Abstract
The increase in the rate of water renewal driven by hydrodynamics contributes to improving the water quality of the plain river network. Taking the lakeside river network in Wuxi as an example, through numerical simulation, polynomial fitting, correlation analysis, and principal component analysis, the hydrodynamic responses of urban lake-connected river networks to water diversion and hydrodynamic grouping were researched. Based on numerical model and influence weight analysis, we explored the improvement of hydrodynamic conditions of plain river network with strong human intervention and high algal water diversion. The results showed that: (1) The relationship between water diversion impact on river network flow velocity and water diversion flux was not as simple a linear relationship. It could be reflected by polynomial. The water transfer interval in dry season with high hydrodynamic efficiency (HE) was lower than 10 m3/s and higher than 30 m3/s, and the HE increased significantly when the water transfer flow was higher than 20 m3/s in the wet season. (2) According to the main hydrodynamic driving factors, the channels in the river network could be divided into three types: water conservancy projects, river and lake water level difference, and river channel characteristic. The correlations of rivers’ flow velocity in each group were very high. (3) The influence weights of water conservancy projects, river and lake water level difference, and river channel characteristic on the whole river network dynamics were 65, 21, and 12.4%, respectively, and the other factors contributed 1.6% of the weight.
1. Introduction
Plain urban river networks play an essential role in human survival and life: provision of drinking water, industrial water and farmland irrigation water sources, shipping, flood regulation, etc. [1,2,3]. Hydrodynamic condition significantly affects the realization of its function by acting on the water environment. In recent years, with the process of industrialization and urbanization, an increasing number of anthropogenic regulations such as dams and floodgates [4,5] have been used in river network regulation. As a consequence, the water hydrodynamic condition and environment of rivers in many cities around the world has been gradually changed [6,7]. For example, the Seine River (France) [8], Severn and Thames Rivers (the UK) [9], Murrumbidgee River (Australia) [10]. The influence of these regulation on the hydrodynamic conditions of rivers have gradually become a research hotspot [11,12].
Zhang revealed the possible reasons for the changes of river geometry in Sanshui and Makou stations through in-depth analysis of the collected hydrodynamic data [13]. The results showed that the depletion of sediment load caused by the construction of reservoirs in the upper reaches of the Pearl River. Quinlan conducted a study on the relationship between water and sediment in the Ian Highland River regulated by small weir and tributary diversion in northwest England to prove the stability of river system in the study section [14]. To demonstrate the relative effect of regulation practices and observed climate change, Ashraf presented results from a spatial-temporal study of two adjacent rivers in Northern Europe with similar climate and catchment conditions, which displayed that about 50% of total change in observed range variability approach (RVA) in the river Kemijoki was estimated to result from regulation practices [15]. Tena, through measurement, found that dams alter the geomorphological functioning of the River Ebro basin by altering its flow regime (e.g., reducing mean and maximum discharges), increasing bed stability (armoring) and decreasing turbidity (water clarity) [16].
As a mature research method, numerical simulation is widely applied to study the relationship between the hydrodynamic conditions and regulation of river networks [17]. Le established a hydrodynamic model with node level method to solve the discrete form of Saint-Venant equation. Finite-volume was also applied to solve the one-dimensional convection-dispersion equation [18]. Feng constructed a one-dimensional model system (MIKE 11) to study the influence of the integration of multiple floodgates on the flow pattern and water quality of the river. By comparing with the actual operation, the situation without sluice was evaluated [19]. Cha developed a Bayesian hierarchical model to assess the relative importance of summer cyanobacteria abundance predictors in four major regulated rivers in South Korea [20]. Zhang combined with the regional and surface characteristics of the tidal current network in the plain, established a hydrodynamic model coupled with two-dimensional flood evolution and river network drainage unit (RNDU) watershed simulation [21]. The model could simulate the operation effect of water pump and sluice for river regulation. Wang put forward two water distribution schemes in view of the rational utilization of water resources and the improvement of water quality of the two rivers network in Tongzhou District based on a one-dimensional water quantity model of MIKE 11 [22].
The above scholars have made important contributions to the research of the river regulation’s impacts on the hydrodynamic conditions of river network [23], especially the negative impact of river regulation behavior on the water environment of large and medium-sized basins. On the contrary, there are still many regulation projects in the world aimed at improving the hydrodynamic conditions and water environment of river networks in small cities [24]. However, the number of studies on the positive response of urban river networks to these small regulation projects is not only small, but also not detailed [25]. The specific manifestations are as follows: (a) In existing research in this field, most of them are directed at small dam or floodgate [18,26,27]. There are few studies that contrapose the improvement of urban river networks hydrodynamic conditions through flow regulation and the quantitative response of river network hydrodynamic conditions to water diversion flow. (b) In these studies, one-dimensional numerical models were often used to evaluate the hydrodynamic changes of river networks [28]. (c) The role of lakes connected to water systems in the system was rarely considered [29].
In this study, the urban lake-connected river network in Binhu District of Wuxi City which drives water from Taihu Lake through Meiliang Pumping stations was selected as the example. The eutrophication of Taihu Lake has existed for a long time. High algae water may increase the risk of the formation of black and odorous water bodies in the river network. It is very important to choose the appropriate pumping scheme to optimize the hydrodynamic condition of the river network. Combined with field investigation and numerical simulation experiments, a two-dimensional numerical model of lake-river network system was established to quantitatively study the influence of water diversion on the lake-connected river network hydrodynamic conditions. The innovation could be sketched as three aspects: (1) assessing the response of hydrodynamic conditions to the variety of water diversion through polynomial fitting; (2) the hydrodynamic influence factors of the whole river network and each river under the background of human intervention are analyzed; (3) quantifying the influence weight of different hydrodynamic impact factors of the whole river network under hydraulic regulation and grouped the rivers according to the key hydrodynamic impact factors based on calculation. It is expected that this study can provide a quantitative research basis for finding and maintaining the optimal hydrodynamic state of water bodies in the continuum of lake–river network in the plain area, as well as a theoretical reference for the optimization of water circulation in similar areas with a high degree of anthropogenic interference. This paper presented a weight quantification method for three driving factors of plain river network hydrodynamics under the influence of water diversion. The research on the improvement of hydrodynamic water quality conditions in plain river network areas with strong human intervention had a certain degree of significance.
2. Materials and Methods
2.1. Study Area
The city of Wuxi is located at the lower reaches of the Yangtze River, on the northeastern shore of Taihu Lake, the third largest freshwater lake in China. The region has a population of 6.553 million and a GDP of $156.9 billion in 2017. It is located in a humid north subtropical monsoon climate zone. Precipitation is abundant, with an average annual precipitation of 1,048 mm (Figure 1c). The plain river network in Binhu District of Wuxi City (Figure 1, 31°28′52″ N~31°33′38″ N, 120°13′15″ E~120°20′33″ E) was selected as the study area. It is located in a high-density population area and has a total river length of 79.2 km, an area of 50.1 km2, and a river network density of 1.58 km/km2. There are 74 rivers in the river network, of which 24 rivers are directly connected with Wuli Lake, which is adjacent to Meiliang Bay, Taihu Lake [30], with an area of 8.6 km2 and a shoreline of 21 km.
Figure 1.
Study area map, (a) the geographical location and land use of the study area; (b) the topographic map of the study area and names of main rivers; (c) the annual Gross Domestic Product and the daily rainfall of the study area.
In order to solve the long-standing eutrophication problem of Taihu Lake, the government has reduced the flow of rivers in the upper reaches of Taihu Lake into the lake. However, this reduces the fluctuation of the water level of Taihu Lake, which leads to the slow flow of rivers in this river network located in the lower reaches of Taihu Lake. This may cause the river network to create black and odorous water bodies. In order to avoid this phenomenon, the government set up Meiliang Lake pumping station between Taihu Lake and the river network (Figure 1a) to transfer water from Taihu Lake to artificially regulate the hydrodynamic conditions of the whole plain river network, while eight secondary pumping stations were set up within the river network (Figure 2) for local emergency control (wuxi.gov.cn, accessed on 10 October 2021). Moreover, there are two sewage treatment plants and two water intakes [31] in Binhu District, but they have almost no impact on this river network. Therefore, the impact of water transfer from pumping stations, especially Meiliang Lake pumping station, on the flow rate of river networks is a problem worthy of attention.
Figure 2.
Statistic collection and analysis. (a) Pump station information of the river network (b) YH-S7 technical parameters.
2.2. Data Acquisition and Analysis
In-situ hydrological monitoring was conducted at 70 points in the river network twice from 2018 to 2019, with the wet season in August 2018 and the dry season in March 2019. In terms of hydrological monitoring, YH-S7 current meter (product source: Beijing Tongde Venture Technology Co., Ltd., Beijing, China) is utilized to measure the river velocity (Figure 2b). Considering that the Meiliang Lake pumping station first diverted water into Liangxi River, 10 monitoring points were set on this river, occupying the largest amount. The sections at each point were divided into left, middle, and right banks and middle and bottom layers of the table for monitoring, thus 9 velocity data sample were obtained. Ludianqiao, Mali, and Caowang each have four points, and the rest of the rivers have 1 to 3 monitoring points, respectively, according to their length and the direction of their confluence points for one sample in both seasons. The table in Figure 2 shows the number of monitoring points of 18 main rivers in the river network. The acquired hydrodynamic conditions and water environment of the rivers with similar response law of water diversion could be improved by similar water diversion mode and flux.
Therefore, in order to find out in detail the hydrodynamic correlation and internal structure of the river network under hydraulic regulation, the Pearson correlation analysis [32] and principal component analysis (PCA) in the river network were carried out [33]. In this study area, the key factors affecting the hydrodynamic condition mainly contains water conservancy projects, river and lake water level difference, and river channel characteristic (including geometrical shape, river bed characteristic, flow direction, and so on). Water conservancy projects are often the strongest external power source of plain river networks. The water level difference between rivers and lakes plays an important role in the water exchange between rivers and lakes. The influence of river channel characteristics on water flow structure and energy dissipation cannot be ignored [34]. Therefore, in principal component analysis, we set 3 principal components. The principal component rotation method is the maximum variance rotation. Pearson correlation analysis and principal component analysis were carried out by R-3.5.2 software [35].
2.3. Numerical Experiment
2.3.1. Hydrodynamic Influence Scheme Setting and Quantification
To demonstrate the significant differences resulting from the effects of various water diversion fluxes (QWDF) on different points in the river network, 10 schemes of Meiliang Lake pumping station water diversion were set up (the QWDF were 5, 10, 15, 20, 25, 30, 35, 40, 45, and 50 m3/s, respectively). The Meiliang Lake pumping station, as the north-western constant inflow boundary of the study area, will have a flow input to the Liangxi River that is set exactly according to the 10 kinds of QWDF schemes. Figure 3 shows the pump station and rivers involved in the ten water diversion schemes. Hydrodynamic conditions in the river network under different water diversion schemes were calculated. The polynomial fitting method was used to fit the functional relationship between the main river hydrodynamic conditions and the water diversion flux [36]. The instantaneous change rate of flow velocity (first derivative) was expressed by parameter φ (calculated by Equation (1)), which was quantificationally represented by the influence of water diversion on hydrodynamic conditions in the river network.
where, is the response factor of hydrodynamic conditions to water transfer under different water diversion flux, is the flow velocity; is the water diversion flux of Meiliang Lake pumping station.
Figure 3.
The diversion elucidating scheme and number of monitoring points in each river. These river numbers correspond to the river names in Figure 1.
2.3.2. Model Governing Equation and Numerical Solution
In the current work, the DHI Mike 21 Flow model (FM) was applied to construct 2-dimensional hydrodynamic model of lake-river network water environment to study the impact of hydraulic regulation on river network hydrodynamic conditions. The computational grid was developed by Cartesian coordinates. The model took into account inertia force, earth rotation deflection force, and turbulent viscosity force. The basic equation was shown in Equation (2) [37].
where, is the average water depth; is the difference between the surface and the average water level elevation; is the time; and are the depth-averaged velocity components in the and directions, respectively; is gravity acceleration; is horizontal eddy current viscosity; is Coriolis parameter. Parameter is calculated by Equation (3):
where, is the angular velocity of the earth; is latitude.
Equation (2) can be solved by the following numerical solution:
where, is the conserved physical quantity; and is and direction flux, respectively; is the source and sink term.
Based on the water system condition, the study area was divided into 28,204 triangular meshes (the river network mesh was encrypted). The model contained 68 rivers and a total of 54 boundary flows. The data of boundary conditions and initial conditions was provided by Wuxi Water Conservancy Bureau and Hydrology Bureau. The calculation time step of the model was dynamically adjusted to 30 s, according to the model grid size and water depth condition, ensuring that the CFL number (Courant-Friedrich Levy) was less than 0.8 to meet the requirement of model stability. We used DHI MIKE 2014 for numerical simulation.
3. Results and Discussion
3.1. Model Performance
In the flood (August 2018) and dry season (March 2019), the model calibration and verification work were carried out. According to the calculation, the overall flow direction of the study area was from southwest to northeast, which corresponded with the objective facts. In order to obtain the accurate information of the sensitivity of the model, the Kolmogorov–Smirnov (K-S) test was adopted to obtain the sensitivity indices (SI) of the river network area [24,38]. As one of the most useful and general nonparametric methods for comparing the difference of samples, K-S test becomes sensitive to differences in both location and shape of the empirical cumulative distribution functions of samples. According to the SI, the parameters could be divided into three levels: very sensitive parameters, sensitive parameters and insensitive parameters. Eventually, the posterior distribution of these parameters is calculated and the appropriate value range is found in the simulation to set the initial and boundary conditions. After comparing the calculation with the field investigation, the average relative error (ARE) for current velocity, ARE=|Calculated-Measured|/Measured, was 11.2~23.5% with an average of 19.2%. Therefore, the hydrodynamic numerical model could reflect the hydrodynamic process of river network in Binhu District of Wuxi City scientifically and reasonably (Figure 4a).
Figure 4.
(a) River network model verification and calibration; (b) the flow direction of Xiushui River under different water diversion flux.
3.2. Velocity Distribution under Different QWDF
According to the calculation (Figure 4 and Figure 5), except for Liangxi River and Beijing-Hangzhou Grand Canal, the hydrodynamic conditions of the river network are generally poor. From the field survey, it appears that this is directly related to the fact that gates and small pumping stations have been built in many parts of the river network. Poor hydrodynamics are also partly related to the fact that dredging works are being carried out in some parts of the river network in view of the problems of urban black odor water and algae proliferation. The flow velocity of regional backbone rivers (Liangxi River and the Beijing-Hangzhou Canal) was relatively high; followed by the velocity of Miaojing River, Ludianqiao River, Dongxin River, Miaodong River, and Xiaoxuan River. Weitianli River and Xincheng River had the lowest flow velocity. The variety of QWDF had a significant impact on the river flow velocity in the river network, and this effect was more obvious in the dry season. Under different QWDF, the average coefficient of variation (cv) of flow velocity among 18 rivers in dry season was 0.137, and in wet season was 0.133. When the QWDF was more than 10 m3/s, the coefficient of variation of flow velocity in flood and dry season was relatively stable between 0.40 and 0.43. The relationship between the main river flow velocity and the QWDF of Meiliang Lake pumping station (v − Q) was fitted by cubic polynomial. The flow velocity difference between the rivers was significantly improved when the water flow velocity was above 10 m3/s. The results were shown in Figure 6. It indicated that this method could fit the relationship of 18 rivers’ hydrodynamic conditions and QWDF well (R2 > 0.9, p < 0.001).
Figure 5.
The velocity distribution of the lake-river network system under different water diversion flux in wet and dry season.
Figure 6.
Cubic polynomial fitting curves of Meiliang Lake pumping station water diversion flux and rivers flow velocity are displayed. Note: The grey shadow represents 95% confidence interval.
When the QWDF was 5 m3/s, the hydrodynamic conditions of the river network were the worst, and the average velocity were 5.21 cm/s (dry season) and 5.57 cm/s (wet season). Under this circumstance, Liangxi River had highest velocity 19.32 cm/s (dry season) and 9.75 cm/s (wet season), followed by Xiaoxuan River of which the flow velocity were 7.85 cm/s (dry season) and 7.75 cm/s (wet season). The flow velocity of Weitianli River was lowest. The overall average velocity and velocity difference of river network were growing with the increase of QWDF from 10 to 50 m3/s. Apart from Caowang River, Weitianli River, Xianxuan River, Xincheng River, Xixin River, and Xianjing River, the flow velocity of the other 12 rivers put on with the increase of QWDF. When the QWDF was 50 m3/s, the river with the highest velocity in both wet and dry season was Liangxi River, of which the velocities were 17.37 cm/s, 17.72 cm/s, respectively. The river with the lowest velocity was Xincheng River, of which the velocities were 3.03 and 3.10 cm/s, respectively. The northern part of Xincheng River took in water by means of diversion from a pumping station, while the southern part took in water by potential energy formed by the difference in water level between the lake and river. The inconsistency of the driving direction of the water flow at both ends of the Xincheng River might be the cause of the low flow velocity of the Xincheng River. When the QWDF was less than 50 m3/s, the river with the lowest velocity in flood and dry season was Weitianli River. The response state to the change of water flow was related to river characteristics and seasons.
The flow velocity variety trend of Caowang River, Weitianli River, Xiaoxuan River, Xincheng River, Xixin River, and Xianjing River were distinguished from those of other main rivers. With the rise of QWDF, the average velocity of Xiaoxuan River, Xincheng River, and Xianjing River increased at first, then decreased and finally increased again. While that of Weitianli River and Caowang River reduced at first and then enhanced. Xixin River showed a trend of increasing at first and then fell. Besides, the QWDF at the turning points of the six rivers’ average flow velocity tendency were also inconsistent in different water seasons. For example, the flow velocity of Xiaoxuan River changed from decrease to increase when in dry season, while this threshold was 10 m3/s in wet season. For another instance, during the wet season, when , the flow velocity changed from decrease to increase.
In addition, it was worth noting that, in the Weitianli River, the southern reaches of Caowang River (between the meeting of boundary Li River and Caowang River and Caowang River estuarine) and the southern area of Wuli Lake (Figure 4b), a phenomenon was observed that rivers and lake flow direction was changed with the increase of QWDF. The QWDF threshold leading to the variety of flow direction in the southern part of Wuli Lake were 20 m3/s (dry season) and 15 m3/s (wet season). When the QWDF was less than the threshold, Xiushui River was the inflow boundary of the study area. When the QWDF was greater than the threshold, the Xiushui River become the outflow boundary. When the QWDF was equal to the threshold value, the flow velocity of the Xiushui River was almost zero. While the southern part of the Caowang River was similar to the Weitianli River. Their flow direction changed from westward to eastward.
3.3. Impact of Water Diversion Flux on Hydrodynamic of River Network
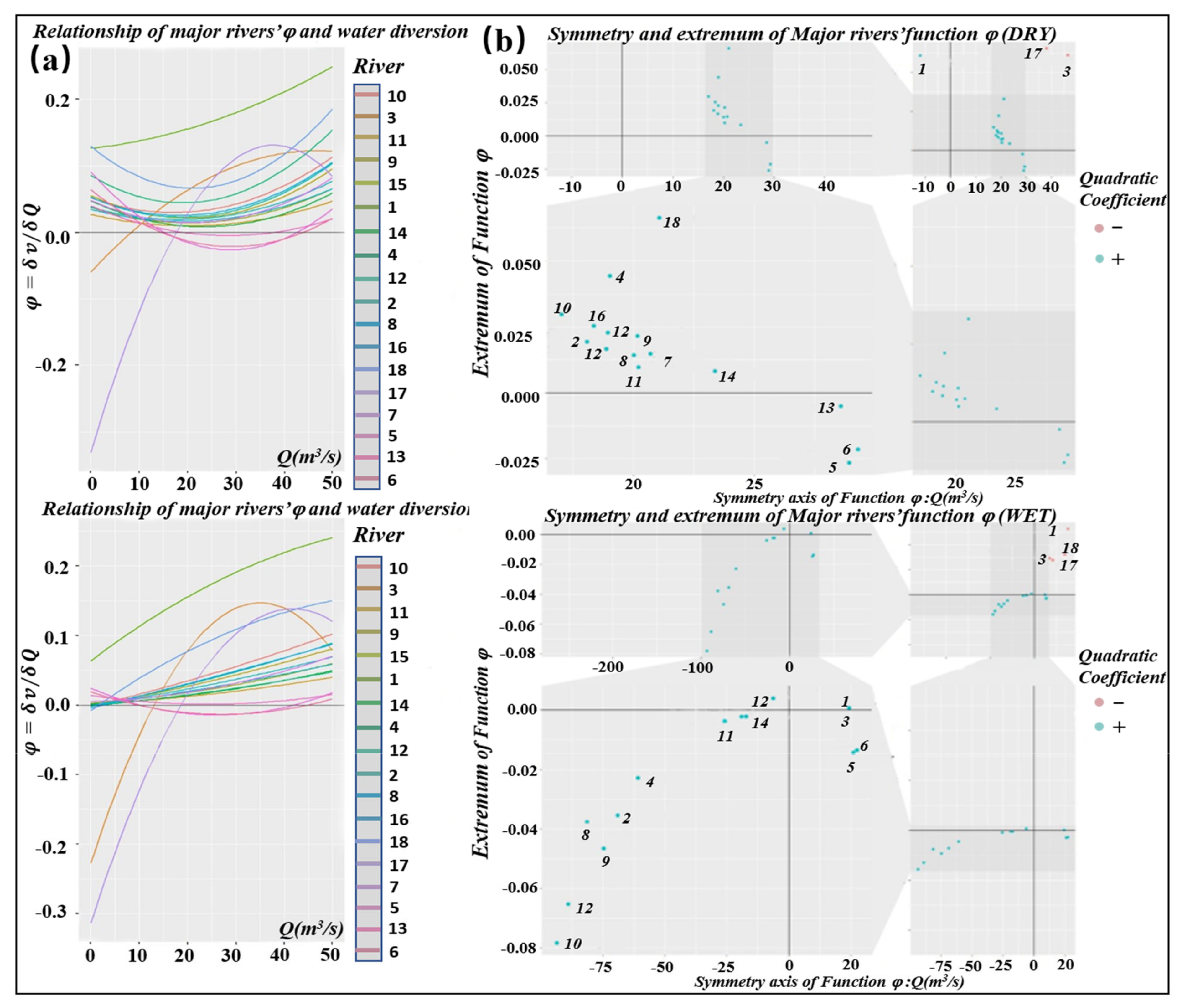
On the basis of Equation (1), the hydrodynamic responses (Figure 7a) of 18 main rivers flow velocity to the QWDF () in wet and dry season under ten water diversion schemes was obtained. Figure 7b shows the vertices of the curve of 18 major rivers, in which the green and yellow points represent the minimum and maximum value of the quadratic function, respectively. The numbers correspond to the river names in Figure 1. For the sake of description, we defined the impact of accelerating the northward and eastward flow of the river as positive impact. On the contrary, the impact of weakening the northward and eastward flow and accelerating the southward and westward flow was viewed as negative impact. The following conclusions could be drawn: (a) Whether in dry season or wet season, Liangxi River was the river most affected by Meiliang Lake pumping station, and the impact was positive; (b) During the dry season, the positive effect of QWDF on the flow velocity of 15 rivers except Liangxi River, Cao Wang River, and Weitianli River decreased at first and then increased, while that of Caowang River and Weitianli River increased at first and then decreased. The positive effect on Liangxi River flow velocity was growing during the whole dry season; (c) During the wet season, the positive impact on Liangxi River and Panbuqiao River increased gradually with the QWDF. The positive impact on Caowang River and Weitianli River increased at first and then decreased, whereas the positive impact on the flow velocity of Xincheng River, Xiaoxuan River and Xixin River decreased at first and then increased. The positive impact on other rivers increased gradually, but the b4 > 0, which was opposite to Liangxi River and Panbuqiao River; (d) In dry season, the symmetry axis of function in 15 of 18 rivers is between , and the extreme value > 0, while in wet season, the symmetry axis of function in most rivers was between , and extreme value of them < 0. The extreme value range of the equation represented the maximum or minimum flow interval in the river network where the flow velocity of the river was most sensitive to changes in the water transfer flow. During the dry season, the flow rate had the most sensitive flow range for water diversion, while the wet season’s flow rate had the least sensitive flow range for water diversion; (e) In the dry season, of the 18 rivers, only five rivers (Caowang River, Xincheng River, Xixin River, Xiaoxuan River, and Weitianli River) had zero points of . functions. Among them, Caowang River and Weitianli River each had a zero point between 0 and 50 m3/s and the other zero point more than 50 m3/s, in contrast the two zero points of Xiaoxuan River, Xincheng River and Xixin River were all between 0 and 50 m3/s. In wet season, only the functions of Xianjing River and Xincheng River did not have zero points, while the functions of other rivers all have zero points. The zero point of the equation represented the transformation of the effect of the change in the flow rate of the water diversion on the increase or decrease of the flow velocity of each river. We found that almost all of the water diversion flow in the wet season had a positive effect on the river flow rate, while the change in the water diversion flow rate in different rivers during the dry season had different effects on the river flow rate. Rivers could be divided into five categories according to the response of flow velocity to changes in water flow: (1) The two zero points that had a big difference. The zero points of Liangxi River’s function were −11.24 and 163.31. (2) The two zero points of which one was range from 0 to 20 and the other was lower than −100. The function zero points of Mali River, Lucun River, Panbuqiao River, Miaodong River, Dongxin River, Beizhuang River, Ludianqiao River and Miaojing River were of this type. (3) Two positive zero points of which one was between 10 and 20 and the other was range from 50 to 70, respectively. This type contains the zero point of Caowang River and Weitianli River. (4) The two zeros of function were both between 0 and 50, including zero points of Xinxin River and Xiaoxuan River function. (5) The negative zeros such as zero points of Dingchangqiao River, Liandaqiao River, and Lixi River function.
Figure 7.
Effect of water diversion flux on flow velocity in river network. (a) The relationship between QWDF and ; (b) Scatter plot of the vertices of the φ − Q curve.
Water transfer can avoid the generation of black and odorous water bodies in the slow-flow plain river network by improving the hydrodynamic condition. In an ideal state, the pump power is proportional to the water flow. Herein, we defined the hydrological efficiency (HE) as “the degree of increase in the flow rate of the river network caused by the increase in unit water transfer rate”. In the case of the same increase in the flow velocity of the whole river network, the higher the HE, the lower the energy consumption of the pumping station and the lower the operating cost. Regarding 10 m3/s as a water transfer flow increment interval, through numerical simulation, water transfer flow interval with the highest and the lowest HE of the entire river network could be obtained (Table 1 and Figure 7). In dry season, the water transfer flow range with the lowest HE was 20~30 m3/s. When the water flow rate was higher than 30 m3/s, the HE was increased to more than twice the previous. In wet season, the water transfer flow range with the lowest HE was 0~10 m3/s. When the water transfer flow was higher than 20 m3/s, the HE was increased to more than three times the previous. The range of water transfer flow with highest HE in wet and dry season were both between 40 and 50 m3/s. The low flow of water transfer (0~20 m3/s) in dry season had a more significant effect on improving the hydrodynamic conditions of the plain river network than in wet season. Overall, in dry season, when the water transfer flow was lower than 10 m3/s or higher than 30 m3/s, the water transfer could significantly increase the flow velocity of the river network. In wet season, when the water flow was higher than 20 m3/s, the water transfer could significantly increase the flow velocity of the river network. The government could adjust the division of water transfer zones according to demand. This research could provide reference for the local government to formulate the water quality control plan of this river network and to improve the hydrodynamics of the plain river network of the same sample.
Table 1.
Variation of river network flow rate in different water transfer intervals.
3.4. Variety of on Different Rivers
On the grounds of fitting, the cubic polynomial could reflect the relationship between river flow velocity and QWDF in the river network. In fact, the performance of in curve was not only driven by , but also affected by many other factors, such as water level difference, topography, river bottom roughness, precipitation, river geometric curvature, and so on [39]. If we set the impact factors except for on to , then theoretically and should be calculated from Equations (5) and (6):
If we use the cubic polynomial to fit Equation (5), the relation and relation were able to be drawn as follows:
From Equation (8), we found that if ceteris paribus, the impact of QWDF on each river would vary with the change of QWDF, there would be a quadratic function relationship between them. Among the river network, the impacts of same QWDF on different rivers were not identical, which was mainly caused by other factors (). The properties of quadratic function represented different meanings: the opening direction of parabola determined the plus or minus correlation coefficient between and ; the axis of symmetry determined value when the trend of changed; the extreme value indicated the maximum (opening down) or minimum (opening upward) of the positive impact on the velocity of flow; while the zero point of function showed the value when variety of had no influence on . The above attributes of parabola were all controlled by factors except for QWDF.
The influence on Liangxi River, which was most directly affected by Meiliang Lake pumping station, increased monotonously in that its symmetry axis was outside the range of 5 m3/s < < 50 m3/s.
Because Caowang River was strongly backed by the Li River, there was a local retention or even countercurrent (from east to west) between Caowang River estuary and the meeting of Caowang River and Li River. With the continuous increase of the flow, the detention point moved eastward. When the retention point moved to the meeting of Li River and Caowang River, the jacking action disappeared. When the QWDF continued to increase, the flow direction of Caowang River and Weitianli River kept stable eastward. Therefore, the Weitianli River and Caowang River showed the different value where the trend changed with other rivers. The overall water level and water quantity were relatively high during the wet season. As a consequence, the Panbuqiao River which originates from Caowang River, showed the same trend as Cao Wangjing.
For the river-lake system, in addition to the flow of pumping stations, the lake effect is also an important hydrodynamic impact factor. When the discharge of the river is lower than the critical support discharge, the hydrodynamic force provided by the river-lake water level difference can supplement the hydrodynamic force of the river network [40]. The effect of lake buffering on the flow velocity of river network is particularly prominent, especially when the flow velocity of the channel through the lake [41]. Several rivers’ increased with the growing of QWDF at first and then decreased. We speculate that it was related to the lake effect. According to the calculation of the model, at the beginning, with the increase of , the lake water level also showed a slight growth trend. In other words, the diversion water replenished the Wuli lake. When reached 20 m3/s, the average lake water level began to stabilize gradually. When reached 35 m3/s, the lake water level basically remained unchanged. This meant that the buffering effect of Wuli Lake began to be reflected at the QWDF of 20 m3/s to 35 m3/s, and before the this, the water level difference of lake and river network complemented the insufficient hydrodynamic force in the river network. As a consequence, the symmetry axis of many rivers’ curve ( value when the trend of relation changes) was between 20 m3/s < < 35 m3/s.
3.5. Hydrodynamic Key Impact Factors and Rivers Grouping
In the correlation analysis in Figure 8a, blue represents positive correlation and red represents negative correlation. The darker color, the bigger area of sector, the stronger correlation it represents. According to the correlation analysis, there was a negative correlation (correlation coefficient was between −0.85 and −0.21) among the flow velocity of Xixin River together with Xiaoxuan River and other rivers. Relatively weak positive correlations among the flow velocity of Lucun River along with Xincheng River and other rivers was observed, and the correlation coefficients were the in range of 0.35 and 0.81. While all other rivers showed significant positive correlation with each other. Most of the correlation coefficients were more than 0.9. This may indicate that the main hydrodynamic impact factors of Xixin River, Xiaoxuan River, Lucun River, and Xincheng River were different from those of other rivers in the whole river network.
Figure 8.
(a) Flow velocity correlation of 18 rivers under 10 water diversion schemes; (b) Principal component analysis; (c) Spatial distribution of three types of rivers based on principal component analysis.
Figure 8b is a principal component analysis diagram, where black, blue, and red represent rivers that are mainly affected by water diversion effects, lake effects, and river characteristics, respectively. These numbers correspond to the river names in Figure 1. Further, according to the PCA, the component load of the first principal component was 11.702. The second and third principal component loads were 3.78 and 2.235, respectively. On the first principal component, the component loads of Liangxi River (0.906), Caowang River (0.951), Panbuqiao River (0.912), Xianjing River (0.943), and Miaojing River (0.916) were all greater than 0.9. Moreover, there were also ten rivers, such as Mali River (0.848), Miaodong River (0.864), and Beizhuang River (0.899), whose loads on the first principal component were more than 0.8. These rivers’ bottom roughness and elevation had little difference, and the channel shape of them was relatively close. With the QWDF increase, the flow velocity of these river obviously increased. Combined with the change of flow velocity distribution in the calculation, the first principal component may reflect the water diversion effect of Meiliang Lake pumping station. Considering the third principal component of the PCA, Xincheng River had a load of up to 0.844 on this component. We believed that the third principal component represented influence of river’s characteristics itself. Throughout all 18 rivers in the river network, most of their trends tend to be north–south, east–west, or northeast–southwest, which could accord with the overall northward and eastward river flow direction in the river network. However, only the Xincheng River was northwest–southeast, which had a unique influence on the Xincheng River in terms of shape and flow direction. This special property, perhaps, became the most important hydrodynamic impact of the Xincheng River. When it comes to the second principal component, the three rivers with the largest load on the second principal component were Lucun River (0.903), Xiaoxuan River (−0.719), and Xixin River (−0.886). They connected the strong hydrodynamic backbone rivers (the Beijing-Hangzhou Canal and Liangxi River) and Wuli Lake, respectively. The water level difference between the lake and the strong hydrodynamic backbone river was the main power source of the three rivers. Therefore, the hydrodynamic grouping scheme recommended by PCA was shown as Figure 8c: (a) Rivers whose key hydrodynamic impact factor was the water diversion effect of Meiliang Lake pumping station: Liangxi River, Mali River, Caowang River, Xianjing River, Miaodong River, Dongxin River, Beizhuang River, Dingchangqiao River, Ludianqiao River, Lixi River, Liandaqiao River, Miaojing River, Panbuqiao River, Weitianli River. (b) Rivers whose key hydrodynamic impact factor was the lake and backbone rivers water level difference: Lucun River, Xiaoxuan River, Xixin River. (c) River whose itself characteristic was key hydrodynamic impact factor: Xincheng River. Based on the variance interpretation of PCA, the contributions of Meiliang Lake pumping station water diversion effect, lake-backbone rivers water level difference and river itself characteristic to the hydrodynamic force of the river network were 65, 21, and 12.4%, respectively. Other factors contributed 1.6 percent.
It is important to improve the hydrodynamics and water environment of river network through water diversion. Further, by adjusting the way and flux of water diversion, accurately improving the water self-purification capacity of a river or a group of rivers in the river network is more important [42]. In the past, trying to solve the water environment problems of river network by blindly increasing the flux of water diversion was likely to lead to the consequence of huge economic consumption without environment upturn. This case may happen when is zero. According to our research, we suggest that the hydrodynamic numerical simulation experiments of a lake–river network under different schemes, which aim to find out potential hydrodynamic structure and hydrodynamic impact factors of the river network, should be carried out before the water diversion. If the main hydrodynamic impact factor of the river network is not water diversion, we advise that the water environment be improved by other ways. For some rivers that do not respond to water diversion (such as the tributary north of Liangxi River in this study), measures such as aeration and desilting should be selected. As a matter of course, the river with high responsiveness to QWDF could be improved by water diversion. In addition, more detailed numerical simulation experiments were recommended to be carried out to establish the relationship between river flow velocity and QWDF, so as to obtain the most suitable QWDF in different rivers and accurately improve the hydrodynamic and water environment of the river network.
4. Conclusions
Improving the hydrodynamic conditions of river networks under strong human intervention plays an essential role in the quality of the water environment in plain areas and reducing the adverse effects such as urban black and odorous water bodies. The response mechanisms of the river network hydrodynamic conditions under various water diversion conditions are quantitatively investigated through field investigations and numerical simulations of the Taihu Lake–Wuli Lake–river network system in the Binhu District of Wuxi, China. The results are as follows: (1) The hydrodynamic distribution of the lake-connected river network in Binhu District of Wuxi City was complex, and the responses of different rivers hydrodynamic conditions to water diversion flux had a big gap. (2) The cubic polynomial could fit the relationship between the hydrodynamic condition of urban lake-connected river network and the water diversion flux well. The relationship of water diversion impact on river network flow velocity and water diversion flux could be reflected by a quadratic polynomial instead of linear relationship. The HE was best when the water flow was less than 10 m3/s or more than 30 m3/s in the dry season and the HE was the best when the water transfer flow was higher than 20 m3/s in the wet season. This study provided a basis for the government to make scientific decisions on water diversion schemes. (3) The rivers in the network could be classified into three types according to their key hydrodynamic impact factors: rivers influenced by the water diversion effect of Meiliang Lake pumping station, rivers influenced by the lake-backbone rivers water level difference, and rivers characterized by bed shapes. (4) The influence weights of water diversion, lake-backbone river water level difference, and river characteristic on the whole river network hydrodynamics were 65, 21, and 12.4%, respectively, as the other factors contributed 1.6% of the weight. The pump station transfers water from the north of Taihu Lake into the river network, and the discharge of water diversion was positively correlated with the flow velocity of most rivers, except the rivers connected to the Wuli lake. The weight analysis showed that the influence order was water conservancy projects > river and lake water level difference > river channel characteristic.
Herein, the constant flow rate was applied to generalize the diversion conditions. The more realistic variable flow diversions have a greater impact on the flow structure and are more likely to cause flow disturbance. Variable flow diversions can save considerable economic costs and reduce bio invasions, provided the same water quality is achieved [43]. On the other hand, the effect of variable flow diversions on sediment suspension mechanisms varied from the constant flow. In the future, we will focus on the response mechanisms of hydrodynamic conditions, water environment, and sediment suspension in the river network under variable flow diversions. In addition, a three-dimensional model coupled with the sediment suspension process will be developed to improve the simulation accuracy of the water environment response.
Author Contributions
Conceptualization, H.W. and Z.S.; Data curation, W.Y.; Formal analysis, H.W.; Funding acquisition, H.W.; Investigation, Y.Z., H.Y. and Y.L.; Methodology, H.W., Z.S. and Y.Z.; Project administration, W.Y.; Resources, W.Y.; Software, H.W. and Z.S.; Supervision, H.W.; Validation, H.Y.; Visualization, Y.Z.; Writing—original draft, H.W. and Z.S.; Writing—review and editing, H.W., H.Y., and Y.L. All authors have read and agreed to the published version of the manuscript.
Funding
This work was supported by National Natural Science Foundation of China (No.51779075), A Project Funded by the Priority Academic Program Development of Jiangsu Higher Education Institutions, the Fundamental Research Funds for the Central Universities, the World-Class Universities (Disciplines), and the Characteristic Development Guidance Funds for the Central Universities, the Major Science and Technology Program for Water Pollution Control and Treatment of China (2017ZX07203002-01).
Institutional Review Board Statement
Not applicable.
Informed Consent Statement
Not applicable.
Data Availability Statement
Not applicable.
Conflicts of Interest
The authors declare no conflict of interest.
References
- Deng, X.; Xu, Y. Degrading flood regulation function of river systems in the urbanization process. Sci. Total Environ. 2018, 622, 1379–1390. [Google Scholar] [CrossRef]
- Nilsson, C.; Reidy Catherine, A.; Dynesius, M.; Revenga, C. Fragmentation and Flow Regulation of the World’s Large River Systems. Science 2005, 308, 405–408. [Google Scholar] [CrossRef] [PubMed]
- Sauchyn, D.J.; St-Jacques, J.-M.; Luckman, B.H. Long-term reliability of the Athabasca River (Alberta, Canada) as the water source for oil sands mining. Proc. Natl. Acad. Sci. USA 2015, 112, 12621–12626. [Google Scholar] [CrossRef] [PubMed]
- Padma, T.V. Mining and dams exacerbated devastating Mining and dams exacerbated devastating Kerala floods. Nature 2018, 561, 13–14. [Google Scholar] [CrossRef] [PubMed]
- Tardieu, H. Automatic dam management and river regulation for irrigation purposes. Irrig. Drain. Syst. 1988, 2, 53–61. [Google Scholar] [CrossRef]
- Best, J. Anthropogenic stresses on the world’s big rivers. Nat. Geosci. 2019, 12, 7–21. [Google Scholar] [CrossRef]
- Malve, O.; Salo, S.; Verta, M.; Forsius, J. Modeling the Transport of PCDD/F Compounds in a Contaminated River and the Possible Influence of Restoration Dredging on Calculated Fluxes. Environ. Sci. Technol. 2003, 37, 3413–3421. [Google Scholar] [CrossRef]
- Froger, C.; Quantin, C.; Gasperi, J.; Caupos, E.; Monvoisin, G.; Evrard, O.; Ayrault, S. Impact of urban pressure on the spatial and temporal dynamics of PAH fluxes in an urban tributary of the Seine River (France). Chemosphere 2019, 219, 1002–1013. [Google Scholar] [CrossRef]
- Gallardo, B.; Aldridge, D.C. Inter-basin water transfers and the expansion of aquatic invasive species. Water Res. 2018, 143, 282–291. [Google Scholar] [CrossRef]
- Wen, L.; Rogers, K.; Ling, J.; Saintilan, N. The impacts of river regulation and water diversion on the hydrological drought characteristics in the Lower Murrumbidgee River, Australia. J. Hydrol. 2011, 405, 382–391. [Google Scholar] [CrossRef]
- Cardenas, M.B.; Markowski, M.S. Geoelectrical imaging of hyporheic exchange and mixing of river water and groundwater in a large regulated river. Environ. Sci. Technol. 2011, 45, 1407–1411. [Google Scholar] [CrossRef]
- Kasper, D.; Forsberg, B.R.; Amaral, J.H.F.; Leitão, R.P.; Py-Daniel, S.S.; Bastos, W.R.; Malm, O. Reservoir stratification affects methylmercury levels in river water, plankton, and fish downstream from Balbina hydroelectric dam, Amazonas, Brazil. Environ. Sci. Technol. 2014, 48, 1032–1040. [Google Scholar] [CrossRef]
- Zhang, Q.; Chen, Y.D.; Jiang, T.; Chen, X.; Liu, Z. Human-induced regulations of river channels and implications for hydrological alterations in the Pearl River Delta, China. Stoch. Environ. Res. Risk Assess. 2011, 25, 1001–1011. [Google Scholar] [CrossRef]
- Quinlan, E.; Gibbins, C.N.; Batalla, R.J.; Vericat, D. Impacts of small scale flow regulation on sediment dynamics in an ecologically important upland river. Environ. Manag. 2015, 55, 671–686. [Google Scholar] [CrossRef] [PubMed]
- Ashraf, F.B.; Torabi, H.A.; Marttila, H.; Kløve, B. Assessing impacts of climate change and river regulation on flow regimes in cold climate: A study of a pristine and a regulated river in the sub-arctic setting of Northern Europe. J. Hydrol. 2016, 542, 410–422. [Google Scholar] [CrossRef]
- Tena, A.; Vericat, D.; Gonzalo, L.E.; Batalla, R.J. Spatial and temporal dynamics of macrophyte cover in a large regulated river. J. Environ. Manage. 2017, 202 Pt 2, 379–391. [Google Scholar] [CrossRef]
- Hachikyan, A.; Scherer, R.; Angelova, M.; Lazarova, M. Decision support system for a river network pollution estimation based on a structural-linguistic data model. Oper. Res. 2005, 5, 105–113. [Google Scholar] [CrossRef]
- Le, F.; Deguan, W.; Bin, C. Modeling the effects of gate-controlled on water quality improvement in river network. Procedia Environ. Sci. 2012, 13, 2154–2160. [Google Scholar]
- Feng, L.; Sun, X.; Zhu, X. Impact of floodgates operation on water environment using one-dimensional modelling system in river network of Wuxi city, China. Ecol. Eng. 2016, 91, 173–182. [Google Scholar] [CrossRef]
- Cha, Y.; Cho, K.H.; Lee, H.; Kang, T.; Kim, J.H. The relative importance of water temperature and residence time in predicting cyanobacteria abundance in regulated rivers. Water Res. 2017, 124, 11–19. [Google Scholar] [CrossRef] [PubMed]
- Zhang, N.Q.; Li, N.; Wang, J.; Chen, S.; Qiu, S.W.; Xu, W.H. Urban Flood Analysis Model for Plain Tidal River Network Region. Water Resour. Hydropower Eng. 2017, 48, 20–26. [Google Scholar]
- Wang, Q.G.; Wang, Y.P.; Lu, X.C.; Jia, P.; Zhang, B.B.; Li, C.; Li, S.; Li, S.B. Impact assessments of water allocation on water environment of river network: Method and application. Phys. Chem. Earth 2018, 103, 101–106. [Google Scholar] [CrossRef]
- Abril, M.; Muñoz, I.; Casas-Ruiz, J.P.; Gómez-Gener, L.; Barceló, M.; Oliva, F.; Menéndez, M. Effects of water flow regulation on ecosystem functioning in a Mediterranean river network assessed by wood decomposition. Sci. Total Environ. 2015, 517, 57–65. [Google Scholar] [CrossRef] [PubMed]
- Yan, H.Y.; Wang, H.; He, X.C.; Liu, Y.L.; Tang, Q.Y.; Yang, Y.Y.; Yuan, W.H. Transverse distribution of cyanobacteria in a regulated urban river. Ecohydrology 2021, 14, 13. [Google Scholar] [CrossRef]
- Lu, W.; Lei, H.; Yang, D.; Tang, L.; Miao, Q. Quantifying the impacts of small dam construction on hydrological alterations in the Jiulong River basin of Southeast China. J. Hydrol. 2018, 567, 382–392. [Google Scholar] [CrossRef]
- Kędra, M.; Wiejaczka, Ł. Climatic and dam-induced impacts on river water temperature: Assessment and management implications. Sci. Total Environ. 2018, 626, 1474–1483. [Google Scholar] [CrossRef]
- Mor, J.-R.; Ruhí, A.; Tornés, E.; Valcárcel, H.; Muñoz, I.; Sabater, S. Dam regulation and riverine food-web structure in a Mediterranean river. Sci. Total Environ. 2018, 625, 301–310. [Google Scholar] [CrossRef]
- Ammari, K.; Chentouf, B. Further Results on the Robust Regulation of a One-Dimensional Dam-River System. J. Optim. Theory Appl. 2010, 147, 597–606. [Google Scholar] [CrossRef]
- Xu, Z.; Xu, Y.J. Dissolved carbon transport in a river-lake continuum: A case study in a subtropical watershed, USA. Sci. Total Environ. 2018, 643, 640–650. [Google Scholar] [CrossRef]
- Wang, J.; Fu, Z.; Qiao, H.; Liu, F. Assessment of eutrophication and water quality in the estuarine area of Lake Wuli, Lake Taihu, China. Sci. Total Environ. 2019, 650, 1392–1402. [Google Scholar] [CrossRef]
- Zhang, X.J.; Chen, C.; Ding, J.Q.; Hou, A.X.; Li, Y.; Niu, Z.B.; Su, X.Y.; Xu, Y.J.; Laws, E.A. The 2007 water crisis in Wuxi, China: Analysis of the origin. J. Hazard. Mater. 2010, 182, 130–135. [Google Scholar] [CrossRef]
- Rodgers, J.L.; Nicewander, W.A. Thirteen Ways to Look at the Correlation Coefficient. Am. Stat. 1988, 42, 59. [Google Scholar] [CrossRef]
- Farnham, I.M.; Johannesson, K.H.; Singh, A.K.; Hodge, V.F.; Stetzenbach, K.J. Factor analytical approaches for evaluating groundwater trace element chemistry data. Anal. Chim. Acta. 2003, 490, 123–138. [Google Scholar] [CrossRef]
- Deng, X.; Xu, Y.; Han, L.; Yang, M.; Yang, L.; Song, S.; Li, G.; Wang, Y. Spatial–temporal evolution of the distribution pattern of river systems in the plain river network region of the Taihu Basin, China. Quat. Int. 2016, 392, 178–186. [Google Scholar] [CrossRef]
- Keka, I.; Cico, B. Data Visualization as Helping Technique for Data Analysis, Trend Detection and Correlation of Variables Using R Programming Language. In Proceedings of the 8th Mediterranean Conference on Embedded Computing (MECO), Budva, Montenegro, 10–14 June 2019; pp. 342–345. [Google Scholar]
- Charles, J.S. Consistent Nonparametric Regression. Ann. Stat. 1977, 5, 595–620. [Google Scholar]
- Wang, H.; Zhang, Z.Z.; Liang, D.F.; Du, H.B.; Pang, Y.; Hu, K.M.; Wang, J.J. Separation of wind’s influence on harmful cyanobacterial blooms. Water Res. 2016, 98, 280–292. [Google Scholar] [CrossRef]
- Jiang, L.; Li, Y.; Zhao, X.; Tillotson, M.R.; Wang, W.; Zhang, S.; Sarpong, L.; Asmaa, Q.; Pan, B. Parameter uncertainty and sensitivity analysis of water quality model in Lake Taihu, China. Ecol. Modell. 2018, 375, 1–12. [Google Scholar] [CrossRef]
- Guido, F.; Andreas, Z.; Rolf, W. The effect of coupling hydrologic and hydrodynamic models on probable maximum flood estimation. J. Hydrol. 2017, 550, 157–165. [Google Scholar]
- Sha, Y.; Li, W.; Fan, J.; Cheng, G. Determining critical support discharge of a riverhead and river network analysis: Case studies of Lhasa River and Nyangqu River. Chin Geogr Sci. 2016, 26, 456–465. [Google Scholar] [CrossRef][Green Version]
- Hu, M.; Wang, Y.; Du, P.; Shui, Y.; Cai, A.; Lv, C.; Bao, Y.F.; Li, Y.H.; Li, S.Z.; Zhang, P.W. Tracing the sources of nitrate in the rivers and lakes of the southern areas of the Tibetan Plateau using dual nitrate isotopes. Sci. Total Environ. 2018, 658, 132–140. [Google Scholar] [CrossRef]
- Xu, H.; Du, Y.; Cui, C.; Wei, C. Structure & Function Based Approaches to Reconstructing Urban River System in River Network Area of China. In Advances in Water Resources and Hydraulic Engineering; Springer: Berlin/Heidelberg, Germany, 2009; pp. 399–404. [Google Scholar]
- Yan, Z.H.; Yang, H.H.; Dong, H.K.; Ma, B.N.; Sun, H.W.; Pan, T.; Jiang, R.R.; Zhou, R.R.; Shen, J.; Liu, J.C.; et al. Occurrence and ecological risk assessment of organic micropollutants in the lower reaches of the Yangtze River, China: A case study of water diversion. Environ. Pollut. 2018, 239, 223–232. [Google Scholar] [CrossRef] [PubMed]
Publisher’s Note: MDPI stays neutral with regard to jurisdictional claims in published maps and institutional affiliations. |
© 2021 by the authors. Licensee MDPI, Basel, Switzerland. This article is an open access article distributed under the terms and conditions of the Creative Commons Attribution (CC BY) license (https://creativecommons.org/licenses/by/4.0/).







