Multi-Site Statistical Downscaling Method Using GCM-Based Monthly Data for Daily Precipitation Generation
Abstract
1. Introduction
2. Materials and Methods
2.1. Study Area
2.2. Datasets
2.2.1. Observed Data
2.2.2. GCM Outputs
2.3. Spatial Interpolation Method
2.4. Temporal Downscaling Method
2.4.1. Equidistant Cumulative Distribution Functions Matching Method (EDCDFm)
2.4.2. CLIGEN Model
- Average daily precipitation on wet days (Pw);
- Standard deviation of wet day precipitation (Sd);
- Coefficient of skewness of wet day precipitation (Skew);
- The probability of a wet day following a wet day (P(W|W));
- The probability of a wet day following a dry day (P(W|D)).
2.4.3. Shuffle Procedure
3. Results
3.1. GCM Outputs Correction
3.2. Evaluation of CLIGEN-generated Daily Precipitation Based on GCM Outputs without Using Shuffle Procedure
3.2.1. Applicability Evaluation of the Proposed Downscaling Method
3.2.2. Evaluation of the Parameter α Value and R-square Value of Linear Equation
3.2.3. Evaluation of Daily Precipitation Amount
3.2.4. Evaluation of Aunual Average Wet Spell Lengths Lengths and P(W|W)
3.3. Reconstruction of Inter-Station Spatial Correlation of CLIGEN-Generated Daily Precipitation Sequences
3.4. Evaluation of Post-Shuffled Daily Precipitation Sequences
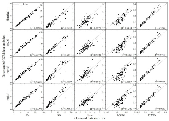
3.4.1. Comparison of CLIGEN Parameters between the Observed Data and the Downscaled GCM Data
3.4.2. Comparison of Monthly and Annual Precipitation in the Huangfuchuan Basin
3.5. Comparison of Spatial Distribution of Annual Precipitation
4. Discussion
5. Conclusions
Author Contributions
Funding
Acknowledgments
Conflicts of Interest
References
- Pachauri, R.K.; Allen, M.R.; Barros, V.R.; Broome, J.; Cramer, W.; Christ, R.; Church, J.A.; Clarke, L.; Dahe, Q.; Dasgupta, P.; et al. Climate Change 2014: Synthesis Report. Contribution of Working Groups I, II and III to the Fifth Assessment Report of the Intergovernmental Panel on Climate Change; Intergovernmental Panel on Climate Change: Geneva, Switzerland, 2014. [Google Scholar]
- Neupane, R.P.; White, J.D.; Alexander, S.E. Projected hydrologic changes in monsoon-dominated Himalaya Mountain basins with changing climate and deforestation. J. Hydrol. 2015, 525, 216–230. [Google Scholar] [CrossRef]
- Teklesadik, A.D.; Alemayehu, T.; Van Griensven, A.; Kumar, R.; Liersch, S.; Eisner, S.; Tecklenburg, J.; Ewunte, S.; Wang, X. Inter-model comparison of hydrological impacts of climate change on the Upper Blue Nile basin using ensemble of hydrological models and global climate models. Clim. Chang. 2017, 141, 517–532. [Google Scholar] [CrossRef]
- Shrestha, B.; Cochrane, T.A.; Caruso, B.S.; Arias, M.E.; Piman, T. Uncertainty in flow and sediment projections due to future climate scenarios for the 3S Rivers in the Mekong Basin. J. Hydrol. 2016, 540, 1088–1104. [Google Scholar] [CrossRef]
- Kim, Y.D.; Kim, J.M.; Kang, B. Projection of runoff and sediment yield under coordinated climate change and urbanization scenarios in Doam dam watershed, Korea. J. Water Clim. Chang. 2017, 8, 235–253. [Google Scholar] [CrossRef]
- Mondal, A.; Khare, D.; Kundu, S.; Meena, P.K.; Mishra, P.K.; Shukla, R. Impact of climate change on future soil erosion in different slope, land use, and soil-type conditions in a part of the Narmada River Basin, India. J. Hydrol. Eng. 2015, 20, C5014003. [Google Scholar] [CrossRef]
- de Hipt, F.O.; Diekkrüger, B.; Steup, G.; Yira, Y.; Hoffmann, T.; Rode, M. Modeling the impact of climate change on water resources and soil erosion in a tropical catchment in Burkina Faso, West Africa. Catena 2018, 163, 63–77. [Google Scholar] [CrossRef]
- Maraun, D.; Wetterhall, F.; Ireson, A.M.; Chandler, R.E.; Kendon, E.J.; Widmann, M.; Brienen, S.; Rust, H.W.; Sauter, T.; Themeßl, M.; et al. Precipitation downscaling under climate change: Recent developments to bridge the gap between dynamical models and the end user. Rev. Geophys. 2010, 48. [Google Scholar] [CrossRef]
- Nicks, A.D.; Gander, G.A. CLIGEN: A Weather Generator for Climate Inputs to Water Resource and Other Models. In Proceedings of the 5th International Conference on Computers in Agricultural, Orlando, FL, USA, 6–9 February 1994; pp. 903–909. [Google Scholar]
- Sharpley, A.N.; Williams, J.R. EPIC-Erosion/Productivity Impact Calculator. I: Model Documentation. II: User Manual; US Department of Agriculture: Washington, DC, USA, 1990.
- Richardson, C.W.; Wright, D.A. WGEN: A Model for Generating Daily Weather Variables; US Department of Agriculture, Agricultural Research Service: Washington, DC, USA, 1984; p. 83.
- Hanson, C.L.; Cumming, K.A.; Woolhiser, D.A.; Richardson, C.W. Microcomputer Program for Daily Weather Simulation in the Contiguous United States; ARS: Washington, DC, USA, 1994. [Google Scholar]
- Semenov, M.A.; Barrow, E.M. Use of a stochastic weather generator in the development of climate change scenarios. Clim. Chang. 1997, 35, 397–414. [Google Scholar] [CrossRef]
- Kinnell, P.I. CLIGEN as a weather generator for RUSLE2. Catena 2019, 172, 877–880. [Google Scholar] [CrossRef]
- Vu, T.M.; Mishra, A.K.; Konapala, G.; Liu, D. Evaluation of multiple stochastic rainfall generators in diverse climatic regions. Stoch. Environ. Res. Risk Assess. 2018, 32, 1337–1353. [Google Scholar] [CrossRef]
- Anache, J.A.; Flanagan, D.C.; Srivastava, A.; Wendland, E.C. Land use and climate change impacts on runoff and soil erosion at the hillslope scale in the Brazilian Cerrado. Sci. Total Environ. 2018, 622, 140–151. [Google Scholar] [CrossRef]
- Vaghefi, P.; Yu, B. Validation of CLIGEN Parameter Adjustment Methods for Southeastern Australia and Southwestern Western Australia. J. Hydrometeorol. 2017, 18, 2011–2028. [Google Scholar] [CrossRef]
- Chen, J.; Gitau, M.W.; Engel, B.A.; Flanagan, D.C. Suitability of CLIGEN precipitation estimates based on a n updated database and their impacts on urban runoff: A case study of the Great Lakes Region, USA. Hydrol. Sci. J. 2018, 63, 1502–1518. [Google Scholar] [CrossRef]
- Li, Z.; Shi, X.; Li, J. Multisite and multivariate GCM downscaling using a distribution-free shuffle procedure for correlation reconstruction. Clim. Res. 2017, 72, 141–151. [Google Scholar] [CrossRef]
- Hoomehr, S.; Schwartz, J.S.; Yoder, D.C. Potential changes in rainfall erosivity under GCM climate change scenarios for the southern Appalachian region, USA. Catena 2016, 136, 141–151. [Google Scholar] [CrossRef]
- Trotochaud, J.; Flanagan, D.C.; Engel, B.A. A simple technique for obtaining future climate data inputs for natural resource models. Appl. Eng. Agric. 2016, 32, 371–381. [Google Scholar] [CrossRef]
- Zhang, X.C. A comparison of explicit and implicit spatial downscaling of GCM output for soil erosion and crop production assessments. Clim. Chang. 2007, 84, 337–363. [Google Scholar] [CrossRef]
- Johnson, G.L.; Hanson, C.L.; Hardegree, S.P.; Ballard, E.B. Stochastic weather simulation: Overview and analysis of two commonly used models. J. Appl. Meteorol. 1996, 35, 1878–1896. [Google Scholar] [CrossRef]
- Vaghefi, P.; Yu, B. Use of CLIGEN to simulate decreasing precipitation trends in the southwest of Western Australia. Trans. ASABE 2016, 59, 49–61. [Google Scholar] [CrossRef]
- Elliot, W.J.; Arnold, C.D. Validation of the weather generator CLIGEN with precipitation data from Uganda. Trans. ASAE 2001, 44, 53. [Google Scholar] [CrossRef]
- Chen, Y.D.; Chen, X.; Xu, C.Y.; Shao, Q. Downscaling of daily precipitation with a stochastic weather generator for the subtropical region in South China. Hydrol. Earth Syst. Sci. Discuss. 2006, 3, 1145–1183. [Google Scholar] [CrossRef]
- Kou, X.; Ge, J.; Wang, Y.; Zhang, C. Validation of the weather generator CLIGEN with daily precipitation data from the Loess Plateau, China. J. Hydrol. 2007, 347, 347–357. [Google Scholar] [CrossRef]
- Li, X.; Zhang, K.; Babovic, V. Projections of Future Climate Change in Singapore Based on a Multi-Site Multivariate Downscaling Approach. Water 2019, 11, 2300. [Google Scholar] [CrossRef]
- Chen, J.; Chen, H.; Guo, S. Multi-site precipitation downscaling using a stochastic weather generator. Clim. Dyn. 2018, 50, 1975–1992. [Google Scholar] [CrossRef]
- Li, X.; Babovic, V. Multi-site multivariate downscaling of global climate model outputs: An integrated framework combining quantile mapping, stochastic weather generator and Empirical Copula approaches. Clim. Dyn. 2019, 52, 5775–5799. [Google Scholar] [CrossRef]
- Wilks, D.S. Multisite generalization of a daily stochastic precipitation generation model. J. Hydrol. 1998, 210, 178–191. [Google Scholar] [CrossRef]
- Brissette, F.P.; Khalili, M.; Leconte, R. Efficient stochastic generation of multi-site synthetic precipitation data. J. Hydrol. 2007, 345, 121–133. [Google Scholar] [CrossRef]
- Li, Z. A new framework for multi-site weather generator: A two-stage model combining a parametric method with a distribution-free shuffle procedure. Clim. Dyn. 2014, 43, 657–669. [Google Scholar] [CrossRef]
- Chen, J.; Brissette, F.P.; Zhang, X.J. A multi-site stochastic weather generator for daily precipitation and temperature. Trans. ASABE 2014, 57, 1375–1391. [Google Scholar] [CrossRef]
- Srivastav, R.K.; Simonovic, S.P. Multi-site, multivariate weather generator using maximum entropy bootstrap. Clim. Dyn. 2015, 44, 3431–3448. [Google Scholar] [CrossRef]
- Salehnia, N.; Hosseini, F.; Farid, A.; Kolsoumi, S.; Zarrin, A.; Hasheminia, M. Comparing the performance of dynamical and statistical downscaling on historical run precipitation data over a semi-arid region. Asia Pac. J. Atmos. Sci. 2019, 55, 737–749. [Google Scholar] [CrossRef]
- Sachindra, D.A.; Ahmed, K.; Rashid, M.M.; Shahid, S.; Perera, B.J. Statistical downscaling of precipitation using machine learning techniques. Atmos. Res. 2018, 212, 240–258. [Google Scholar] [CrossRef]
- Onyutha, C.; Tabari, H.; Rutkowska, A.; Nyeko-Ogiramoi, P.; Willems, P. Comparison of different statistical downscaling methods for climate change rainfall projections over the Lake Victoria basin considering CMIP3 and CMIP5. J. Hydro Environ. Res. 2016, 12, 31–45. [Google Scholar] [CrossRef]
- Shi, H.Y.; Li, T.J.; Zhu, J.F.; Zhang, A. Impact of Check Dams on the Sharp Decrease of Runoff in the Middle Yellow River: Case Study in the Huangfuchuan River Basin. In Proceedings of the International Yellow River Forum, Zhengzhou, China, 24–28 September 2012; pp. 461–462. [Google Scholar] [CrossRef]
- Yang, Q. Baseflow Change of Different Geomorphologic Regions in the Middle Yellow River and Its Responses to Ecological Construction; Xi’an University of Technology: Xi’an, China, 2019. [Google Scholar]
- Yang, Q.; Li, Z.; Han, Y.; Gao, H. Responses of Baseflow to Ecological Construction and Climate Change in Different Geomorphological Types in The Middle Yellow River, China. Water 2020, 12, 304. [Google Scholar] [CrossRef]
- Wang, W.L.; Li, Z.B.; Zhang, P.C.; Liu, M. Study on the development characteristics of debris flow in huangfuchuan river basin in the sandy and coarse sand area. Yellow River 2003, 25, 18–19. [Google Scholar]
- Li, E.; Mu, X.; Zhao, G.; Gao, P.; Sun, W. Effects of check dams on runoff and sediment load in a semi-arid river basin of the Yellow River. Stoch. Environ. Res. Risk Assess. 2017, 31, 1791–1803. [Google Scholar] [CrossRef]
- Chen, Y.; Guan, Y.; Shao, G.; Zhang, D. Investigting trends in streamflow and precipitation in Huangfuchuan Basin with wavelet analysis and the Mann-Kendall test. Water 2016, 8, 77. [Google Scholar] [CrossRef]
- Hu, Z.; Wang, L.; Wang, Z.; Hong, Y.; Zheng, H. Quantitative assessment of climate and human impacts on surface water resources in a typical semi-arid watershed in the middle reaches of the Yellow River from 1985 to 2006. Int. J. Climatol. 2015, 35, 97–113. [Google Scholar] [CrossRef]
- Chen, L.; Frauenfeld, O.W. A comprehensive evaluation of precipitation simulations over China based on CMIP5 multimodel ensemble projections. J. Geophys. Res. Atmos. 2014, 119, 5767–5786. [Google Scholar] [CrossRef]
- Wang, L.; Chen, W. A CMIP5 multimodel projection of future temperature, precipitation, and climatological drought in China. Int. J. Climatol. 2014, 34, 2059–2078. [Google Scholar] [CrossRef]
- Ying, X.; Chong-Hai, X.U. Preliminary assessment of simulations of climate changes over China by CMIP5 multi-models. Atmos. Ocean. Sci. Lett. 2012, 5, 489–494. [Google Scholar] [CrossRef]
- Jia, W.U.; Bo-Tao, Z.; Ying, X.U. Response of precipitation and its extremes over China to warming: CMIP5 simulation and projection. Chin. J. Geophys. 2015, 58, 461–473. [Google Scholar] [CrossRef]
- Zhao, T.; Chen, L.; Ma, Z. Simulation of historical and projected climate change in arid and semiarid areas by CMIP5 models. Chin. Sci. Bull. 2014, 59, 412–429. [Google Scholar] [CrossRef]
- Chong-Hai, X.U.; Ying, X. The projection of temperature and precipitation over China under RCP scenarios using a CMIP5 multi-model ensemble. Atmos. Ocean. Sci. Lett. 2012, 5, 527–533. [Google Scholar] [CrossRef]
- Maurer, E.P.; Hidalgo, H.G. Utility of daily vs. monthly large-scale climate data: An intercomparison of two statistical downscaling methods. Hydrol. Earth Syst. Sci. 2008, 12, 551–563. [Google Scholar] [CrossRef]
- Li, Z.; Liu, W.Z.; Zhang, X.C.; Zheng, F.L. Assessing the site-specific impacts of climate change on hydrology, soil erosion and crop yields in the Loess Plateau of China. Clim. Chang. 2011, 105, 223–242. [Google Scholar] [CrossRef]
- de Amorim Borges, P.; Franke, J.; da Anunciação, Y.M.; Weiss, H.; Bernhofer, C. Comparison of spatial interpolation methods for the estimation of precipitation distribution in Distrito Federal, Brazil. Theor. Appl. Climatol. 2016, 123, 335–348. [Google Scholar] [CrossRef]
- Chen, F.W.; Liu, C.W. Estimation of the spatial rainfall distribution using inverse distance weighting (IDW) in the middle of Taiwan. Paddy Water Environ. 2012, 10, 209–222. [Google Scholar] [CrossRef]
- Cao, Y. Comparison of Three Methods for the Spatial Interpolation of Rainfall Data; Technical University of Munich: Munich, Germany, 2017. [Google Scholar]
- Chen, J.; Brissette, F.P.; Chaumont, D.; Braun, M. Performance and uncertainty evaluation of empirical downscaling methods in quantifying the climate change impacts on hydrology over two North American river basins. J. Hydrol. 2013, 479, 200–214. [Google Scholar] [CrossRef]
- Li, H.; Sheffield, J.; Wood, E.F. Bias correction of monthly precipitation and temperature fields from Intergovernmental Panel on Climate Change AR4 models using equidistant quantile matching. J. Geophys. Res. Atmos. 2010, 115. [Google Scholar] [CrossRef]
- Zhang, X.C.; Nearing, M.A.; Garbrecht, J.D.; Steiner, J.L. Downscaling monthly forecasts to simulate impacts of climate change on soil erosion and wheat production. Soil Sci. Soc. Am. J. 2004, 68, 1376–1385. [Google Scholar] [CrossRef]
- Wang, X.; Yang, T.; Li, X.; Shi, P.; Zhou, X. Spatio-temporal changes of precipitation and temperature over the Pearl River basin based on CMIP5 multi-model ensemble. Stoch. Environ. Res. Risk Assess. 2017, 31, 1077–1089. [Google Scholar] [CrossRef]
- Yu, B. Adjustment of CLIGEN parameters to generate precipitation change scenarios in southeastern Australia. Catena 2005, 61, 196–209. [Google Scholar] [CrossRef]
- Tarpanelli, A.; Franchini, M.; Brocca, L.; Camici, S.; Melone, F.; Moramarco, T. A simple approach for stochastic generation of spatial rainfall patterns. J. Hydrol. 2012, 472, 63–76. [Google Scholar] [CrossRef]
- Iman, R.L.; Conover, W.J. A distribution-free approach to inducing rank correlation among input variables. Commun. Stat. Simul. Comput. 1982, 11, 311–334. [Google Scholar] [CrossRef]
- Gregory, J.M.; Wigley, T.M.L.; Jones, P.D. Determining and interpreting the order of a two-state Markov Chain: Application to models of daily precipitation. Water Resour. Res 1992, 28, 1443–1446. [Google Scholar] [CrossRef]
- Mehrotra, R.; Srikanthan, R.; Sharma, A. A comparison of three stochastic multi-site precipitation occurrence generators. J. Hydrol. 2006, 331, 280–292. [Google Scholar] [CrossRef]
- Lennartsson, J.; Baxevani, A.; Chen, D. Modelling precipitation in Sweden using multiple step Markov chains and a composite model. J. Hydrol. 2008, 363, 42–59. [Google Scholar] [CrossRef]
- Wang, S.; Wang, Y. Improving probabilistic hydroclimatic projections through high-resolution convection-permitting climate modeling and Markov chain Monte Carlo simulations. Clim. Dyn. 2019, 53, 1613–1636. [Google Scholar] [CrossRef]
- Zhang, B.; Wang, S.; Wang, Y. Copula-Based Convection-Permitting Projections of Future Changes in Multivariate Drought Characteristics. J. Geophys. Res. Atmos. 2019, 124, 7460–7483. [Google Scholar] [CrossRef]
- Teutschbein, C.; Seibert, J. Bias correction of regional climate model simulations for hydrological climate-change impact studies: Review and evaluation of different methods. J. Hydrol. 2012, 456, 12–29. [Google Scholar] [CrossRef]
- Murphy, J. An evaluation of statistical and dynamical techniques for downscaling local climate. J. Clim. 1999, 12, 2256–2284. [Google Scholar] [CrossRef]












| Abbreviation | Station Name | Elevation (m) | Latitude(N) | Longitude (E) | Annual Precipitaiton 1976–2005 (mm) |
|---|---|---|---|---|---|
| Wlg | Wulangou | 1204 | 39°57′ | 110°41′ | 298.89 |
| Dsx | Deshengxi | 1193 | 39°51′ | 110°35′ | 313.40 |
| Sgd | Shagedu | 976 | 39°38′ | 110°52′ | 388.61 |
| Gc | Gucheng | 975 | 39°32′ | 110°59′ | 381.86 |
| Ljt | Liujiata | 1162 | 39°52′ | 111°04′ | 357.51 |
| Hzt | Haizita | 1132 | 39°47′ | 111°07′ | 404.47 |
| Hf | Huangfu | 860 | 39°17′ | 111°05′ | 397.40 |
| Nl | Nalin | 1060 | 39°43′ | 110°48′ | 341.68 |
| Xyz | Xiyingzi | 1070 | 39°37′ | 110°43′ | 343.69 |
| Ct | Changtan | 989 | 39°36′ | 111°10′ | 379.65 |
| Model | Institution | Resolution |
|---|---|---|
| CNRM-CM5 | CNRM/Centre Europeen de Recherche et Formation Avancees en Calcul Scientifique, France | 128 × 256 |
| CSIRO-Mk3-6-0 | Commonwealth Scientific and Industrial Research Organisation in collaboration with the Queensland Climate Change Centre of Excellence | 96 × 192 |
| GFDL-CM3 | Geophysical Fluid Dynamics Laboratory | 90 × 144 |
| GFDL-ESM2G | 90 × 144 | |
| GFDL-ESM2M | 90 × 144 | |
| GISS-E2-H | NASA Goddard Institute for Space Studies | 90 × 144 |
| GISS-E2-R | 90 × 144 | |
| HadGEM2-AO | National Institute of Meteorological Research/Korea Meteorological Administration | 144 × 192 |
| IPSL-CM5A-MR | Institute Pierre-Simon Laplace | 143 × 144 |
| MIROC5 | Atmosphere and Ocean Research Institute (The University of Tokyo), National Institute for Environmental Studies, and Japan Agency for Marine-Earth Science and Technology | 128 × 256 |
| MIROC-ESM | Japan Agency for Marine-Earth Science and Technology, Atmosphere and Ocean Research Institute (The University of Tokyo), and National Institute for Environmental Studies | 64 × 128 |
| MIROC-ESM-CHEM | 64 × 128 | |
| MPI-ESM-LR | Max Planck Institute for Meteorology (MPI-M) | 96 × 192 |
| MRI-CGCM3 | Meteorological Research Institute | 160 × 320 |
| NorESM1-M | Norwegian Climate Centre | 96 × 144 |
| Data | Mean (mm) | Standard Deviation(mm) | ME (mm) | RD | RMSE (mm) |
|---|---|---|---|---|---|
| Observation | 358.79 | 80.46 | |||
| GCM historical data before correction | 499.70 | 22.83 | 140.91 | 0.39 | 152.64 |
| GCM historical data after correction | 357.64 | 85.02 | −1.15 | 0.003 | 100.83 |
© 2020 by the authors. Licensee MDPI, Basel, Switzerland. This article is an open access article distributed under the terms and conditions of the Creative Commons Attribution (CC BY) license (http://creativecommons.org/licenses/by/4.0/).
Share and Cite
Su, X.; Shao, W.; Liu, J.; Jiang, Y. Multi-Site Statistical Downscaling Method Using GCM-Based Monthly Data for Daily Precipitation Generation. Water 2020, 12, 904. https://doi.org/10.3390/w12030904
Su X, Shao W, Liu J, Jiang Y. Multi-Site Statistical Downscaling Method Using GCM-Based Monthly Data for Daily Precipitation Generation. Water. 2020; 12(3):904. https://doi.org/10.3390/w12030904
Chicago/Turabian StyleSu, Xin, Weiwei Shao, Jiahong Liu, and Yunzhong Jiang. 2020. "Multi-Site Statistical Downscaling Method Using GCM-Based Monthly Data for Daily Precipitation Generation" Water 12, no. 3: 904. https://doi.org/10.3390/w12030904
APA StyleSu, X., Shao, W., Liu, J., & Jiang, Y. (2020). Multi-Site Statistical Downscaling Method Using GCM-Based Monthly Data for Daily Precipitation Generation. Water, 12(3), 904. https://doi.org/10.3390/w12030904

