Tillage Versus No-Tillage. Soil Properties and Hydrology in an Organic Persimmon Farm in Eastern Iberian Peninsula
Abstract
1. Introduction
2. Materials and Methods
2.1. Study Area
2.2. Sampling Design and Rainfall Simulation Experiments
2.3. Statistical Analysis
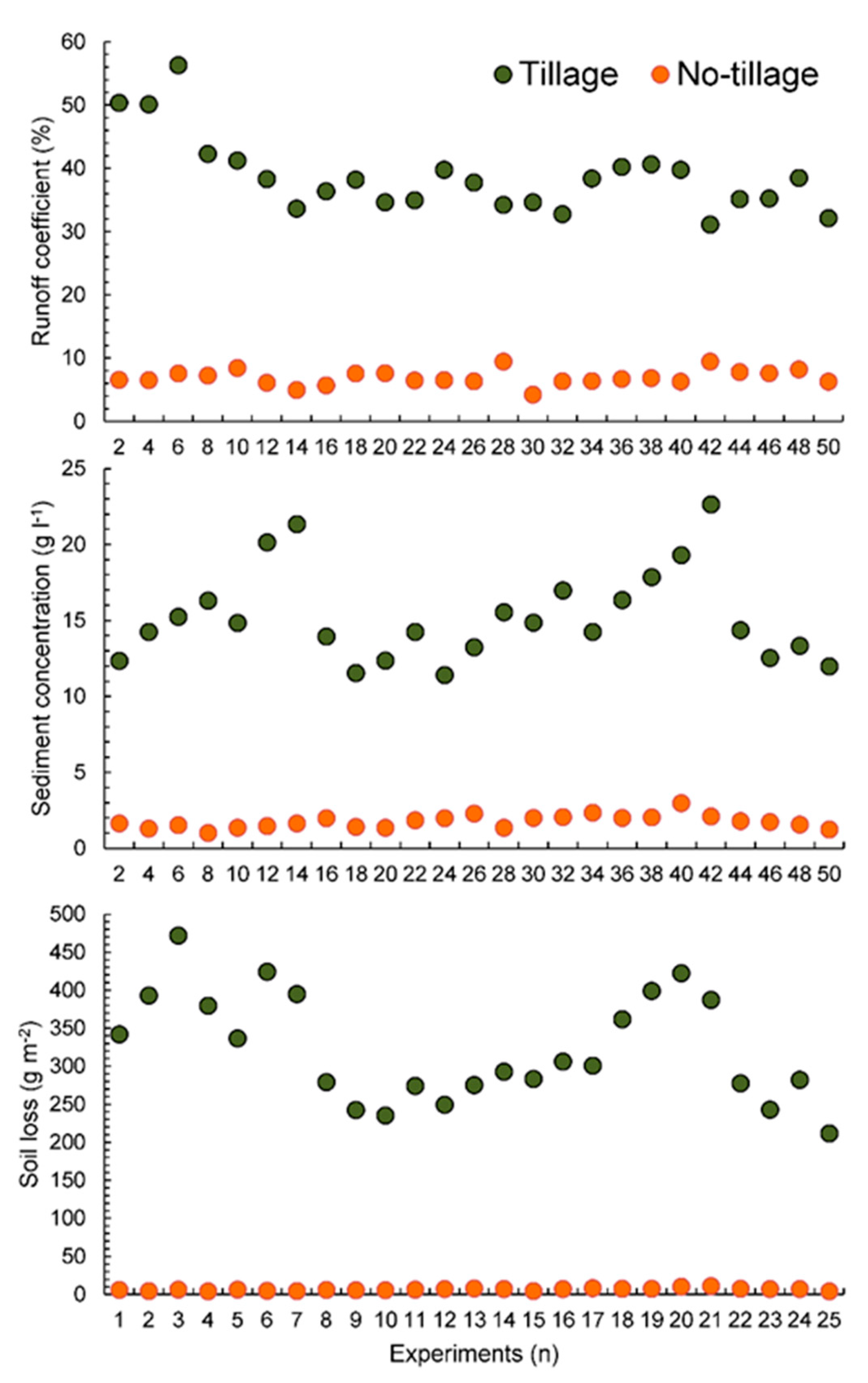
3. Results
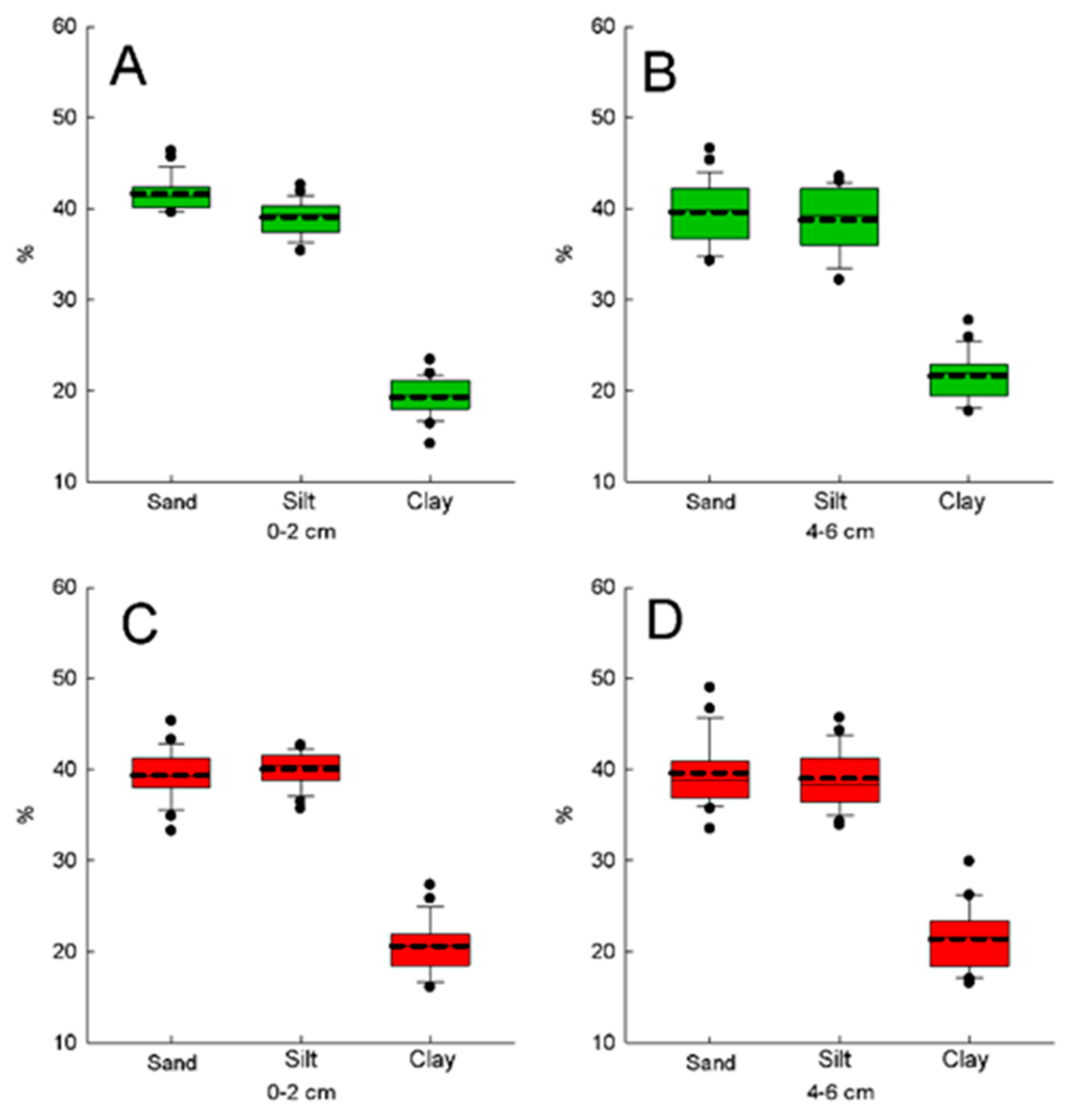
3.1. Plot and Soil Characteristics
3.2. Runoff Initiation
3.3. Water and Soil Losses
4. Discussion
5. Conclusions
Author Contributions
Funding
Acknowledgments
Conflicts of Interest
References
- Li, S.; Lobb, D.; Lindstrom, M.J.; Farenhorst, A. Tillage and water erosion on different landscapes in the northern North American Great Plains evaluated using 137Cs technique and soil erosion models. Catena 2007, 70, 493–505. [Google Scholar] [CrossRef]
- Blavet, D.; De Noni, G.; Le Bissonnais, Y.; Leonard, M.; Maillo, L.; Laurent, J.; Asseline, J.; Leprun, J.; Arshad, M.; Roose, E. Effect of land use and management on the early stages of soil water erosion in French Mediterranean vineyards. Soil Tillage Res. 2009, 106, 124–136. [Google Scholar] [CrossRef]
- Lindstrom, M.; Nelson, W.; Schumacher, T. Quantifying tillage erosion rates due to moldboard plowing. Soil Tillage Res. 1992, 24, 243–255. [Google Scholar] [CrossRef]
- Lobb, D.; Kachanoski, R.G.; Miller, M.H. Tillage translocation and tillage erosion on shoulder slope landscape positions measured using 137Cs as a tracer. Can. J. Soil Sci. 1995, 75, 211–218. [Google Scholar] [CrossRef]
- Turkelboom, F.; Poesen, J.; Ohler, I.; Van Keer, K.; Ongprasert, S.; Vlassak, K. Assessment of tillage erosion rates on steep slopes in northern Thailand. Catena 1997, 29, 29–44. [Google Scholar] [CrossRef]
- Bogunović, I.; Kisić, I.; Jurisić, A. Soil Compaction under Different Tillage System on Stagnic Luvisols. Agric. Conspec. Sci. 2014, 79, 57–63. [Google Scholar]
- Rasmussen, K. Impact of ploughless soil tillage on yield and soil quality: A Scandinavian review. Soil Tillage Res. 1999, 53, 3–14. [Google Scholar] [CrossRef]
- Li, Y.; Lindstrom, M.J. Evaluating soil quality-soil redistribution relationship on terraces and steep hillslope. Soil Sci. Soc. Am. J. 2001, 65, 1500–1508. [Google Scholar] [CrossRef]
- Alshammary, A.A.G.; Kouzani, A.Z.; Kaynak, A.; Khoo, S.Y.; Norton, M.; Gates, W.; Al-Maliki, M.; Rodrigo-Comino, J. The performance of the DES sensor for estimating soil bulk density under the effect of different agronomic practices. Geosciences 2020, 10, 117. [Google Scholar] [CrossRef]
- Le Bissonnais, Y.; Renaux, B.; Delouche, H. Interactions between soil properties and moisture content in crust formation, runoff and interrill erosion from tilled loess soils. CATENA 1995, 25, 33–46. [Google Scholar] [CrossRef]
- Bielders, C.L.; Baveye, P.C.; Wilding, L.P.; Drees, L.; Valentin, C. Tillage-induced spatial distribution of surface crusts on a sandy paleustult from Togo. Soil Sci. Soc. Am. J. 1996, 60, 843–855. [Google Scholar] [CrossRef]
- Ndiaye, B.; Esteves, M.; Vandervaere, J.-P.; Lapetite, J.-M.; Vauclin, M. Effect of rainfall and tillage direction on the evolution of surface crusts, soil hydraulic properties and runoff generation for a sandy loam soil. J. Hydrol. 2005, 307, 294–311. [Google Scholar] [CrossRef]
- Agata, N.; Artemi, C.; Carmelo, D.; Giuseppe, L.P.; Antonino, S.; Luciano, G. Effectiveness of carbon isotopic signature for estimating soil erosion and deposition rates in Sicilian vineyards. Soil Tillage Res. 2015, 152, 1–7. [Google Scholar] [CrossRef]
- Papiernik, S.K.; Lindstrom, M.; Schumacher, T.; Schumacher, J.; Malo, D.; Lobb, D. Characterization of soil profiles in a landscape affected by long-term tillage. Soil Tillage Res. 2007, 93, 335–345. [Google Scholar] [CrossRef]
- Quine, T.A.; Zhang, Y. An investigation of spatial variation in soil erosion, soil properties, and crop production within an agricultural field in Devon, United Kingdom. J. Soil Water Conserv. 2002, 57, 55–65. [Google Scholar]
- Fussell, G.E. Ploughs and ploughing before 1800. Agric. Hist. 1966, 40, 177–186. [Google Scholar]
- Bienes, R.; Marques, M.J.; Ruiz-Colmenero, M. Cultivos herbáceos, viñedos y olivares: El manejo tradicional del suelo y sus consecuencias en la erosión hídrica. Cuadernos de Investigación Geográfica 2012, 38, 49–74. (In Spanish) [Google Scholar] [CrossRef]
- Vanwalleghem, T.; Laguna, A.M.; Giráldez, J.; Jimenez-Hornero, F.J. Applying a simple methodology to assess historical soil erosion in olive orchards. Geomorphology 2010, 114, 294–302. [Google Scholar] [CrossRef]
- Infante-Amate, J.; De Molina, M.G.; Vanwalleghem, T.; Fernández, D.S.; Gómez, J.A. Erosion in the Mediterranean: The case of olive groves in the south of Spain (1752–2000). Environ. Hist. 2013, 18, 360–382. [Google Scholar] [CrossRef]
- Van Andel, T.H.; Zangger, E.; Demitrack, A. Land Use and soil erosion in prehistoric and historical Greece. J. Field Archaeol. 1990, 17, 379–396. [Google Scholar]
- MacLeod, D.A.; Vita-Finzi, C. Environment and provenance in the development of recent alluvial deposits in Epirus, NW Greece. Earth Surf. Process. Landf. 1982, 7, 29–43. [Google Scholar] [CrossRef]
- Ackermann, O.; Greenbaum, N.; Bruins, H.; Porat, N.; Bar-Matthews, M.; Almogi-Labin, A.; Schilman, B.; Ayalon, A.; Horwitz, L.K.; Weiss, E.; et al. Palaeoenvironment and anthropogenic activity in the southeastern Mediterranean since the mid-Holocene: The case of Tell es-Safi/Gath, Israel. Quat. Int. 2014, 328, 226–243. [Google Scholar] [CrossRef]
- Meliho, M.; Nouira, A.; Benmansour, M.; Boulmane, M.; Khattabi, A.; Mhammdi, N.; Benkdad, A. Assessment of soil erosion rates in a Mediterranean cultivated and uncultivated soils using fallout 137Cs. J. Environ. Radioact. 2019, 106021, 208–209. [Google Scholar] [CrossRef] [PubMed]
- Novara, A.; Gristina, L.; Saladino, S.; Santoro, A.; Cerda, A. Soil erosion assessment on tillage and alternative soil managements in a Sicilian vineyard. Soil Tillage Res. 2011, 117, 140–147. [Google Scholar] [CrossRef]
- López-Garrido, R.; Madejón, E.; León-Camacho, M.; Girón, I.; Moreno, F.; Murillo, J.M. Reduced tillage as an alternative to no-tillage under Mediterranean conditions: A case study. Soil Tillage Res. 2014, 140, 40–47. [Google Scholar] [CrossRef]
- Khan, M.N.; Gong, Y.; Hu, T.; Lal, R.; Zheng, J.; Justine, M.F.; Azhar, M.; Che, M.; Zhang, H. Effect of slope, rainfall intensity and mulch on erosion and infiltration under simulated rain on purple soil of south-western Sichuan province, China. Water 2016, 8, 528. [Google Scholar] [CrossRef]
- Gilley, J.E.; Risse, L. Runoff and soil loss as affected by the application of manure. Biosyst. Eng. 2000, 43, 1583–1588. [Google Scholar]
- Bazzoffi, P. The effect of urban refuse compost and different tractors tyres on soil physical properties, soil erosion and maize yield. Soil Tillage Res. 1998, 48, 275–286. [Google Scholar] [CrossRef]
- Faucette, L.B.; Risse, L.M.; Nearing, M.A.; Gaskin, J.W.; West, L.T. Runoff, erosion, and nutrient losses from compost and mulch blankets under simulated rainfall. J. soil water conserv. 2004, 59, 154–160. [Google Scholar]
- Mtambanengwe, F.; Nezomba, H.; Tauro, T.; Chagumaira, C.; Manzeke, M.G.; Mapfumo, P. Mulching and fertilization effects on weed dynamics under conservation agriculture-based maize cropping in Zimbabwe. Environments 2015, 2, 399–414. [Google Scholar] [CrossRef]
- Smets, T.; Poesen, J. Impacts of soil tilth on the effectiveness of biological geotextiles in reducing runoff and interrill erosion. Soil Tillage Res. 2009, 103, 356–363. [Google Scholar] [CrossRef]
- Lin, C.; Tu, S.; Huang, J.; Chen, Y. The effect of plant hedgerows on the spatial distribution of soil erosion and soil fertility on sloping farmland in the purple-soil area of China. Soil Tillage Res. 2009, 105, 307–312. [Google Scholar] [CrossRef]
- Pan, C.; Ma, L. How the spatial distribution of grass contributes to controlling hillslope erosion. Hydrol. Process. 2020, 34, 68–81. [Google Scholar] [CrossRef]
- Ricci, G.F.; Jeong, J.; De Girolamo, A.M.; Gentile, F. Effectiveness and feasibility of different management practices to reduce soil erosion in an agricultural watershed. Land Use Policy 2020, 90, 104306. [Google Scholar] [CrossRef]
- Zhang, N.; Zhang, Q.; Li, Y.; Zeng, M.; Li, W.; Chang, C.; Xu, Y.; Huang, C. Effect of groundcovers on reducing soil erosion and non-point source pollution in citrus orchards on red soil under frequent heavy rainfall. Sustainability 2020, 12, 1146. [Google Scholar] [CrossRef]
- Hamadi, A.; Larid, M.; Gómez, J.A.; Ouabel, H. Potential impacts of agroforestry on controlling soil degradation by water erosion in the agricultural lands of Foothills north-west of Dahra (Mostaganem, Algeria). Proceedings 2020, 30, 50. [Google Scholar] [CrossRef]
- Phillips, R.E.; Thomas, G.W.; Blevins, R.L.; Frye, W.W.; Phillips, S.H. No-tillage agriculture. Science 1980, 208, 1108–1113. [Google Scholar] [CrossRef] [PubMed]
- Awal, R.; Safeeq, M.; Abbas, F.; Fares, S.; Deb, S.K.; Ahmad, A.; Fares, A. Soil physical properties spatial variability under long-term no-tillage corn. Agronomy 2019, 9, 750. [Google Scholar] [CrossRef]
- Izquierdo, J.; Milne, A.E.; Recasens, J.; Royo-Esnal, A.; Torra, J.; Webster, R.; Baraibar, B. Spatial and temporal stability of weed patches in cereal fields under direct drilling and harrow tillage. Agronomy 2020, 10, 452. [Google Scholar] [CrossRef]
- Álvaro-Fuentes, J.; Plaza-Bonilla, D.; Arrúe, J.L.; Lampurlanés, J.; Cantero-Martínez, C. Soil organic carbon storage in a no-tillage chronosequence under Mediterranean conditions. Plant Soil 2014, 376, 31–41. [Google Scholar] [CrossRef]
- Tosti, G.; Benincasa, P.; Farneselli, M.; Guiducci, M.; Onofri, A.; Tei, F. Processing tomato–durum wheat rotation under integrated, organic and mulch-based no-tillage organic systems: Yield, N balance and N loss. Agronomy 2019, 9, 718. [Google Scholar] [CrossRef]
- Rodrigo-Comino, J.; Giménez-Morera, A.; Panagos, P.; Pourghasemi, H.R.; Pulido, M.; Cerdà, A. The potential of straw mulch as a nature-based solution for soil erosion in olive plantation treated with glyphosate: A biophysical and socioeconomic assessment. Land Degrad. Dev. 2019, in press. [Google Scholar] [CrossRef]
- Anastasi, U.; Corinzia, S.A.; Cosentino, S.L.; Scordia, D. Performances of durum wheat varieties under conventional and no-chemical input management systems in a semiarid Mediterranean environment. Agronomy 2019, 9, 788. [Google Scholar] [CrossRef]
- Testani, E.; Ciaccia, C.; Campanelli, G.; Leteo, F.; Salvati, L.; Canali, S. Mulch-based no-tillage effects on weed community and management in an organic vegetable system. Agronomy 2019, 9, 594. [Google Scholar] [CrossRef]
- Michalopoulos, G.; Kasapi, K.A.; Koubouris, G.; Psarras, G.; Arampatzis, G.; Hatzigiannakis, E.; Kavvadias, V.; Xiloyannis, C.; Montanaro, G.; Malliaraki, S.; et al. Adaptation of Mediterranean olive groves to climate change through sustainable cultivation practices. Climate 2020, 8, 54. [Google Scholar] [CrossRef]
- Gómez, J.A.; Romero, P.; Giráldez, J.V.; Fereres, E. Experimental assessment of runoff and soil erosion in an olive grove on a Vertic soil in southern Spain as affected by soil management. Soil Use Manag. 2004, 20, 426–431. [Google Scholar] [CrossRef]
- Cerdà, A.; Rodrigo-Comino, J.; Giménez-Morera, A.; Novara, A.; Pulido, M.; Kapović-Solomun, M.; Keesstra, S.D. Policies can help to apply successful strategies to control soil and water losses. The case of chipped pruned branches (CPB) in Mediterranean citrus plantations. Land Use Policy 2018, 75, 734–745. [Google Scholar] [CrossRef]
- Bayat, F.; Monfared, A.B.; Jahansooz, M.R.; Esparza, E.T.; Keshavarzi, A.; Morera, A.G.; Fernández, M.P.; Cerdà, A. Analyzing long-term soil erosion in a ridge-shaped persimmon plantation in eastern Spain by means of ISUM measurements. CATENA 2019, 183, 104176. [Google Scholar] [CrossRef]
- Rodrigo-Comino, J.; Ponsoda-Carreres, M.; Salesa, D.; Terol, E.; Gyasi-Agyei, Y.; Cerdà, A. Soil erosion processes in subtropical plantations (Diospyros kaki) managed under flood irrigation in eastern Spain. Singap. J. Trop. Geogr. 2020, 41, 120–135. [Google Scholar] [CrossRef]
- USDA, Soil Survey Staff. Keys to Soil Taxonomy, 12th ed.; United States Department of Agriculture: Washington DC, USA, 2014. [Google Scholar]
- Iserloh, T.; Ries, J.B.; Cerdà, A.; Echeverría, M.T.; Fister, W.; Geißler, C.; Kuhn, N.J.; León, F.J.; Peters, P.; Schindewolf, M.; et al. Comparative measurements with seven rainfall simulators on uniform bare fallow land. Z. Geomorphol. 2013, 57, 11–26. [Google Scholar] [CrossRef]
- Cerdà, A. Soil erosion after land abandonment in a semiarid environment of southeastern Spain. Arid Soil Res. Rehabil. 1997, 11, 163–176. [Google Scholar] [CrossRef]
- Deshpande, V.V.; Telang, M.S. Pipet method of sedimentation analysis. rapid determination of distribution of particle size. Anal. Chem. 1950, 22, 840–841. [Google Scholar] [CrossRef]
- Walkley, A.; Black, I.A. An examination of the degtjareff method for determining soil organic matter, and a proposed modification of the chromic acid titration method. Soil Sci. 1934, 37, 29–38. [Google Scholar] [CrossRef]
- Cerdà, A.; Ackermann, O.; Terol, E.; Rodrigo-Comino, J. Impact of farmland abandonment on water resources and soil conservation in citrus plantations in eastern Spain. Water 2019, 11, 824. [Google Scholar]
- Poulenard, J.; Podwojewski, P.; Janeau, J.-L.; Collinet, J. Runoff and soil erosion under rainfall simulation of Andisols from the Ecuadorian Páramo: Effect of tillage and burning. CATENA 2001, 45, 185–207. [Google Scholar] [CrossRef]
- Wang, Y.; Cao, L. The effects of tillage practices on interrill erosion in the Red Soil region of China. Trans. ASABE 2020, 63, 211–219. [Google Scholar] [CrossRef]
- Mirás-Avalos, J.M.; Ramírez-Cuesta, J.M.; Fandiño, M.; Cancela, J.J.; Intrigliolo, D.S. Agronomic practices for reducing soil erosion in hillside vineyards under Atlantic climatic conditions (Galicia, Spain). Soil Syst. 2020, 4, 19. [Google Scholar] [CrossRef]
- Jin, K.; Cornelis, W.M.; Gabriels, D.; Schiettecatte, W.; De Neve, S.; Lu, J.; Buysse, T.; Wu, H.; Cai, D.; Jin, J.; et al. Soil management effects on runoff and soil loss from field rainfall simulation. CATENA 2008, 75, 191–199. [Google Scholar] [CrossRef]
- Guo, M.; Zhang, T.; Li, Z.; Xu, G. Investigation of runoff and sediment yields under different crop and tillage conditions by field artificial rainfall experiments. Water 2019, 11, 1019. [Google Scholar] [CrossRef]
- Zhang, J.; Hu, Q.; Wang, S.; Ai, M. Variation trend analysis of runoff and sediment time series based on the R/S analysis of simulated loess tilled slopes in the Loess Plateau, China. Sustainability 2018, 10, 32. [Google Scholar] [CrossRef]
- Novara, A.; Stallone, G.; Cerdà, A.; Gristina, L. The effect of shallow tillage on soil erosion in a semi-arid vineyard. Agronomy 2019, 9, 257. [Google Scholar] [CrossRef]
- Rodrigo Comino, J.; Iserloh, T.; Morvan, X.; Malam Issa, O.; Naisse, C.; Keesstra, S.D.; Cerdà, A.; Prosdocimi, M.; Arnáez, J.; Lasanta, T.; et al. Soil erosion processes in European vineyards: A qualitative comparison of rainfall simulation measurements in Germany, Spain and France. Hydrology 2016, 3, 6. [Google Scholar] [CrossRef]
- Rodrigo Comino, J.; Iserloh, T.; Lassu, T.; Cerdà, A.; Keestra, S.D.; Prosdocimi, M.; Brings, C.; Marzen, M.; Ramos, M.C.; Senciales, J.M.; et al. Quantitative comparison of initial soil erosion processes and runoff generation in Spanish and German vineyards. Sci. Total Environ. 2016, 565, 1165–1174. [Google Scholar] [CrossRef] [PubMed]
- Biddoccu, M.; Ferraris, S.; Pitacco, A.; Cavallo, E. Temporal variability of soil management effects on soil hydrological properties, runoff and erosion at the field scale in a hillslope vineyard, North-West Italy. Soil Tillage Res. 2017, 165, 46–58. [Google Scholar] [CrossRef]
- Capello, G.; Biddoccu, M.; Ferraris, S.; Cavallo, E. Effects of tractor passes on hydrological and soil erosion processes in tilled and grassed vineyards. Water 2019, 11, 2118. [Google Scholar] [CrossRef]
- Napoli, M.; Marta, A.D.; Zanchi, C.A.; Orlandini, S. Assessment of soil and nutrient losses by runoff under different soil management practices in an Italian hilly vineyard. Soil Tillage Res. 2017, 168, 71–80. [Google Scholar] [CrossRef]
- Pappalardo, S.E.; Gislimberti, L.; Ferrarese, F.; Marchi, M.D.; Mozzi, P. Estimation of potential soil erosion in the Prosecco DOCG area (NE Italy), toward a soil footprint of bottled sparkling wine production in different land-management scenarios. PLoS ONE 2019, 14, e0210922. [Google Scholar] [CrossRef] [PubMed]
- David, M.; Follain, S.; Ciampalini, R.; Le Bissonnais, Y.; Couturier, A.; Walter, C. Simulation of medium-term soil redistributions for different land use and landscape design scenarios within a vineyard landscape in Mediterranean France. Geomorphology 2014, 214, 10–21. [Google Scholar] [CrossRef]
- Morvan, X.; Naisse, C.; Malam Issa, O.; Desprats, J.F.; Combaud, A.; Cerdan, O. Effect of ground-cover type on surface runoff and subsequent soil erosion in Champagne vineyards in France. Soil Use Manag. 2014, 30, 372–381. [Google Scholar] [CrossRef]
- Fernández-Raga, M.; Campo, J.; Rodrigo-Comino, J.; Keesstra, S.D. Comparative analysis of splash erosion devices for rainfall simulation experiments: A laboratory study. Water 2019, 11, 1228. [Google Scholar]
- Marzen, M.; Iserloh, T.; Casper, M.C.; Ries, J.B. Quantification of particle detachment by rain splash and wind-driven rain splash. CATENA 2015, 127, 135–141. [Google Scholar] [CrossRef]
- Fernández-Raga, M.; Palencia, C.; Keesstra, S.; Jordán, A.; Fraile, R.; Angulo-Martínez, M.; Cerdà, A. Splash erosion: A review with unanswered questions. Earth-Sci. Rev. 2017, 171, 463–477. [Google Scholar] [CrossRef]
- Dalla Rosa, J.; Cooper, M.; Darboux, F.; Medeiros, J.C.; Campanaro, C.; Martins Pinto, L.R. Influence of crust formation on soil porosity under tillage systems and simulated rainfall. Hydrology 2017, 4, 3. [Google Scholar] [CrossRef]
- Zhao, L.; Hou, R.; Wu, F.; Keesstra, S. Effect of soil surface roughness on infiltration water, ponding and runoff on tilled soils under rainfall simulation experiments. Soil Tillage Res. 2018, 179, 47–53. [Google Scholar] [CrossRef]
- Yakupoglu, T.; Rodrigo-Comino, J.; Cerdà, A. Potential benefits of polymers in soil erosion control for agronomical plans: A laboratory experiment. Agronomy 2019, 9, 276. [Google Scholar] [CrossRef]
- Cerdà, A.; Rodrigo-Comino, J.; Giménez-Morera, A.; Keesstra, S.D. An economic, perception and biophysical approach to the use of oat straw as mulch in Mediterranean rainfed agriculture land. Ecol. Eng. 2017, 108, 162–171. [Google Scholar] [CrossRef]
- Álvarez-Mozos, J.; Abad, E.; Goñi, M.; Giménez, R.; Campo, M.A.; Díez, J.; Casalí, J.; Arive, M.; Diego, I. Evaluation of erosion control geotextiles on steep slopes. Part 2: Influence on the establishment and growth of vegetation. CATENA 2014, 121, 195–203. [Google Scholar] [CrossRef]
- Kavian, A.; Saleh, I.; Habibnejad, M.; Brevik, E.C.; Jafarian, Z.; Rodrigo-Comino, J. Effectiveness of vegetative buffer strips at reducing runoff, soil erosion, and nitrate transport during degraded hillslope restoration in northern Iran. Land Degrad. Dev. 2018, 29, 3194–3203. [Google Scholar] [CrossRef]
- Morschel, J.; Fox, D.M.; Bruno, J.-F. Limiting sediment deposition on roadways: Topographic controls on vulnerable roads and cost analysis of planting grass buffer strips. Environ. Sci. Policy 2004, 7, 39–45. [Google Scholar] [CrossRef]









| Variable | P | Variable | P |
|---|---|---|---|
| Plant cover | <0.001 | Soil water content (0–2 cm) | <0.001 |
| Litter | <0.001 | Soil water content (4–6 cm) | <0.001 |
| Rock fragment cover | 0.278 * | Sand (0–2 cm) | 0.005 |
| Bulk density (0–2 cm) | <0.001 | Silt (0–2 cm) | 0.123 |
| Bulk density (4–6 cm) | <0.001 * | Clay (0–2 cm) | 0.118 |
| Organic matter (0–2 cm) | <0.001 | Sand (4–6 cm) | 0.812 |
| Organic matter (4–6 cm) | 0.038 | Silt (4–6 cm) | 0.810 |
| Clay (4–6 cm) | 0.800 | ||
| Tp | Tr | Tp-Tr | Tro | Tr-Tro | ||||||
|---|---|---|---|---|---|---|---|---|---|---|
| T | NT | T | NT | T | NT | T | NT | T | NT | |
| Mean | 62 | 124 | 92 | 339 | 30 | 214 | 212 | 686 | 120 | 348 |
| SD | 5.2 | 7.8 | 5.8 | 21.8 | 8.6 | 19.6 | 27.7 | 46.0 | 30.3 | 42.8 |
| Max | 75 | 142 | 98 | 384 | 44 | 249 | 274 | 785 | 188 | 444 |
| Min | 53 | 112 | 82 | 302 | 11 | 190 | 159 | 625 | 65 | 277 |
| P | <0.001 | <0.001 | <0.001 | <0.001 | <0.001 | |||||
© 2020 by the authors. Licensee MDPI, Basel, Switzerland. This article is an open access article distributed under the terms and conditions of the Creative Commons Attribution (CC BY) license (http://creativecommons.org/licenses/by/4.0/).
Share and Cite
Cerdà, A.; Rodrigo-Comino, J.; Yakupoğlu, T.; Dindaroğlu, T.; Terol, E.; Mora-Navarro, G.; Arabameri, A.; Radziemska, M.; Novara, A.; Kavian, A.; et al. Tillage Versus No-Tillage. Soil Properties and Hydrology in an Organic Persimmon Farm in Eastern Iberian Peninsula. Water 2020, 12, 1539. https://doi.org/10.3390/w12061539
Cerdà A, Rodrigo-Comino J, Yakupoğlu T, Dindaroğlu T, Terol E, Mora-Navarro G, Arabameri A, Radziemska M, Novara A, Kavian A, et al. Tillage Versus No-Tillage. Soil Properties and Hydrology in an Organic Persimmon Farm in Eastern Iberian Peninsula. Water. 2020; 12(6):1539. https://doi.org/10.3390/w12061539
Chicago/Turabian StyleCerdà, Artemi, Jesús Rodrigo-Comino, Tuğrul Yakupoğlu, Turgay Dindaroğlu, Enric Terol, Gaspar Mora-Navarro, Alireza Arabameri, Maja Radziemska, Agata Novara, Ataollah Kavian, and et al. 2020. "Tillage Versus No-Tillage. Soil Properties and Hydrology in an Organic Persimmon Farm in Eastern Iberian Peninsula" Water 12, no. 6: 1539. https://doi.org/10.3390/w12061539
APA StyleCerdà, A., Rodrigo-Comino, J., Yakupoğlu, T., Dindaroğlu, T., Terol, E., Mora-Navarro, G., Arabameri, A., Radziemska, M., Novara, A., Kavian, A., Vaverková, M. D., Abd-Elmabod, S. K., Hammad, H. M., & Daliakopoulos, I. N. (2020). Tillage Versus No-Tillage. Soil Properties and Hydrology in an Organic Persimmon Farm in Eastern Iberian Peninsula. Water, 12(6), 1539. https://doi.org/10.3390/w12061539

