Abstract
Microplastics and nanoplastics are abundant in the environment, and the fate and impact of nanoplastics are of particular interest because of their small size. Wastewater treatment plants are a sink for nanoplastics, and large quantities of nanoplastics are discharged into surface waters through wastewater as well as stormwater effluents. There is a need to understand the fate and removal of nanoplastics during water, wastewater, and stormwater treatment, and this study investigated their removal on a bench-scale using synthesized nanoplastics (<400 nm) to allow controlled experiments. Plastic particles were created in the lab to control their size, and bench-scale dewatering devices were tested for their ability to remove these particles. Filtration with a 0.22 μm filter removed 92 ± 3% of the particles, centrifugation at 10,000 rpm (670,800 g) for 10 min removed 99 ± 1% of the particles, and ballasted flocculation removed 88 ± 3%. These results provide a general idea of the magnitude of the removal of nanoplastics with separation processes, and more work is recommended to determine the degree of removal with full-scale unit processes. Even though the removal was good using all three treatments, smaller particles escaping treatment may increase the nanoplastics concentration of receiving water bodies and impact aquatic ecosystems.
1. Introduction
Small plastic particles have become abundant in the environment due to the mass production of plastics and the low recycle rates for plastic products. Microplastics are defined as plastic particles having a size in the range of 100 nm to 5 mm. There is some disagreement amongst researchers as to the size of nanoplastics with some defining nanoplastics as those with at least one dimension less than 100 nm, and others defining nanoplastics as less than one micron [1,2,3]. The latter definition was adopted in this study. Larger microplastics that are in the mm size range are relatively easy to remove during water and wastewater treatment with settling and filtration-based processes, but plastics that are smaller than 1 µm may escape treatment in significant quantities in the effluent. Wastewater treatment plants are one of the main pathways of microplastic pollution, and treated wastewater discharges are an important source of nanoplastics, microbeads and synthetic textile fibers to surface waters [4,5]. Microplastic discharges from wastewater treatment plants have been reported to reach up to 15 million particles [4,5] and of particular concern for aquatic ecosystems are the nanoplastics in effluent discharges. Stormwater systems are also an important source of microplastics and provide a direct pathway to terrestrial microplastics into surface waters [6]. Stormwater ponds were reported to contain up to 22,894 microplastics/m3 [7].
The prevalence, fate, and environmental effects of microplastics have been studied to some extent in recent years, but nanoplastics have been much less studied, due primarily to difficulties quantifying and characterizing nanoplastics in environmental samples. Microplastics are ingested by a wide range of fresh and saltwater species and can result in injury, disturbed feeding, disturbed swimming, immune responses, altered metabolism, tumors, and mortality among other effects [8]. There are very few studies on nanoplastics but they have been shown to have many of the same effects [3]. In fact, their small size, high surface curvature, and high surface area may increase their risk to wildlife. Their small size allows them to pass biological barriers and penetrate tissues, and they have been shown to interfere with algae photosynthesis [9].
Micro and nanoplastics can also pose a risk to aquatic environments through desorption of sorbed chemicals and/or transport of pathogens [8,10]. During wastewater treatment, nanoplastics can adsorb a wide range of chemicals resulting in particles with high concentrations of these chemicals which may later be desorbed after discharge into the environment. There is some debate over whether sorbed organic chemicals from microplastics are a significant threat to aquatic life, which are exposed to organic chemicals from other sources as well. However, bench-scale studies have shown adverse effects [11]. The larger surface area to volume ratio of nanoparticles increases their adsorption efficiency, but also increases the amount of adsorbed organic chemicals per particle if those particles escape treatment.
The fate of nanoplastics through wastewater treatment plant processes remains unknown. This is due to difficulties measuring nanoparticles in environmental samples. Methods for measuring nanoparticles, such as microscopy and spectroscopic tools, are time consuming and can disturb the characteristics of the particles [9,12]. Tools such as dynamic light scattering and nanoparticle tracking analysis can be used without disturbing the samples, but are unable to distinguish between plastic and naturally occurring nanoparticles [12]. The fate of microplastics in wastewater treatment has been more widely studied. For particles between 125 and 400 μm, Carr et al. [4] observed complete removal from wastewater treatment plants with tertiary gravity filtration, but incomplete (1 microplastic particle/1.14 thousand L) removal for plants with secondary treatment. Talvitie et al. [13] also found that although secondary treatment removed 98.4% of microplastics, the effluent had a fiber concentration 25 times and a particle concentration 3 times that of the receiving waters.
Due to difficulties in measuring nanoparticles in environmental samples, accompanied by the need to understand the fate of nanoplastics through treatment processes, this study investigated the removal of nanoplastics with gravity-based and mechanical separation processes on a bench-scale using synthesized nanoplastics (<400 nm). Physical separation methods were investigated and particle size profiles following treatment were used to provide additional information about the behavior of the particles. The selected separation processes are commonly employed for water, wastewater, and stormwater treatment, and the objective of the study was to determine and compare their effectiveness and further improve their performance in removing nanoplastics (<400 nm) from water.
2. Materials and Methods
This study investigated the removal of nanoplastic particles with common water and wastewater treatments, as well as the effects of these treatments on the particle size distribution of the remaining particles. Filtration, centrifugation, and ballasted flocculation were all evaluated. Uniform nanoplastic particles were prepared for this study, and turbidity was used to measure removal.
2.1. Overview
The nanoplastic particles used in this experiment were created in the lab using the procedure described in Section 2.2, below. They were then measured for size using scanning electron microscope (SEM) images as described in Section 2.3. Filtration (Section 2.6), centrifugation (Section 2.7), and ballast flocculation (Section 2.8) were all evaluated for their ability to remove the nanoplastic particles. Gravity settling tests were also conducted for comparison purposes (Section 2.9). Turbidity measurements (Section 2.4) were used to determine the removal efficiency for each of these processes. Zetasize measurements (Section 2.5) were used to determine changes in size distribution occurring during each removal process.
2.2. Preparation of the Nanoplastic Solution
Polymeric plastics were created containing carboxylic acid functional groups [14]. These plastics would be a good surrogate for polyethylene terephthalate (PET). Functional monomer methacrylic acid (MAA) (Sigma-Aldrich; Oakville, ON, Canada) and cross-linker ethylene glycol dimethacrylate (EGDMA) (Sigma-Aldrich; Oakville, ON, Canada) were dissolved in a porogen with a molar ratio of 1 mmol:8 mmol:6.7 mmol [15]. The porogen was composed of 40 mL of 1:3 (v:v) acetone (Fisher Scientific; Ottawa, Canada), and acetonitrile (Fisher; Ottawa, ON, Canada). 2% (w:w) of 2-isobutryonitrile (AIBN) was added as the initiator (Sigma-Aldrich; Oakville, ON, Canada). The mixture was mixed with a vortex mixer (Fisher Scientific Vortex Mixer, Chicago, IL, USA), deoxygenated with nitrogen for five minutes, and then placed in a 60 °C hot water bath for 24 h (Isotemp 220, Fisher, Chicago, IL, USA). The resulting nanoplastic particles were dewatered using a centrifuge (Thermo Scientific Sorval Legend RT+, Fisher Scientific, Chicago, IL, USA) at 10,000 rpm, air dried at room temperature, and ground manually.
Briefly, a nanoplastic solution was prepared by weighing 5 mg of nanoplastic particles and sonicating them (Vibracell Sonics, Sonics and Materials Inc., Newtown, CT, USA) in 1 L of deionized water for 15 min to disperse the plastic. The solution was stirred thoroughly before being dispensed.
2.3. Scanning Electron Microscope (SEM) Images
A Tescan Vegall XMU SEM instrument was used to obtain SEM images. The nanoplastics were coated with gold prior to imaging using RF (radio frequency) sputter (Anatech Hummer, Union City, CA, USA). The images were collected at a working distance of 7–8 mm.
2.4. Turbidity Measurements
The amount of nanoplastics removed was evaluated using before and after comparisons of turbidity. Turbidity measurements were taken using a Hach 2100 AN turbidity meter (Hach USA, Product Number: 4,700,100, Distributed by Hach Canada, London, ON, Canada).
Turbidity was chosen to measure particle removal because turbidity meters are most sensitive for nanoparticles with diameters close to the wavelength of visible light, and the nanoplastic particles had an average size of 217 ± 4 nm. A study with latex particles of varying sizes found that the maximum sensitivity occurred at a wavelength of 0.2 µm [16]. All turbidity measurements were higher than 0.5 NTU (nephelometric turbidity units) in this study. Additionally, a high initial particle concentration of 5 mg solids/L was chosen to enable the study of the behavior of nanoplastic particles through various water and wastewater treatments. At these concentrations, alternative methods such as counting under a microscope were not feasible; however, the turbidity was well above the 0.03 NTU detection limit identified by Gregory et al. [16], and turbidity presented a quick and straightforward means of measuring relative particle concentrations before and after treatment [16].
2.5. Particle Size Measurements
A Malvern Nano ZS Zetasizer (Malvern Instruments, St. Laurent, QC, Canada) was used to obtain particle size distributions and measure the average particle size before and after nanoplastics removal. Two experimental replicates, each consisting of two analytical replicates, were conducted.
2.6. Removal of Nanoplastics with Filtration
A bench-scale vacuum filtration set-up was used to evaluate the effectiveness of varying filter pore sizes on nanoplastic removal. The pore sizes investigated were: 0.22 µm (using a nylon syringe filter from Derian), 0.7 µm (GF/F glass microfiber filters, Whatman, Mississauga, ON, Canada,), 1 µm (GF/B glass microfiber filters, Whatmann, Mississauga, ON, Canada), 1.6 µm (G6 glass fiber circles, Fisher), and 3 µm (Grade 6 qualitative filters, Whatmann, Mississauga, ON, Canada). Three experimental replicates, evaluated with turbidity, were used for all removal experiments.
2.7. Removal of Nanoplastics with Centrifugation
Centrifuge time and speed were varied to determine optimum conditions for removal of nanoplastics. The nanoplastic solution was prepared as outlined above and poured into three 50 mL tubes. The centrifuge (Thermo Scientific Sorval Legend RT+, Fisher Scientific, Chicago, IL, USA) was run for varying times and speeds. Then a 20 mL sample was pipetted from the surface. In the first set of experiments, the centrifuge time was varied for a constant speed of 10,000 rpm corresponding to 670,800 times the force of gravity (g). In the second set of experiments, the centrifuge speed was varied for a constant time. Three experimental replicates, evaluated with turbidity, were used for all removal experiments.
2.8. Removal of Nanoplastics with Ballasted Flocculation
The jar test procedure for ballasted flocculation was followed as described by Desjardins et al. [17]. A jar test apparatus from Phipps and Bird (Richmond, WV, USA) was used with a flat blade impeller. The mixing speed was kept constant at 150 rpm throughout and the coagulants, microsand, and polymer were added as follows: (1) at time t = 0, the coagulant was added and the jar tester started; (2) at time t = 2 min, the microsand and a percentage of the polymer were added; (3) at time t = 4 min, the remainder of the polymer was added; (4) at time t = 10 min the mixing was turned off and the nanoplastics were allowed to settle by gravity; and (5) at time t = 13 min, a sample was taken approximately 5 cm below the surface. The times were varied in some cases to achieve optimum performance, but the order of the additions was maintained. The speed of impeller rotation for the jar-tester remained constant throughout. Three experimental replicates, evaluated with turbidity, were used for all removal experiments.
2.8.1. Chemicals and Sand for Ballasted Flocculation
The coagulant used for ballasted flocculation was aluminum sulfate (CAS 7784-31-8) (Anachemia, Montreal, QC, Canada). The polymer was Flopolymer CA4800 (SNF, Trois Rivieres, QC, Canada). Microsand samples were obtained from John Meunier Inc. (St. Laurent, QC, Canada).
2.8.2. Effect of Settling Time
To illustrate the effect that ballasted flocculation had on nanoplastic settleability, the nanoplastic solution was allowed to settle for 1 h following treatment, and the turbidity was monitored over time.
2.8.3. Control Parameters
Since there were many factors (alum dose, polymer dose, the percent of the polymer added initially, sand dose, mixing intensity, coagulation time, flocculation time, and settling time) capable of influencing the effectiveness of the ballasted flocculation treatment, a statistical approach employing a 28−4 factorial design was used to determine which factors had a significant impact on performance. A linear regression model was obtained from the results.
2.8.4. Optimization of Ballasted Flocculation Conditions
Using the linear regression model obtained from the factorial design experiments, a path proportional to the coefficients in the regression model was followed until an increase in turbidity was observed. The conditions corresponding to the step before the increase in turbidity were taken as the optimum conditions.
2.9. Removal of Nanoplastics with Gravity Settling
To determine the settleability of the nanoplastic particles with no treatment, three 1 L beakers of the 5 mg/L nanoplastic suspension in tap water were monitored for 24 h. Samples were taken 5 cm below the surface of the water and measured for turbidity. Three experimental replicates, evaluated with turbidity, were used for all removal experiments.
3. Results and Discussion
3.1. Nanoplastic Characterization Prior to Treatment
Figure 1 shows a scanning electron microscope (SEM) image of the nanoplastic prepared for this study. From this image, the particles had an average diameter of 333 ± 76 nm. They were spherical in shape and allowed for well-controlled experiments.
Figure 1.
SEM (scanning electron microscope) image of nanoplastic particles.
To investigate the effect of various physical separation methods on removal and the size distribution of the nanoplastics, zeta size measurements were used to obtain a profile of the particle size distribution prior to treatment, and the results are shown in Figure 2. Zetasizer results show two analytical replicates. A second experimental replicate was also taken, and results were used to calculate average particle size, but are not shown.
Figure 2.
Particle size distribution of nanoplastic particles (Nano ZS Zetasizer). Lines indicate replicate results.
The x-axis of Figure 2 shows the equivalent circle diameter, which is the diameter of the particles assuming the particles are spherical. Since the nanoplastics were roughly spherical, as shown in Figure 1, this was an accurate assumption. It is important to note that the x-axis is a logarithmic scale, so while the particle size distribution appears normal, it is skewed to the right. The y-axis shows the intensity of the signal for each diameter of particle, which provides a relative measure of how many particles of each diameter are present. The average particle size prior to treatment as measured by the Zetasizer was 217 ± 4 nm. This is smaller than the 333 ± 76 nm particle size obtained from the SEM image. The Zetasizer measures the hydrodynamic diameter, which is generally different from the geometric diameter. More importantly, the Zetasizer averages a much larger sample size than the SEM, where the particle size was estimated from the average diameter of 5 particles, and thus the Zetasizer may provide a better estimate.
3.2. Filtration
Next, the effect of filtration on the concentration and size distribution of the nanoplastic particles was studied. Figure 3 shows the removal of nanoplastics using a bench-scale filtration set-up with filter pore sizes ranging from 0.22 to 3 μm. Turbidity measurements were used to determine the degree of removal.
Figure 3.
Percent removal of nanoplastics with filtration based on turbidity measurements.
As expected, the removal of the nanoplastics increased with decreasing pore size. The 3 μm filters removed 32 ± 12% of the particles, and the 0.22 μm filters removed 92 ± 3%. Since the nanoplastics had an average size of 333 ± 76 nm (from SEM images) or 217 ± 4 nm (from Zetasizer measurements), it was expected that the 0.22 μm filters would remove most but not all of the plastic particles. However, even the 0.7 μm filters were very effective at removing the particles and were capable of removing 84 ± 3%.
There are several reasons why filter sizes larger than the measured diameter of the particles might retain a fraction of the nanoplastics. Pore blocking from particles that have already been retained will reduce the effective pore size, or electrostatic charges may increase nanoplastic retention. The nanoplastics contained a negative surface charge under neutral conditions [14] and may have adsorbed to positive functional groups within the membranes [18]. Also, although the particles were fairly homogeneous in size and shape as seen from scanning electron microscope images, the particles may not have been completely separated in solution, and groups of particles could have been retained on much larger filter sizes.
The particle size distribution was measured following filtration with the 0.22 μm filter to gain a better idea of which particle sizes were removed during filtration. The results are shown in Figure 4. The average particle size measured by the zetasizer following filtration was 275 ± 70 nm. This is larger than the 217 ± 4 nm measured prior to filtration, although it was still within the range of error. This was not expected because filtration was expected to preferentially remove larger particles. It is possible that filtration caused agglomerations of finer particles that went through the filter leading to a larger average size. The difference between experimental replicates was also larger following treatment, which was expected due to slight differences in treatment experienced by samples during filtration. Comparing the distribution in Figure 4 to that in Figure 2, the spread of particle sizes was much smaller and there were fewer large particles. This also fits the hypothesis that filtration removed larger particles but caused the agglomeration of smaller particles by providing opportunities for particles to contact each other, reducing the spread in particle sizes. However, although the spread in particle sizes was reduced slightly, the distribution still appeared normal (although on a logarithmic axis this means it was skewed to the right) and the average particle size did not change significantly, indicating that the removal, which was significant (92 ± 3%) was fairly uniform across all particle sizes. This is noteworthy because preferential removal of larger particles during filtration could lead to an overly optimistic evaluation of filtration as a removal mechanism if smaller particles have a greater environmental impact. Full-scale removal would, of course, be different than bench-scale, but, due to difficulties measuring full-scale removal, lab experiments can provide a general idea of the behavior of nanoplastics during filtration. Additionally, 0.1 µm microfiltration or nanofiltration may be used at the full-scale to achieve greater removal.
Figure 4.
Particle size distribution of nanoplastic particles (Nano ZS Zetasizer) following filtration (pore size 0.22µm). Lines indicate replicate results.
3.3. Centrifugation
The effects of centrifugation on removal of nanoplastics was investigated for varying centrifuge times and speeds. The purpose was to give an idea of how many nanoplastics may be escaping centrifugation during wastewater treatment, in biosolids dewatering for example, where they would then re-join the wastewater influent. Figure 5a shows the percent removal for a constant centrifuge time (3 min) and varying centrifuge speed (5000–10,000 rpm), and Figure 5b shows the results for a constant centrifuge speed (10,000 rpm corresponding to 670,800 g) and varying centrifuge time (1–10 min). For a constant centrifuge time (Figure 5a) the percent removal increased distinctly for increasing centrifuge speeds between 5000 and 7000 rpm, from 49 ± 10% to 80 ± 7%. The increase was then more gradual for 8000–10,000 rpm from 84 ± 4% to 94 ± 6%. As presented in Figure 5b, the percent removal increased sharply for increasing centrifuge times from 0–3 min, increasing from 36 ± 7% after 1 min to 94 ± 6% after 3 min. The increase in percent removal was more gradual for longer centrifuge times, reaching 99 ± 1% for a 10-min centrifuge time.

Figure 5.
(a): Percent removal of nanoplastics by centrifugation at varying centrifuge speeds (time = 3 min) based on turbidity measurements. (b): Percent removal of nanoplastics by centrifugation at 10,000 RPM for varying centrifuge times based on turbidity measurements.
Although 99% removal appears excellent, any particles escaping treatment can increase the concentrations of nanoparticles in receiving waters. Murphy et al. [19] measured a decrease of 98.41% for microplastics in a secondary wastewater treatment plant, but noted that this still contributed 65 million microplastics per day to the receiving waters due to the large volume of wastewater treated per day.
Figure 6 shows the particle size distribution measured by the zetasizer following centrifugation at 10,000 rpm for 10 min. The average particle size following centrifuge treatment was 206 ± 45 nm. The error measures the difference between experimental replicates, which were themselves averages of two analytical replicates. Following centrifugation, there was a greater difference between experimental replicates than the untreated sample, presumably because there were more opportunities for differences to occur. In Figure 6, it appears as if the particle size distribution was skewed to the left. However, because the x-axis scale is logarithmic, the skew was, in fact, to the right. In comparison to the size distribution of the untreated sample shown in Figure 2, there are relatively fewer large particles (greater than 300 nm), and more smaller particles (less than 100 nm). The decrease in larger particles was expected because centrifugation can be expected to preferentially remove larger, heavier particles. An increase in small particles was not expected, but it is important to note that the Zetasizer measures intensity based on the relative particle count. Therefore, there may have been no actual increase in the number of smaller particles, but rather a decrease in larger and average size particles which led to an increase in the proportion of particles less than 100 nm. This may be of concern for wastewater treatment because it appears to indicate that smaller particles are not removed via centrifugation, and, as previously mentioned, smaller particles may have a greater environmental impact than larger particles.
Figure 6.
Particle size distribution of nanoplastic particles (Nano ZS Zetasizer) following centrifugation (time = 10 min). Lines indicate replicate results.
3.4. Ballasted Flocculation
Ballasted flocculation is typically used in drinking water treatment processes to remove fine particles; however, there are also applications in wastewater and combined sewer overflow treatment. Microsand, with a density of approximately 2700 kg/m3, is incorporated into the coagulation-flocculation-settling regime typically used for water treatment to increase the size and density of particles to be removed [17]. Ballasted flocculation is effective in removal of small particles that are difficult to remove, and it was tested for removal of nanoplastics in this study.
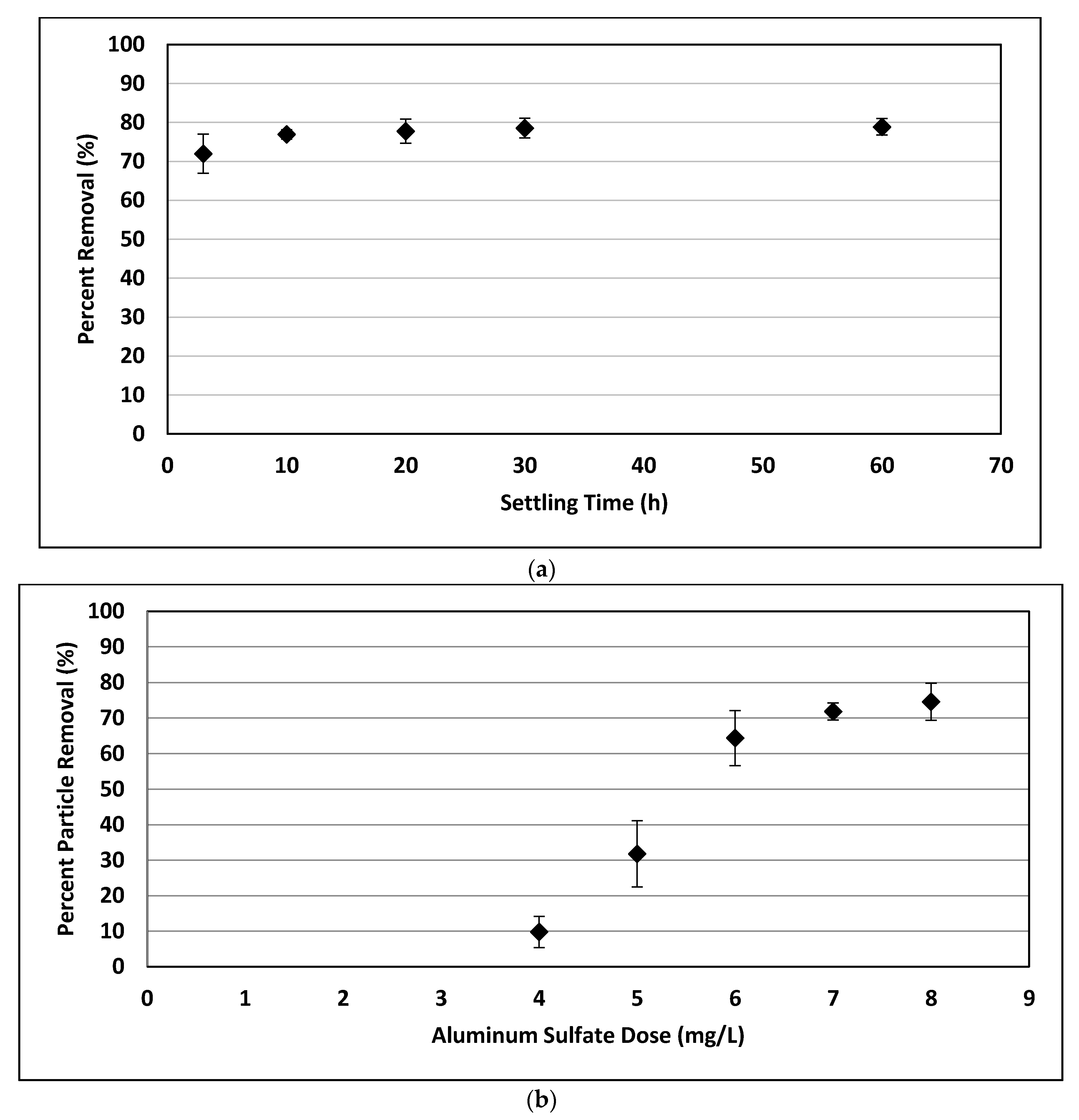
Turbidity was used to measure the percent removal of nanoplastics, with no treatment over a 24 h period (Figure 7). Figure 8a then shows the results of extended settling following ballasted flocculation over the same period. The results shown represent an average of three replicates. For a 1-h period, with no treatment (Figure 7), there was no significant settling, and 0% removal is included in the range of error. Over a 24-h period, with no treatment the maximum removal with settling was 22 ± 8%. In contrast, Figure 8a shows that with ballasted flocculation a removal of 71 ± 5% was achieved after just 3 h, and removal had reached a steady state after 10 h. Figure 8b shows removal with ballasted flocculation for varying aluminum sulfate (alum) doses for a ten-minute settling period. When optimized for alum dose, ballasted flocculation could achieve 77 ± 15% removal after 10 min, and further extending the settling time (Figure 8a) did not significantly improve the performance. From these results, it is clear that ballasted flocculation can remove some nanoplastics from solution, but not effectively.
Figure 7.
Percent removal of nanoplastics by gravity settling based on turbidity measurements (initial concentration = 5 mg/L).
Figure 8.
(a): Percent removal of nanoplastics by ballasted flocculation based on turbidity measurements (initial concentration = 5 mg/L; alum dose = 7 mg/L). (b): Percent removal of nanoplastics by ballasted flocculation with varying alum dose based on turbidity measurements (initial concentration = 5 mg/L; settling time = 3 min).
Unlike mechanical processes such as filtration and centrifugation, gravity-based settling processes are inexpensive, easy to employ, and practical in dealing with large flow rates. As a result, further experiments were conducted to optimize the ballasted flocculation conditions and improve the removal of nanoplastics. Since a ballasted flocculation process contains many design parameters which could be optimized a 28−4 factorial design was used to determine the most significant parameters. This means that two levels were chosen for each of the eight parameters and varied in such a way that all the main effects could be determined without being confounded with two factor interactions, but higher order interactions were confounded. This design was chosen to minimize the number of tests required, while maximizing the results. All parameters related to process operation were considered, including alum dose, polymer dose, the fraction of the polymer added concurrently with the sand, sand dose, mixing intensity, coagulation time, flocculation time, and settling time. The alum dose, mixing intensity, and coagulation time were found to influence the final turbidity (refer to the Supplementary Materials for further details) of the water as described by the linear regression model shown in Equation (1). Equation (1) was then used to optimize nanoplastic removal as described in the Supplementary Materials. The optimum removal was found to be 88 ± 3%. The improved removal shows the importance of optimizing ballasted flocculation performance for removal of very small particles, but there was still a significant number of particles escaping treatment.
It should be noted that optimum conditions are dependent on additional factors such as water characteristics or hydraulics, which are relevant for full-scale but not for jar tests and were not considered in this study. The optimum conditions determined with the jar-test procedure may not necessarily correspond to the optimum in a full-scale system but provide a general idea of the degree of removal possible. Nonetheless, Desjardins et al. [17] found good agreement between the performance of their jar-test procedure and three full-scale plants, with only a 7% difference.
Figure 9 shows the particle size distribution measured using the Zetasizer following ballasted flocculation. The average particle size was 251 ± 8 nm, which was larger than that for the untreated sample (217 ± 4 nm). This could be an indication of floc formation or it could be due to the presence of the ballast sand. Comparing the distribution shown in Figure 9 to that in Figure 2, it is difficult to see a difference visually. This indicates that there was probably only one type of particle present (nanoplastics), if there was a significant number of sand particles, the distribution would be expected to be bimodal.
Figure 9.
Particle size distribution of nanoplastic particles (Nano ZS Zetasizer) following ballasted flocculation. Lines indicate replicate results.
3.5. Comparison of Removal Processes
Figure 10 provides a bar-graph comparison of the best-case scenarios for ballasted flocculation, filtration, and centrifugation as options for the removal of nanoplastics from water samples following treatment as well as average scenarios for filtration and centrifugation, which were used to evaluate ballast flocculation as a pre-treatment. Since ballasted flocculation results in formation of larger flocs, a ballasted sand pre-treatment step was tested to investigate whether or not it could increase the efficiency of filtration. Since ballasted flocculation also increases the density of the flocs, it is possible that it could be used to decrease the centrifuge time or the centrifugal force required for nanoplastics removal and was also evaluated as a potential pre-treatment for centrifugation. The optimized ballasted flocculation conditions were used prior to filtration with a 0.7 µm pore size filter and centrifugation at 10,000 rpm for 3 min. The results showed there was no significant improvement in filtration or centrifugation performance after pre-treatment with ballasted flocculation.
Figure 10.
Comparison of percent removal of nanoplastics for various removal methods based on turbidity measurements.
An overall comparison of filtration, centrifugation, and ballasted flocculation either alone or as a pre-treatment, showed that centrifugation at 10,000 rpm for 10 min provides the best treatment and filtration with a 0.22 µm pore size filter was the second-best treatment option. The use of ballasted flocculation alone with gravity settling led to 88 ± 3% nanoplastics removal, but ballasted flocculation was not an effective pre-treatment prior to filtration or centrifugation.
4. Conclusions
This study investigated removal of nanoplastics (<400 nm) from water, at a bench-scale and using filtration, centrifugation, and ballasted flocculation. Filtration with 0.22 μm filters removed 92 ± 3% of the particles, and importantly did not show a size preference or change the distribution of the particles. Centrifugation at 10,000 rpm (670,800 g) for 10 min removed 99 ± 1% of the particles but did preferentially remove larger particles. This is a potential area of concern because smaller particles may have a greater environmental impact. Ballasted flocculation was able to remove 88 ± 3% of the particles. These results provide a general idea of the magnitude of removal of nanoplastics smaller than 400 nm with separation processes used for water, wastewater, and stormwater treatment. The removal was good using all three treatments, but it is important to note that even a small number of particles escaping treatment can increase the nanoplastics concentration of receiving water bodies. More work is recommended to determine the degree of removal with full-scale unit processes.
Supplementary Materials
The following are available online at https://www.mdpi.com/2073-4441/12/3/635/s1, Table S1-1: Factorial Experiment for Ballast Flocculation (data), Table S1-2: 28-4 factorial design results and decoded design parameters for ballasted flocculation removal of nano-plastic particles, Table S1-3: ANOVA analysis of significant factors, Table S1-4: 28-4 factorial design results and decoded design parameters for ballasted flocculation removal of nanoplastic particles, insignificant parameters removed, Table S1-5 ANOVA analysis of significant factors for alum dose, mixing intensity, and coagulation time, Table S2-1 Steepest ascent values used to optimized ballasted flocculation, Table S2-2: Steepest ascent optimization of ballasted sand flocculation.
Author Contributions
Conceptualization, B.Ö. and A.M.; methodology, A.M. and B.Ö.; investigation, A.M. and B.Ö.; validation, A.M.; formal analysis, A.M.; writing—original draft preparation, A.M.; writing—review and editing, B.Ö.; supervision, B.Ö.; funding acquisition, B.Ö. All authors have read and agreed to the published version of the manuscript.
Funding
This research was funded by the Natural Science and Engineering Research Council of Canada (NSERC) under the Discovery Program (RGPIN 06246).
Conflicts of Interest
The authors declare no conflict of interest.
References
- Ng, E.-L.; Lwanga, E.H.; Eldridge, S.M.; Johnston, P.; Hu, H.-W.; Geissen, V.; Chen, D. An overview of microplastic and nanoplastic pollution in agroecosystems. Sci. Total Environ. 2018, 627, 1377–1388. [Google Scholar] [CrossRef] [PubMed]
- Pico, Y.; Alfarhan, A.; Barcelo, D. Nano and microplastic analysis: Focus on their occurrence in freshwater ecosystems and remediation technologies. Trends Anal. Chem. 2019, 113, 409–425. [Google Scholar] [CrossRef]
- Da Costa, J.P.; Santos, P.S.M.; Duarte, A.C.; Rocha-Santos, T. (Nano)plastics in the environment – sources, fates and effects. Sci. Total Environ. 2016, 566, 15–26. [Google Scholar] [CrossRef] [PubMed]
- Carr, S.A.; Liu, J.; Tesoro, A.G. Transport and fate of microplastic particles in wastewater treatment plants. Water Res. 2016, 91, 174–182. [Google Scholar] [CrossRef] [PubMed]
- Almroth, B.M.C.; Astrom, L.; Roslund, S.; Petersson, H.; Johansson, M.; Persson, N.-K. Quantifying shedding of synthetic fibers from textiles; a source of microplastics released into the environment. Environ. Sci. Pollut. Res. Int. 2018, 25, 1191–1199. [Google Scholar] [CrossRef] [PubMed]
- Horton, A.A.; Walton, A.; Spurgeon, D.J.; Lahive, E.; Svendsen, C. Microplastics in freshwater and terrestrial environments: evaluating the current understanding to identify the knowledge gaps and future research priorities. Sci. Total Environ. 2017, 586, 127–141. [Google Scholar] [CrossRef] [PubMed]
- Liu, F.; Olesen, K.B.; Borregaard, A.R.; Vollertsen, J. Microplastics in urban and highway stormwater retention ponds. Sci. Total Environ. 2019, 671, 992–1000. [Google Scholar] [CrossRef]
- Eerkes-Medrano, D.; Thompson, R.C.; Aldridge, D.C. Microplastics in freshwater systems: A review of the emerging threats, identification of knowledge gaps and prioritisation of research needs. Water Res. 2015, 75, 63–82. [Google Scholar] [CrossRef] [PubMed]
- Mattsson, K.; Hansson, L.A.; Cedervall, T. Nanoplastics in the aquatic environment. Environmental Sciences: Processes and Impacts 2015, 17, 1712–1721. Available online: https://pubs.rsc.org/en/content/articlelanding/2015/em/c5em00227c#!divAbstract (accessed on 25 February 2020).
- Kirstein, I.V.; Kirmizi, S.; Wichels, A.; Garin-Fernandez, A.; Erler, R.; Martin, L.; Gerdts, G. Dangerous hitchhikers? Evidence for potentially pathogenic Vibrio spp. on microplastic particles. Mar. Environ. Res. 2016, 120, 1–8. [Google Scholar] [CrossRef] [PubMed]
- Ziccardi, L.M.; Edgington, A.; Hentz, K.; Kulacki, K.J.; Kane Driscoll, S. Microplastics as vectors for bioaccumulation of hydrophobic organic chemicals in the marine environment: A state-of-the-science review. Environ. Toxicol. Chem. 2016, 35, 1667–1676. [Google Scholar] [CrossRef] [PubMed]
- Paterson, G.; MacKenac, A.; Thomasa, K.V. The need for standardized methods and environmental monitoring programs for anthropogenic nanoparticles. Anal. Methods 2011, 3, 1461–1467. [Google Scholar] [CrossRef]
- Talvitie, J.; Heinonen, M.; Paakkonen, J.-P.; Vahtera, E.; Mikola, A.; Setala, O.; Vahala, R. Do wastewater treatment plants act as a potential point source of microplastics? Preliminary study in the coastal Gulf of Finland, Baltic Sea. Water Sci. Technol. 2015, 72, 1495–1504. [Google Scholar] [CrossRef] [PubMed]
- Lai, E.P.C.; De Maleki, Z.; Wu, S. Characterization of molecularly imprinted and nonimprinted polymer submicron particles specifically tailored for removal of trace 17b-estradiol in water treatment. J. Appl. Polym. Sci. 2010, 116, 1499–1508. [Google Scholar]
- Wei, S.; Molinelli, A.; Mizaikoff, B. Molecularly imprinted micro and nanospheres for the selective recognition of 17beta-estradiol. Biosens. Bioelectron. 2006, 21, 1943–1951. [Google Scholar] [CrossRef] [PubMed]
- Gregory, J. Turbidity and beyond. Filtr. Sep. 1998, 35, 63–67. [Google Scholar] [CrossRef]
- Desjardins, C.; Koudjonou, B.; Desjardins, R. Laboratory study of ballasted flocculation. Water Res. 2002, 36, 744–754. [Google Scholar] [CrossRef]
- Pontius, F.W.; Amy, G.L.; Hernandez, M.T. Fluorescent microspheres as virion surrogates in low-pressure membrane studies. J. Membr. Sci. 2009, 335, 43–50. [Google Scholar] [CrossRef]
- Murphy, F.; Ewins, C.; Carbonnier, F.; Quinn, B. Wastewater Treatment Works (WwTW) as a Source of Microplastics in the Aquatic Environment. Environ. Sci. Technol. 2016, 50, 5800–5808. [Google Scholar] [CrossRef] [PubMed]
© 2020 by the authors. Licensee MDPI, Basel, Switzerland. This article is an open access article distributed under the terms and conditions of the Creative Commons Attribution (CC BY) license (http://creativecommons.org/licenses/by/4.0/).










