Ocean Remote Sensing Techniques and Applications: A Review (Part II)
Abstract
1. Introduction
2. RS Applications in Ocean
2.1. Iceberg
2.1.1. Optical
2.1.2. SAR
2.1.3. Scatterometer
2.1.4. Altimeter
2.1.5. HF Radar
2.1.6. Summary and Future Direction
2.2. Sea Ice (SI)
2.2.1. Optical
2.2.2. TIR Radiometer
2.2.3. Microwave Radiometer
2.2.4. SAR
2.2.5. Scatterometer
2.2.6. Altimeter
2.2.7. Summary and Future Direction
2.3. Sea Surface Temprature (SST)
2.3.1. TIR Radiometer
2.3.2. Microwave Radiometer
2.3.3. Summary and Future Direction
2.4. Ocean Surface Salinity (OSS)
2.4.1. Optical
2.4.2. Microwave Radiometer
2.4.3. Summary and Future Direction
2.5. Ocean Color (OC)
2.5.1. Optical
2.5.2. Summary and Future Direction
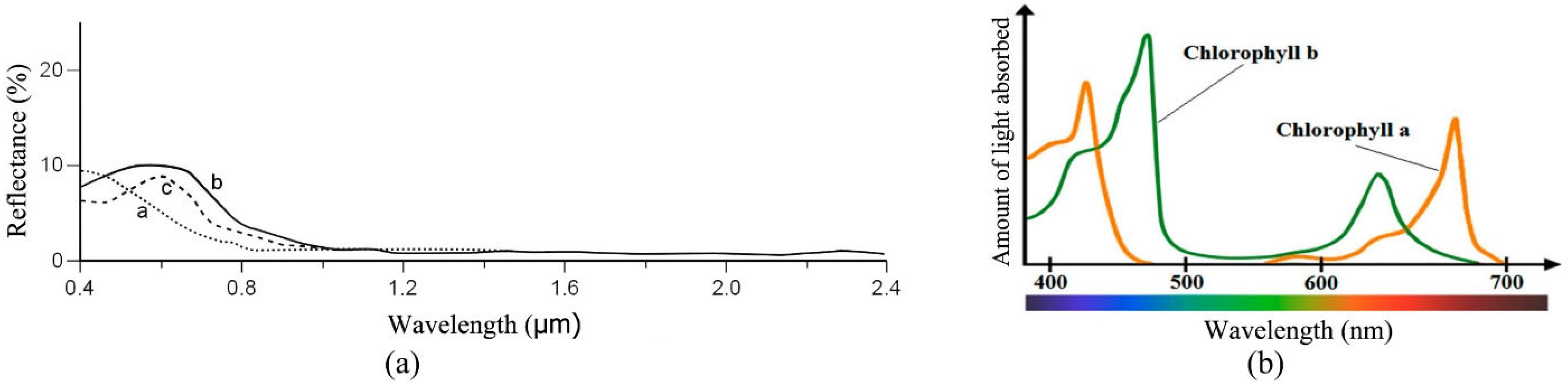
2.6. Ocean Chlorophyll (OCh)
2.6.1. Optical
2.6.2. Summary and Future Direction
2.7. Ocean Oil Spill (OOS)
2.7.1. SAR
- Geometrical features: OOS generally has a regular shape. For instance, sailing tankers that illegally discharge oil waste form a linear spill. The geometrical features provide useful information about the shape of the identified dark regions. The following geometrical features are the most well-known features for OOS detection using RS data:
- Radiometric features: radiometric features provide information about the physical property of the segmented areas and their surrounding based on the backscattering coefficient (σ0). The well-known radiometric features are the average and standard deviation of σ0 inside and outside dark regions [239,258], maximum and mean contrast between dark area and background [258], maximum, mean, and standard deviation gradient of dark region’s border [258], local area contrast ratio [239], power-to- mean ratio of background [239], and the homogeneity of background [239,259].
- Texture features: these features provide information about the spatial correlation between neighboring pixels [224]. The most commonly used texture features are those obtained from the GLCM (e.g., contrast, dissimilarity, homogeneity, angular second moment, and energy and correlation) [259], statistical features after applying a discrete wavelet transformation (e.g., the logarithm of energy, Shannon’s index, angular second moment, and entropy) [260], and fractal [261,262].
2.7.2. Summary and Future Direction
2.8. Underwater Ocean
2.8.1. Bathymetric Mapping
Optical
SAR
Altimeter
LiDAR
SONAR
Summary and Future Direction
2.8.2. AV and CR Mapping
Optical
LiDAR
SONAR
Summary and Future Direction
2.9. Fishery
Summary and Future Direction
3. Conclusions
Author Contributions
Funding
Institutional Review Board Statement
Informed Consent Statement
Conflicts of Interest
Abbreviations
| Acronym | Description |
| AATSR | Advanced Along-Track Scanning Radiometer |
| ADEOS | Advanced Earth Observing Satellite |
| ADIOS | Aircraft Deployable Ice Observation System |
| AIRS | Atmospheric Infrared Sounder |
| ALOS | Advanced Land Observing Satellite |
| AMM | Arithmetic Mean Model |
| AMSR-E | Advanced Microwave Scanning Radiometer for EOS |
| AMSR2 | Advanced Microwave Scanning Radiometer 2 |
| ANN | Artificial Neural Network |
| ARGO | Array for Real-time Geostrophic Oceanography |
| ASCAT | Advanced SCATterometer |
| ASTER | Advanced Spaceborne Thermal Emission and Reflection Radiometer |
| ATLAS | Advanced Topographic Laser Altimeter System |
| AUV | Autonomous Underwater Vehicle |
| AV | Aquatic Vegetation |
| AVIRIS | Airborne Visible / Infrared Imaging Spectrometer |
| AVHRR | Advanced Very High Resolution Radiometer |
| BT | Brightness Temperatures |
| CDOM | Colored Dissolved Organic Matter |
| Chl | Chlorophyll |
| Chl-a | Chlorophyll-a |
| CNN | Convolutional Neural Networks |
| CONAE | Comisión Nacional de Actividades Espaciales |
| CR | Coral Reef |
| DEM | Digital Elevation Model |
| DL | Deep Learning |
| DOC | Dissolved Organic Carbon |
| ECOSTRESS | ECOsystem Spaceborne Thermal Radiometer Experiment on Space Station |
| EKE | Eddy Kinetic Energy |
| ENVISAT | ENVironmental SATellite |
| ERS | European Remote Sensing |
| ESA | European Space Agency |
| EUMETSAT | European Organization for the Exploitation of Meteorological Satellites |
| GAM | Generalized Additive Model |
| GBM | Gradient Boosting Method |
| GEO | Geostationary Orbiters |
| GF | GaoFen-2 |
| GHRSST | Group for High Resolution Sea Surface Temperature |
| GLCM | Gray Level Co-occurrence Matrix |
| GMI | GPM Microwave Imager |
| GNSS | Global Navigation Satellite Systems |
| GOCI | Geostationary Ocean Color Imager |
| GOES | Geostationary Operational Environmental Satellite |
| GPS | Global Positioning System |
| HF | High Frequency |
| HH | Horizontal transmit and Horizontal receive |
| HSI | Habitat Suitability Index |
| IASI | Infrared Atmospheric Sounding Interferometer |
| ICESat | Ice, Cloud, and land Elevation Satellite |
| IOPs | Inherent Optical Properties |
| JASON | Joint Altimetry Satellite Oceanography Network |
| LEO | Low-Earth Orbiters |
| LiDAR | Light Detection and Ranging |
| MBES | MultiBeam EchoSounders |
| MC | Multi Channel |
| MERIS | MEdium Resolution Imaging Spectrometer |
| MIR | Mid Infrared |
| ML | Machine Learning |
| MLD | Mixed Layer Depth |
| MODIS | Moderate Resolution Imaging Spectroradiometer |
| NASA | National Aeronautics and Space Administration |
| NCC | Normalized Cross-Correlation |
| NIC | National Ice Center |
| NIR | Near Infrared |
| NRA | NASA Radar Altimeter |
| NRCS | Normalized Radar Cross Section |
| NRT | Near Real Time |
| NSCAT | NASA scatterometer |
| NSF | National Science Foundation |
| OC | Ocean Color |
| OCh | Ocean Chlorophyll |
| OOS | Ocean Oil Spill |
| OSC | Ocean Surface Current |
| OSCAT | OceanSat SCATterometer |
| OSS | Ocean Surface Salinity |
| OSW | Ocean Surface Wind |
| OWH | Ocean Wave Height |
| OT | Ocean Tide |
| PSU | Practical Salinity Units |
| QSSA | Quasi-Single Scattering Approximations |
| RF | Random Forest |
| RFI | Radio Frequency Interferences |
| RMSE | Root Mean Square Error |
| RS | Remote Sensing |
| RSS | Remote Sensing Systems |
| RT | Radiative Transfer |
| SAR | Synthetic Aperture Radar |
| SARAL | Satellite with ARgos and ALtiKa |
| SC | Single Channel |
| SD | Ship Detection |
| SI | Sea Ice |
| SL | Sea Level |
| SMAP | Soil Moisture Active/Passive |
| SMMR | Scanning Multichannel Microwave Radiometer |
| SMOS | Soil Moisture and Ocean Salinity |
| SONAR | Sound Navigation And Ranging |
| SPOT | Satellite pour l’Observation de la Terre |
| SRAL | Synthetic Aperture Radar Altimeter |
| SSE | Sea Surface Emissivity |
| SSM/I | Special Sensor Microwave/Imager |
| SSMIS | Special Sensor Microwave Imager Sounder |
| SST | Sea Surface Temperature |
| SVM | Support Vector Machines |
| SWIR | Shortwave Infrared |
| TIR | Thermal Infrared |
| TMI | TRMM Microwave Imager |
| TOA | Top Of Atmosphere |
| TSM | Total Suspended Matter |
| UAV | Unmanned Aerial Vehicle |
| VIIRS | Visible/Infrared Imager Radiometer Suite |
| VTIR | Visible and Thermal Infrared Radiometers |
| VV | Vertical transmit and Vertical receive |
| XCTD | Expendable Conductivity/Temperature/Depth |
References
- Amani, M.; Mahdavi, S.; Bullock, T.; Beale, S. Automatic Nighttime Sea Fog Detection Using GOES-16 Imagery. Atmos. Res. 2020, 238, 104712. [Google Scholar] [CrossRef]
- Wentz, F.J.; Ricciardulli, L.; Rodriguez, E.; Stiles, B.W.; Bourassa, M.A.; Long, D.G.; Hoffman, R.N.; Stoffelen, A.; Verhoef, A.; O’Neill, L.W.; et al. Evaluating and Extending the Ocean Wind Climate Data Record. IEEE J. Sel. Top. Appl. Earth Obs. Remote Sens. 2017, 10, 2165–2185. [Google Scholar] [CrossRef] [PubMed]
- Young, I.R.; Donelan, M.A. On the Determination of Global Ocean Wind and Wave Climate from Satellite Observations. Remote Sens. Environ. 2018, 215, 228–241. [Google Scholar] [CrossRef]
- Mahdavi, S.; Amani, M.; Bullock, T.; Beale, S. A Probability-Based Daytime Algorithm for Sea Fog Detection Using GOES-16 Imagery. IEEE J. Sel. Top. Appl. Earth Obs. Remote Sens. 2020, 14, 1363–1373. [Google Scholar] [CrossRef]
- Smith, K.L. Free-Drifting Icebergs in the Southern Ocean. Deep. Res. Part 2 Top. Stud. Oceanogr. 2011, 58, 1277–1284. [Google Scholar] [CrossRef]
- Kang, S.; Xu, Y.; You, Q.; Flügel, W.A.; Pepin, N.; Yao, T. Review of climate and cryospheric change in the Tibetan Plateau. Environ. Res. Lett. 2010, 5, 015101. [Google Scholar]
- Vaughan, D.G.; Comiso, J.C.; Allison, I.; Carrasco, J.; Kaser, G.; Kwok, R.; Mote, P.; Murray, T.; Paul, F.; Ren, J.; et al. Observations: Cryosphere. Clim. Change 2013, 2103, 317–382. [Google Scholar]
- Crawford, A.; Crocker, G.; Mueller, D.; Desjardins, L.; Saper, R.; Carrieres, T. The Canadian Ice Island Drift, Deterioration and Detection (CI2D3) Database. J. Glaciol. 2018, 64, 517–521. [Google Scholar] [CrossRef]
- Hogg, A.E.; Gudmundsson, G.H. Impacts of the Larsen-C Ice Shelf Calving Event. Nat. Clim. Change 2017, 7, 540–542. [Google Scholar] [CrossRef]
- Li, T.; Shokr, M.; Liu, Y.; Cheng, X.; Li, T.; Wang, F.; Hui, F. Monitoring the Tabular Icebergs C28A and C28B Calved from the Mertz Ice Tongue Using Radar Remote Sensing Data. Remote Sens. Environ. 2018, 216, 615–625. [Google Scholar] [CrossRef]
- Merino, N.; Le Sommer, J.; Durand, G.; Jourdain, N.C.; Madec, G.; Mathiot, P.; Tournadre, J. Antarctic Icebergs Melt over the Southern Ocean: Climatology and Impact on Sea Ice. Ocean Model. 2016, 104, 99–110. [Google Scholar] [CrossRef]
- Robinson, N.J.; Williams, M.J.M. Iceberg-Induced Changes to Polynya Operation and Regional Oceanography in the Southern Ross Sea, Antarctica, from in Situ Observations. Antarct. Sci. 2012, 24, 514. [Google Scholar] [CrossRef]
- Wilson, K.-J.; Turney, C.S.M.; Fogwill, C.J.; Blair, E. The Impact of the Giant Iceberg B09B on Population Size and Breeding Success of Adélie Penguins in Commonwealth Bay, Antarctica. Antarct. Sci. 2016, 28, 187–193. [Google Scholar] [CrossRef]
- Barbat, M.M.; Rackow, T.; Hellmer, H.H.; Wesche, C.; Mata, M.M. Three Years of Near-Coastal Antarctic Iceberg Distribution From a Machine Learning Approach Applied to SAR Imagery. J. Geophys. Res. Ocean. 2019, 124, 6658–6672. [Google Scholar] [CrossRef]
- Stern, A.A.; Adcroft, A.; Sergienko, O. The Effects of Antarctic Iceberg Calving-Size Distribution in a Global Climate Model. J. Geophys. Res. Ocean. 2016, 121, 5773–5788. [Google Scholar] [CrossRef]
- Lasserre, F. Simulations of Shipping along Arctic Routes: Comparison, Analysis and Economic Perspectives. Polar Rec. (Gr. Brit). 2015, 51, 239. [Google Scholar] [CrossRef]
- Ferdous, M.S.; McGuire, P.; Power, D.; Johnson, T.; Collins, M. A Comparison of Numerically Modelled Iceberg Backscatter Signatures with Sentinel-1 C-Band Synthetic Aperture Radar Acquisitions. Can. J. Remote Sens. 2018, 44, 232–242. [Google Scholar] [CrossRef]
- Budge, J.S.; Long, D.G. A Comprehensive Database for Antarctic Iceberg Tracking Using Scatterometer Data. IEEE J. Sel. Top. Appl. Earth Obs. Remote Sens. 2018, 11, 434–442. [Google Scholar] [CrossRef]
- MacAyeal, D.R.; Okal, M.H.; Thom, J.E.; Brunt, K.M.; Kim, Y.-J.; Bliss, A.K. Tabular Iceberg Collisions within the Coastal Regime. J. Glaciol. 2008, 54, 371–386. [Google Scholar] [CrossRef]
- Jones, D.H.; Gudmundsson, G.H. Aircraft-Deployable Ice Observation System (ADIOS) for Instrumenting Inaccessible Glaciers. J. Glaciol. 2013, 59, 1129–1134. [Google Scholar] [CrossRef]
- Jones, D.H.; Gudmundsson, G.H. Tracking B-31 Iceberg with Two Aircraft Deployed Sensors. Nat. Hazards Earth Syst. Sci. 2015, 15, 1243–1250. [Google Scholar] [CrossRef]
- Crawford, A.J.; Mueller, D.; Joyal, G. Surveying Drifting Icebergs and Ice Islands: Deterioration Detection and Mass Estimation with Aerial Photogrammetry and Laser Scanning. Remote Sens. 2018, 10, 575. [Google Scholar] [CrossRef]
- Kimball, P.; Rock, S. Sonar-Based Iceberg-Relative Navigation for Autonomous Underwater Vehicles. Deep Sea Res. Part II Top. Stud. Oceanogr. 2011, 58, 1301–1310. [Google Scholar] [CrossRef]
- Crawford, A.J.; Mueller, D.R.; Humphreys, E.R.; Carrieres, T.; Tran, H. Surface Ablation Model Evaluation on a Drifting Ice Island in the Canadian Arctic. Cold Reg. Sci. Technol. 2015, 110, 170–182. [Google Scholar] [CrossRef]
- Barbat, M.M.; Wesche, C.; Werhli, A.V.; Mata, M.M. An Adaptive Machine Learning Approach to Improve Automatic Iceberg Detection from SAR Images. ISPRS J. Photogramm. Remote Sens. 2019, 156, 247–259. [Google Scholar] [CrossRef]
- Liu, T.; Niu, M.; Yang, Y. Ice Velocity Variations of the Polar Record Glacier (East Antarctica) Using a Rotation-Invariant Feature-Tracking Approach. Remote Sens. 2018, 10, 42. [Google Scholar] [CrossRef]
- Heiselberg, H. Ship-Iceberg Classification in SAR and Multispectral Satellite Images with Neural Networks. Remote Sens. 2020, 12, 2353. [Google Scholar] [CrossRef]
- Dubovik, O.; Schuster, G.L.; Xu, F.; Hu, Y.; Bösch, H.; Landgraf, J.; Li, Z. Grand Challenges in Satellite Remote Sensing. Front. Remote Sens. 2021, 2, 619818. [Google Scholar] [CrossRef]
- Dirscherl, M.; Dietz, A.J.; Dech, S.; Kuenzer, C. Remote Sensing of Ice Motion in Antarctica–A Review. Remote Sens. Environ. 2020, 237, 111595. [Google Scholar] [CrossRef]
- Amani, M.; Ghorbanian, A.; Ahmadi, S.A.; Kakooei, M.; Moghimi, A.; Mirmazloumi, S.M.; Alizadeh Moghaddam, S.H.; Mahdavi, S.; Ghahremanloo, M.; Parsian, S.; et al. Google Earth Engine Cloud Computing Platform for Remote Sensing Big Data Applications: A Comprehensive Review. IEEE J. Sel. Top. Appl. Earth Obs. Remote Sens. 2020, 13, 5326–5350. [Google Scholar] [CrossRef]
- Koo, Y.; Xie, H.; Ackley, S.F.; Mestas-Nuñez, A.M.; Macdonald, G.J.; Hyun, C.-U. Semi-Automated Tracking of Iceberg B43 Using Sentinel-1 SAR Images via Google Earth Engine. Cryosph. 2021, 15, 4727–4744. [Google Scholar] [CrossRef]
- Hass, F.S.; Jokar Arsanjani, J. Deep Learning for Detecting and Classifying Ocean Objects: Application of YoloV3 for Iceberg–Ship Discrimination. ISPRS Int. J. Geo-Inf. 2020, 9, 758. [Google Scholar] [CrossRef]
- Podgórski, J.; Pętlicki, M. Detailed Lacustrine Calving Iceberg Inventory from Very High Resolution Optical Imagery and Object-Based Image Analysis. Remote Sens. 2020, 12, 1807. [Google Scholar] [CrossRef]
- Neuhaus, S.U.; Tulaczyk, S.M.; Branecky Begeman, C. Spatiotemporal Distributions of Icebergs in a Temperate Fjord: Columbia Fjord, Alaska. Cryosphere 2019, 13, 1785–1799. [Google Scholar] [CrossRef]
- Haug, T.; Kääb, A.; Skvarca, P. Monitoring Ice Shelf Velocities from Repeat MODIS and Landsat Data-a Method Study on the Larsen C Ice Shelf, Antarctic Peninsula, and 10 Other Ice Shelves around Antarctica. Cryosphere 2010, 4, 161. [Google Scholar] [CrossRef]
- Scambos, T.A.; Dutkiewicz, M.J.; Wilson, J.C.; Bindschadler, R.A. Application of Image Cross-Correlation to the Measurement of Glacier Velocity Using Satellite Image Data. Remote Sens. Environ. 1992, 42, 177–186. [Google Scholar] [CrossRef]
- Wesche, C.; Dierking, W. Iceberg Signatures and Detection in SAR Images in Two Test Regions of the Weddell Sea, Antarctica. J. Glaciol. 2012, 58, 325–339. [Google Scholar] [CrossRef]
- Jezek, K.C.; Sohn, H.G.; Noltimier, K.F. The RADARSAT Antarctic Mapping Project. In Proceedings of the IGARSS’98. Sensing and Managing the Environment,1998 IEEE International Geoscience and Remote Sensing, Symposium Proceedings (Cat. No. 98CH36174), Seattle, WA, USA, 6–10 July 1998; Volume 5, pp. 2462–2464. [Google Scholar]
- Mazur, A.; Wåhlin, A.; Krężel, A. An Object-Based SAR Image Iceberg Detection Algorithm Applied to the Amundsen Sea. Remote Sens. Environ. 2017, 189, 67–83. [Google Scholar] [CrossRef]
- Bentes, C.; Frost, A.; Velotto, D.; Tings, B. Ship-Iceberg Discrimination with Convolutional Neural Networks in High Resolution SAR Images. In Proceedings of the EUSAR 2016: 11th European Conference on Synthetic Aperture Radar, Hamburg, Germany, 6–9 June 2016; pp. 1–4. [Google Scholar]
- Frost, A.; Ressel, R.; Lehner, S. Iceberg Detection over Northern Latitudes Using High Resolution TerraSAR-X Images. In Proceedings of the 36th Canadian Symposium of Remote Sensing-Abstracts, Quebec City, Canada, 8–11 June 2015. [Google Scholar]
- Ressel, R.; Frost, A.; Lehner, S. Navigation assistance for ice-infested waters through automatic iceberg detection and ice classification based on terrasar-X imagery. Int. Arch. Photogramm. Remote Sens. Spat. Inf. Sci. 2015, XL-7/W3, 1049–1056. [Google Scholar] [CrossRef]
- Howell, C.; Power, D.; Lynch, M.; Dodge, K.; Bobby, P.; Randell, C.; Vachon, P.; Staples, G. Dual polarization detection of ships and icebergs-recent results with ENVISAT ASAR and data simulations of RADARSAT-2. In Proceedings of the IGARSS 2008–2008 IEEE International Geoscience and Remote Sensing Symposium, Boston, MA, USA, 7–11 July 2008; Volume 3, p. III-206. [Google Scholar]
- Stuart, K.M.; Long, D.G. Tracking Large Tabular Icebergs Using the SeaWinds Ku-Band Microwave Scatterometer. Deep Sea Res. Part II Top. Stud. Oceanogr. 2011, 58, 1285–1300. [Google Scholar] [CrossRef]
- Tournadre, J.; Chapron, B.; Reul, N.; Vandemark, D.C. A Satellite Altimeter Model for Ocean Slick Detection. J. Geophys. Res. Ocean. 2006, 111. [Google Scholar] [CrossRef]
- Roca, M.; Jackson, H.; Celani, C. RA-2 Sigma-0 Absolute Calibration. ESA Special Publication. Proceeding of the Envisat Validation Workshop, Frascati, Italy, 9–13 December 2002; Volume 531. [Google Scholar]
- Tournadre, J.; Whitmer, K.; Girard-Ardhuin, F. Iceberg Detection in Open Water by Altimeter Waveform Analysis. J. Geophys. Res. Ocean. 2008, 113. [Google Scholar] [CrossRef]
- Tournadre, J.; Bouhier, N.; Girard-Ardhuin, F.; Rémy, F. Antarctic Icebergs Distributions 1992–2014. J. Geophys. Res. Ocean. 2016, 121, 327–349. [Google Scholar] [CrossRef]
- Zakharov, I.; Puestow, T.; Fleming, A.; Deepakumara, J.; Power, D. Detection and Discrimination of Icebergs and Ships Using Satellite Altimetry. In Proceedings of the 2017 IEEE International Geoscience and Remote Sensing Symposium (IGARSS), Fort Worth, TX, USA, 23–28 July 2017; IEEE, 2017; pp. 882–885. [Google Scholar]
- Walsh, J.; Dawe, B.; Srivastava, S. Remote Sensing of Icebergs by Ground-Wave Doppler Radar. IEEE J. Ocean. Eng. 1986, 11, 276–284. [Google Scholar] [CrossRef]
- Walsh, J. Propagation and Scatter for Mixed Paths with Discontinuities and Applications to the Remote Sensing of Sea Ice with HF Radar; C-CORE Technical Report 83-16; Memorial University of Newfoundland: St. John’s, NL, Canada, 1983. [Google Scholar]
- Nazari, M.E.; Huang, W. An Analytical Solution of Electromagnetic Radiation of a Vertical Dipole over a Layered Half-Space. IEEE Trans. Antennas Propag. 2019, 68, 1181–1185. [Google Scholar] [CrossRef]
- Nazari, M.E.; Huang, W. An Analytical Solution of the Electric Field Excited by a Vertical Electric Dipole above a Lossy Half-Space: From Radio to Microwave Frequencies. IEEE Trans. Antennas Propag. 2020, 68, 7517–7529. [Google Scholar] [CrossRef]
- Walsh, J.; Donnelly, R. Consolidated Approach to Two-Body Electromagnetic Scattering. Phys. Rev. A 1987, 36, 4474–4485. [Google Scholar] [CrossRef]
- Walsh, J.; Srivastava, S.K. Analysis of Linear Antenna Systems: A Different Approach. Radio Sci. 1980, 15, 913–921. [Google Scholar] [CrossRef]
- Walsh, J.; Srivastava, S.K. Model Development for Feasibility Studies of HF Radars as Ice Hazard Remote Sensors; OEIC Technical Repor, NO0397; Memorial University of Newfoundland: St. John’s, NL, Canada, 1984. [Google Scholar]
- National Snow and Ice Data Center. Arctic Sea Ice News and Analysis. Available online: https://nsidc.org/arcticseaicenews/ (accessed on 19 October 2021).
- Sandven, S.; Johannessen, O.M.; Kloster, K. Sea Ice Monitoring by Remote Sensing. In Encyclopedia of Analytical Chemistry; John Wiley & Sons, Ltd.: Hoboken, NJ, USA, 2006. [Google Scholar]
- Hartman, D.; Klein Tank, A.; Rusicucci, M.; Alexander, L.; Broenniman, B.; Charabi, Y.; Dentener, F.; Dlugokencky, E.; Easterling, E.; Kaplan, A.; et al. Observations: Atmosphere and Surface; Cambridge University Press: Cambridge, UK, 2013. [Google Scholar]
- Yang, J.; Neelin, J.D. Sea-ice Interaction with the Thermohaline Circulation. Geophys. Res. Lett. 1993, 20, 217–220. [Google Scholar] [CrossRef]
- Overland, J.E.; Wang, M. Large-Scale Atmospheric Circulation Changes Are Associated with the Recent Loss of Arctic Sea Ice. Taylor Fr. 2010, 62, 1–9. [Google Scholar] [CrossRef]
- Descamps, S.; Aars, J.; Fuglei, E.; Kovacs, K.M.; Lydersen, C.; Pavlova, O.; Pedersen, Å.; Ravolainen, V.; Strøm, H. Climate Change Impacts on Wildlife in a High Arctic Archipelago—Svalbard, Norway. Glob. Change Biol. 2017, 23, 490–502. [Google Scholar] [CrossRef] [PubMed]
- Meier, W.N.; Hovelsrud, G.K.; Van Oort, B.E.H.; Key, J.R.; Kovacs, K.M.; Michel, C.; Haas, C.; Granskog, M.A.; Gerland, S.; Perovich, D.K.; et al. Arctic Sea Ice in Transformation: A Review of Recent Observed Changes and Impacts on Biology and Human Activity. Rev. Geophys. 2014, 52, 185–217. [Google Scholar] [CrossRef]
- Wilson, K.J.; Falkingham, J.; Melling, H.; De Abreu, R. Shipping in the Canadian Arctic: Other Possible Climate Change Scenarios. IEEE Int. Geosci. Remote Sens. Symp. 2004, 3, 1853–1856. [Google Scholar]
- Friedl, P.; Weiser, F.; Fluhrer, A.; Braun, M.H. Remote Sensing of Glacier and Ice Sheet Grounding Lines: A Review. Earth-Sci. Rev. 2020, 201, 102948. [Google Scholar] [CrossRef]
- Siitam, L.; Sipelgas, L.; Pärn, O.; Uiboupin, R. Statistical Characterization of the Sea Ice Extent during Different Winter Scenarios in the Gulf of Riga (Baltic Sea) Using Optical Remote-Sensing Imagery. Int. J. Remote Sens. 2017, 38, 617–638. [Google Scholar] [CrossRef]
- Su, H.; Wang, Y.; Xiao, J. Improving MODIS Sea Ice Detectability Using Gray Level Co-Occurrence Matrix Texture Analysis Method: A Case Study in the Bohai Sea. ISPRS J. Photogramm. Remote Sens. 2013, 85, 13–20. [Google Scholar] [CrossRef]
- Muckenhuber, S.; Nilsen, F.; Korosov, A.; Sandven, S. Sea Ice Cover in Isfjorden and Hornsund, Svalbard (2000-2014) from Remote Sensing Data. Cryosphere 2016, 10, 149–158. [Google Scholar] [CrossRef]
- Haverkamp, D.; Soh, L.K.; Tsatsoulis, C. A Comprehensive, Automated Approach to Determining Sea Ice Thickness from SAR Data. IEEE Trans. Geosci. Remote Sens. 1995, 33, 45–57. [Google Scholar] [CrossRef]
- Tao, Z.; Lijian, S.; Makynen, M.; Bin, C.; Juhong, Z.; Zhiping, Z. Sea Ice Thickness Analyses for the Bohai Sea Using MODIS Thermal Infrared Imagery. Acta Oceanol. Sin. 2016, 35, 96–104. [Google Scholar] [CrossRef]
- Reiser, F.; Willmes, S.; Heinemann, G. A New Algorithm for Daily Sea Ice Lead Identification in the Arctic and Antarctic Winter from Thermal-Infrared Satellite Imagery. Remote Sens. 2020, 12, 1957. [Google Scholar] [CrossRef]
- Key, J.R.; Key, J.; Haefliger, M. Arctic Ice Surface Temperature Retrieval from AVHRR Thermal Channels International Arctic Systems for Observing the Atmsophere View Project Arctic Ice Surface Temperature Retrieval from AVHRR Thermal Channels. Artic. J. Geophys. Res. Atmos. 1992, 97, 5885–5893. [Google Scholar] [CrossRef]
- Uiboupin, R.; Sipelgas, L.; Raudsepp, U. Sea Ice Concentration and Type Analysis from Dual Pol Radarsat-2 and Modis Images in the Baltic Sea. IEEE Int. Geosci. Remote Sens. Symp. 2009, 2. [Google Scholar] [CrossRef]
- Fowler, C.; Emery, W.J.; And, J.M. Satellite-Derived Evolution of Arctic Sea Ice Age: October 1978 to March 2003. IEEE Geosci. Remote Sens. Lett. 2004, 2, 71–74. [Google Scholar] [CrossRef]
- Tsai, Y.-L.S.; Dietz, A.; Oppelt, N.; Kuenzer, C. Remote Sensing of Snow Cover Using Spaceborne SAR: A Review. Remote Sens. 2019, 11, 1456. [Google Scholar] [CrossRef]
- Carsey, F. Remote Sensing of Ice and Snow: Review and Status. Int. J. Remote Sens. 1992, 13, 5–11. [Google Scholar] [CrossRef]
- Kruk, R.; Fuller, M.C.; Komarov, A.S.; Isleifson, D.; Jeffrey, I. Proof of Concept for Sea Ice Stage of Development Classification Using Deep Learning. Remote Sens. 2020, 12, 2486. [Google Scholar] [CrossRef]
- Chi, J.; Kim, H.-C. Prediction of Arctic Sea Ice Concentration Using a Fully Data Driven Deep Neural Network. Remote Sens. 2017, 9, 1305. [Google Scholar] [CrossRef]
- Gao, Y.; Gao, F.; Dong, J.; Wang, S. Transferred Deep Learning for Sea Ice Change Detection from Synthetic-Aperture Radar Images. IEEE Geosci. Remote Sens. Lett. 2019, 16, 1655–1659. [Google Scholar] [CrossRef]
- Marmanis, D.; Datcu, M.; Esch, T.; Stilla, U. Deep Learning Earth Observation Classification Using ImageNet Pretrained Networks. IEEE Geosci. Remote Sens. Lett. 2015, 13, 105–109. [Google Scholar] [CrossRef]
- Liu, H.; Guo, H.; Zhang, L. SVM-Based Sea Ice Classification Using Textural Features and Concentration from RADARSAT-2 Dual-Pol ScanSAR Data. IEEE J. Sel. Top. Appl. Earth Obs. Remote Sens. 2014, 8, 1601–1613. [Google Scholar] [CrossRef]
- Han, H.; Im, J.; Kim, M.; Sim, S.; Kim, J.; Kim, D.-J.; Kang, S.-H.; Meier, W.; Gloaguen, R.; Thenkabail, P.S. Retrieval of Melt Ponds on Arctic Multiyear Sea Ice in Summer from TerraSAR-X Dual-Polarization Data Using Machine Learning Approaches: A Case Study in the Chukchi Sea with Mid-Incidence Angle Data. Remote Sens. 2016, 8, 57. [Google Scholar] [CrossRef]
- Lee, S.; Im, J.; Kim, J.; Kim, M.; Shin, M.; Kim, H.-C.; Quackenbush, L.J.; Meier, W.; Tschudi, M.; Li, X.; et al. Arctic Sea Ice Thickness Estimation from CryoSat-2 Satellite Data Using Machine Learning-Based Lead Detection. Remote Sens. 2016, 8, 698. [Google Scholar] [CrossRef]
- Dumitru, C.O.; Andrei, V.; Schwarz, G.; Datcu, M. Machine Learning for Sea Ice Monitoring from Satellites. Int. Arch. Photogramm. Remote Sens. Spat. Inf. Sci. ISPRS Arch. 2019, 42, 83–89. [Google Scholar] [CrossRef]
- Bi, H.; Liang, Y.; Wang, Y.; Liang, X.; Zhang, Z.; Du, T.; Yu, Q.; Huang, J.; Kong, M.; Huang, H. Arctic Multiyear Sea Ice Variability Observed from Satellites: A Review. J. Oceanol. Limnol. 2020, 38, 962–984. [Google Scholar] [CrossRef]
- Light, J.; Parthasarathy, S.; Science, W.M. Monitoring Winter Ice Conditions Using Thermal Imaging Cameras Equipped with Infrared Microbolometer Sensors. Procedia Comput. Sci. 2012, 10, 1158–1165. [Google Scholar] [CrossRef]
- Udevitz, M.S.; Burn, D.M.; Webber, M.A. Estimation of Walrus Populations on Sea Ice with Infrared Imagery and Aerial Photography. Mar. Mammal Sci. 2008, 24, 57–70. [Google Scholar] [CrossRef]
- Mäkynen, M.; Karvonen, J. MODIS Sea Ice Thickness and Open Water-Sea Ice Charts over the Barents and Kara Seas for Development and Validation of Sea Ice Products from Microwave Sensor Data. Remote Sens. 2017, 9, 1324. [Google Scholar] [CrossRef]
- Adams, S.; Willmes, S.; Schröder, D.; Heinemann, G.; Bauer, M.; Krumpen, T. Improvement and Sensitivity Analysis of Thermal Thin-Ice Thickness Retrievals. IEEE Trans. Geosci. Remote Sens. 2012, 51, 3306–3318. [Google Scholar] [CrossRef]
- Preußer, A.; Ohshima, K.I.; Iwamoto, K.; Willmes, S.; Heinemann, G. Retrieval of Wintertime Sea Ice Production in Arctic Polynyas Using Thermal Infrared and Passive Microwave Remote Sensing Data. J. Geophys. Res. Ocean. 2019, 124, 5503–5528. [Google Scholar] [CrossRef]
- Tapakis, R.; Charalambides, A.G. Equipment and methodologies for cloud detection and classification: A review. Solar Energy 2013, 95, 392–430. [Google Scholar] [CrossRef]
- Maaβ, N.; Kaleschke, L.; Ina, N. Improving Passive Microwave Sea Ice Concentration Algorithms for Coastal Areas: Applications to the Baltic Sea. Authors J. Compil. C 2010, 62, 393–410. [Google Scholar] [CrossRef]
- Eppler, T.D.; Farmer, L.D.; Lohanick, A.W.; Anderson, M.R.; Cavalieri, D.J.; Comiso, J.; Gloersen, P.; Garrity, C.; Grenfell, T.C.; Hallikainen, M.; et al. Passive Microwave Signatures of Sea Ice. Microw. Remote Sens. Sea Ice 1992, 68, 47–71. [Google Scholar]
- Richards, J.A. Remote Sensing with Imaging Radar; Springer: Berlin/Heidelberg, Germany, 2009. [Google Scholar]
- Ressel, R.; Singha, S.; Lehner, S.; Rösel, A.; Spreen, G. Investigation into Different Polarimetric Features for Sea Ice Classification Using X-Band Synthetic Aperture Radar. IEEE J. Sel. Top. Appl. Earth Obs. Remote Sens. 2016, 9, 3131–3143. [Google Scholar] [CrossRef]
- Remund, Q.P.; And, D.G.L. A Decade of QuikSCAT Scatterometer Sea Ice Extent Data. IEEE Trans. Geosci. Remote Sens. 2013, 52, 4281–4290. [Google Scholar] [CrossRef]
- Rivas, M.B.; Verspeek, J.; Verhoef, A.; Stoffelen, A. Bayesian Sea Ice Detection with the Advanced Scatterometer ASCAT. IEEE Trans. Geosci. Remote Sens. 2012, 50, 2649–2657. [Google Scholar] [CrossRef]
- Minnett, P.J.; Alvera-Azcárate, A.; Chin, T.M.; Corlett, G.K.; Gentemann, C.L.; Karagali, I.; Li, X.; Marsouin, A.; Marullo, S.; Maturi, E.; et al. Half a Century of Satellite Remote Sensing of Sea-Surface Temperature. Remote Sens. Environ. 2019, 233, 111366. [Google Scholar] [CrossRef]
- O’Carroll, A.G.; Armstrong, E.M.; Beggs, H.M.; Bouali, M.; Casey, K.S.; Corlett, G.K.; Dash, P.; Donlon, C.J.; Gentemann, C.L.; Hoyer, J.L. Observational Needs of Sea Surface Temperature. Front. Mar. Sci. 2019, 6, 420. [Google Scholar] [CrossRef]
- Matsuoka, Y.; Kawamura, H.; Sakaida, F.; Hosoda, K. Retrieval of High-Resolution Sea Surface Temperature Data for Sendai Bay, Japan, Using the Advanced Spaceborne Thermal Emission and Reflection Radiometer (ASTER). Remote Sens. Environ. 2011, 115, 205–213. [Google Scholar] [CrossRef]
- Holton, J.R.; Hakim, G.J. Chapter 10—The General Circulation. In An Introduction to Dynamic Meteorology, 5th ed.; Holton, J.R., Hakim, G.J., Eds.; Academic Press: Boston, UK, 2013; pp. 325–375. ISBN 978-0-12-384866-6. [Google Scholar]
- Bentamy, A.; Piolle, J.-F.; Grouazel, A.; Danielson, R.; Gulev, S.; Paul, F.; Azelmat, H.; Mathieu, P.P.; Von Schuckmann, K.; Sathyendranath, S.; et al. Review and Assessment of Latent and Sensible Heat Flux Accuracy over the Global Oceans. Remote Sens. Environ. 2017, 201, 196–218. [Google Scholar] [CrossRef]
- Wanninkhof, R.; Asher, W.E.; Ho, D.T.; Sweeney, C.; McGillis, W.R. Advances in Quantifying Air-Sea Gas Exchange and Environmental Forcing. Annu. Rev. Mar. Sci. 2009, 1, 213–244. [Google Scholar] [CrossRef]
- May, D.A.; Parmeter, M.M.; Olszewski, D.S.; McKenzie, B.D. Operational Processing of Satellite Sea Surface Temperature Retrievals at the Naval Oceanographic Office. Bull. Am. Meteorol. Soc. 1998, 79, 397–408. [Google Scholar] [CrossRef]
- Joly, M.; Voldoire, A.; Douville, H.; Terray, P.; Royer, J.-F. African Monsoon Teleconnections with Tropical SSTs: Validation and Evolution in a Set of IPCC4 Simulations. Clim. Dyn. 2007, 29, 1–20. [Google Scholar] [CrossRef]
- McWilliams, J.P.; Côté, I.M.; Gill, J.A.; Sutherland, W.J.; Watkinson, A.R. Accelerating Impacts of Temperature-induced Coral Bleaching in the Caribbean. Ecology 2005, 86, 2055–2060. [Google Scholar] [CrossRef]
- Moore, S.K.; Trainer, V.L.; Mantua, N.J.; Parker, M.S.; Laws, E.A.; Backer, L.C.; Fleming, L.E. Impacts of Climate Variability and Future Climate Change on Harmful Algal Blooms and Human Health. In Environmental Health; Springer: Berlin/Heidelberg, Germany, 2008; Volume 7, p. S4. [Google Scholar]
- Brown, L.R. Outgrowing the Earth: The Food Security Challenge in an Age of Falling Water Tables and Rising Temperatures; Taylor & Francis: Oxfordshire, UK, 2012; ISBN 1136560289. [Google Scholar]
- Koll, D.D.B.; Abbot, D.S. Why Tropical Sea Surface Temperature Is Insensitive to Ocean Heat Transport Changes. J. Clim. 2013, 26, 6742–6749. [Google Scholar]
- Newell, R.E. Climate and the Ocean: Measurements of Changes in Sea-Surface Temperature Should Permit Us to Forecast Certain Climatic Changes Several Months Ahead. Am. Sci. 1979, 67, 405–416. [Google Scholar]
- Guclu, Y. The Determination of Sea Tourism Season with Respect to Climatical Conditions on the Black Sea Region of Turkey. Procedia-Soc. Behav. Sci. 2011, 19, 258–269. [Google Scholar] [CrossRef][Green Version]
- Etnoyer, P.; Canny, D.; Mate, B.R.; Morgan, L.E.; Ortega-Ortiz, J.G.; Nichols, W.J. Sea-Surface Temperature Gradients across Blue Whale and Sea Turtle Foraging Trajectories off the Baja California Peninsula, Mexico. Deep Sea Res. Part II Top. Stud. Oceanogr. 2006, 53, 340–358. [Google Scholar] [CrossRef]
- Grémillet, D.; Lewis, S.; Drapeau, L.; van Der Lingen, C.D.; Huggett, J.A.; Coetzee, J.C.; Verheye, H.M.; Daunt, F.; Wanless, S.; Ryan, P.G. Spatial Match–Mismatch in the Benguela Upwelling Zone: Should We Expect Chlorophyll and Sea-surface Temperature to Predict Marine Predator Distributions? J. Appl. Ecol. 2008, 45, 610–621. [Google Scholar] [CrossRef]
- Kang, I.; Kug, J. El Niño and La Niña Sea Surface Temperature Anomalies: Asymmetry Characteristics Associated with Their Wind Stress Anomalies. J. Geophys. Res. Atmos. 2002, 107, ACL-1. [Google Scholar] [CrossRef]
- Ortega-García, S.; Klett-Traulsen, A.; Ponce-Díaz, G. Analysis of Sportfishing Catch Rates of Striped Marlin (Tetrapturus Audax) at Cabo San Lucas, Baja California Sur, Mexico, and Their Relation to Sea Surface Temperature. Mar. Freshw. Res. 2003, 54, 483–488. [Google Scholar] [CrossRef]
- Donlon, C.J.; Minnett, P.J.; Gentemann, C.; Nightingale, T.J.; Barton, I.J.; Ward, B.; Murray, M.J. Toward Improved Validation of Satellite Sea Surface Skin Temperature Measurements for Climate Research. J. Clim. 2002, 15, 353–369. [Google Scholar] [CrossRef]
- Emery, W.J.; Baldwin, D.J.; Schlüssel, P.; Reynolds, R.W. Accuracy of in Situ Sea Surface Temperatures Used to Calibrate Infrared Satellite Measurements. J. Geophys. Res. Ocean. 2001, 106, 2387–2405. [Google Scholar] [CrossRef]
- Barton, I.J. Interpretation of Satellite-Derived Sea Surface Temperatures. Adv. Space Res. 2001, 28, 165–170. [Google Scholar] [CrossRef]
- Kim, E.J.; Kang, S.K.; Jang, S.-T.; Lee, J.H.; Kim, Y.H.; Kang, H.-W.; Kwon, Y.Y.; Seung, Y.H. Satellite-Derived SST Validation Based on in-Situ Data during Summer in the East China Sea and Western North Pacific. Ocean Sci. J. 2010, 45, 159–170. [Google Scholar] [CrossRef]
- Fairall, C.W.; Bradley, E.F.; Godfrey, J.S.; Wick, G.A.; Edson, J.B.; Young, G.S. Cool-skin and Warm-layer Effects on Sea Surface Temperature. J. Geophys. Res. Ocean. 1996, 101, 1295–1308. [Google Scholar] [CrossRef]
- Eastwood, S.; Le Borgne, P.; Péré, S.; Poulter, D. Diurnal Variability in Sea Surface Temperature in the Arctic. Remote Sens. Environ. 2011, 115, 2594–2602. [Google Scholar] [CrossRef]
- Wirasatriya, A.; Hosoda, K.; Setiawan, J.D.; Susanto, R.D. Variability of Diurnal Sea Surface Temperature during Short Term and High SST Event in the Western Equatorial Pacific as Revealed by Satellite Data. Remote Sens. 2020, 12, 3230. [Google Scholar] [CrossRef]
- Donlon, C.J.; Minnett, P.J.; Jessup, A.; Barton, I.; Emery, W.; Hook, S.; Wimmer, W.; Nightingale, T.J.; Zappa, C. Chapter 3.2—Ship-Borne Thermal Infrared Radiometer Systems. In Experimental Methods in the Physical Sciences; Zibordi, G., Donlon, C.J., Parr, A.C., Eds.; Academic Press: Cambridge, MA, USA, 2014; Volume 47, pp. 305–404. ISBN 1079-4042. [Google Scholar]
- Minnett, P.J. Satellite Remote Sensing of Sea Surface Temperatures. In Encyclopedia of Ocean Sciences, 3rd ed.; Cochran, J.K., Bokuniewicz, H.J., Yager, P.L., Eds.; Academic Press: Oxford, UK, 2019; pp. 415–428. ISBN 978-0-12-813082-7. [Google Scholar]
- Harries, J.; Carli, B.; Rizzi, R.; Serio, C.; Mlynczak, M.; Palchetti, L.; Maestri, T.; Brindley, H.; Masiello, G. The Far-infrared Earth. Rev. Geophys. 2008, 46. [Google Scholar] [CrossRef]
- Amani, M.; Salehi, B.; Mahdavi, S.; Masjedi, A.; Dehnavi, S. Temperature-Vegetation-Soil Moisture Dryness Index (TVMDI). Remote Sens. Environ. 2017, 197, 1–14. [Google Scholar] [CrossRef]
- Ghahremanloo, M.; Mobasheri, M.R.; Amani, M. Soil Moisture Estimation Using Land Surface Temperature and Soil Temperature at 5 Cm Depth. Int. J. Remote Sens. 2019, 40, 104–117. [Google Scholar] [CrossRef]
- Wilson, R.C.; Hook, S. SST Temperature Algorithms. 2012. Available online: https://www.ssec.wisc.edu/meetings/ciw/Workshop_Presentations/Wednesday_6_20_2012/2_Algorithm_Approaches/3_Wilson_TempAlgorithmOverview.pdf. (accessed on 12 April 2022).
- Woo, H.-J.; Park, K.; Li, X.; Lee, E.-Y. Sea Surface Temperature Retrieval from the First Korean Geostationary Satellite COMS Data: Validation and Error Assessment. Remote Sens. 2018, 10, 1916. [Google Scholar] [CrossRef]
- Kilpatrick, K.A.; Podestá, G.; Walsh, S.; Williams, E.; Halliwell, V.; Szczodrak, M.; Brown, O.B.; Minnett, P.J.; Evans, R. A Decade of Sea Surface Temperature from MODIS. Remote Sens. Environ. 2015, 165, 27–41. [Google Scholar] [CrossRef]
- Park, K.-A.; Woo, H.-J.; Chung, S.-R.; Cheong, S.-H. Development of Sea Surface Temperature Retrieval Algorithms for Geostationary Satellite Data (Himawari-8/AHI). Asia-Pacific J. Atmos. Sci. 2019, 56, 187–206. [Google Scholar] [CrossRef]
- Liu, Y.; Minnett, P.J. Sampling Errors in Satellite-Derived Infrared Sea-Surface Temperatures. Part I: Global and Regional MODIS Fields. Remote Sens. Environ. 2016, 177, 48–64. [Google Scholar] [CrossRef]
- Merchant, C.J.; Harris, A.R.; Maturi, E.; MacCallum, S. Probabilistic Physically Based Cloud Screening of Satellite Infrared Imagery for Operational Sea Surface Temperature Retrieval. Q. J. R. Meteorol. Soc. A J. Atmos. Sci. Appl. Meteorol. Phys. Oceanogr. 2005, 131, 2735–2755. [Google Scholar] [CrossRef]
- Merchant, C.J.; Embury, O.; Rayner, N.A.; Berry, D.I.; Corlett, G.K.; Lean, K.; Veal, K.L.; Kent, E.C.; Llewellyn-Jones, D.T.; Remedios, J.J. A 20 Year Independent Record of Sea Surface Temperature for Climate from Along-Track Scanning Radiometers. J. Geophys. Res. Ocean. 2012, 117. [Google Scholar] [CrossRef]
- Maturi, E.; Harris, A.; Merchant, C.; Mittaz, J.; Potash, B.; Meng, W.; Sapper, J. NOAA’s Sea Surface Temperature Products from Operational Geostationary Satellites. Bull. Am. Meteorol. Soc. 2008, 89, 1877–1888. [Google Scholar] [CrossRef]
- Kurihara, Y.; Murakami, H.; Kachi, M. Sea Surface Temperature from the New Japanese Geostationary Meteorological Himawari-8 Satellite. Geophys. Res. Lett. 2016, 43, 1234–1240. [Google Scholar] [CrossRef]
- Kilpatrick, K.A.; Podestá, G.; Williams, E.; Walsh, S.; Minnett, P.J. Alternating Decision Trees for Cloud Masking in MODIS and VIIRS NASA Sea Surface Temperature Products. J. Atmos. Ocean. Technol. 2019, 36, 387–407. [Google Scholar] [CrossRef]
- Freund, Y.; Mason, L. The Alternating Decision Tree Learning Algorithm. In Proceedings of the Sixteenth International Conference on Machine Learning, Bled, Slovenia, 27–30 June 1999; Volume 99, pp. 124–133. [Google Scholar]
- Zhou, X.; Yang, X.; Li, Z.; Tao, Z. Single Channel Physical Method for Retrieving Sea Surface Temperature and Its Sensitivity Analysis. In Proceedings of the 2010 International Conference on Multimedia Technology, Ningbo, China, 29–31 October 2010; IEEE: Piscataway, NJ, USA, 2010; pp. 1–4. [Google Scholar] [CrossRef]
- Masuda, K.; Takashima, T.; Takayama, Y. Emissivity of Pure and Sea Waters for the Model Sea Surface in the Infrared Window Regions. Remote Sens. Environ. 1988, 24, 313–329. [Google Scholar] [CrossRef]
- Wu, X.; Smith, W.L. Emissivity of Rough Sea Surface for 8–13 Μm: Modeling and Verification. Appl. Opt. 1997, 36, 2609–2619. [Google Scholar] [CrossRef] [PubMed]
- Momeni, M.; Saradjian, M.R. A Weighted Least Squares Approach for Estimation of Land Surface Temperature Using Constraint Equations. Photogramm. Eng. Remote Sens. 2008, 74, 637–646. [Google Scholar] [CrossRef]
- Walton, C.C. Nonlinear Multichannel Algorithms for Estimating Sea Surface Temperature with AVHRR Satellite Data. J. Appl. Meteorol. 1988, 27, 115–124. [Google Scholar] [CrossRef]
- Xiao-Feng, L. Application of Nonlinear Multi-Channel Algorithms for Estimating Sea Surface Temperature with NOAA-14 AVHRR Data. Chin. J. Oceanol. Limnol. 2000, 18, 199–207. [Google Scholar] [CrossRef]
- Jang, J.-C.; Park, K. High-Resolution Sea Surface Temperature Retrieval from Landsat 8 OLI/TIRS Data at Coastal Regions. Remote Sens. 2019, 11, 2687. [Google Scholar] [CrossRef]
- Aumann, H.H.; Chahine, M.T.; Gautier, C.; Goldberg, M.D.; Kalnay, E.; McMillin, L.M.; Revercomb, H.; Rosenkranz, P.W.; Smith, W.L.; Staelin, D.H. AIRS/AMSU/HSB on the Aqua Mission: Design, Science Objectives, Data Products, and Processing Systems. IEEE Trans. Geosci. Remote Sens. 2003, 41, 253–264. [Google Scholar] [CrossRef]
- Klaes, K.D.; Holmlund, K. EUMETSAT Programmes and Plans. In Observing Systems XIX; International Society for Optics and Photonics: Bellingham, WA, USA, 2014; Volume 9218, p. 92181D. [Google Scholar]
- Cavalli, R.M. Retrieval of Sea Surface Temperature from MODIS Data in Coastal Waters. Sustainability 2017, 9, 2032. [Google Scholar] [CrossRef]
- Koner, P.K. Daytime Sea Surface Temperature Retrieval Incorporating Mid-Wave Imager Measurements: Algorithm Development and Validation. IEEE Trans. Geosci. Remote Sens. 2020, 59, 2833–2844. [Google Scholar] [CrossRef]
- Ruddick, K.; Neukermans, G.; Vanhellemont, Q.; Jolivet, D. Challenges and Opportunities for Geostationary Ocean Colour Remote Sensing of Regional Seas: A Review of Recent Results. Remote Sens. Environ. 2014, 146, 63–76. [Google Scholar] [CrossRef]
- Picart, S.S.; Marsouin, A. Geostationary Satellite Sea Surface Temperature Scientific Validation Report. In OSI SAF is part Distrib. EUMETSAT Appl. Gr. Segm. 2018. Available online: https://osi-saf.eumetsat.int/lml/doc/osisaf_cdop2_ss1_geo_sst_val_rep.pdf (accessed on 5 September 2022).
- EUMETSAT OSI SAF. Sea Surface Temperature Products. Available online: https://osi-saf.eumetsat.int/products/sea-surface-temperature-products (accessed on 2 August 2021).
- Nai-Yu, W.; Vesecky, J.F. Sea Surface Temperature Estimation Using Active/Passive Microwave Remote Sensing. In Proceedings of the IEEE 1999 International Geoscience and Remote Sensing Symposium, IGARSS’99 (Cat. No.99CH36293), Hamburg, Germany, 28 June–2 July 1999; Volume 2, pp. 971–973. [Google Scholar]
- Meissner, T.; Wentz, F.J. The Emissivity of the Ocean Surface between 6 and 90 GHz over a Large Range of Wind Speeds and Earth Incidence Angles. IEEE Trans. Geosci. Remote Sens. 2012, 50, 3004–3026. [Google Scholar] [CrossRef]
- Nielsen-Englyst, P.; Høyer, J.L.; Toudal Pedersen, L.; Gentemann, C.L.; Alerskans, E.; Block, T.; Donlon, C. Optimal Estimation of Sea Surface Temperature from AMSR-E. Remote Sens. 2018, 10, 229. [Google Scholar] [CrossRef]
- Xiao, C.; Chen, N.; Hu, C.; Wang, K.; Xu, Z.; Cai, Y.; Xu, L.; Chen, Z.; Gong, J. A Spatiotemporal Deep Learning Model for Sea Surface Temperature Field Prediction Using Time-Series Satellite Data. Environ. Model. Softw. 2019, 120, 104502. [Google Scholar] [CrossRef]
- Shao, Q.; Li, W.; Han, G.; Hou, G.; Liu, S.; Gong, Y.; Qu, P. A Deep Learning Model for Forecasting Sea Surface Height Anomalies and Temperatures in the South China Sea. J. Geophys. Res. Ocean. 2021, 126, e2021JC017515. [Google Scholar] [CrossRef]
- Ping, B.; Su, F.; Han, X.; Meng, Y. Applications of Deep Learning-Based Super-Resolution for Sea Surface Temperature Reconstruction. IEEE J. Sel. Top. Appl. Earth Obs. Remote Sens. 2021, 14, 887–896. [Google Scholar] [CrossRef]
- Jorge, V.; Granada, R.; Maidana, R.; Jurak, D.; Heck, G.; Negreiros, A.; dos Santos, D.; Gonçalves, L.; Amory, A. A Survey on Unmanned Surface Vehicles for Disaster Robotics: Main Challenges and Directions. Sensors 2019, 19, 702. [Google Scholar] [CrossRef]
- Reul, N.; Grodsky, S.A.; Arias, M.; Boutin, J.; Catany, R.; Chapron, B.; Amico, F.D.; Dinnat, E.; Donlon, C.; Fore, A.; et al. Sea Surface Salinity Estimates from Spaceborne L-Band Radiometers: An Overview of the Fi Rst Decade of Observation (2010–2019). Remote Sens. Environ. 2020, 242, 111769. [Google Scholar] [CrossRef]
- Yueh, S.; Tang, W.; Fore, A.; Hayashi, A.; Song, Y.T.; Lagerloef, G. Aquarius Geophysical Model Function and Combined Active Passive Algorithm for Ocean Surface Salinity and Wind Retrieval. J. Geophys. Res. Ocean. 2014, 119, 5360–5379. [Google Scholar] [CrossRef]
- Su, H.; Yang, X.; Lu, W.; Yan, X. Estimating Subsurface Thermohaline Structure of the Global Ocean Using Surface Remote Sensing Observations. Remote Sens. 2019, 11, 1598. [Google Scholar] [CrossRef]
- West, M.; Sea, R.; Areas, C.; Arabia, S. MODIS Derived Sea Surface Salinity, Temperature, and Chlorophyll-a Data for Potential Fish Zone Mapping: West Red Sea Coastal Areas, Saudi Arabia. Sensors 2019, 19, 2069. [Google Scholar]
- Hackert, E.; Kovach, R.M. Satellite Sea Surface Salinity Observations Impact on El Niño/Southern Oscillation Predictions: Case Studies from the NASA GEOS Seasonal Forecast System. J. Geophys. Res. Oceans. 2020, 125, e2019JC015788. [Google Scholar] [CrossRef]
- Menezes, V.V. Statistical Assessment of Sea-Surface Salinity from SMAP: Arabian Sea, Bay of Bengal and a Promising Red Sea Application. Remote Sens. 2020, 12, 447. [Google Scholar] [CrossRef]
- Le Vine, D.M.; Dinnat, E.P.; Meissner, T.; Wentz, F.J.; Kao, H.; Lagerloef, G.; Lee, T. Status of Aquarius and Salinity Continuity. Remote Sens. 2018, 10, 1585. [Google Scholar] [CrossRef]
- Nguyen, P.T.B.; Koedsin, W.; Mcneil, D.; Van, T.P.D. Remote Sensing Techniques to Predict Salinity Intrusion: Application for a Data-Poor Area of the Coastal Mekong Delta, Vietnam. Int. J. Remote Sens. 2018, 39, 6676–6691. [Google Scholar] [CrossRef]
- Medina-Lopez, E.; Ureña-Fuentes, L. High-Resolution Sea Surface Temperature and Salinity in Coastal Areas Worldwide from Raw Satellite Data. Remote Sens. 2019, 11, 2191. [Google Scholar] [CrossRef]
- Vine, D.M. Le The Multifrequency Future for Remote Sensing of Sea Surface Salinity from Space. Remote Sens. 2020, 12, 1381. [Google Scholar] [CrossRef]
- Olmedo, E.; Martínez, J.; Turiel, A.; Ballabrera-poy, J.; Portabella, M. Debiased Non-Bayesian Retrieval: A Novel Approach to SMOS Sea Surface Salinity. Remote Sens. Environ. 2017, 193, 103–126. [Google Scholar] [CrossRef]
- Vazquez-Cuervo, J.; Fournier, S.; Dzwonkowski, B. Intercomparison of In-Situ and Remote Sensing Salinity Products in the Gulf of Mexico, a River-Influenced System. Remote Sens. 2018, 10, 1590. [Google Scholar] [CrossRef]
- Eruption, V. Changes in Atmospheric, Meteorological, and Ocean Parameters Associated with the 12 January 2020 Taal Volcanic Eruption. Remote Sens. 2020, 12, 1026. [Google Scholar]
- Vazquez-Cuervo, J.; Gomez-Valdes, J.; Bouali, M. Comparison of Satellite-Derived Sea Surface Temperature and Sea Surface Salinity Gradients Using the Saildrone California/Baja and North Atlantic Gulf Stream Deployments. Remote Sens. 2020, 12, 1839. [Google Scholar] [CrossRef]
- Olmedo, E.; Martínez, J.; Umbert, M.; Hoareau, N.; Portabella, M.; Ballabrera-poy, J.; Turiel, A. Improving Time and Space Resolution of SMOS Salinity Maps Using Multifractal Fusion. Remote Sens. Environ. 2016, 180, 246–263. [Google Scholar] [CrossRef]
- Zhang, L.; Yin, X.; Member, S.; Wang, Z.; Liu, H.; Lin, M. Preliminary Analysis of the Potential and Limitations of MICAP for the Retrieval of Sea Surface Salinity. IEEE J. Sel. Top. Appl. Earth Obs. Remote Sens. 2018, 11, 2979–2990. [Google Scholar] [CrossRef]
- Dinnat, E.P.; Le Vine, D.M.; Boutin, J.; Meissner, T.; Lagerloef, G. Remote Sensing of Sea Surface Salinity: Comparison of Satellite and In Situ Observations and Impact of Retrieval Parameters. Remote Sens. 2019, 11, 750. [Google Scholar] [CrossRef]
- Yu, L. Variability and Uncertainty of Satellite Sea Surface Salinity in the Subpolar North Atlantic (2010–2019). Remote Sens. 2020, 12, 2092. [Google Scholar] [CrossRef]
- Eoportal SMOS. 2020. Available online: https://www.eoportal.org/satellite-missions/smap#smap-soil-moisture-activepassive-mission (accessed on 5 July 2022).
- Akhil, V.P.; Vialard, J.; Lengaigne, M.; Keerthi, M.G.; Boutin, J.; Vergely, J.L.; Papa, F. Bay of Bengal Sea Surface Salinity Variability Using a Decade of Improved SMOS Re-Processing. Remote Sens. Environ. 2020, 248, 111964. [Google Scholar] [CrossRef]
- Sun, D.; Su, X.; Qiu, Z.; Wang, S.; Mao, Z.; He, Y. Remote Sensing Estimation of Sea Surface Salinity from GOCI Measurements in the Southern Yellow Sea. Remote Sens. 2019, 11, 775. [Google Scholar] [CrossRef]
- Qing, S.; Zhang, J.; Cui, T.; Bao, Y. Retrieval of Sea Surface Salinity with MERIS and MODIS Data in the Bohai Sea Liaodong. Remote Sens. Environ. 2013, 136, 117–125. [Google Scholar] [CrossRef]
- Bracher, A.; Bouman, H.A.; Brewin, R.J.W.; Bricaud, A.; Brotas, V.; Ciotti, A.M.; Clementson, L.; Devred, E.; Di Cicco, A.; Dutkiewicz, S.; et al. Obtaining Phytoplankton Diversity from Ocean Color: A Scientific Roadmap for Future Development. Front. Mar. Sci. 2017, 4, 55. [Google Scholar] [CrossRef]
- Werdell, P.J.; McKinna, L.I.W.; Boss, E.; Ackleson, S.G.; Craig, S.E.; Gregg, W.W.; Lee, Z.; Maritorena, S.; Roesler, C.S.; Rousseaux, C.S.; et al. An Overview of Approaches and Challenges for Retrieving Marine Inherent Optical Properties from Ocean Color Remote Sensing. Prog. Oceanogr. 2018, 160, 186–212. [Google Scholar] [CrossRef]
- Lee, Z.; Marra, J.; Perry, M.J.; Kahru, M. Estimating Oceanic Primary Productivity from Ocean Color Remote Sensing: A Strategic Assessment. J. Mar. Syst. 2015, 149, 50–59. [Google Scholar] [CrossRef]
- Gholizadeh, M.H.; Melesse, A.M.; Reddi, L. A Comprehensive Review on Water Quality Parameters Estimation Using Remote Sensing Techniques. Sensors 2016, 16, 1298. [Google Scholar] [CrossRef]
- Franz, B.A. Moderate Resolution Imaging Spectroradiometer on Terra: Limitations for Ocean Color Applications. J. Appl. Remote Sens. 2008, 2, 023525. [Google Scholar] [CrossRef]
- Mobley, C.D.; Werdell, J.; Franz, B.; Ahmad, Z.; Bailey, S. Atmospheric Correction for Satellite Ocean Color Radiometry; No. GSFC-EDAA-TN35509; NASA: Washington, DC, USA, 2016. [Google Scholar]
- Ibrahim, A.; Franz, B.; Ahmad, Z.; Healy, R.; Knobelspiesse, K.; Gao, B.-C.; Proctor, C.; Zhai, P.-W. Atmospheric Correction for Hyperspectral Ocean Color Retrieval with Application to the Hyperspectral Imager for the Coastal Ocean (HICO). Remote Sens. Environ. 2018, 204, 60–75. [Google Scholar] [CrossRef]
- Wynne, T.T.; Stumpf, R.P.; Briggs, T.O. Comparing MODIS and MERIS Spectral Shapes for Cyanobacterial Bloom Detection. Int. J. Remote Sens. 2013, 34, 6668–6678. [Google Scholar] [CrossRef]
- O’Reilly, J.E.; Werdell, P.J. Chlorophyll Algorithms for Ocean Color Sensors—OC4, OC5 & OC6. Remote Sens. Environ. 2019, 229, 32–47. [Google Scholar] [CrossRef]
- Blondeau-Patissier, D.; Gower, J.F.R.; Dekker, A.G.; Phinn, S.R.; Brando, V.E. A Review of Ocean Color Remote Sensing Methods and Statistical Techniques for the Detection, Mapping and Analysis of Phytoplankton Blooms in Coastal and Open Oceans. Prog. Oceanogr. 2014, 123, 123–144. [Google Scholar] [CrossRef]
- Ioannou, I.; Gilerson, A.; Gross, B.; Moshary, F.; Ahmed, S. Neural Network Approach to Retrieve the Inherent Optical Properties of the Ocean from Observations of MODIS. Appl. Opt. 2011, 50, 3168–3186. [Google Scholar] [CrossRef]
- Odermatt, D.; Gitelson, A.; Brando, V.E.; Schaepman, M. Review of Constituent Retrieval in Optically Deep and Complex Waters from Satellite Imagery. Remote Sens. Environ. 2012, 118, 116–126. [Google Scholar] [CrossRef]
- Sathyendranath, S.; Platt, T. Analytic Model of Ocean Color. Appl. Opt. 1997, 36, 2620–2629. [Google Scholar] [CrossRef]
- Choi, J.K.; Park, Y.J.; Lee, B.R.; Eom, J.; Moon, J.E.; Ryu, J.H. Application of the Geostationary Ocean Color Imager (GOCI) to Mapping the Temporal Dynamics of Coastal Water Turbidity. Remote Sens. Environ. 2014, 146, 24–35. [Google Scholar] [CrossRef]
- Cao, F.; Tzortziou, M.; Hu, C.; Mannino, A.; Fichot, C.G.; Del Vecchio, R.; Najjar, R.G.; Novak, M. Remote Sensing Retrievals of Colored Dissolved Organic Matter and Dissolved Organic Carbon Dynamics in North American Estuaries and Their Margins. Remote Sens. Environ. 2018, 205, 151–165. [Google Scholar] [CrossRef]
- Yuan, Q.; Shen, H.; Li, T.; Li, Z.; Li, S.; Jiang, Y.; Xu, H.; Tan, W.; Yang, Q.; Wang, J. Deep Learning in Environmental Remote Sensing: Achievements and Challenges. Remote Sens. Environ. 2020, 241, 111716. [Google Scholar] [CrossRef]
- Nock, K.; Gilmour, E.; Elmore, P.; Leadbetter, E.; Sweeney, N.; Petry, F. Deep Learning on Hyperspectral Data to Obtain Water Properties and Bottom Depths. In Signal Processing, Sensor/Information Fusion, and Target Recognition XXVIII; International Society for Optics and Photonics: Bellingham, WA, USA, 2019; Volume 11018, p. 110180Y. [Google Scholar] [CrossRef]
- Colella, S.; Falcini, F.; Rinaldi, E.; Sammartino, M.; Santoleri, R. Mediterranean Ocean Colour Chlorophyll Trends. PLoS ONE 2016, 11, e0155756. [Google Scholar] [CrossRef] [PubMed]
- Devi, G.K.; Ganasri, B.P.; Dwarakish, G.S. Applications of Remote Sensing in Satellite Oceanography: A Review. Aquat. Procedia 2015, 4, 579–584. [Google Scholar] [CrossRef]
- Elarab, M.; Ticlavilca, A.M.; Torres-Rua, A.F.; Maslova, I.; McKee, M. Estimating Chlorophyll with Thermal and Broadband Multispectral High Resolution Imagery from an Unmanned Aerial System Using Relevance Vector Machines for Precision Agriculture. Int. J. Appl. Earth Obs. Geoinf. 2015, 43, 32–42. [Google Scholar] [CrossRef]
- Yacobi, Y.Z.; Gitelson, A.; Mayo, M. Remote Sensing of Chlorophyll in Lake Kinneret Using Highspectral-Resolution Radiometer and Landsat TM: Spectral Features of Reflectance and Algorithm Development. J. Plankton Res. 1995, 17, 2155–2173. [Google Scholar] [CrossRef]
- Gitelson, A.; Mayo, M.; Yacobi, Y.Z.; Parparov, A.; Berman, T. The Use of High-Spectral-Resolution Radiometer Data for Detection of Low Chlorophyll Concentrations in Lake Kinneret. J. Plankton Res. 1994, 16, 993–1002. [Google Scholar] [CrossRef]
- Zhang, Y.; Hallikainen, M.; Zhang, H.; Duan, H.; Li, Y.; Liang, X.S. Chlorophyll-a Estimation in Turbid Waters Using Combined SAR Data With Hyperspectral Reflectance Data: A Case Study in Lake Taihu, China. IEEE J. Sel. Top. Appl. Earth Obs. Remote Sens. 2018, 11, 1325–1336. [Google Scholar] [CrossRef]
- Tempfli, K.; Huurneman, G.; Bakker, W.; Janssen, L.L.; Feringa, W.F.; Gieske, A.S.M.; Woldai, T. Principles of Remote Sensing: An Introductory Textbook; International Institute for Geo-Information Science and Earth Observation: ITCC:: Enschede, The Netherlands, 2009; Available online: https://webapps.itc.utwente.nl/librarywww/papers_2009/general/principlesremotesensing.pdf (accessed on 5 September 2022).
- Tassan, S. Local Algorithms Using SeaWiFS Data for the Retrieval of Phytoplankton, Pigments, Suspended Sediment, and Yellow Substance in Coastal Waters. Appl. Opt. 1994, 33, 2369–2378. [Google Scholar] [CrossRef]
- Curran, P.J.; Dungan, J.L.; Gholz, H.L. Exploring the Relationship between Reflectance Red Edge and Chlorophyll Content in Slash Pine. Tree Physiol. 1990, 7, 33–48. [Google Scholar] [CrossRef]
- O’Reilly, J.E.; Maritorena, S.; Siegel, D.A.; O’Brien, M.C.; Toole, D.; Mitchell, B.G.; Kahru, M.; Chavez, F.P.; Strutton, P.; Cota, G.F. Ocean Color Chlorophyll a Algorithms for SeaWiFS, OC2, and OC4: Version 4. SeaWiFS Postlaunch Calibration Valid. Anal. Part 2000, 3, 9–23. [Google Scholar]
- Gower, J.F.R.; Doerffer, R.; Borstad, G.A. Interpretation of the 685nm Peak in Water-Leaving Radiance Spectra in Terms of Fluorescence, Absorption and Scattering, and Its Observation by MERIS. Int. J. Remote Sens. 1999, 20, 1771–1786. [Google Scholar] [CrossRef]
- Binding, C.E.; Greenberg, T.A.; Bukata, R.P. The MERIS Maximum Chlorophyll Index; Its Merits and Limitations for Inland Water Algal Bloom Monitoring. J. Great Lakes Res. 2013, 39, 100–107. [Google Scholar] [CrossRef]
- Hu, C.; Lee, Z.; Franz, B. Chlorophyll aalgorithms for Oligotrophic Oceans: A Novel Approach Based on Three-Band Reflectance Difference. J. Geophys. Res. Ocean. 2012, 117, C01011. [Google Scholar] [CrossRef]
- Kim, W.; Moon, J.-E.; Park, Y.-J.; Ishizaka, J. Evaluation of Chlorophyll Retrievals from Geostationary Ocean Color Imager (GOCI) for the North-East Asian Region. Remote Sens. Environ. 2016, 184, 482–495. [Google Scholar] [CrossRef]
- Doerffer, R.; Schiller, H. The MERIS Case 2 Water Algorithm. Int. J. Remote Sens. 2007, 28, 517–535. [Google Scholar] [CrossRef]
- Kown, Y.; Baek, S.; Lim, Y.; Pyo, J.; Ligaray, M.; Park, Y.; Cho, K. Monitoring Coastal Chlorophyll-a Concentrations in Coastal Areas Using Machine Learning Models. Water 2018, 10, 1020. [Google Scholar] [CrossRef]
- Diouf, D.; Seck, D. Modeling the Chlorophyll-a from Sea Surface Reflectance in West Africa by Deep Learning Methods: A Comparison of Multiple Algorithms. Int. J. Artif. Intell. Appl. 2019, 10, 33–40. [Google Scholar] [CrossRef]
- Silveira Kupssinskü, L.; Thomassim Guimarães, T.; Menezes de Souza, E.C.; Zanotta, D.; Roberto Veronez, M.; Gonzaga, L.; Mauad, F.F. A Method for Chlorophyll-a and Suspended Solids Prediction through Remote Sensing and Machine Learning. Sensors 2020, 20, 2125. [Google Scholar] [CrossRef]
- Wattelez, G.; Dupouy, C.; Mangeas, M.; Lefèvre, J.; Frouin, R. A Statistical Algorithm for Estimating Chlorophyll Concentration in the New Caledonian Lagoon. Remote Sens. 2016, 8, 45. [Google Scholar] [CrossRef]
- Samli, R.; Sivri, N.; Sevgen, S.; Kiremitci, V.Z. Applying Artificial Neural Networks for the Estimation of Chlorophyll-a Concentrations along the Istanbul Coast. Polish J. Environ. Stud. 2014, 23, 1281–1287. [Google Scholar]
- Loisel, H.; Vantrepotte, V.; Ouillon, S.; Ngoc, D.D.; Herrmann, M.; Tran, V.; Mériaux, X.; Dessailly, D.; Jamet, C.; Duhaut, T.; et al. Assessment and Analysis of the Chlorophyll-a Concentration Variability over the Vietnamese Coastal Waters from the MERIS Ocean Color Sensor (2002–2012). Remote Sens. Environ. 2017, 190, 217–232. [Google Scholar] [CrossRef]
- Huisman, J.; Thi, N.N.P.; Karl, D.M.; Sommeijer, B. Reduced Mixing Generates Oscillations and Chaos in the Oceanic Deep Chlorophyll Maximum. Nature 2006, 439, 322–325. [Google Scholar] [CrossRef] [PubMed]
- Smith, R.C. Remote Sensing and Depth Distribution of Ocean Chlorophyll. Mar. Ecol. Prog. Ser. 1981, 5, 359–361. [Google Scholar] [CrossRef]
- Solberg, A.H.S. Remote Sensing of Ocean Oil-Spill Pollution. Proc. IEEE 2012, 100, 2931–2945. [Google Scholar] [CrossRef]
- Soussi, A.; Bersani, C.; Sacile, R.; Bouchta, D.; El Amarti, A.; Seghiouer, H.; Nachite, D.; Al Miys, J. An Oil Spill Trajectory Model: Validation in the Mediterranean Sea. In Proceedings of the 2019 International Symposium on Systems Engineering (ISSE), Edinburgh, UK, 1–3 October 2019; IEEE: Piscataway, NJ, USA, 2019; pp. 1–6. [Google Scholar]
- Brekke, C.; Solberg, A.H.S. Oil Spill Detection by Satellite Remote Sensing. Remote Sens. Environ. 2005, 95, 1–13. [Google Scholar] [CrossRef]
- Gauthier, M.-F.; Weir, L.; Ou, Z.; Arkett, M.; De Abreu, R. Integrated Satellite Tracking of Pollution: A New Operational Program. In Proceedings of the 2007 IEEE International Geoscience and Remote Sensing Symposium, Barcelona, Spain, 23–28 July 2007; IEEE: Piscataway, NJ, USA, 2007; pp. 967–970. [Google Scholar]
- Jha, M.N.; Levy, J.; Gao, Y. Advances in Remote Sensing for Oil Spill Disaster Management: State-of-the-Art Sensors Technology for Oil Spill Surveillance. Sensors 2008, 8, 236–255. [Google Scholar] [CrossRef]
- DeAbreu, R.; Gauthier, M.-F.; Van Wychen, W. SAR-Based Oil Pollution Surveillance in Canada: Operational Implementation and Research Priorities. In Proceedings of the OceanSAR 2006 Proceedings–Third Workshop on Coastal and Marine Applications of SAR; St. John’s, NL, Canada, October 2006. Available online: https://www.star.nesdis.noaa.gov/socd/mecb/sar/publications.html (accessed on 5 September 2022).
- Fingas, M. The Basics of Oil Spill Cleanup; CRC Press: Boca Raton, FL, USA, 2012; ISBN 143986246X. [Google Scholar]
- Kolokoussis, P.; Karathanassi, V. Oil Spill Detection and Mapping Using Sentinel 2 Imagery. J. Mar. Sci. Eng. 2018, 6, 4. [Google Scholar] [CrossRef]
- Nezhad, M.M.; Groppi, D.; Laneve, G.; Marzialetti, P.; Piras, G. Oil Spill Detection Analyzing “Sentinel 2” Satellite Images: A Persian Gulf Case Study. In Proceedings of the 3rd World Congress on Civil, Structural and Environmental Engineering, Budapest, Hungary, 8–10 April 2018; pp. 1–8. [Google Scholar]
- Ozigis, M.S.; Kaduk, J.; Jarvis, C. Synergistic Application of Sentinel 1 and Sentinel 2 Derivatives for Terrestrial Oil Spill Impact Mapping. In Active and Passive Microwave Remote Sensing for Environmental Monitoring II; International Society for Optics and Photonics: Berlin, Germany, 2018; Volume 10788, p. 107880R. [Google Scholar]
- Goodman, R. Overview and Future Trends in Oil Spill Remote Sensing. Spill Sci. Technol. Bull. 1994, 1, 11–21. [Google Scholar] [CrossRef]
- Alizadeh Moghaddam, S.H.; Mokhtarzade, M.; Beirami, B.A. A Feature Extraction Method Based on Spectral Segmentation and Integration of Hyperspectral Images. Int. J. Appl. Earth Obs. Geoinf. 2020, 89, 102097. [Google Scholar] [CrossRef]
- Lu, Y.; Tian, Q.; Wang, X.; Zheng, G.; Li, X. Determining Oil Slick Thickness Using Hyperspectral Remote Sensing in the Bohai Sea of China. Int. J. Digit. Earth 2013, 6, 76–93. [Google Scholar] [CrossRef]
- Wang, B.; Shao, Q.; Song, D.; Li, Z.; Tang, Y.; Yang, C.; Wang, M. A Spectral-Spatial Features Integrated Network for Hyperspectral Detection of Marine Oil Spill. Remote Sens. 2021, 13, 1568. [Google Scholar] [CrossRef]
- Zhu, X.; Li, Y.; Zhang, Q.; Liu, B. Oil Film Classification Using Deep Learning-Based Hyperspectral Remote Sensing Technology. ISPRS Int. J. Geo-Inf. 2019, 8, 181. [Google Scholar] [CrossRef]
- Jones, B. A Comparison of Visual Observations of Surface Oil with Synthetic Aperture Radar Imagery of the Sea Empress Oil Spill. Int. J. Remote Sens. 2001, 22, 1619–1638. [Google Scholar] [CrossRef]
- Misra, A.; Balaji, R. Simple Approaches to Oil Spill Detection Using Sentinel Application Platform (SNAP)-Ocean Application Tools and Texture Analysis: A Comparative Study. J. Indian Soc. Remote Sens. 2017, 45, 1065–1075. [Google Scholar] [CrossRef]
- Solberg, A.H.S.; Storvik, G.; Solberg, R.; Volden, E. Automatic Detection of Oil Spills in ERS SAR Images. IEEE Trans. Geosci. Remote Sens. 1999, 37, 1916–1924. [Google Scholar] [CrossRef]
- Nezhad, M.M.; Groppi, D.; Marzialetti, P.; Piras, G.; Laneve, G. Mapping Sea Water Surface in Persian Gulf, Oil Spill Detection Using Sentinal-1 Images. In Proceedings of the 4th World Congress on New Technologies (NewTech’18), Madrid, Spain, 19–24 August 2018; pp. 19–21. [Google Scholar]
- Migliaccio, M.; Gambardella, A.; Tranfaglia, M. SAR Polarimetry to Observe Oil Spills. IEEE Trans. Geosci. Remote Sens. 2007, 45, 506–511. [Google Scholar] [CrossRef]
- Zhang, B.; Perrie, W.; Li, X.; Pichel, W.G. Mapping Sea Surface Oil Slicks Using RADARSAT-2 Quad-Polarization SAR Image. Geophys. Res. Lett. 2011, 38. [Google Scholar] [CrossRef]
- Migliaccio, M.; Nunziata, F.; Buono, A. SAR Polarimetry for Effective Sea Oil Slick Observation. In Proceedings of the 2018 IEEE/OES Baltic International Symposium, BALTIC 2018, Klaipeda, Lithuania, 12–15 June 2018; IEEE, 2019; pp. 1–5. [Google Scholar]
- Migliaccio, M.; Nunziata, F.; Gambardella, A. On the Co-polarized Phase Difference for Oil Spill Observation. Int. J. Remote Sens. 2009, 30, 1587–1602. [Google Scholar] [CrossRef]
- Velotto, D.; Migliaccio, M.; Nunziata, F.; Lehner, S. Oil-Slick Observation Using Single Look Complex TerraSAR-X Dual-Polarized Data. In Proceedings of the 2010 IEEE International Geoscience and Remote Sensing Symposium, Honolulu, HI, USA, 25–30 July 2010; IEEE: Piscataway, NJ, USA, 2010; pp. 3684–3687. [Google Scholar]
- Wenguang, W.; Fei, L.; Peng, W.; Jun, W. Oil Spill Detection from Polarimetric SAR Image. In Proceedings of the IEEE 10th International Conference on Signal Processing Proceedings, Beijing, China, 24–28 October 2010; IEEE: Piscataway, NJ, USA, 2010; pp. 832–835. [Google Scholar]
- Shirvany, R.; Chabert, M.; Tourneret, J.-Y. Ship and Oil-Spill Detection Using the Degree of Polarization in Linear and Hybrid/Compact Dual-Pol SAR. IEEE J. Sel. Top. Appl. Earth Obs. Remote Sens. 2012, 5, 885–892. [Google Scholar] [CrossRef]
- Espedal, H. Detection of Oil Spill and Natural Film in the Marine Environment by Spaceborne SAR. In Proceedings of the IEEE 1999 International Geoscience and Remote Sensing Symposium, IGARSS’99 (Cat. No. 99CH36293), Hamburg, Germany, 28 June–2 July 1999; IEEE: Piscataway, NJ, USA, 1999; Volume 3, pp. 1478–1480. [Google Scholar]
- Solberg, A.H.S.; Dokken, S.T.; Solberg, R. Automatic Detection of Oil Spills in Envisat, Radarsat and ERS SAR Images. In Proceedings of the IGARSS 2003, 2003 IEEE International Geoscience and Remote Sensing Symposium, (IEEE Cat. No. 03CH37477), Toulouse, France, 21–25 July 2003; IEEE: Piscataway, NJ, USA, 2003; Volume 4, pp. 2747–2749. [Google Scholar]
- Change, L.Y.; Chen, K.; Chen, C.; Chen, A. A Multiplayer-Multiresolution Approach to Detection of Oil Slicks Using ERS SAR Image. In Proceedings of the ACRS 1996—17th Asian Conference of Remote Sensing, Colombo, Sri Lanka, 4–8 November 1996. [Google Scholar]
- Chen, C.F.; Chen, K.S.; Chang, L.Y.; Chen, A.J. The Use of Satellite Imagery for Monitoring Coastal Environment in Taiwan. In Proceedings of the IGARSS’97, 1997 IEEE International Geoscience and Remote Sensing Symposium Proceedings. Remote Sensing-A Scientific Vision for Sustainable Development, Singapore, 3–8 August 1997; IEEE: Piscataway, NJ, USA, 1997; Volume 3, pp. 1424–1426. [Google Scholar]
- Mercier, G.; Derrode, S.; Pieczynski, W.; Le Caillec, J.M.; Garello, R. Multiscale Oil Slick Segmentation with Markov Chain Model. In Proceedings of the International Geoscience and Remote Sensing Symposium (IGARSS), Quebec City, QC, Canada, 21–25 July 2003; IEEE: Piscataway, NJ, USA, 2003; Volume 6, pp. 3501–3503. [Google Scholar]
- Wu, S.Y.; Liu, A.K. Towards an Automated Ocean Feature Detection, Extraction and Classification Scheme for SAR Imagery. Int. J. Remote Sens. 2003, 24, 935–951. [Google Scholar] [CrossRef]
- Indregard, M.; Solberg, A.H.S.; Clayton, P. D2-Report on Benchmarking Oil Spill Recognition Approaches and Best Practice; Tech. Rep. Ocean. Proj. Eur. Comm. Archive No. 04-10225-A-Doc, Contract No:EVK2-CT-2003-00177; European Commission: Brussels, Belgium, 2004. [Google Scholar]
- Barni, M.; Betti, M.; Mecocci, A. A Fuzzy Approach to Oil Spill Detection an SAR Images. In Proceedings of the 1995 International Geoscience and Remote Sensing Symposium, IGARSS’95, Quantitative Remote Sensing for Science and Applications, Firenze, Italy, 10–14 July 1995; IEEE: Piscataway, NJ, USA, 1995; Volume 1, pp. 157–159. [Google Scholar]
- Gasull, A.; Fabregas, X.; Jimenez, J.; Marques, F.; Moreno, V.; Herrero, M.A. Oil Spills Detection in SAR Images Using Mathematical Morphology. In Proceedings of the European Signal Processing Conference, Toulouse, France, 3–6 September 2002; IEEE: Piscataway, NJ, USA, 2002; Volume 2002, pp. 1–4. [Google Scholar]
- Fiscella, B.; Giancaspro, A.; Nirchio, F.; Pavese, P.; Trivero, P. Oil Spill Detection Using Marine SAR Images. Int. J. Remote Sens. 2000, 21, 3561–3566. [Google Scholar] [CrossRef]
- Del Frate, F.; Petrocchi, A.; Lichtenegger, J.; Calabresi, G. Neural Networks for Oil Spill Detection Using ERS-SAR Data. IEEE Trans. Geosci. Remote Sens. 2000, 38, 2282–2287. [Google Scholar] [CrossRef]
- Solberg, A.H.S.; Jain, A.K. Texture Fusion and Feature Selection Applied to SAR Imagery. IEEE Trans. Geosci. Remote Sens. 1997, 35, 475–479. [Google Scholar] [CrossRef]
- Ashoori, H.; Zoej, M.J.V.; Sahebi, M.R. Introduction of Spatio-Spectral Indices for Using Spatial Data in Multispectral Image Classification. J. Indian Soc. Remote Sens. 2019, 47, 1003–1017. [Google Scholar] [CrossRef]
- Frankot, R.T.; Chellappa, R. Lognormal Random-Field Models and Their Applications to Radar Image Synthesis. IEEE Trans. Geosci. Remote Sens. 1987, 2, 195–207. [Google Scholar] [CrossRef]
- Keller, J.M.; Chen, S.; Crownover, R.M. Texture Description and Segmentation through Fractal Geometry. Comput. Vision, Graph. Image Process. 1989, 45, 150–166. [Google Scholar] [CrossRef]
- Solberg, A.H.S.; Brekke, C.; Husoy, P.O. Oil Spill Detection in Radarsat and Envisat SAR Images. IEEE Trans. Geosci. Remote Sens. 2007, 45, 746–755. [Google Scholar] [CrossRef]
- Solberg, A.H.S.; Volden, E. Incorporation of Prior Knowledge in Automatic Classification of Oil Spills in ERS SAR Images. In Proceedings of the IGARSS’97, 1997 IEEE International Geoscience and Remote Sensing Symposium Proceedings. Remote Sensing-A Scientific Vision for Sustainable Development, Singapore, 3–8 August 1997; IEEE: Piscataway, NJ, USA, 1997; Volume 1, pp. 157–159. [Google Scholar]
- Al-Ruzouq, R.; Gibril, M.B.A.; Shanableh, A.; Kais, A.; Hamed, O.; Al-Mansoori, S.; Khalil, M.A. Sensors, features, and machine learning for oil spill detection and monitoring: A review. Remote Sens. 2020, 12, 3338. [Google Scholar] [CrossRef]
- Alpers, W.; Holt, B.; Zeng, K. Oil spill detection by imaging radars: Challenges and pitfalls. Remote Sens. Environ. 2017, 201, 133–147. [Google Scholar] [CrossRef]
- Cantorna, D.; Dafonte, C.; Iglesias, A.; Arcay, B. Oil Spill Segmentation in SAR Images Using Convolutional Neural Networks. A Comparative Analysis with Clustering and Logistic Regression Algorithms. Appl. Soft Comput. 2019, 84, 105716. [Google Scholar] [CrossRef]
- Chen, G.; Li, Y.; Sun, G.; Zhang, Y. Application of Deep Networks to Oil Spill Detection Using Polarimetric Synthetic Aperture Radar Images. Appl. Sci. 2017, 7, 968. [Google Scholar] [CrossRef]
- Krestenitis, M.; Orfanidis, G.; Ioannidis, K.; Avgerinakis, K.; Vrochidis, S.; Kompatsiaris, I. Oil Spill Identification from Satellite Images Using Deep Neural Networks. Remote Sens. 2019, 11, 1762. [Google Scholar] [CrossRef]
- Orfanidis, G.; Ioannidis, K.; Avgerinakis, K.; Vrochidis, S.; Kompatsiaris, I. A Deep Neural Network for Oil Spill Semantic Segmentation in SAR Images. In Proceedings of the 2018 25th IEEE International Conference on Image Processing (ICIP), Athens, Greece, 7–10 October 2018; IEEE: Piscataway, NJ, USA, 2018; pp. 3773–3777. [Google Scholar]
- Temitope Yekeen, S.; Balogun, A.L.; Wan Yusof, K.B. A Novel Deep Learning Instance Segmentation Model for Automated Marine Oil Spill Detection. ISPRS J. Photogramm. Remote Sens. 2020, 167, 190–200. [Google Scholar] [CrossRef]
- Seydi, S.T.; Hasanlou, M.; Amani, M.; Huang, W. Oil Spill Detection Based on Multi-Scale Multi-Dimensional Residual CNN for Optical Remote Sensing Imagery. IEEE J. Sel. Top. Appl. Earth Obs. Remote Sens. 2021, 14, 10941–10952. [Google Scholar] [CrossRef]
- Jagalingam, P.; Akshaya, B.J.; Hegde, A.V. Bathymetry Mapping Using Landsat 8 Satellite Imagery. Procedia Eng. 2015, 116, 560–566. [Google Scholar] [CrossRef]
- Lee, Z.; Hu, C.; Casey, B.; Shang, S.; Dierssen, H.; Arnone, R. Global Shallow—Water Bathymetry From Satellite Ocean Color Data. Eos Trans. Am. Geophys. Union 2010, 91, 429–430. [Google Scholar] [CrossRef]
- Misra, S.K.; Kennedy, A.B.; Kirby, J.T. An Approach to Determining Nearshore Bathymetry Using Remotely Sensed Ocean Surface Dynamics. Coast. Eng. 2003, 47, 265–293. [Google Scholar] [CrossRef]
- Flynn, K.F.; Chapra, S.C. Remote Sensing of Submerged Aquatic Vegetation in a Shallow Non-Turbid River Using an Unmanned Aerial Vehicle. Remote Sens. 2014, 6, 12815–12836. [Google Scholar] [CrossRef]
- Ackleson, S.G.; Klemas, V. Remote Sensing of Submerged Aquatic Vegetation in Lower Chesapeake Bay: A Comparison of Landsat MSS to TM Imagery. Remote Sens. Environ. 1987, 22, 235–248. [Google Scholar] [CrossRef]
- Shivers, S.D. The Impact of Submerged Aquatic Vegetation on Nutrient Dynamics and Bacterial Metabolism in a Southeastern Reservoir; University of Georgia: Athens, GA, USA, 2010. [Google Scholar]
- Terrence, S.; Siddiq, K.; John, Y.; Ann, F.M.; Kelley, M.; Don, H.; Richard, E.; Elizabeth, Z. A Preliminary Assessment of Hyperspectral Remote Sensing Technology for Mapping Submerged Aquatic Vegetation in the Upper Delaware River National Parks (USA). Adv. Remote Sens. 2018, 7, 290. [Google Scholar] [CrossRef]
- Bal, K.; Struyf, E.; Vereecken, H.; Viaene, P.; De Doncker, L.; de Deckere, E.; Mostaert, F.; Meire, P. How Do Macrophyte Distribution Patterns Affect Hydraulic Resistances? Ecol. Eng. 2011, 37, 529–533. [Google Scholar] [CrossRef]
- Koch, E.W. Beyond Light: Physical, Geological, and Geochemical Parameters as Possible Submersed Aquatic Vegetation Habitat Requirements. Estuaries 2001, 24, 1–17. [Google Scholar] [CrossRef]
- Rowan, G.; Kalacska, M. Remote Sensing of Submerged Aquatic Vegetation: An Introduction and Best Practices Review. 2020. Available online: file:///C:/Users/meisam.amani.GLOBAL/Desktop/Manuscript_PrePrintsRowanKalacska.pdf (accessed on 5 December 2021).
- Kennish, M.J.; Haag, S.M.; Sakowicz, G.P. Seagrass Demographic and Spatial Habitat Characterization in Little Egg Harbor, New Jersey, Using Fixed Transects. J. Coast. Res. 2008, 10055, 148–170. [Google Scholar] [CrossRef]
- Bostater Jr, C.R.; Ghir, T.; Bassetti, L.; Hall, C.; Reyeier, E.; Lowers, R.; Holloway-Adkins, K.; Virnstein, R. Hyperspectral Remote Sensing Protocol Development for Submerged Aquatic Vegetation in Shallow Waters. In Proceedings of the Remote Sensing of the Ocean and Sea Ice 2003, Barcelona, Spain, 8–12 September 2003; International Society for Optics and Photonics, 2003; Volume 5233, pp. 199–215. [Google Scholar]
- Spalding, M.D.; Grenfell, A.M. New Estimates of Global and Regional Coral Reef Areas. Coral Reefs 1997, 16, 225–230. [Google Scholar] [CrossRef]
- Beck, M.W.; Losada, I.J.; Menéndez, P.; Reguero, B.G.; Díaz-Simal, P.; Fernández, F. The Global Flood Protection Savings Provided by Coral Reefs. Nat. Commun. 2018, 9, 2186. [Google Scholar] [CrossRef]
- Spalding, M.; Burke, L.; Wood, S.A.; Ashpole, J.; Hutchison, J.; Zu Ermgassen, P. Mapping the Global Value and Distribution of Coral Reef Tourism. Mar. Policy 2017, 82, 104–113. [Google Scholar] [CrossRef]
- Burke, L.M.; Reytar, K.; Spalding, M.; Perry, A. Reefs at Risk Revisited; World Resources Institute: Washington, DC, USA, 2017; Available online: https://files.wri.org/d8/s3fs-public/pdf/reefs_at_risk_revisited.pdf (accessed on 5 September 2022).
- Obura, D.O.; Appeltans, W.; Amornthammarong, N.; Aeby, G.; Bax, N.J.; Bishop, J.; Brainard, R.E.; Chan, S.; Fletcher, P.; Gordon, T.A.C. Coral Reef Monitoring, Reef Assessment Technologies, and Ecosystem-Based Management. Front. Mar. Sci. 2019, 6, 580. [Google Scholar] [CrossRef]
- Wilkinson, C.R.; Souter, D. Status of Caribbean Coral Reefs after Bleaching and Hurricanes in 2005. 2008. Available online: https://www.coris.noaa.gov/activities/caribbean_rpt/ (accessed on 23 April 2022).
- Glynn, P.W. State of Coral Reefs in the Galápagos Islands: Natural vs Anthropogenic Impacts. Mar. Pollut. Bull. 1994, 29, 131–140. [Google Scholar] [CrossRef]
- Hochberg, E.J.; Atkinson, M.J.; Andréfouët, S. Spectral Reflectance of Coral Reef Bottom-Types Worldwide and Implications for Coral Reef Remote Sensing. Remote Sens. Environ. 2003, 85, 159–173. [Google Scholar] [CrossRef]
- Wilkinson, C. Status of Coral Reefs of the World: 2008; Global Coral Reef Monitoring Network and Reef and Rainforest Research Centre: Townsville, QLD, Australia, 2008. [Google Scholar]
- Roth, C.H.; Addison, J.; Anthony, K.; Dale, A.; Eberhard, R.; Hobday, A.; Horner, N.J.; Jarvis, D.; Kroon, K.; Stone-Jovicich, S. Reef 2050 Plan Review Options. Final Rep. Submitt. to Dep. Environ. Energy. Canberra CSIRO, Australia. 2017. Available online: https://www.dcceew.gov.au/sites/default/files/documents/reef2050-plan-review-options-final-report.pdf (accessed on 5 September 2022).
- Purkis, S.; Roelfsema, C. 11 Remote Sensing of Submerged Aquatic Vegetation and Coral Reefs. Remote Sens. Wetl. Appl. Adv. 2015, 223. [Google Scholar] [CrossRef]
- O’Neill, J.D.; Costa, M. Mapping Eelgrass (Zostera Marina) in the Gulf Islands National Park Reserve of Canada Using High Spatial Resolution Satellite and Airborne Imagery. Remote Sens. Environ. 2013, 133, 152–167. [Google Scholar] [CrossRef]
- Gao, J. Bathymetric Mapping by Means of Remote Sensing: Methods, Accuracy and Limitations. Prog. Phys. Geogr. 2009, 33, 103–116. [Google Scholar] [CrossRef]
- Zhang, Z.; Zhang, J.; Ma, Y.; Tian, H.; Jiang, T. Retrieval of Nearshore Bathymetry around Ganquan Island from LiDAR Waveform and QuickBird Image. Appl. Sci. 2019, 9, 4375. [Google Scholar] [CrossRef]
- Chybicki, A. Mapping South Baltic Near-Shore Bathymetry Using Sentinel-2 Observations. Polish Marit. Res. 2017, 24, 15–25. [Google Scholar] [CrossRef]
- Mumby, P.J.; Hedley, J.D.; Chisholm, J.R.M.; Clark, C.D.; Ripley, H.; Jaubert, J. The Cover of Living and Dead Corals from Airborne Remote Sensing. Coral Reefs 2004, 23, 171–183. [Google Scholar] [CrossRef]
- Polcyn, F.C.; Lyzenga, D.R. Remote Bathymetry and Shoal Detection with ERTS: ERTS Water Depth. 1975. Available online: https://ntrs.nasa.gov/api/citations/19750014800/downloads/19750014800.pdf (accessed on 14 May 2021).
- Dekker, A.G.; Phinn, S.R.; Anstee, J.; Bissett, P.; Brando, V.E.; Casey, B.; Fearns, P.; Hedley, J.; Klonowski, W.; Lee, Z.P. Intercomparison of Shallow Water Bathymetry, Hydro-optics, and Benthos Mapping Techniques in Australian and Caribbean Coastal Environments. Limnol. Oceanogr. Methods 2011, 9, 396–425. [Google Scholar] [CrossRef]
- Lyzenga, D.R. Shallow-Water Bathymetry Using Combined Lidar and Passive Multispectral Scanner Data. Int. J. Remote Sens. 1985, 6, 115–125. [Google Scholar] [CrossRef]
- Philpot, W.D. Bathymetric Mapping with Passive Multispectral Imagery. Appl. Opt. 1989, 28, 1569–1578. [Google Scholar] [CrossRef]
- Stumpf, R.P.; Holderied, K.; Sinclair, M. Determination of Water Depth with High-resolution Satellite Imagery over Variable Bottom Types. Limnol. Oceanogr. 2003, 48, 547–556. [Google Scholar] [CrossRef]
- Lee, Z.; Casey, B.; Arnone, R.A.; Weidemann, A.D.; Parsons, R.; Montes, M.J.; Gao, B.-C.; Goode, W.; Davis, C.O.; Dye, J. Water and Bottom Properties of a Coastal Environment Derived from Hyperion Data Measured from the EO-1 Spacecraft Platform. J. Appl. Remote Sens. 2007, 1, 11502. [Google Scholar]
- Caballero, I.; Stumpf, R.P.; Meredith, A. Preliminary Assessment of Turbidity and Chlorophyll Impact on Bathymetry Derived from Sentinel-2A and Sentinel-3A Satellites in South Florida. Remote Sens. 2019, 11, 645. [Google Scholar] [CrossRef]
- Linklater, M.; Hamylton, S.M.; Brooke, B.P.; Nichol, S.L.; Jordan, A.R.; Woodroffe, C.D. Development of a Seamless, High-Resolution Bathymetric Model to Compare Reef Morphology around the Subtropical Island Shelves of Lord Howe Island and Balls Pyramid, Southwest Pacific Ocean. Geosciences 2018, 8, 11. [Google Scholar] [CrossRef]
- Lafon, V.; Froidefond, J.M.; Lahet, F.; Castaing, P. SPOT shallow water bathymetry of a moderately turbid tidal inlet based on field measurements. Remote Sens. Environ. 2002, 81, 136–148. [Google Scholar] [CrossRef]
- Cahalane, C.; Magee, A.; Monteys, X.; Casal, G.; Hanafin, J.; Harris, P. A Comparison of Landsat 8, RapidEye and Pleiades Products for Improving Empirical Predictions of Satellite-Derived Bathymetry. Remote Sens. Environ. 2019, 233, 111414. [Google Scholar] [CrossRef]
- Geyman, E.C.; Maloof, A.C. A Simple Method for Extracting Water Depth from Multispectral Satellite Imagery in Regions of Variable Bottom Type. Earth Space Sci. 2019, 6, 527–537. [Google Scholar] [CrossRef]
- Legleiter, C.J.; Roberts, D.A.; Lawrence, R.L. Spectrally Based Remote Sensing of River Bathymetry. Earth Surf. Process. Landf. 2009, 34, 1039–1059. [Google Scholar] [CrossRef]
- Legleiter, C.J.; Fosness, R.L. Defining the Limits of Spectrally Based Bathymetric Mapping on a Large River. Remote Sens. 2019, 11, 665. [Google Scholar] [CrossRef]
- Shen, W.; Ji, Q.; Qiu, Y.; Wu, Z. The GF-2 Capability Analysis in Shallow Water Remote Sensing Bathymetry. In Proceedings of the IGARSS 2019-2019 IEEE International Geoscience and Remote Sensing Symposium, Yokohama, Japan, 28 July–2 August 2019; IEEE: Piscataway, NJ, USA, 2019; pp. 8253–8256. [Google Scholar]
- Cloarec, M.; Dubranna, J.; Ranchin, T. SAR-Based Techniques to Extract Bathymetric Features; XIVe Journées Nationales du Génie Côtier—Génie Civil: Toulon, France, 2016; Available online: https://hal-mines-paristech.archives-ouvertes.fr/hal-01417051/document (accessed on 5 September 2022).
- Xu, Q.; Zheng, Q.; Zhang, S.; Li, X. 8 SAR Detection of Ocean Bottom Topography. In Advances in SAR Remote Sensing of Oceans; CRC Press: Boca Raton, FL, USA, 2018. [Google Scholar]
- Alpers, W.; Hennings, I. A Theory of the Imaging Mechanism of Underwater Bottom Topography by Real and Synthetic Aperture Radar. J. Geophys. Res. Ocean. 1984, 89, 10529–10546. [Google Scholar] [CrossRef]
- Shuchman, R.A.; Lyzenga, D.R.; Meadows, G.A. Synthetic Aperture Radar Imaging of Ocean-Bottom Topography via Tidal-Current Interactions: Theory and Observations. Int. J. Remote Sens. 1985, 6, 1179–1200. [Google Scholar] [CrossRef]
- Romeiser, R.; Alpers, W. An Improved Composite Surface Model for the Radar Backscattering Cross Section of the Ocean Surface: 2. Model Response to Surface Roughness Variations and the Radar Imaging of Underwater Bottom Topography. J. Geophys. Res. Ocean. 1997, 102, 25251–25267. [Google Scholar] [CrossRef]
- Vogelzang, J. Mapping Submarine Sand Waves with Multiband Imaging Radar: 1. Model Development and Sensitivity Analysis. J. Geophys. Res. Ocean. 1997, 102, 1163–1181. [Google Scholar] [CrossRef]
- Pleskachevsky, A.; Lehner, S.; Heege, T.; Mott, C. Synergy and Fusion of Optical and Synthetic Aperture Radar Satellite Data for Underwater Topography Estimation in Coastal Areas. Ocean Dyn. 2011, 61, 2099–2120. [Google Scholar] [CrossRef]
- Pereira, P.; Baptista, P.; Cunha, T.; Silva, P.A.; Romão, S.; Lafon, V. Estimation of the Nearshore Bathymetry from High Temporal Resolution Sentinel-1A C-Band SAR Data-A Case Study. Remote Sens. Environ. 2019, 223, 166–178. [Google Scholar] [CrossRef]
- Chelton, D.B.; Ries, J.C.; Haines, B.J.; Fu, L.-L.; Callahan, P.S. Satellite Altimetry. In International Geophysics; Elsevier: Amsterdam, The Netherlands, 2001; Volume 69, pp. 1–2. ISBN 0074-6142. [Google Scholar]
- Li, Y.; Gao, H.; Zhao, G.; Tseng, K.-H. A High-Resolution Bathymetry Dataset for Global Reservoirs Using Multi-Source Satellite Imagery and Altimetry. Remote Sens. Environ. 2020, 244, 111831. [Google Scholar] [CrossRef]
- Smith, W.H.F.; Sandwell, D.T.; Raney, R.K. Bathymetry from Satellite Altimetry: Present and Future. In Proceedings of the OCEANS 2005 MTS/IEEE, Washington, DC, USA, 17–23 September 2005; pp. 2586–2589. [Google Scholar]
- Salameh, E.; Frappart, F.; Marieu, V.; Spodar, A.; Parisot, J.-P.; Hanquiez, V.; Turki, I.; Laignel, B. Monitoring Sea Level and Topography of Coastal Lagoons Using Satellite Radar Altimetry: The Example of the Arcachon Bay in the Bay of Biscay. Remote Sens. 2018, 10, 297. [Google Scholar] [CrossRef]
- Benveniste, J. Radar altimetry: Past, present and future. In Coastal Altimetry; Springer: Berlin/Heidelberg, Germany, 2011; pp. 1–17. [Google Scholar] [CrossRef]
- Ma, Y.; Xu, N.; Liu, Z.; Yang, B.; Yang, F.; Wang, X.H.; Li, S. Satellite-Derived Bathymetry Using the ICESat-2 Lidar and Sentinel-2 Imagery Datasets. Remote Sens. Environ. 2020, 250, 112047. [Google Scholar] [CrossRef]
- Abdallah, H.; Bailly, J.-S.; Baghdadi, N.N.; Saint-Geours, N.; Fabre, F. Potential of Space-Borne LiDAR Sensors for Global Bathymetry in Coastal and Inland Waters. IEEE J. Sel. Top. Appl. Earth Obs. Remote Sens. 2012, 6, 202–216. [Google Scholar] [CrossRef]
- McCormick, M.P. Airborne and Spaceborne Lidar. In Lidar; Springer: Berlin/Heidelberg, Germany, 2005; pp. 355–397. [Google Scholar]
- Costa, B.M.; Battista, T.A.; Pittman, S.J. Comparative Evaluation of Airborne LiDAR and Ship-Based Multibeam SoNAR Bathymetry and Intensity for Mapping Coral Reef Ecosystems. Remote Sens. Environ. 2009, 113, 1082–1100. [Google Scholar] [CrossRef]
- Su, D.; Yang, F.; Ma, Y.; Wang, X.H.; Yang, A.; Qi, C. Propagated Uncertainty Models Arising from Device, Environment, and Target for a Small Laser Spot Airborne LiDAR Bathymetry and Its Verification in the South China Sea. IEEE Trans. Geosci. Remote Sens. 2019, 58, 3213–3231. [Google Scholar] [CrossRef]
- Zawada, D.G.; Brock, J.C. A Multiscale Analysis of Coral Reef Topographic Complexity Using Lidar-Derived Bathymetry. J. Coast. Res. 2009, 10053, 6–15. [Google Scholar] [CrossRef]
- Yang, F.; Su, D.; Ma, Y.; Feng, C.; Yang, A.; Wang, M. Refraction Correction of Airborne LiDAR Bathymetry Based on Sea Surface Profile and Ray Tracing. IEEE Trans. Geosci. Remote Sens. 2017, 55, 6141–6149. [Google Scholar] [CrossRef]
- Westfeld, P.; Maas, H.G.; Richter, K.; Weiß, R. Analysis and Correction of Ocean Wave Pattern Induced Systematic Coordinate Errors in Airborne LiDAR Bathymetry. ISPRS J. Photogramm. Remote Sens. 2017, 128, 314–325. [Google Scholar] [CrossRef]
- Parrish, C.E.; Magruder, L.A.; Neuenschwander, A.L.; Forfinski-Sarkozi, N.; Alonzo, M.; Jasinski, M. Validation of ICESat-2 ATLAS Bathymetry and Analysis of ATLAS’s Bathymetric Mapping Performance. Remote Sens. 2019, 11, 1634. [Google Scholar] [CrossRef]
- Markus, T.; Neumann, T.; Martino, A.; Abdalati, W.; Brunt, K.; Csatho, B.; Farrell, S.; Fricker, H.; Gardner, A.; Harding, D. The Ice, Cloud, and Land Elevation Satellite-2 (ICESat-2): Science Requirements, Concept, and Implementation. Remote Sens. Environ. 2017, 190, 260–273. [Google Scholar] [CrossRef]
- Li, Y.; Gao, H.; Jasinski, M.F.; Zhang, S.; Stoll, J.D. Deriving High-Resolution Reservoir Bathymetry from ICESat-2 Prototype Photon-Counting Lidar and Landsat Imagery. IEEE Trans. Geosci. Remote Sens. 2019, 57, 7883–7893. [Google Scholar] [CrossRef]
- Jasinski, M.F.; Stoll, J.D.; Cook, W.B.; Ondrusek, M.; Stengel, E.; Brunt, K. Inland and Near-Shore Water Profiles Derived from the High-Altitude Multiple Altimeter Beam Experimental Lidar (MABEL). J. Coast. Res. 2016, 76, 44–55. [Google Scholar] [CrossRef]
- Le Bas, T.P.; Huvenne, V.A.I. Acquisition and Processing of Backscatter Data for Habitat Mapping–Comparison of Multibeam and Sidescan Systems. Appl. Acoust. 2009, 70, 1248–1257. [Google Scholar] [CrossRef]
- Colbo, K.; Ross, T.; Brown, C.; Weber, T. A Review of Oceanographic Applications of Water Column Data from Multibeam Echosounders. Estuar. Coast. Shelf Sci. 2014, 145, 41–56. [Google Scholar] [CrossRef]
- Key, W.H. Side Scan Sonar Technology. In Proceedings of the OCEANS 2000 MTS/IEEE Conference and Exhibition, (Cat. No. 00CH37158), Providence, RI, USA, 11–14 September 2000; IEEE: Piscataway, NJ, USA, 2000; Volume 2, pp. 1029–1033. [Google Scholar]
- Kolev, N. Sonar Systems; Intechopen: London, UK, 2011; BoD–Books on Demand; ISBN1 978-953-307-345-3. Available online: https://www.intechopen.com/books/218 (accessed on 5 September 2022)ISBN2 978-953-307-345-3.
- Klemas, V. Remote Sensing Techniques for Studying Coastal Ecosystems: An Overview. J. Coast. Res. 2011, 27, 2–17. [Google Scholar]
- Bio, A.; Gonçalves, J.A.; Magalhães, A.; Pinheiro, J.; Bastos, L. Combining Low-Cost Sonar and High-Precision Global Navigation Satellite System for Shallow Water Bathymetry. Estuaries Coasts 2020, 45, 1000–1011. [Google Scholar] [CrossRef]
- Klemas, V.V. Remote Sensing of Submerged Aquatic Vegetation. In Seafloor Mapping along Continental Shelves; Springer: Berlin/Heidelberg, Germany, 2016; pp. 125–140. [Google Scholar]
- Jawak, S.D.; Vadlamani, S.S.; Luis, A.J. A Synoptic Review on Deriving Bathymetry Information Using Remote Sensing Technologies: Models, Methods and Comparisons. Adv. Remote Sens. 2015, 4, 147. [Google Scholar] [CrossRef]
- Xu, J.; Zhao, D. Review of Coral Reef Ecosystem Remote Sensing. Acta Ecol. Sin. 2014, 34, 19–25. [Google Scholar] [CrossRef]
- Hochberg, E.J.; Atkinson, M.J. Capabilities of Remote Sensors to Classify Coral, Algae, and Sand as Pure and Mixed Spectra. Remote Sens. Environ. 2003, 85, 174–189. [Google Scholar] [CrossRef]
- Ghirardi, N.; Bolpagni, R.; Bresciani, M.; Valerio, G.; Pilotti, M.; Giardino, C. Spatiotemporal Dynamics of Submerged Aquatic Vegetation in a Deep Lake from Sentinel-2 Data. Water 2019, 11, 563. [Google Scholar] [CrossRef]
- Roelfsema, C.; Kovacs, E.; Ortiz, J.C.; Wolff, N.H.; Callaghan, D.; Wettle, M.; Ronan, M.; Hamylton, S.M.; Mumby, P.J.; Phinn, S. Coral Reef Habitat Mapping: A Combination of Object-Based Image Analysis and Ecological Modelling. Remote Sens. Environ. 2018, 208, 27–41. [Google Scholar] [CrossRef]
- Visser, F.; Wallis, C.; Sinnott, A.M. Optical Remote Sensing of Submerged Aquatic Vegetation: Opportunities for Shallow Clearwater Streams. Limnologica 2013, 43, 388–398. [Google Scholar] [CrossRef]
- Silva, T.S.F.; Costa, M.P.F.; Melack, J.M.; Novo, E.M.L.M. Remote Sensing of Aquatic Vegetation: Theory and Applications. Environ. Monit. Assess. 2008, 140, 131–145. [Google Scholar] [CrossRef]
- Wedding, L.M.; Friedlander, A.M.; McGranaghan, M.; Yost, R.S.; Monaco, M.E. Using Bathymetric Lidar to Define Nearshore Benthic Habitat Complexity: Implications for Management of Reef Fish Assemblages in Hawaii. Remote Sens. Environ. 2008, 112, 4159–4165. [Google Scholar] [CrossRef]
- Sasano, M.; Yamanouchi, H.; Matsumoto, A.; Kiriya, N.; Hitomi, K.; Tamura, K. Development of Boat-Based Fluorescence Imaging Lidar for Coral Monitoring. In Proceedings of the 12th International Coral Reef Symposium, Cairns, QLD, Australia, 9–13 July 2012; p. 5. [Google Scholar]
- Collin, A.; Ramambason, C.; Pastol, Y.; Casella, E.; Rovere, A.; Thiault, L.; Espiau, B.; Siu, G.; Lerouvreur, F.; Nakamura, N. Very High Resolution Mapping of Coral Reef State Using Airborne Bathymetric LiDAR Surface-Intensity and Drone Imagery. Int. J. Remote Sens. 2018, 39, 5676–5688. [Google Scholar] [CrossRef]
- Collin, A.; Long, B.; Archambault, P. Benthic Classifications Using Bathymetric LIDAR Waveforms and Integration of Local Spatial Statistics and Textural Features. J. Coast. Res. 2011, 62, 86–98. [Google Scholar] [CrossRef]
- Wang, C.-K.; Philpot, W.D. Using Airborne Bathymetric Lidar to Detect Bottom Type Variation in Shallow Waters. Remote Sens. Environ. 2007, 106, 123–135. [Google Scholar] [CrossRef]
- Valley, R.D. Case Study Spatial and Temporal Variation of Aquatic Plant Abundance: Quantifying Change. J. Aquat. Plant Manag. 2016, 54, 95–101. [Google Scholar]
- Netherland, M.D.; Jones, K.D. A Three-Year Evaluation of Triclopyr for Selective Whole-Bay Management of Eurasian Watermilfoil on Lake Minnetonka, Minnesota. Lake Reserv. Manag. 2015, 31, 306–323. [Google Scholar] [CrossRef][Green Version]
- Stocks, J.R.; Rodgers, M.P.; Pera, J.B.; Gilligan, D.M. Monitoring Aquatic Plants: An Evaluation of Hydroacoustic, on-Site Digitising and Airborne Remote Sensing Techniques. Knowl. Manag. Aquat. Ecosyst. 2019, 420, 27. [Google Scholar] [CrossRef]
- Greene, A.; Rahman, A.F.; Kline, R.; Rahman, M.S. Side Scan Sonar: A Cost-Efficient Alternative Method for Measuring Seagrass Cover in Shallow Environments. Estuar. Coast. Shelf Sci. 2018, 207, 250–258. [Google Scholar] [CrossRef]
- Collier, J.S.; Humber, S.R. Time-Lapse Side-Scan Sonar Imaging of Bleached Coral Reefs: A Case Study from the Seychelles. Remote Sens. Environ. 2007, 108, 339–356. [Google Scholar] [CrossRef]
- da Silveira, C.B.L.; Strenzel, G.M.R.; Maida, M.; Gaspar, A.L.B.; Ferreira, B.P. Coral Reef Mapping with Remote Sensing and Machine Learning: A Nurture and Nature Analysis in Marine Protected Areas. Remote Sens. 2021, 13, 2907. [Google Scholar] [CrossRef]
- Gapper, J.J.; El-Askary, H.; Linstead, E.; Piechota, T. Coral Reef Change Detection in Remote Pacific Islands Using Support Vector Machine Classifiers. Remote Sens. 2019, 11, 1525. [Google Scholar] [CrossRef]
- Tonion, F.; Pirotti, F.; Faina, G.; Paltrinieri, D. A machine learning approach to multispectral satellite derived bathymetry. ISPRS Ann. Photogramm. Remote Sens. Spat. Inf. Sci. 2020, 3, 565–570. [Google Scholar] [CrossRef]
- United Nations. Transforming Our World: The 2030 Agenda for Sustainable Development. Available online: https://sdgs.un.org/2030agenda (accessed on 25 September 2022).
- Snapir, B.; Waine, T.; Biermann, L. Maritime Vessel Classification to Monitor Fisheries with SAR: Demonstration in the North Sea. Remote Sens. 2019, 11, 353. [Google Scholar] [CrossRef]
- Lee, M.-A.; Weng, J.-S.; Lan, K.-W.; Vayghan, A.H.; Wang, Y.-C.; Chan, J.-W. Empirical Habitat Suitability Model for Immature Albacore Tuna in the North Pacific Ocean Obtained Using Multisatellite Remote Sensing Data. Int. J. Remote Sens. 2020, 41, 5819–5837. [Google Scholar] [CrossRef]
- Chassot, E.; Bonhommeau, S.; Reygondeau, G.; Nieto, K.; Polovina, J.J.; Huret, M.; Dulvy, N.K.; Demarcq, H. Satellite Remote Sensing for an Ecosystem Approach to Fisheries Management. ICES J. Mar. Sci. 2011, 68, 651–666. [Google Scholar] [CrossRef]
- Dauwalter, D.C.; Fesenmyer, K.A.; Bjork, R.; Leasure, D.R.; Wenger, S.J. Satellite and Airborne Remote Sensing Applications for Freshwater Fisheries. Fisheries 2017, 42, 526–537. [Google Scholar] [CrossRef]
- Dauwalter, D.C.; Fesenmyer, K.A.; Bjork, R. Using Aerial Imagery to Characterize Redband Trout Habitat in a Remote Desert Landscape. Trans. Am. Fish. Soc. 2015, 144, 1322–1339. [Google Scholar] [CrossRef]
- Wenger, S.J.; Isaak, D.J.; Luce, C.H.; Neville, H.M.; Fausch, K.D.; Dunham, J.B.; Dauwalter, D.C.; Young, M.K.; Elsner, M.M.; Rieman, B.E.; et al. Flow Regime, Temperature, and Biotic Interactions Drive Differential Declines of Trout Species under Climate Change. Proc. Natl. Acad. Sci. USA 2011, 108, 14175–14180. [Google Scholar] [CrossRef]
- Rieman, B.E.; Hessburg, P.F.; Luce, C.; Dare, M.R. Wildfire and Management of Forests and Native Fishes: Conflict or Opportunity for Convergent Solutions? Bioscience 2010, 60, 460–468. [Google Scholar] [CrossRef]
- Nurdin, S.; Mustapha, M.A.; Lihan, T.; Zainuddin, M. Applicability of Remote Sensing Oceanographic Data in the Detection of Potential Fishing Grounds of Rastrelliger Kanagurta in the Archipelagic Waters of Spermonde, Indonesia. Fish. Res. 2017, 196, 1–12. [Google Scholar] [CrossRef]
- Lan, K.-W.; Shimada, T.; Lee, M.-A.; Su, N.-J.; Chang, Y. Using Remote-Sensing Environmental and Fishery Data to Map Potential Yellowfin Tuna Habitats in the Tropical Pacific Ocean. Remote Sens. 2017, 9, 444. [Google Scholar] [CrossRef]
- Harris, J.M.; Nelson, J.A.; Rieucau, G.; Broussard, W.P. Use of Drones in Fishery Science. Trans. Am. Fish. Soc. 2019, 148, 687–697. [Google Scholar] [CrossRef]
- Cheng, B.; Liang, C.; Liu, X.; Liu, Y.; Ma, X.; Wang, G. Research on a Novel Extraction Method Using Deep Learning Based on GF-2 Images for Aquaculture Areas. Int. J. Remote Sens. 2020, 41, 3575–3591. [Google Scholar] [CrossRef]
- Lu, Y.; Shao, W.; Sun, J. Extraction of Offshore Aquaculture Areas from Medium-Resolution Remote Sensing Images Based on Deep Learning. Remote Sens. 2021, 13, 3854. [Google Scholar] [CrossRef]












| RS System (Passive/Active) | RS System (Type) | Advantage | Disadvantage |
|---|---|---|---|
| Passive | Optical | High spatial resolution and relatively simple to visualize and identify icebergs | Atmospheric condition, subject to cloud cover, and lack of solar radiation in polar regions |
| Active | SAR | Provide all-weather data with a high spatial resolution | Narrow swath and incidence angle dependencies |
| Scatterometer | All-weather data acquisition | Coarse spatial revolution | |
| Altimeter | Can be employed for automatic and simple identification of icebergs based on their signature on waveform echo | Relatively coarse spatial resolution, requires high caution in SI prone areas | |
| HF radar | Large-scale area coverage, high spatial resolution, cost effective | Lack of data availability due to the limited number of HF radars |
| RS System (Passive/Active) | RS System (Type) | Advantage | Disadvantage |
|---|---|---|---|
| Passive | Optical | Availability of different optical RS systems, long time data archive, straightforward data interpretation | Data missing in cloud covered areas, only daytime imagery, thin ice and ocean surface spectral similarity, similar reflectance of snow and ice |
| TIR radiometers | Good discrimination between ice and ocean surface, can provide temperature data | Data missing in cloud- covered areas, difficulty in discriminating melting ice or newly formed thin ice and water at the freezing | |
| Microwave radiometers | Not limited by cloud cover and daytime, contain physical properties, almost daily global coverage, long time data archive | Very low spatial resolution, mixed pixel (different ice types and coastal areas), low energy and little details | |
| GNSS | Very good revisit time can be achieved by deploying several receivers | Low spatial resolution, extra facilities required to be deployed | |
| Active | SAR | Not limited by cloud cover or daytime, contains physical properties, high spatial resolution, Different data acquisition modes are available, ability to detect small leads, penetration capability | Difficult data interpretation, speckle noise, different ice types might have similar scattering behavior, similarity of wind roughened water and ice |
| Scatterometer | Not limited by cloud cover or daytime, daily global coverage | Cannot obtain small details, very low spatial resolution, unable to provide image data | |
| Altimeter | Almost daily global coverage, accurate topography for SI thickness measurement, ability to map small leads | Error due to the roughened sea surface, no physical characteristics | |
| LiDAR | Very accurate result, 3D data availability | High cost of data, low data availability, no physical properties | |
| Gravimeter | Suitable for global-scale studies | Limited data availability, not frequent observations | |
| HF radar | Not limited by cloud cover and daytime, long time data archive | Unable to provide images, signal loss in propagation into dense ice, unable to detect SI presence constantly |
| RS System (Passive/Active) | RS System (Type) | Advantage | Disadvantage |
|---|---|---|---|
| Passive | TIR radiometers in LEO | Provides high spatial resolution, frequent revisit times, global coverage, existing retrieval methods, and sensor technologies enable relatively high accuracy for SST retrievals | Limited by cloud cover and atmospheric aerosols, sensitivity of calibration to input parameters., hard to characterize the SST diurnal cycle |
| TIR radiometers in GEO | Views a large portion of the Earth from a fixed point with a wide field of view, ability to capture high temporal resolution (e.g., 15 min) data, which is useful for clear-sky masking and characterization of the SST diurnal cycle | Coarse spatial resolution (~1 km to 5 km), incomplete global coverage (cannot cover completely polar regions), limited by cloud cover and atmospheric aerosols | |
| Microwave radiometers | Multi-frequency/multi-polarization observations, SST retrievals capability under cloudy conditions and through atmospheric aerosols, frequent revisit times, global coverage | Have discontinuous temporal coverage at low latitudes due to the polar orbit, coarse spatial resolution, negatively affected by the radio frequency interference, significant side-lobes, regions with heavy rain, strong winds, and sun-glitter |
| RS System (Passive/Active) | RS System (Type) | Advantage | Disadvantage |
|---|---|---|---|
| Passive | Optical | higher spatial resolution, simple | Only available during daytime in cloud-free conditions |
| Microwave radiometers | All-weather observation, faster global coverage | Low spatial resolution, Affected by land contamination |
| RS System (Passive/Active) | RS System (Type) | Advantage | Disadvantage |
|---|---|---|---|
| Passive | Optical Multispectral | Less costly, easy to use, widely available | Useful only for documentation purposes, acquire images only during the daytime and non-cloudy regions, difficult to distinguish oil from the background, sun glint issue, wind sheen |
| Optical Hyperspectral | Can retrieve the oil slick thickness, richest RS data in terms of spectral information, the possibility of distinguishing the type of oil pollution | Expensive, challenges in the transmission, storage, and real-time processing mainly due to the high dimensionality of hyperspectral images | |
| TIR radiometers | Provides information about the relative thickness of oil spills, less costly, easy to use, widely available | Cannot detect thin layers of OOS and the emulsions of oil in the water, acquires images only during the daytime and non-cloudy regions, interruptive presence of OOS lookalikes, such as seaweeds and shorelines | |
| Microwave radiometers | Provides information about oil spill thickness, provides data in both day and night times, works well in bad weather conditions | Low spatial resolution, existence of false alarms owing to biogenic materials | |
| Active | SAR | Provides data in both day and night times, works well in adverse weather conditions, a good estimate of OOS extent | The success of analysis depends on wind speed, presence of numerous oil spill lookalikes, cannot measure OOS thickness |
| RS System (Passive/Active) | RS System (Type) | Advantage | Disadvantage |
|---|---|---|---|
| Passive | Optical | Low cost, high spatial and temporal resolutions, wide coverage, easy implementation, relatively accurate for CR/AV mapping at shallow water | Dependency on water quality, difficulty in spectral differentiation of AV/CR, poor accuracy at deeper areas, dependency on tome of acquisition and cloud presence |
| Active | SAR | Applicable in all-weather conditions, applicable over large areas | Complicated processing steps, applicable only in the water surface, relatively low accuracy |
| Altimeter | Large swath width and global coverage, data availability of four decades, short revisit time | Very low accuracy, limited wavelength bands | |
| LiDAR | High spatial data density, provides bathymetry data, wide depth range (up to 70 m) | Intensive computational processing of point cloud data, expensive and limited swath width, limited spatial coverage | |
| SONAR | Applicable in both shallow and deep waters, provides vertical information, high accuracy | On-water instrument, relatively more expensive and time-consuming data collection, requires complex processing steps |
Publisher’s Note: MDPI stays neutral with regard to jurisdictional claims in published maps and institutional affiliations. |
© 2022 by the authors. Licensee MDPI, Basel, Switzerland. This article is an open access article distributed under the terms and conditions of the Creative Commons Attribution (CC BY) license (https://creativecommons.org/licenses/by/4.0/).
Share and Cite
Amani, M.; Mehravar, S.; Asiyabi, R.M.; Moghimi, A.; Ghorbanian, A.; Ahmadi, S.A.; Ebrahimy, H.; Moghaddam, S.H.A.; Naboureh, A.; Ranjgar, B.; et al. Ocean Remote Sensing Techniques and Applications: A Review (Part II). Water 2022, 14, 3401. https://doi.org/10.3390/w14213401
Amani M, Mehravar S, Asiyabi RM, Moghimi A, Ghorbanian A, Ahmadi SA, Ebrahimy H, Moghaddam SHA, Naboureh A, Ranjgar B, et al. Ocean Remote Sensing Techniques and Applications: A Review (Part II). Water. 2022; 14(21):3401. https://doi.org/10.3390/w14213401
Chicago/Turabian StyleAmani, Meisam, Soroosh Mehravar, Reza Mohammadi Asiyabi, Armin Moghimi, Arsalan Ghorbanian, Seyed Ali Ahmadi, Hamid Ebrahimy, Sayyed Hamed Alizadeh Moghaddam, Amin Naboureh, Babak Ranjgar, and et al. 2022. "Ocean Remote Sensing Techniques and Applications: A Review (Part II)" Water 14, no. 21: 3401. https://doi.org/10.3390/w14213401
APA StyleAmani, M., Mehravar, S., Asiyabi, R. M., Moghimi, A., Ghorbanian, A., Ahmadi, S. A., Ebrahimy, H., Moghaddam, S. H. A., Naboureh, A., Ranjgar, B., Mohseni, F., Nazari, M. E., Mahdavi, S., Mirmazloumi, S. M., Ojaghi, S., & Jin, S. (2022). Ocean Remote Sensing Techniques and Applications: A Review (Part II). Water, 14(21), 3401. https://doi.org/10.3390/w14213401

