A Scheme to Estimate Diurnal Cycle of Evapotranspiration from Geostationary Meteorological Satellite Observations
Abstract
1. Introduction
2. Materials and Methods
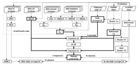
2.1. Methods
2.2. Data
2.2.1. MSG Data
2.2.2. ETMonitor Daily ET Data
2.2.3. FLUXNET2015 Dataset
2.2.4. ERA5 Reanalysis Data
2.3. Evaluation Indices
3. Results and Discussion
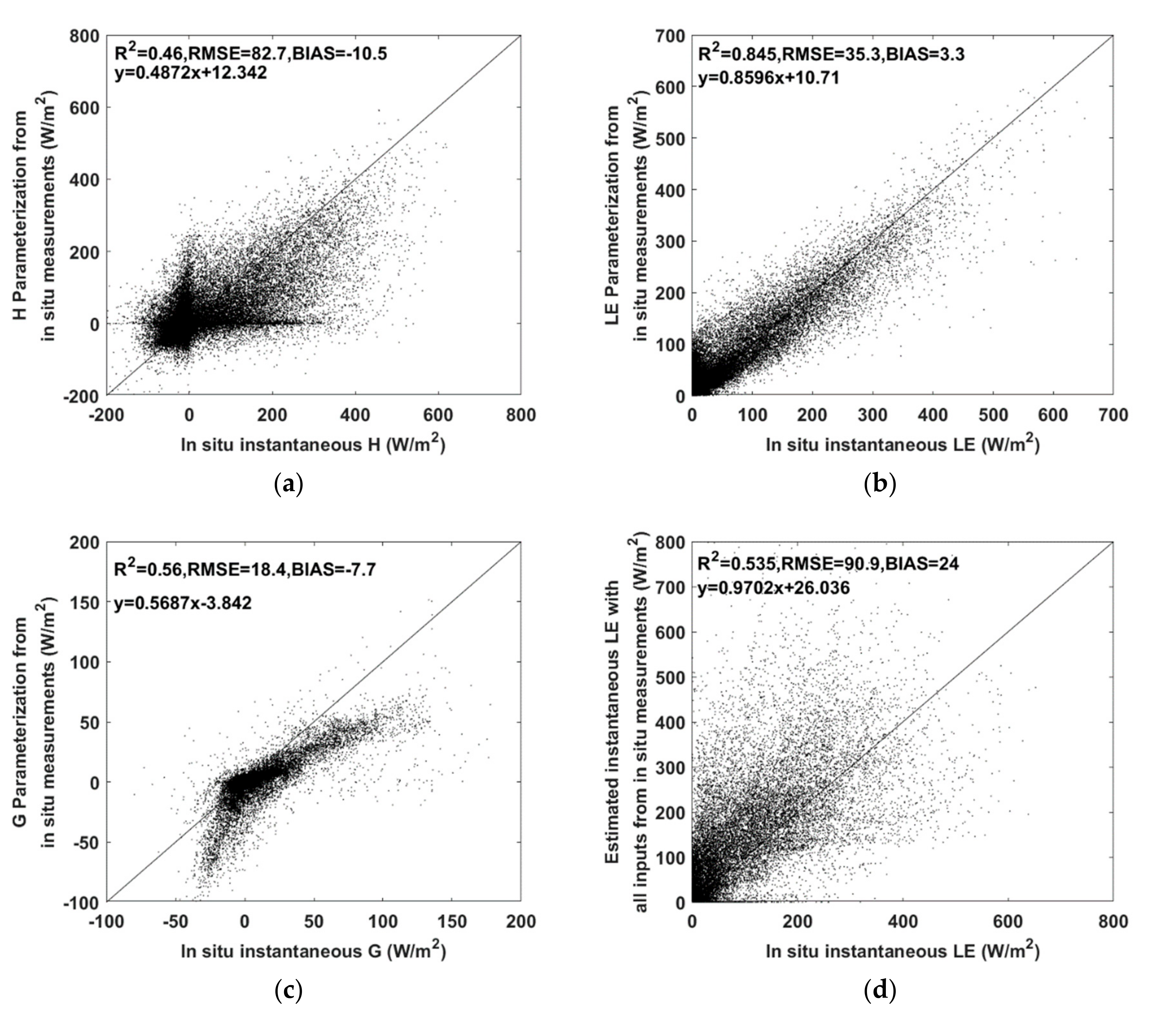
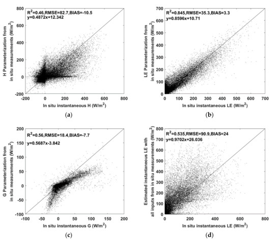
3.1. Evaluation of Instantaneous LE estimation
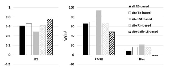
3.2. Impact of Input Variables on Diurnal Cycle of ET Estimation
3.3. Uncertainties from Simplified Parameterization
4. Conclusions
Author Contributions
Funding
Acknowledgments
Conflicts of Interest
References
- Kleidon, A.; Renner, M. Diurnal land surface energy balance partitioning estimated from the thermodynamic limit of a cold heat engine. Earth Syst. Dynam. 2018, 9, 1127–1140. [Google Scholar] [CrossRef]
- Stocker, T.F.; Qin, D.; Plattner, G.-K.; Tignor, M.; Allen, S.K.; Boschung, J.; Nauels, A.; Xia, Y.; Bex, V.; Midgley, P.M. Climate Change 2013: The Physical Science Basis. Working Group I Contribution to the Fifth Assessment Report of the Intergovernmental Panel on Climate Change; Cambridge University Press: Cambridge, UK; New York, NY, USA, 2013; p. 1535. [Google Scholar]
- Oki, T.; Kanae, S. Global hydrological cycles and world water resources. Science 2006, 313, 1068. [Google Scholar] [CrossRef] [PubMed]
- Gowda, P.H.; Chavez, J.L.; Colaizzi, P.D.; Evett, S.R.; Howell, T.A.; Tolk, J.A. ET mapping for agricultural water management: Present status and challenges. Irrig. Sci. 2008, 26, 223–237. [Google Scholar] [CrossRef]
- McCabe, M.; Wood, E.; Wojcik, R.; Pan, M.; Sheffield, J.; Gao, H. Hydrological consistency using multi-sensor remote sensing data for water and energy cycle studies. Remote Sens. Environ. 2008, 112, 430–444. [Google Scholar] [CrossRef]
- Wambura, F.J.; Dietrich, O. Analysis of Agricultural Drought Using Remotely Sensed Evapotranspiration in a Data-Scarce Catchment. Water 2020, 12, 998. [Google Scholar] [CrossRef]
- Wang, H.J.; Xiao, W.H.; Zhao, Y.; Wang, Y.C.; Hou, B.D.; Zhou, Y.Y.; Yang, H.; Zhang, H.; Cui, H. The Spatiotemporal Variability of Evapotranspiration and Its Response to Climate Change and Land Use/Land Cover Change in the Three Gorges Reservoir. Water 2019, 11, 1739. [Google Scholar] [CrossRef]
- Nhamo, L.; Mabhaudhi, T.; Magombeyi, M. Improving Water Sustainability and Food Security through Increased Crop Water Productivity in Malawi. Water 2016, 8, 411. [Google Scholar] [CrossRef]
- Li, Z.-L.; Tang, R.L.; Wan, Z.M.; Bi, Y.Y.; Zhou, C.H.; Tang, B.H.; Yan, G.J.; Zhang, X.Y. A review of current methodologies for regional evapotranspiration estimation from remotely sensed data. Sensors 2009, 9, 3801–3853. [Google Scholar] [CrossRef]
- Zhang, K.; Kimball, J.S.; Running, S.W. A review of remote sensing based actual evapotranspiration estimation. Wires Water 2016, 3, 834–853. [Google Scholar] [CrossRef]
- Su, Z. The Surface Energy Balance System (SEBS) for estimation of turbulent heat fluxes. Hydrol. Earth Syst. Sci. 2002, 6, 85–99. [Google Scholar] [CrossRef]
- Mu, Q.Z.; Zhao, M.S.; Running, S.W. Improvements to a MODIS global terrestrial evapotranspiration algorithm. Remote Sens. Environ. 2011, 115, 1781–1800. [Google Scholar] [CrossRef]
- Hu, G.; Jia, L. Monitoring of evapotranspiration in a semi-arid inland river basin by combining microwave and optical remote sensing observations. Remote Sens. 2015, 7, 3056–3087. [Google Scholar] [CrossRef]
- Jansen, F.A.; Teuling, A.J. Evaporation from a large lowland reservoir-(dis)agreement between evaporation models from hourly to decadal timescales. Hydrol. Earth Syst. Sci. 2020, 24, 1055–1072. [Google Scholar] [CrossRef]
- Davis, K.J.; Lenschow, D.H.; Oncley, S.P.; Kiemle, C.; Ehret, G.; Giez, A.; Mann, J. Role of entrainment in surface-atmosphere interactions over the boreal forest. J. Geophys. Res. 1997, 102, 29219–29230. [Google Scholar] [CrossRef]
- Xiang, T.; Vivoni, E.R.; Gochis, D.J.; Mascaro, G. On the diurnal cycle of surface energy fluxes in the North American monsoon region using the WRF-Hydro modeling system. J. Geophys. Res. 2017, 122, 9024–9049. [Google Scholar] [CrossRef]
- Renner, M.; Brenner, C.; Mallick, K.; Wizemann, H.D.; Conte, L.; Trebs, I.; Wei, J.; Wulfmeyer, V.; Schulz, K.; Kleidon, A. Using phase lags to evaluate model biases in simulating the diurnal cycle of evapotranspiration: A case study in Luxembourg. Hydrol. Earth Syst. Sci. 2019, 1, 1–535. [Google Scholar] [CrossRef]
- Wilson, K.B.; Baldocchi, D.; Falge, E.; Aubinet, M.; Berbigier, P.; Bernhofer, C.; Dolman, H. Diurnal centroid of ecosystem energy and carbon fluxes at FLUXNET sites. J. Geophys. Res. 2003, 108, D21. [Google Scholar] [CrossRef]
- Anderson, M.C.; Norman, J.M.; Mecikalski, J.R.; Otkin, J.A.; Kustas, W.P. A climatological study of evapotranspiration and moisture stress across the continental United States based on thermal remote sensing: 1. Model formulation. J. Geophys. Res. 2007, 112, 10117. [Google Scholar] [CrossRef]
- Ghilain, N.; Arboleda, A.; Gellens-Meulenberghs, F. Evapotranspiration modelling at large scale using near-real time MSG SEVIRI derived data. Hydrol. Earth Syst. Sci. 2010, 7, 7079–7120. [Google Scholar] [CrossRef]
- Arboleda, A.; Ghilain, N.; Gellens-Meulenberghs, F. Continuous monitoring of evapotranspiration (ET) overview of LSA-SAF evapotranspiration products. In SPIE Remote Sens 10421, Remote Sensing for Agriculture, Ecosystems, and Hydrology XIX; International Society for Optics and Photonics: Bellingham, WA, USA, 2017. [Google Scholar] [CrossRef]
- Zhao, W.L.; Qiu, G.Y.; Xiong, Y.J.; Paw, U.K.T.; Gentine, P.; Chen, B.Y. Uncertainties Caused by Resistances in Evapotranspiration Estimation Using High-Density Eddy Covariance Measurements. J. Hydrometeorol. 2020, 21, 1349–1365. [Google Scholar] [CrossRef]
- Gerhards, M.; Schlerf, M.; Mallick, K.; Udelhoven, T. Challenges and Future Perspectives of Multi-/Hyperspectral Thermal Infrared Remote Sensing for Crop Water-Stress Detection: A Review. Remote Sens. 2019, 11, 1240. [Google Scholar] [CrossRef]
- Zheng, C.; Wang, Q.; Li, P.H. Coupling SEBAL with a new radiation module and MODIS products for better estimation of evapotranspiration. Hydrol. Sci. J. 2016, 61, 1535–1547. [Google Scholar] [CrossRef]
- Long, D.; Singh, V.P.; Li, Z.-L. How sensitive is SEBAL to changes in input variables, domain size and satellite sensor? J. Geophys. Res. 2011, 116, D21107. [Google Scholar] [CrossRef]
- Priestley, C.; Taylor, R. On the assessment of surface heat flux and evaporation using large-scale parameters. Mon. Weather Rev. 1972, 100, 81–92. [Google Scholar] [CrossRef]
- Yao, Y.; Liang, S.; Yu, J.; Zhao, S.; Lin, Y.; Jia, K.; Zhang, X.; Cheng, J.; Xie, X.; Sun, L.; et al. Differences in estimating terrestrial water flux from three satellite-based Priestley-Taylor algorithms. Int. J. Appl. Earth Obs. 2017, 56, 1–12. [Google Scholar] [CrossRef]
- Price, J.C. Using spatial context in satellite data to infer regional scale evapotranspiration. IEEE T. Geosci. Remote 1990, 28, 940–948. [Google Scholar] [CrossRef]
- Tang, R.; Li, Z.-L.; Tang, B. An application of the Ts–VI triangle method with enhanced edges determination for evapotranspiration estimation from MODIS data in arid and semi-arid regions: Implementation and validation. Remote Sens. Environ. 2010, 114, 540–551. [Google Scholar] [CrossRef]
- Long, D.; Singh, V.P.; Scanlon, B.R. Deriving theoretical boundaries to address scale dependencies of triangle models for evapotranspiration estimation. J. Geophys. Res. 2012, 117, D05113. [Google Scholar] [CrossRef]
- Wang, J.; Bras, R. A model of evapotranspiration based on the theory of maximum entropy production. Water Resour. Res. 2011, 47, W03521. [Google Scholar] [CrossRef]
- Xu, D.; Agee, E.; Wang, J.; Ivanov, V.Y. Estimation of Evapotranspiration of Amazon Rainforest Using the Maximum Entropy Production Method. Geophys. Res. Lett. 2019, 46, 1402–1412. [Google Scholar] [CrossRef]
- Qiu, G.Y.; Shi, P.; Wang, L. Theoretical analysis of a remotely measurable soil evaporation transfer coefficient. Remote Sens. Environ. 2006, 101, 390–398. [Google Scholar] [CrossRef]
- Xiong, Y.J.; Zhao, W.L.; Wang, P.; Paw, U.K.T.; Qiu, G.Y. Simple and Applicable Method for Estimating Evapotranspiration and Its Components in Arid Regions. J. Geophys. Res. 2019, 124, 9963–9982. [Google Scholar] [CrossRef]
- Lu, J.; Tang, R.; Tang, H.; Li, Z.-L. A new parameterization scheme for estimating surface energy fluxes with continuous surface temperature, air temperature, and surface net radiation measurements. Water Resour. Res. 2014, 50, 1245–1259. [Google Scholar] [CrossRef]
- Zhang, K.; Kimball, J.S.; Nemani, R.R.; Running, S.W.; Hong, Y.; Gourley, J.J.; Yu, Z. Vegetation Greening and Climate Change Promote Multidecadal Rises of Global Land Evapotranspiration. Sci. Rep. 2015, 5, 15956. [Google Scholar] [CrossRef] [PubMed]
- Martens, B.; Gonzalez Miralles, D.; Lievens, H.; van der Schalie, R.; de Jeu, R.A.; Fernández-Prieto, D.; Beck, H.E.; Dorigo, W.; Verhoest, N. GLEAM v3: Satellite-based land evaporation and root-zone soil moisture. Geosci. Model Dev. 2017, 10, 1903–1925. [Google Scholar] [CrossRef]
- Zheng, C.; Jia, L.; Hu, G.; Lu, J. Earth Observations-Based Evapotranspiration in Northeastern Thailand. Remote Sens. 2019, 11, 138. [Google Scholar] [CrossRef]
- Jia, L.; Zheng, C.; Hu, G.C.; Menenti, M. Evapotranspiration. In Comprehensive Remote Sensing; Liang, S., Ed.; Elsevier: Oxford, UK, 2018; pp. 25–50. [Google Scholar]
- Zheng, C.; Jia, L. Global canopy rainfall interception loss derived from satellite earth observations. Ecohydrology 2020, 13, e2186. [Google Scholar] [CrossRef]
- Zheng, C.; Jia, L.; Hu, G. Global Land Surface Actual Evapotranspiration (2013–2014); National Tibetan Plateau Data Center: Beijing, China, 2019. [Google Scholar] [CrossRef]
- Allen, R.G.; Pereira, L.S.; Howell, T.A.; Jensen, M.E. Evapotranspiration information reporting: I. factors governing measurement accuracy. Agric. Water Manag. 2011, 98, 899–920. [Google Scholar] [CrossRef]
- Jia, Z.; Liu, S.; Xu, Z.; Chen, Y.; Zhu, M. Validation of remotely sensed evapotranspiration over the Hai River Basin, China. J. Geophys. Res. 2012, 117, D13113. [Google Scholar] [CrossRef]
- McCombs, A.G.; Hiscox, A.L.; Suyker, A.E. Point-to-Grid Conversion in Flux Footprints: Implications of Method Choice and Spatial Resolution for Regional-Scale Studies. Bound Layer Meteorol. 2019, 172, 457–479. [Google Scholar] [CrossRef]
- Ghilain, N.; Arboleda, A.; Sepulcre-Cantò, G.; Batelaan, O.; Ardö, J.; Gellens-Meulenberghs, F. Improving evapotranspiration in a land surface model using biophysical variables derived from MSG/SEVIRI satellite. Hydrol. Earth Syst. Sci. 2012, 16, 2567–2583. [Google Scholar] [CrossRef]
- Hu, G.; Jia, L.; Menenti, M. Comparison of MOD16 and LSA-SAF MSG evapotranspiration products over Europe for 2011. Remote Sens. Environ. 2015, 156, 510–526. [Google Scholar] [CrossRef]
- Lu, J.; Li, Z.-L.; Tang, R.; Tang, B.; Wu, H.; Yang, F.; Labed, J.; Zhou, G. Evaluating the SEBS-estimated evaporative fraction from MODIS data for a complex underlying surface. Hydrol. Process 2013, 27, 3139–3149. [Google Scholar] [CrossRef]
- Duan, S.-B.; Li, Z.-L.; Li, H.; Göttsche, F.-M.; Wu, H.; Zhao, W.; Leng, P.; Zhang, X.; Coll, C. Validation of Collection 6 MODIS land surface temperature product using in situ measurements. Remote Sens. Environ. 2019, 225, 16–29. [Google Scholar] [CrossRef]
- Freitas, S.C.; Trigo, I.F.; Bioucas-Dias, J.M.; Gottsche, F. Quantifying the Uncertainty of Land Surface Temperature Retrievals from SEVIRI/Meteosat. IEEE T. Geosci. Remote 2010, 48, 523–534. [Google Scholar] [CrossRef]











| Site_ID | LAT | LON | ELV (m) | IGBP | Proportions of Predominated Land Cover (%) | Mean Annual Temperature (°C) | Mean Annual Precipitation (mm) | Number of Selected Days |
|---|---|---|---|---|---|---|---|---|
| BE-Bra | 51.30761 | 4.51984 | 16 | MF | 63 | 9.8 | 750 | 27 |
| BE-Vie | 50.30493 | 5.99812 | 493 | MF | 68 | 7.8 | 1062 | 17 |
| BE-Lon | 50.55162 | 4.74623 | 167 | CRO | 96 | 10 | 800 | 31 |
| DE-Geb | 51.09973 | 10.91463 | 162 | CRO | 98 | 8.5 | 470 | 24 |
| DE-Kli | 50.89306 | 13.52238 | 478 | CRO | 83 | 7.6 | 842 | 27 |
| DE-RuS | 50.86591 | 6.44714 | 103 | CRO | 79 | 10 | 700 | 25 |
| FR-Gri | 48.84422 | 1.95191 | 125 | CRO | 45 | 12 | 650 | 35 |
| IT-BCi | 40.52375 | 14.95744 | 20 | CRO | 76 | 18 | 600 | 136 |
| CH-Cha | 47.21022 | 8.41044 | 393 | GRA | 65 | 9.5 | 1136 | 38 |
| CH-Fru | 47.11583 | 8.53778 | 982 | GRA | 56 | 7.2 | 1651 | 38 |
| DE-Gri | 50.95004 | 13.51259 | 385 | GRA | 73 | 7.8 | 901 | 29 |
| DE-RuR | 50.62191 | 6.30413 | 515 | GRA | 80 | 7.7 | 1033 | 22 |
| IT-MBo | 46.01468 | 11.04583 | 1550 | GRA | 65 | 5.1 | 1214 | 27 |
| IT-Tor | 45.84444 | 7.57806 | 2160 | GRA | 65 | 2.9 | 920 | 50 |
| CH-Dav | 46.81533 | 9.85591 | 1639 | ENF | 62 | 2.8 | 1062 | 53 |
| CZ-BK1 | 49.50208 | 18.53688 | 875 | ENF | 53 | 6.7 | 1316 | 27 |
| DE-Lkb | 49.09962 | 13.30467 | 1308 | ENF | 61 | 4 | 1599 | 20 |
| DE-Obe | 50.78666 | 13.72129 | 734 | ENF | 60 | 5.5 | 996 | 20 |
| DE-Tha | 50.96256 | 13.56515 | 385 | ENF | 40 | 8.2 | 843 | 28 |
| FI-Hyy | 61.84741 | 24.29477 | 181 | ENF | 86 | 3.8 | 709 | 27 |
| IT-Lav | 45.9562 | 11.28132 | 1353 | ENF | 69 | 7.8 | 1291 | 52 |
| IT-Ren | 46.58686 | 11.43369 | 1730 | ENF | 65 | 4.7 | 809 | 56 |
| IT-SR2 | 43.73202 | 10.29091 | 4 | ENF | 68 | 14.2 | 920 | 114 |
| NL-Loo | 52.16658 | 5.74356 | 25 | ENF | 51 | 9.8 | 786 | 23 |
| RU-Fyo | 56.46153 | 32.92208 | 265 | ENF | 83 | 3.9 | 711 | 14 |
| CZ-wet | 49.02465 | 14.77035 | 426 | WET | 29 | 7.7 | 604 | 24 |
| DE-Akm | 53.86617 | 13.68342 | −1 | WET | 57 | 8.7 | 558 | 31 |
| DE-SfN | 47.80639 | 11.3275 | 590 | WET | 37 | 8.6 | 1127 | 38 |
| DE-Spw | 51.89225 | 14.03369 | 61 | WET | 72 | 8.7 | 558 | 23 |
| DE-Zrk | 53.87594 | 12.88901 | 0 | WET | 45 | 8.7 | 584 | 16 |
| DK-Sor | 55.48587 | 11.64464 | 40 | DBF | 91 | 8.2 | 660 | 31 |
| IT-CA1 | 42.38041 | 12.02656 | 200 | DBF | 91 | 14 | 766 | 87 |
| IT-CA3 | 42.38 | 12.0222 | 197 | DBF | 91 | 14 | 766 | 90 |
| IT-Col | 41.84936 | 13.58814 | 1560 | DBF | 75 | 6.3 | 1180 | 51 |
| FR-Pue | 43.7413 | 3.5957 | 270 | EBF | 69 | 13.5 | 883 | 80 |
| Index | Annotations |
|---|---|
| X and Y are the estimated and observed (referenced) variables, respectively. Error here is the difference of the estimated results to the observed or referenced variables. | |
© 2020 by the authors. Licensee MDPI, Basel, Switzerland. This article is an open access article distributed under the terms and conditions of the Creative Commons Attribution (CC BY) license (http://creativecommons.org/licenses/by/4.0/).
Share and Cite
Lu, J.; Jia, L.; Zheng, C.; Tang, R.; Jiang, Y. A Scheme to Estimate Diurnal Cycle of Evapotranspiration from Geostationary Meteorological Satellite Observations. Water 2020, 12, 2369. https://doi.org/10.3390/w12092369
Lu J, Jia L, Zheng C, Tang R, Jiang Y. A Scheme to Estimate Diurnal Cycle of Evapotranspiration from Geostationary Meteorological Satellite Observations. Water. 2020; 12(9):2369. https://doi.org/10.3390/w12092369
Chicago/Turabian StyleLu, Jing, Li Jia, Chaolei Zheng, Ronglin Tang, and Yazhen Jiang. 2020. "A Scheme to Estimate Diurnal Cycle of Evapotranspiration from Geostationary Meteorological Satellite Observations" Water 12, no. 9: 2369. https://doi.org/10.3390/w12092369
APA StyleLu, J., Jia, L., Zheng, C., Tang, R., & Jiang, Y. (2020). A Scheme to Estimate Diurnal Cycle of Evapotranspiration from Geostationary Meteorological Satellite Observations. Water, 12(9), 2369. https://doi.org/10.3390/w12092369

