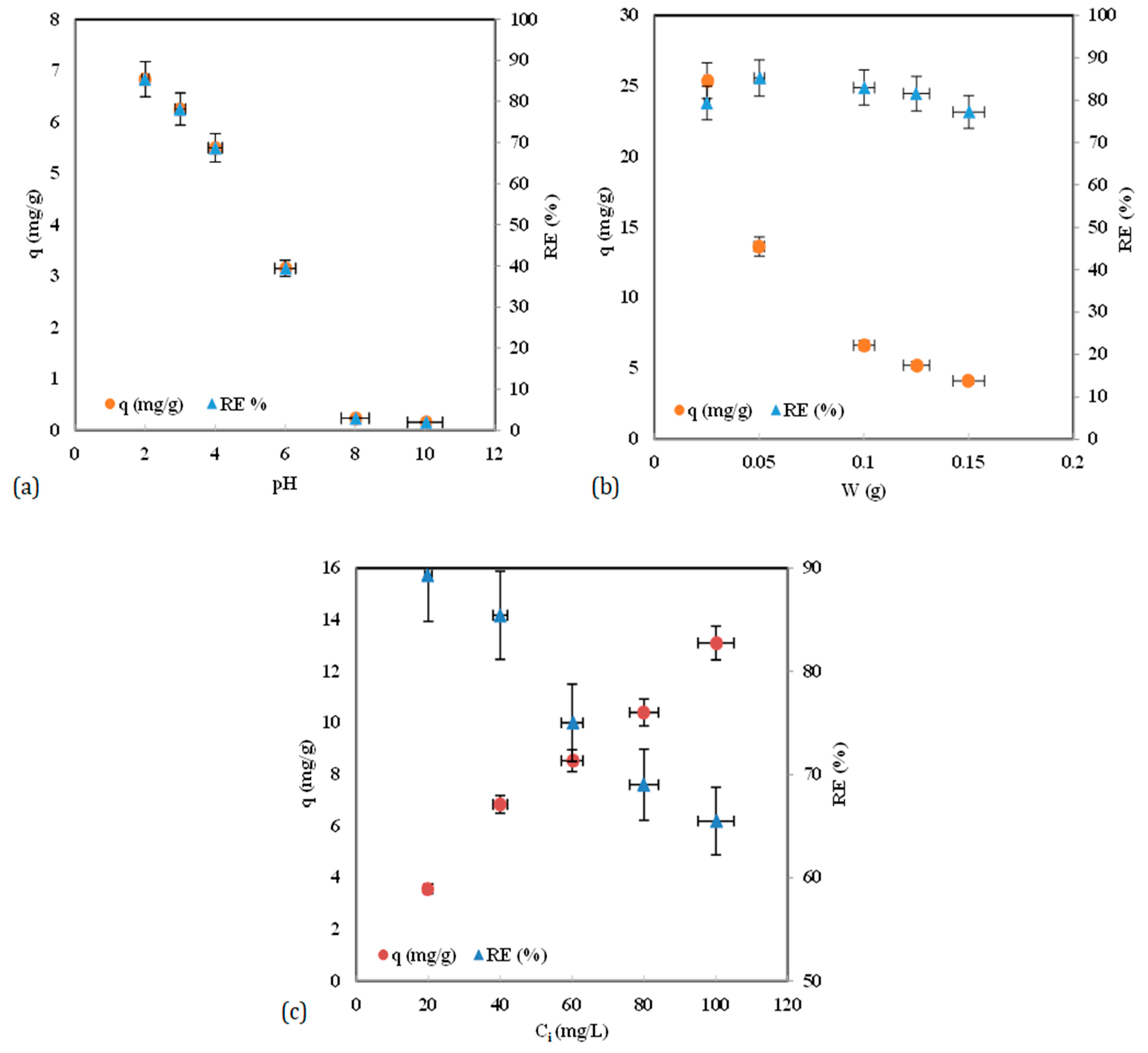
3.2.2. Influence of pH
3.2.3. Influence of Adsorbent Dose
3.2.4. Influence of Initial Concentration
3.2.5. Adsorption Kinetics
3.2.6. Adsorption Isotherms
3.2.7. Comparative Study of BPBC with Other Adsorbents
3.2.8. Effect of Salt on Dye Adsorption
3.2.9. Recycling Test
3.2.10. Column Study
4. Conclusions
Supplementary Materials
Author Contributions
Funding
Data Availability Statement
Conflicts of Interest
References
- Li, Y.; Gupta, R.; You, S. Machine learning assisted prediction of biochar yield and composition via pyrolysis of biomass. Bioresour. Technol. 2022, 359, 127511. [Google Scholar] [CrossRef]
- Yrjälä, K.; Ramakrishnan, M.; Salo, E. Agricultural waste streams as resource in circular economy for biochar production towards carbon neutrality. Curr. Opin. Environ. Sci. Health 2022, 26, 100339. [Google Scholar] [CrossRef]
- Rubangakene, N.O.; Elwardany, A.; Fujii, M.; Sekiguchi, H.; Elkady, M.; Shokry, H. Biosorption of Congo Red dye from aqueous solutions using pristine biochar and ZnO biochar from green pea peels. Chem. Eng. Res. Des. 2023, 189, 636–651. [Google Scholar] [CrossRef]
- Faiad, A.; Alsmari, M.; Ahmed, M.M.Z.; Bouazizi, M.L.; Alzahrani, B.; Alrobei, H. Date palm tree waste recycling: Treatment and processing for potential engineering applications. Sustainability 2022, 14, 1134. [Google Scholar] [CrossRef]
- Santhosh, C.; Daneshvar, E.; Tripathi, K.M.; Baltrėnas, P.; Kim, T.; Baltrėnaitė, E.; Bhatnagar, A. Synthesis and characterization of magnetic biochar adsorbents for the removal of Cr(VI) and Acid orange 7 dye from aqueous solution. Environ. Sci. Pollut. Res. 2020, 27, 32874–32887. [Google Scholar] [CrossRef]
- Ramutshatsha-Makhwedzha, D.; Mavhungu, A.; Moropeng, M.L.; Mbaya, R. Activated carbon derived from waste orange and lemon peels for the adsorption of methyl orange and methylene blue dyes from wastewater. Heliyon 2022, 8, e09930. [Google Scholar] [CrossRef]
- Adane, T.; Adugna, A.T.; Alemayehu, E. Textile industry effluent treatment techniques. J. Chem. 2021, 2021, 5314404. [Google Scholar] [CrossRef]
- Hanafi, M.F.; Sapawe, N. A review on the water problem associate with organic pollutants derived from phenol, methyl orange, and remazol brilliant blue dyes. Mater. Today Proc. 2020, 31, A141–A150. [Google Scholar] [CrossRef]
- Subramaniyan, M.; Gnanamoorthy, G.; Shreedevi, S. A new classification of CaSnO3/rGO/Ag nanocubes with enhanced for photocatalytic and antibacterial activities. Res. Chem. Intermed. 2023, 49, 5045–5060. [Google Scholar] [CrossRef]
- Subramaniyan, M.; Gnanamoorthy, G.; Shreedevi, S. Rational design of Mg2Sn2O4/rGO/Ag nanocomposites with enhanced photocatalytic and antibacterial activities. Opt. Mater. 2023, 138, 113695. [Google Scholar] [CrossRef]
- Samsami, S.; Mohamadizaniani, M.; Sarrafzadeh, M.-H.; Rene, E.R.; Firoozbahr, M. Recent advances in the treatment of dye-containing wastewater from textile industries: Overview and perspectives. Process Saf. Environ. Prot. 2020, 143, 138–163. [Google Scholar] [CrossRef]
- Rashid, R.; Shafiq, I.; Akhter, P.; Iqbal, M.J.; Hussain, M. A state-of-the-art review on wastewater treatment techniques: The effectiveness of adsorption method. Environ. Sci. Pollut. Res. 2021, 28, 9050–9066. [Google Scholar] [CrossRef] [PubMed]
- Sirajudheen, P.; Poovathumkuzhi, N.C.; Vigneshwaran, S.; Chelaveettil, B.M.; Meenakshi, S. Applications of chitin and chitosan based biomaterials for the adsorptive removal of textile dyes from water—A comprehensive review. Carbohydr. Polym. 2021, 273, 118604. [Google Scholar] [CrossRef] [PubMed]
- Le, P.T.; Bui, H.T.; Le, D.N.; Pham, L.A.; Nguyen, H.N.; Nguyen, Q.S.; Nguyen, T.P.; Bich, N.T.; Duong, T.T.; Herrmann, M.; et al. Preparation and characterization of biochar derived from agricultural by-products for dye removal. Adsorpt. Sci. Technol. 2021, 2021, 9161904. [Google Scholar] [CrossRef]
- Srivatsav, P.; Bhargav, B.S.; Shanmugasundaram, V.; Arun, J.; Gopinath, K.P.; Bhatnagar, A. Biochar as an eco-friendly and economical adsorbent for the removal of colorants (dyes) from aqueous environment: A review. Water 2020, 12, 3561. [Google Scholar] [CrossRef]
- Mishra, S.; Cheng, L.; Maiti, A. The utilization of agro-biomass/byproducts for effective bio-removal of dyes from dyeing wastewater: A comprehensive review. J. Environ. Chem. Eng. 2021, 9, 104901. [Google Scholar] [CrossRef]
- Manzoor, K.; Batool, M.; Naz, F.; Nazar, M.F.; Hameed, B.H.; Zafar, M.N. A comprehensive review on application of plant-based bioadsorbents for Congo red removal. Biomass Convers. Biorefinery 2022, 14, 4511–4537. [Google Scholar] [CrossRef]
- Kaya, N.; Uzun, Z.Y.; Altuncan, C.; Uzun, H. Adsorption of Congo red from aqueous solution onto KOH-activated biochar produced via pyrolysis of pine cone and modeling of the process using artificial neural network. Biomass Convers. Biorefinery 2022, 12, 5293–5315. [Google Scholar] [CrossRef]
- Jitjamnong, J.; Thunyaratchatanon, C.; Luengnaruemitchai, A.; Kongrit, N.; Kasetsomboon, N.; Sopajarn, A.; Chuaykarn, N.; Khantikulanon, N. Response surface optimization of biodiesel synthesis over a novel biochar-based heterogeneous catalyst from cultivated (Musa sapientum) banana peels. Biomass Convers. Biorefinery 2021, 11, 2795–2811. [Google Scholar] [CrossRef]
- Amin, M.T.; Alazba, A.A.; Shafiq, M. Removal of copper and lead using banana biochar in batch adsorption systems: Isotherms and kinetic studies. Arab. J. Sci. Eng. 2018, 43, 5711–5722. [Google Scholar] [CrossRef]
- Da’na, E.; Taha, A.; Afkar, E. Green Synthesis of Iron Nanoparticles by Acacia nilotica Pods Extract and Its Catalytic, Adsorption, and Antibacterial Activities. Appl. Sci. 2018, 8, 1922. [Google Scholar] [CrossRef]
- Luo, X.; Deng, Z.; Lin, X.; Zhang, C. Fixed-bed column study for Cu2+ removal from solution using expanding rice husk. J. Hazard. Mater. 2011, 187, 182–189. [Google Scholar] [CrossRef] [PubMed]
- Zhang, W.; Thompson, K.E.; Reed, A.H.; Beenken, L. Relationship between packing structure and porosity in fixed beds of equilateral cylindrical particles. Chem. Eng. Sci. 2006, 61, 8060–8074. [Google Scholar] [CrossRef]
- Urgel, J.J.; Briones, J.M.; Diaz Jr, E.B.; Dimaculangan, K.M.; Rangel, K.L.; Lopez, E.C. Removal of diesel oil from water using biochar derived from waste banana peels as adsorbent. Carbon Res. 2024, 3, 13. [Google Scholar] [CrossRef]
- Kamsonlian, S.; Suresh, S.; Majumder, C.B.; Chand, S. Characterization of banana and orange peels: Biosorption mechanism. Int. J. Sci. Technol. Manag. 2011, 2, 1–7. [Google Scholar]
- Park, J.-H.; Wang, J.J.; Meng, Y.; Wei, Z.; DeLaune, R.D.; Seo, D.-C. Adsorption/desorption behavior of cationic and anionic dyes by biochars prepared at normal and high pyrolysis temperatures. Colloids Surf. A Physicochem. Eng. Asp. 2019, 572, 274–282. [Google Scholar] [CrossRef]
- Sheng, Z.; Shen, Y.; Dai, H.; Pan, S.; Ai, B.; Zheng, L.; Zheng, X.; Xu, Z. Physicochemical characterization of raw and modified banana pseudostem fibers and their adsorption capacities for heavy metal Pb2+ and Cd2+ in water. Polym. Compos. 2018, 39, 1869–1877. [Google Scholar] [CrossRef]
- Ali, A.; Saeed, K.; Mabood, F. Removal of chromium (VI) from aqueous medium using chemically modified banana peels as efficient low-cost adsorbent. Alex. Eng. J. 2016, 55, 2933–2942. [Google Scholar] [CrossRef]
- Lam, S.S.; Liew, R.K.; Cheng, C.K.; Rasit, N.; Ooi, C.K.; Ma, N.L.; Ng, J.-H.; Lam, W.H.; Chong, C.T.; Chase, H.A. Pyrolysis production of fruit peel biochar for potential use in treatment of palm oil mill effluent. J. Environ. Manag. 2018, 213, 400–408. [Google Scholar] [CrossRef]
- Balavairavan, B.; Saravanakumar, S.S. Characterization of ecofriendly poly (vinyl alcohol) and green banana peel filler (GBPF) reinforced bio-films. J. Polym. Environ. 2021, 29, 2756–2771. [Google Scholar] [CrossRef]
- Serna-Jiménez, J.A.; Luna-Lama, F.; Caballero, Á.; de los Ángeles Martín, M.; Chica, A.F.; Siles, J.Á. Valorisation of banana peel waste as a precursor material for different renewable energy systems. Biomass Bioenergy 2021, 155, 106279. [Google Scholar] [CrossRef]
- Liu, Z.; Yang, S.; Zhang, L.; Zeng, J.; Tian, S.; Lin, Y. The removal of Pb2+ from aqueous solution by using navel orange peel biochar supported graphene oxide: Characteristics, response surface methodology, and mechanism. Int. J. Environ. Res. Public Health 2022, 19, 4790. [Google Scholar] [CrossRef]
- Sima, X.-F.; Shen, X.-C.; Fang, T.; Yu, H.-Q.; Jiang, H. Efficiently reducing the plant growth inhibition of CuO NPs using rice husk-derived biochar: Experimental demonstration and mechanism investigation. Environ. Sci. Nano 2017, 4, 1722–1732. [Google Scholar] [CrossRef]
- Giannakopoulos, S.; Vakros, J.; Frontistis, Z.; Manariotis, I.D.; Venieri, D.; Poulopoulos, S.G.; Mantzavinos, D. Biochar from lemon stalks: A highly active and selective carbocatalyst for the oxidation of sulfamethoxazole with persulfate. Catalysts 2023, 13, 233. [Google Scholar] [CrossRef]
- Liu, P.; Liu, W.-J.; Jiang, H.; Chen, J.-J.; Li, W.-W.; Yu, H.-Q. Modification of bio-char derived from fast pyrolysis of biomass and its application in removal of tetracycline from aqueous solution. Bioresour. Technol. 2012, 121, 235–240. [Google Scholar] [CrossRef]
- Fasakin, O.; Dangbegnon, J.K.; Momodu, D.Y.; Madito, M.J.; Oyedotun, K.O.; Eleruja, M.A.; Manyala, N. Synthesis and characterization of porous carbon derived from activated banana peels with hierarchical porosity for improved electrochemical performance. Electrochim. Acta 2018, 262, 187–196. [Google Scholar] [CrossRef]
- Keiluweit, M.; Nico, P.S.; Johnson, M.G.; Kleber, M. Dynamic molecular structure of plant biomass-derived black carbon (biochar). Environ. Sci. Technol. 2010, 44, 1247–1253. [Google Scholar] [CrossRef]
- Sun, K.; Keiluweit, M.; Kleber, M.; Pan, Z.; Xing, B. Sorption of fluorinated herbicides to plant biomass-derived biochars as a function of molecular structure. Bioresour. Technol. 2011, 102, 9897–9903. [Google Scholar] [CrossRef]
- Teixidó, M.; Pignatello, J.J.; Beltrán, J.L.; Granados, M.; Peccia, J. Speciation of the ionizable antibiotic sulfamethazine on black carbon (biochar). Environ. Sci. Technol. 2011, 45, 10020–10027. [Google Scholar] [CrossRef]
- Zhang, Z.; Moghaddam, L.; O’hara, I.M.; Doherty, W.O. Congo Red adsorption by ball-milled sugarcane bagasse. Chem. Eng. J. 2011, 178, 122–128. [Google Scholar] [CrossRef]
- Vijayakumar, G.; Dharmendirakumar, M.; Renganathan, S.; Sivanesan, S.; Baskar, G.; Elango, K.P. Removal of Congo Red from Aqueous Solutions by Perlite. Clean Soil Air Water 2009, 37, 355–364. [Google Scholar] [CrossRef]
- Popoola, T.J.; Okoronkwo, A.E.; Oluwasina, O.O.; Adebayo, M.A. Preparation, characterization, and application of a homemade graphene for the removal of Congo red from aqueous solutions. Environ. Sci. Pollut. Res. 2021, 28, 52174–52187. [Google Scholar] [CrossRef]
- Jain, S.N.; Tamboli, S.R.; Sutar, D.S.; Jadhav, S.R.; Marathe, J.V.; Shaikh, A.A.; Prajapati, A.A. Batch and continuous studies for adsorption of anionic dye onto waste tea residue: Kinetic, equilibrium, breakthrough and reusability studies. J. Clean. Prod. 2020, 252, 119778. [Google Scholar] [CrossRef]
- Zhou, L.; Zhou, H.; Hu, Y.; Yan, S.; Yang, J. Adsorption removal of cationic dyes from aqueous solutions using ceramic adsorbents prepared from industrial waste coal gangue. J. Environ. Manag. 2019, 234, 245–252. [Google Scholar] [CrossRef]
- Jain, S.N.; Gogate, P.R. Efficient removal of Acid Green 25 dye from wastewater using activated Prunus Dulcis as biosorbent: Batch and column studies. J. Environ. Manag. 2018, 210, 226–238. [Google Scholar] [CrossRef]
- Zhang, L.; Tu, L.-Y.; Liang, Y.; Chen, Q.; Li, Z.-S.; Li, C.-H.; Wang, Z.-H.; Li, W. Coconut-based activated carbon fibers for efficient adsorption of various organic dyes. RSC Adv. 2018, 8, 42280–42291. [Google Scholar] [CrossRef]
- Bensalah, H.; Younssi, S.A.; Ouammou, M.; Gurlo, A.; Bekheet, M.F. Azo dye adsorption on an industrial waste-transformed hydroxyapatite adsorbent: Kinetics, isotherms, mechanism and regeneration studies. J. Environ. Chem. Eng. 2020, 8, 103807. [Google Scholar] [CrossRef]
- Saadi, R.; Saadi, Z.; Fazaeli, R.; Fard, N.E. Monolayer and multilayer adsorption isotherm models for sorption from aqueous media. Korean J. Chem. Eng. 2015, 32, 787–799. [Google Scholar] [CrossRef]
- Balarak, D.; Mostafapour, F.; Azarpira, H.; Joghataei, A. Langmuir, Freundlich, Temkin and Dubinin–radushkevich isotherms studies of equilibrium sorption of ampicilin unto montmorillonite nanoparticles. J. Pharm. Res. Int. 2017, 20, 1–9. [Google Scholar] [CrossRef]
- Dada, A.O.; Olalekan, A.P.; Olatunya, A.M.; Dada, O.J. Langmuir, Freundlich, Temkin and Dubinin–Radushkevich isotherms studies of equilibrium sorption of Zn2+ unto phosphoric acid modified rice husk. IOSR J. Appl. Chem. 2012, 3, 38–45. [Google Scholar]
- Tor, A.; Cengeloglu, Y. Removal of Congo red from aqueous solution by adsorption onto acid activated red mud. J. Hazard. Mater. 2006, 138, 409–415. [Google Scholar] [CrossRef]
- Namasivayam, C.; Kavitha, D. Removal of Congo Red from water by adsorption onto activated carbon prepared from coir pith, an agricultural solid waste. Dye. Pigment. 2002, 54, 47–58. [Google Scholar] [CrossRef]
- Kumar, P.S.; Ramalingam, S.; Senthamarai, C.; Niranjanaa, M.; Vijayalakshmi, P.; Sivanesan, S. Adsorption of dye from aqueous solution by cashew nut shell: Studies on equilibrium isotherm, kinetics and thermodynamics of interactions. Desalination 2010, 261, 52–60. [Google Scholar] [CrossRef]
- Kaur, R.; Kaur, H. Calotropis procera an effective adsorbent for removal of Congo red dye: Isotherm and kinetics modelling. Model. Earth Syst. Environ. 2017, 3, 9. [Google Scholar] [CrossRef]
- Farias, R.S.; Buarque, H.L.; Cruz, M.R.; Cardoso, L.M.; Gondim, T.D.; Paulo, V.R. Adsorption of Congo red dye from aqueous solution onto amino-functionalized silica gel. Eng. Sanitária E Ambient. 2018, 23, 1053–1060. [Google Scholar] [CrossRef]
- Foroughi-Dahr, M.; Abolghasemi, H.; Esmaili, M.; Shojamoradi, A.; Fatoorehchi, H. Adsorption characteristics of Congo red from aqueous solution onto tea waste. Chem. Eng. Commun. 2015, 202, 181–193. [Google Scholar] [CrossRef]
- Mandal, S.; Calderon, J.; Marpu, S.B.; Omary, M.A.; Shi, S.Q. Mesoporous activated carbon as a green adsorbent for the removal of heavy metals and Congo red: Characterization, adsorption kinetics, and isotherm studies. J. Contam. Hydrol. 2021, 243, 103869. [Google Scholar] [CrossRef]
- Vimonses, V.; Lei, S.; Jin, B.; Chow, C.W.; Saint, C. Kinetic study and equilibrium isotherm analysis of Congo Red adsorption by clay materials. Chem. Eng. J. 2009, 148, 354–364. [Google Scholar] [CrossRef]
- Wekoye, J.N.; Wanyonyi, W.C.; Wangila, P.T.; Tonui, M.K. Kinetic and equilibrium studies of Congo red dye adsorption on cabbage waste powder. Environ. Chem. Ecotoxicol. 2020, 2, 24–31. [Google Scholar] [CrossRef]
- Munagapati, V.S.; Yarramuthi, V.; Kim, Y.; Lee, K.M.; Kim, D.-S. Removal of anionic dyes (Reactive Black 5 and Congo Red) from aqueous solutions using Banana Peel Powder as an adsorbent. Ecotoxicol. Environ. Saf. 2018, 148, 601–607. [Google Scholar] [CrossRef]
- Mondal, N.K.; Kar, S. Potentiality of banana peel for removal of Congo red dye from aqueous solution: Isotherm, kinetics and thermodynamics studies. Appl. Water Sci. 2018, 8, 157. [Google Scholar] [CrossRef]
- Hu, Y.; Guo, T.; Ye, X.; Li, Q.; Guo, M.; Liu, H.; Wu, Z. Dye adsorption by resins: Effect of ionic strength on hydrophobic and electrostatic interactions. Chem. Eng. J. 2013, 228, 392–397. [Google Scholar] [CrossRef]
- Alberghina, G.; Bianchini, R.; Fichera, M.; Fisichella, S. Dimerization of Cibacron Blue F3GA and other dyes: Influence of salts and temperature. Dye. Pigment. 2000, 46, 129–137. [Google Scholar] [CrossRef]
- Wang, S.; Qiao, N.; Yu, J.; Huang, X.; Hu, M.; Ma, H. Effect of ionic strength on the adsorption behavior of phenol over modified activated clay. Desalination Water Treat. 2016, 57, 4174–4182. [Google Scholar] [CrossRef]












| Wavenumber Range (cm−1) | Wavenumber (cm−1) | Details |
|---|---|---|
| 3200–3600 | 3280 | O–H bond from lignocellulose [24] |
| 2850–3000 | 2851, 2911 | C–H stretching vibration from hemicellulose [24] |
| 1400–1600 | 1591 | C=C aromatic-ring vibrations from lignin [24] |
| 1210–1320 | 1261 | C–O stretching from carboxylic acids of hemicellulose [27] |
| 300–1100 | 801, 1025 | O-H bending [25], C–O stretching [27] |
| Kinetic Models | Pseudo-First-Order | Pseudo-Second-Order | ||||
|---|---|---|---|---|---|---|
| Parameters | qe,cal (mg/g) | k1 (min−1) | R2 | qe,cal (mg/g) | k2 (g/mg·min) | R2 |
| qe,exp (3.16) | 3.69 | 0.0265 | 0.9456 | 4.04 | 0.006 | 0.8585 |
| T (°C) | Langmuir Isotherm | Freundlich Isotherm | Radushkevich (D-R) Isotherm | |||||||
|---|---|---|---|---|---|---|---|---|---|---|
| 25 | b (L/mg) | Qmax (mg/g) | R2 | 1/n | KF (mg/g (L/mg) 1/n) | R2 | qm (mg/g) | (mol2 /kJ2) | E (kJ/mol) | R2 |
| 0.016 | 35.46 | 0.807 | 0.821 | 1.312 | 0.984 | 9.83 | 5 × 10−6 | 0.316 | 0.805 | |
| Adsorbents | Qmax (mg/g) | References |
|---|---|---|
| Acid-activated red mud | 7.08 | [51] |
| Coir-pith-activated carbon | 6.70 | [52] |
| Cashew nut shell | 5.184 | [53] |
| Calotropis procera leaf | 25.8 | [54] |
| Commercial silica gel (CSG) | 66.5 | [55] |
| Tea waste | 43 | [56] |
| Kenaf | 14.2 | [57] |
| NaBentoniteKaolinZeolite | 35.84 5.44 3.77 | [58] |
| Cabbage waste powder | 2.313 | [59] |
| Banana-peel powder | 164.60 | [60] |
| Banana peel | 1.72 | [61] |
| BPBC | 35.46 | This study |
| Normal | NaCl | Na3PO4 | |
|---|---|---|---|
| Adsorption capacity (mg/g) | 3.572 | 1.868 | 1.076 |
Disclaimer/Publisher’s Note: The statements, opinions and data contained in all publications are solely those of the individual author(s) and contributor(s) and not of MDPI and/or the editor(s). MDPI and/or the editor(s) disclaim responsibility for any injury to people or property resulting from any ideas, methods, instructions or products referred to in the content. |
© 2024 by the authors. Licensee MDPI, Basel, Switzerland. This article is an open access article distributed under the terms and conditions of the Creative Commons Attribution (CC BY) license (https://creativecommons.org/licenses/by/4.0/).
Share and Cite
Daffalla, S.; Taha, A.; Da’na, E.; El-Aassar, M.R. Sustainable Banana-Waste-Derived Biosorbent for Congo Red Removal from Aqueous Solutions: Kinetics, Equilibrium, and Breakthrough Studies. Water 2024, 16, 1449. https://doi.org/10.3390/w16101449
Daffalla S, Taha A, Da’na E, El-Aassar MR. Sustainable Banana-Waste-Derived Biosorbent for Congo Red Removal from Aqueous Solutions: Kinetics, Equilibrium, and Breakthrough Studies. Water. 2024; 16(10):1449. https://doi.org/10.3390/w16101449
Chicago/Turabian StyleDaffalla, Samah, Amel Taha, Enshirah Da’na, and Mohamed R. El-Aassar. 2024. "Sustainable Banana-Waste-Derived Biosorbent for Congo Red Removal from Aqueous Solutions: Kinetics, Equilibrium, and Breakthrough Studies" Water 16, no. 10: 1449. https://doi.org/10.3390/w16101449
APA StyleDaffalla, S., Taha, A., Da’na, E., & El-Aassar, M. R. (2024). Sustainable Banana-Waste-Derived Biosorbent for Congo Red Removal from Aqueous Solutions: Kinetics, Equilibrium, and Breakthrough Studies. Water, 16(10), 1449. https://doi.org/10.3390/w16101449

