Influence of the Oxic-Settling-Anaerobic (OSA) Process on Methane Production by Anaerobic Digestion of Sewage Sludge
Abstract
1. Introduction
2. Materials and Methods
2.1. Plant Description
2.2. Experimental Campaign Set-Up
2.3. Analytical Methods
2.4. Biochemical Methane Potential (BMP) Assays
2.5. Modeling of Methane Production and Calculations
2.6. Economic Analysis
3. Results and Discussion
3.1. Efficiency of Excess Sludge Minimization and Insights on Mechanisms Involved
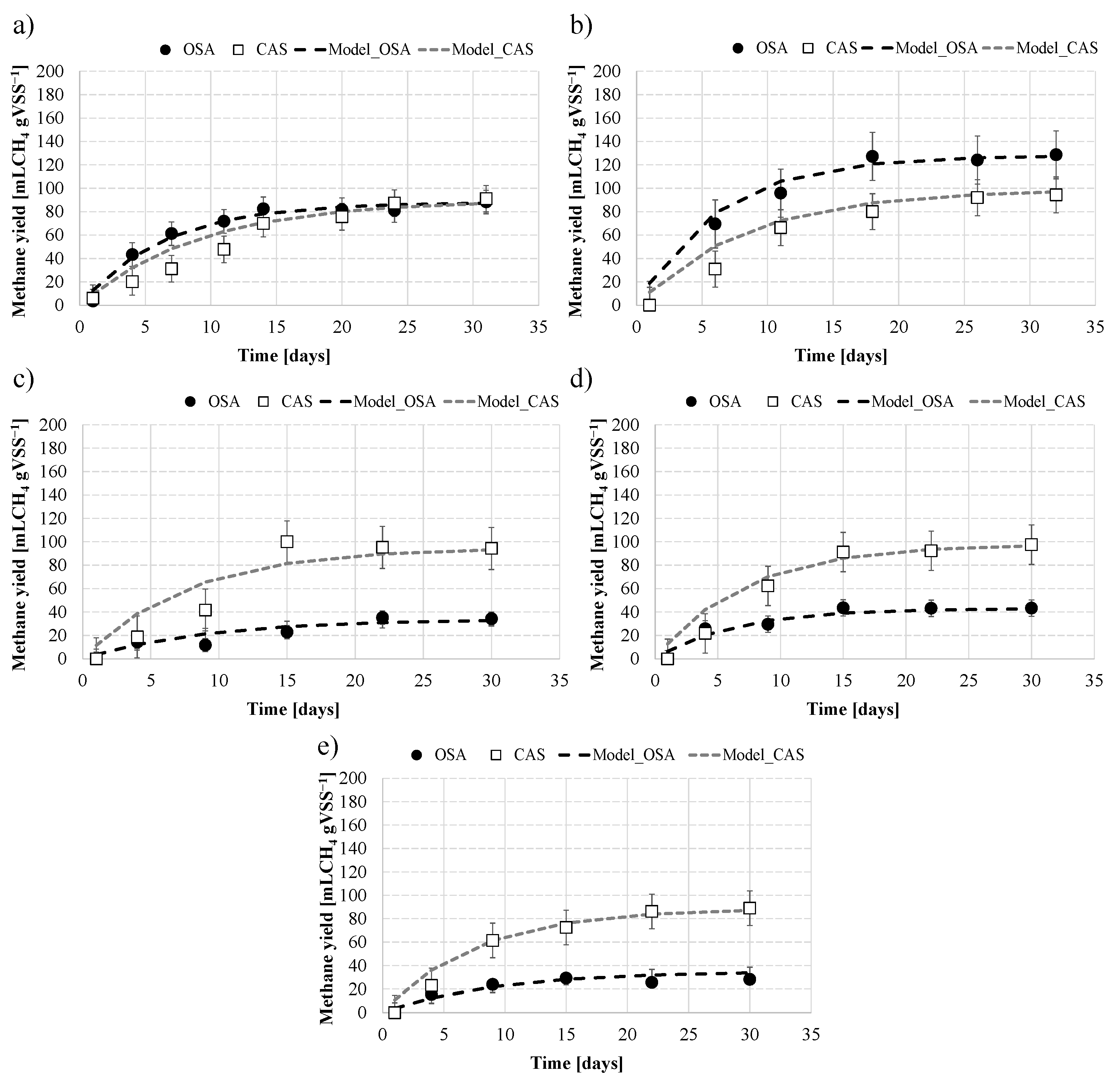
3.2. Methane Production Yield in Excess Sludge from OSA and CAS
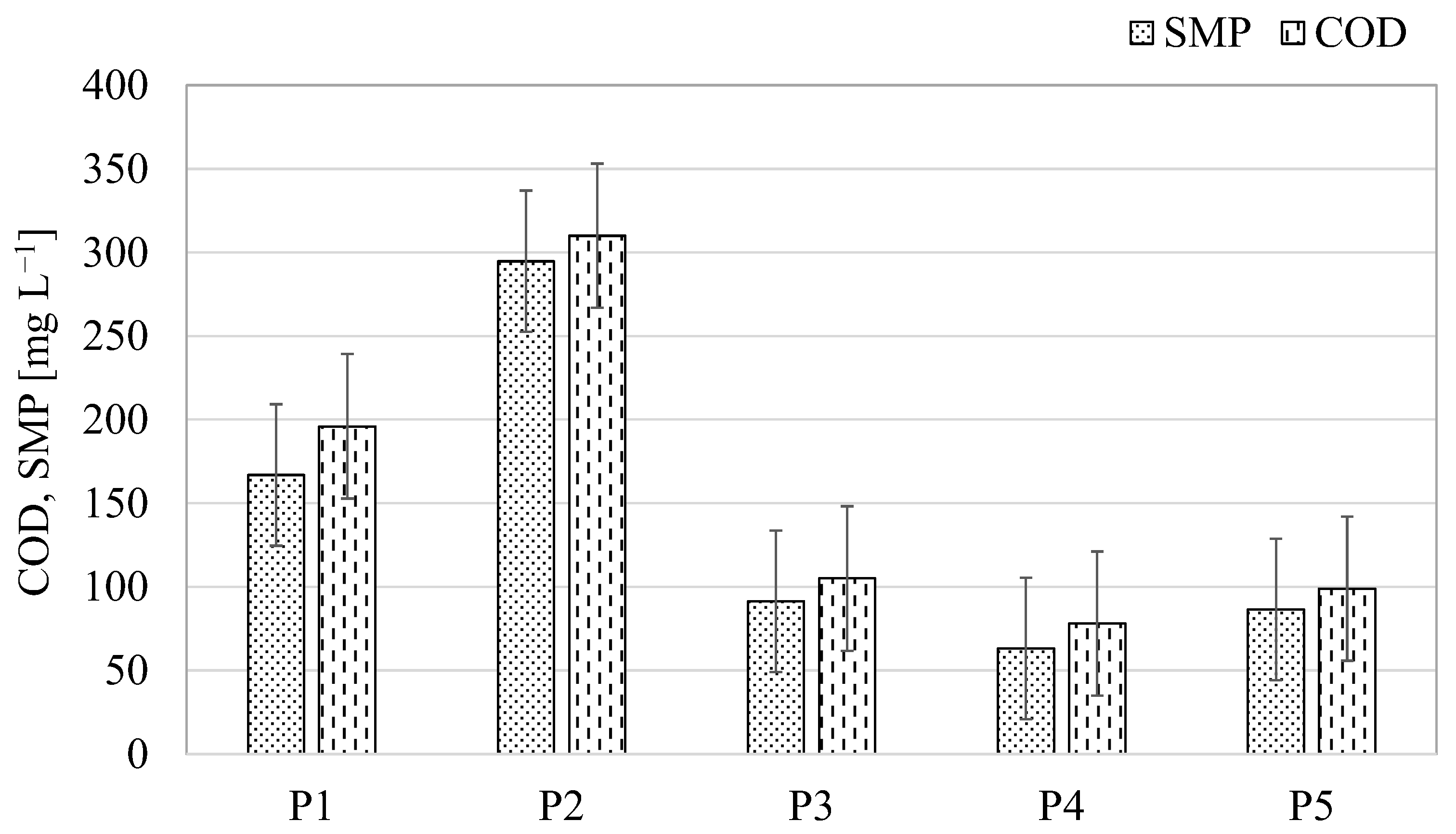
3.3. Insights of ASSR Operating Conditions on Methane Production
3.4. Economic Impact of OSA on Plant Operational Costs
4. Conclusions
Author Contributions
Funding
Data Availability Statement
Acknowledgments
Conflicts of Interest
References
- Foladori, P.; Andreottola, G.; Ziglio, G. Sludge Reduction Technologies in Wastewater Treatment Plants; IWA Publishing: London, UK, 2010; ISBN 9781843392781. [Google Scholar]
- Zhi, R.; Cao, K.; Zhang, G.; Zhu, J.; Xian, G. Zero excess sludge wastewater treatment with value-added substances recovery using photosynthetic bacteria. J. Clean. Prod. 2020, 250, 119581. [Google Scholar] [CrossRef]
- Arif, A.U.A.; Sorour, M.T.; Aly, S.A. Cost analysis of activated sludge and membrane bioreactor WWTPs using CapdetWorks simulation program: Case study of Tikrit WWTP (middle Iraq). Alex. Eng. J. 2020, 59, 4659–4667. [Google Scholar] [CrossRef]
- Collivignarelli, M.C.; Abbà, A.; Carnevale Miino, M.; Torretta, V. What Advanced Treatments Can Be Used to Minimize the Production of Sewage Sludge in WWTPs? Appl. Sci. 2019, 9, 2650. [Google Scholar] [CrossRef]
- Collivignarelli, M.C.; Abbà, A.; Frattarola, A.; Carnevale Miino, M.; Padovani, S.; Katsoyiannis, I.; Torretta, V. Legislation for the Reuse of Biosolids on Agricultural Land in Europe: Overview. Sustainability 2019, 11, 6015. [Google Scholar] [CrossRef]
- Tahmasebian, S.; Borghei, S.M.; Torkaman, M.; Goudarzi, H.H. Influence of ultrasonic cell disintegration on excess sludge reduction in a Moving Bed Biofilm Reactor (MBBR). J. Environ. Chem. Eng. 2019, 7, 102997. [Google Scholar] [CrossRef]
- Di Iaconi, C.; De Sanctis, M.; Altieri, G.V. Full-scale sludge reduction in the water line of municipal wastewater treatment plant. J. Environ. Manag. 2020, 269, 110714. [Google Scholar] [CrossRef] [PubMed]
- Corsino, S.F.; Capodici, M.; Di Trapani, D.; Torregrossa, M.; Viviani, G. Combination of the OSA process with thermal treatment at moderate temperature for excess sludge minimization. Bioresour. Technol. 2020, 300, 122679. [Google Scholar] [CrossRef] [PubMed]
- Semblante, G.U.; Hai, F.I.; Bustamante, H.; Guevara, N.; Price, W.E.; Nghiem, L.D. Biosolids reduction by the oxic-settling-anoxic process: Impact of sludge interchange rate. Bioresour. Technol. 2016, 210, 167–173. [Google Scholar] [CrossRef]
- Adams, K.J.; Stuart, B.; Kumar, S. Investigation of Anaerobic Digestion of the Aqueous Phase from Hydrothermal Carbonization of Mixed Municipal Solid Waste. Biomass 2021, 1, 61–73. [Google Scholar] [CrossRef]
- Wang, H.; Xu, J.; Liu, Y.; Sheng, L. Preparation of ceramsite from municipal sludge and its application in water treatment: A review. J. Environ. Manag. 2021, 287, 112374. [Google Scholar] [CrossRef]
- Ferrentino, R.; Langone, M.; Andreottola, G. Sludge reduction by an anaerobic side-stream reactor process: A full-scale application. Environ. Chall. 2021, 2, 100016. [Google Scholar] [CrossRef]
- Gong, L.; Yang, X.; Wang, Z.; Zhou, J.; You, X. Impact of hydrothermal pre-treatment on the anaerobic digestion of different solid–liquid ratio sludges and kinetic analysis. RSC Adv. 2019, 9, 19104–19113. [Google Scholar] [CrossRef] [PubMed]
- Di Capua, F.; Spasiano, D.; Giordano, A.; Adani, F.; Fratino, U.; Pirozzi, F.; Esposito, G. High-solid anaerobic digestion of sewage sludge: Challenges and opportunities. Appl. Energy 2020, 278, 115608. [Google Scholar] [CrossRef]
- Park, C.; Chon, D.-H.; Brennan, A.; Eom, H. Investigation of sludge reduction and biogas generation in high-rate anaerobic side-stream reactors for wastewater treatment. Environ. Sci. Water Res. Technol. 2018, 4, 1829–1838. [Google Scholar] [CrossRef]
- Corsino, S.F.; Carabillò, M.; Cosenza, A.; De Marines, F.; Di Trapani, D.; Traina, F.; Torregrossa, M.; Viviani, G. Insights on mechanisms of excess sludge minimization in an oxic-settling-anaerobic process under different operating conditions and plant configurations. Chemosphere 2022, 312, 137090. [Google Scholar] [CrossRef]
- APHA. Standard Methods for the Examination of Water and Wastewater; American Public Health Association: Washington, DC, USA, 2012; ISBN 978-0875532356. [Google Scholar]
- Le-Clech, P.; Chen, V.; Fane, T.A.G. Fouling in membrane bioreactors used in wastewater treatment. J. Membr. Sci. 2006, 284, 17–53. [Google Scholar] [CrossRef]
- Lowry, O.H.; Rosebrough, N.J.; Farr, A.L.; Randall, R.J. Protein measurement with the folin phenol reagent. J. Biol. Chem. 1951, 193, 265–275. [Google Scholar] [CrossRef]
- DuBois, M.; Gilles, K.A.; Hamilton, J.K.; Rebers, P.A.; Smith, F. Colorimetric method for determination of sugars and related substances. Anal. Chem. 1956, 28, 350–356. [Google Scholar] [CrossRef]
- Dixon, P.J.; Ergas, S.J.; Mihelcic, J.R.; Hobbs, S.R. Effect of Substrate to Inoculum Ratio on Bioenergy Recovery from Food Waste, Yard Waste, and Biosolids by High Solids Anaerobic Digestion. Environ. Eng. Sci. 2019, 36, 1459–1465. [Google Scholar] [CrossRef]
- Zhang, L.; Ouyang, W.; Lia, A. Essential Role of Trace Elements in Continuous Anaerobic Digestion of Food Waste. Procedia Environ. Sci. 2012, 16, 102–111. [Google Scholar] [CrossRef]
- Vitanza, R.; Cortesi, A.; De Arana-Sarabia, M.E.; Gallo, V.; Vasiliadou, I.A. Oxic settling anaerobic (OSA) process for excess sludge reduction: 16 months of management of a pilot plant fed with real wastewater. J. Water Process Eng. 2019, 32, 100902. [Google Scholar] [CrossRef]
- Capodaglio, A.G.; Olsson, G. Energy Issues in Sustainable Urban Wastewater Management: Use, Demand Reduction and Recovery in the Urban Water Cycle. Sustainability 2020, 12, 266. [Google Scholar] [CrossRef]
- Directive 2000/60/EC The European Parliament and of the Council of 23 October 2000 Establishing a Framework for Community Action in the Field of Water Policy. Available online: https://eur-lex.europa.eu/legal-content/EN/TXT/?uri=celex%3A32000L0060 (accessed on 2 September 2022).
- De Rosa, M. Economic assessment of producing and selling biomethane into a regional market. Energy Environ. 2020, 31, 60–76. [Google Scholar] [CrossRef]
- Ferrer-Polonio, E.; Fernández-Navarro, J.; Alonso-Molina, J.L.; Amorós-Muñoz, I.; Bes-Piá, A.; Mendoza-Roca, J.A. Changes in the process performance, sludge production and microbial activity in an activated sludge reactor with addition of a metabolic uncoupler under different operating conditions. J. Environ. Manag. 2017, 203, 349–357. [Google Scholar] [CrossRef]
- Guo, J.-S.; Fang, F.; Yan, P.; Chen, Y.-P. Sludge reduction based on microbial metabolism for sustainable wastewater treatment. Bioresour. Technol. 2020, 297, 122506. [Google Scholar] [CrossRef] [PubMed]
- Semblante, G.U.; Hai, F.I.; Ngo, H.H.; Guo, W.; You, S.-J.; Price, W.E.; Nghiem, L.D. Sludge cycling between aerobic, anoxic and anaerobic regimes to reduce sludge production during wastewater treatment: Performance, mechanisms, and implications. Bioresour. Technol. 2014, 155, 395–409. [Google Scholar] [CrossRef] [PubMed]
- Chudoba, P.; Morel, A.; Capdeville, B. The case of both energetic uncoupling and metabolic selection of microorganisms in the OSA activated sludge system. Environ. Technol. 1992, 13, 761–770. [Google Scholar] [CrossRef]
- Fida, Z.; Price, W.E.; Pramanik, B.K.; Dhar, B.R.; Kumar, M.; Jiang, G.; Hai, F.I. Reduction of excess sludge production by membrane bioreactor coupled with anoxic side-stream reactors. J. Environ. Manag. 2021, 281, 111919. [Google Scholar] [CrossRef]
- Sodhi, V.; Bansal, A.; Jha, M.K. Investigation of activated sludge characteristics and their influence on simultaneous sludge minimization and nitrogen removal from an advanced biological treatment for tannery wastewater. Environ. Technol. Innov. 2021, 24, 102013. [Google Scholar] [CrossRef]
- Ding, H.H.; Kotova, P.; Shaw, C.; Hong, Y.; Chang, S. Impacts of Temperature and Solids Retention Time, and Possible Mechanisms of Biological Hydrolysis Pretreatment on Anaerobic Digestion. Water 2020, 12, 3166. [Google Scholar] [CrossRef]
- Filer, J.; Ding, H.H.; Chang, S. Biochemical Methane Potential (BMP) Assay Method for Anaerobic Digestion Research. Water 2019, 11, 921. [Google Scholar] [CrossRef]
- Sakaveli, F.; Petala, M.; Tsiridis, V.; Darakas, E. Enhanced Mesophilic Anaerobic Digestion of Primary Sewage Sludge. Water 2021, 13, 348. [Google Scholar] [CrossRef]
- Kim, Y.M.; Chon, D.-H.; Kim, H.-S.; Park, C. Investigation of bacterial community in activated sludge with an anaerobic side-stream reactor (ASSR) to decrease the generation of excess sludge. Water Res. 2012, 46, 4292–4300. [Google Scholar] [CrossRef] [PubMed]
- Zhang, B.; Yue, J.; Guo, Y.; Liu, T.; Zhou, M.; Yang, Y.; Wu, J.; Zeng, Y.; Ning, X. Effects of bioporous carriers on the performance and microbial community structure in side-stream anaerobic membrane bioreactors. Can. J. Microbiol. 2020, 66, 475–489. [Google Scholar] [CrossRef]
- Roslev, P.; King, G.M. Aerobic and anaerobic starvation metabolism in methanotrophic bacteria. Appl. Environ. Microbiol. 1995, 61, 1563–1570. [Google Scholar] [CrossRef]
- Xu, Y.; Lu, Y.; Zheng, L.; Wang, Z.; Dai, X. Perspective on enhancing the anaerobic digestion of waste activated sludge. J. Hazard. Mater. 2020, 389, 121847. [Google Scholar] [CrossRef]
- Xu, Y.; Lu, Y.; Dai, X.; Dai, L. Enhancing Anaerobic Digestion of Waste Activated Sludge by Solid–Liquid Separation via Isoelectric Point Pretreatment. ACS Sustain. Chem. Eng. 2018, 6, 14774–14784. [Google Scholar] [CrossRef]
- Fang, W.; Zhang, P.; Zhang, G.; Jin, S.; Li, D.; Zhang, M.; Xu, X. Effect of alkaline addition on anaerobic sludge digestion with combined pretreatment of alkaline and high pressure homogenization. Bioresour. Technol. 2014, 168, 167–172. [Google Scholar] [CrossRef]
- Mu, W.; Dagnew, M. Enhancing biomethane production and phosphorus recovery from CEPT sludge through a low temperature thermal alkali and ozonation pretreatment processes. Case Stud. Chem. Environ. Eng. 2022, 5, 100178. [Google Scholar] [CrossRef]
- Zhen, G.; Lu, X.; Kato, H.; Zhao, Y.; Li, Y.-Y. Overview of pretreatment strategies for enhancing sewage sludge disintegration and subsequent anaerobic digestion: Current advances, full-scale application and future perspectives. Renew. Sustain. Energy Rev. 2017, 69, 559–577. [Google Scholar] [CrossRef]
- Mainardis, M.; Buttazzoni, M.; Gievers, F.; Vance, C.; Magnolo, F.; Murphy, F.; Goi, D. Life cycle assessment of sewage sludge pretreatment for biogas production: From laboratory tests to full-scale applicability. J. Clean. Prod. 2021, 322, 129056. [Google Scholar] [CrossRef]
- Corsino, S.F.; De Oliveira, T.S.; Di Trapani, D.; Torregrossa, M.; Viviani, G. Simultaneous sludge minimization, biological phosphorous removal and membrane fouling mitigation in a novel plant layout for MBR. J. Environ. Manag. 2020, 259, 109826. [Google Scholar] [CrossRef]
- Sodhi, V.; Bansal, A.; Jha, M.K. Minimization of excess bio-sludge and pollution load in oxic-settling-anaerobic modified activated sludge treatment for tannery wastewater. J. Clean. Prod. 2020, 243, 118492. [Google Scholar] [CrossRef]







positive variation,
negative variation).
positive variation,
negative variation).
| Unit | CAS | OSA | |||||
|---|---|---|---|---|---|---|---|
| P1–P5 | P1 | P2 | P3 | P4 | P5 | ||
| Operation | days | 152 | 39 | 35 | 35 | 28 | 15 |
| Layout | - | - | A | A | B | B | B |
| Influent flow | L d−1 | 33.6 | 33.6 | 33.6 | 33.6 | 33.6 | 33.6 |
| ASSR volume | L | - | 11.2 | 16.8 | 16.8 | 11.8 | 16.8 |
| HRT-ASSR | h | - | 8 | 12 | 12 | 8 | 12 |
| Influent COD | mg L−1 | 732 ± 451 | 518 ± 396 | 701 ± 127 | 698 ± 201 | 728 ± 46 | 719 ± 74 |
| SRT | days | 8 ± 3.42 | 9 ± 1.3 | 10.3 ± 0.7 | 13.4 ± 2.5 | 11.8 ± 1.7 | 12.9 ± 1.1 |
| F/M | gCOD gTSS−1 d−1 | 0.20 ± 0.02 | 0.17 ± 0.03 | 0.16 ± 0.04 | 0.15 ± 0.03 | 0.19 ± 0.06 | 0.16 ± 0.03 |
| Period | Operating Conditions/ Plant Layout | Principal Sludge Reduction Mechanisms | %Primary Sludge OSA | %Primary Sludge CAS |
|---|---|---|---|---|
| 1 |
| Uncoupling metabolism/ EPS destruction | 63 | 53 |
| 2 | Increase HRT in ASSR
| Cell lysis, EPS destruction/uncoupling metabolism | 86 | 59 |
| 3 | Change of plant layout
| Maintenance metabolism/uncoupling metabolism | 95 | 56 |
| 4 | Decrease HRT in ASSR
| Maintenance metabolism/uncoupling metabolism | 74 | 54 |
| 5 | Increase HRT in ASSR
| Maintenance metabolism/uncoupling metabolism | 70 | 51 |
Disclaimer/Publisher’s Note: The statements, opinions and data contained in all publications are solely those of the individual author(s) and contributor(s) and not of MDPI and/or the editor(s). MDPI and/or the editor(s) disclaim responsibility for any injury to people or property resulting from any ideas, methods, instructions or products referred to in the content. |
© 2023 by the authors. Licensee MDPI, Basel, Switzerland. This article is an open access article distributed under the terms and conditions of the Creative Commons Attribution (CC BY) license (https://creativecommons.org/licenses/by/4.0/).
Share and Cite
Corsino, S.F.; Di Trapani, D.; De Marines, F.; Torregrossa, M.; Viviani, G. Influence of the Oxic-Settling-Anaerobic (OSA) Process on Methane Production by Anaerobic Digestion of Sewage Sludge. Water 2023, 15, 513. https://doi.org/10.3390/w15030513
Corsino SF, Di Trapani D, De Marines F, Torregrossa M, Viviani G. Influence of the Oxic-Settling-Anaerobic (OSA) Process on Methane Production by Anaerobic Digestion of Sewage Sludge. Water. 2023; 15(3):513. https://doi.org/10.3390/w15030513
Chicago/Turabian StyleCorsino, Santo Fabio, Daniele Di Trapani, Federica De Marines, Michele Torregrossa, and Gaspare Viviani. 2023. "Influence of the Oxic-Settling-Anaerobic (OSA) Process on Methane Production by Anaerobic Digestion of Sewage Sludge" Water 15, no. 3: 513. https://doi.org/10.3390/w15030513
APA StyleCorsino, S. F., Di Trapani, D., De Marines, F., Torregrossa, M., & Viviani, G. (2023). Influence of the Oxic-Settling-Anaerobic (OSA) Process on Methane Production by Anaerobic Digestion of Sewage Sludge. Water, 15(3), 513. https://doi.org/10.3390/w15030513

