The Role of a Permeable Sand Column in Modifying Tidal Creek Nutrient Inputs into the Coastal Ocean
Abstract
1. Introduction
2. Materials and Methods
2.1. Study Site
2.2. Sampling Approach
2.3. Field Measurements and Sample Collection
2.4. Analytical Methods
2.5. Data Analysis
3. Results
3.1. Sedimentary Geological and Physical Properties
3.2. Sedimentary Biogeochemical Profiles
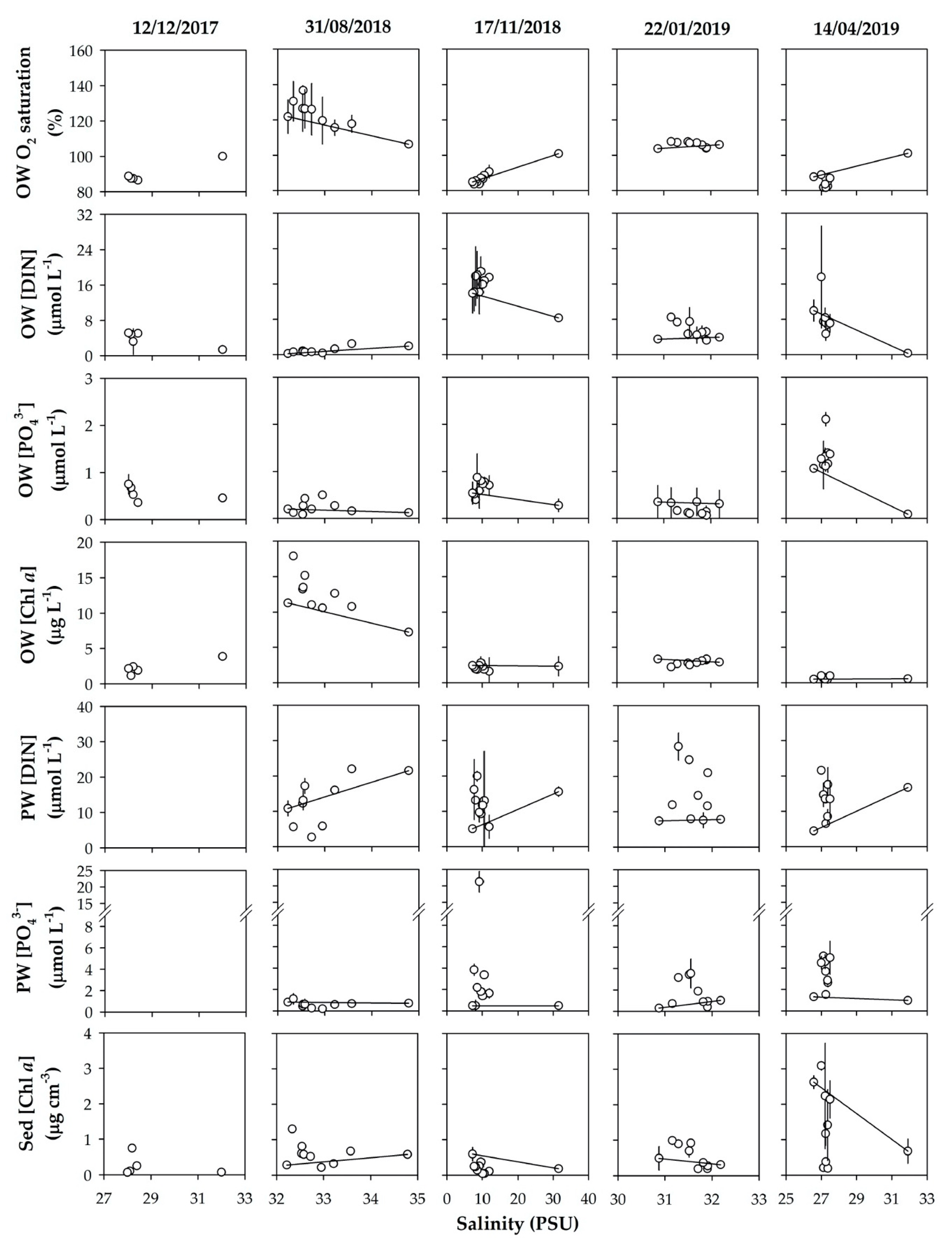
3.3. Primary Channel Transect Patterns
3.4. Comparison with Auxiliary Stations
4. Discussion
4.1. The Sedimentary Environment as a Benthic Nutrient Filter
4.2. Seasonality
4.3. Source–Sink Behavior and Modification of Land-Derived Nutrients
4.4. Channel Management
5. Conclusions
Author Contributions
Funding
Acknowledgments
Conflicts of Interest
References
- NOAA. National Coastal Population Report: Population Trends from 1970 to 2020; National Oceanic and Atmospheric Administration: Silver Spring, MD, USA, 2013; p. 19.
- Arnold, C.L.; Gibbons, C.J. Impervious Surface Coverage: The emergence of a key environmental indicator. J. Am. Plan. Assoc. 1996, 62, 243–258. [Google Scholar] [CrossRef]
- Howarth, R.; Chan, F.; Conley, D.J.; Garnier, J.; Doney, S.C.; Marino, R.; Billen, G. Coupled biogeochemical cycles: Eutrophication and hypoxia in temperate estuaries and coastal marine ecosystems. Front. Ecol. Environ. 2011, 9, 18–26. [Google Scholar] [CrossRef]
- Holland, A.F.; Sanger, D.M.; Gawle, C.P.; Lerberg, S.B.; Santiago, M.S.; Riekerk, G.H.M.; Zimmerman, L.E.; Scott, G.I. Linkages between tidal creek ecosystems and the landscape and demographic attributes of their watersheds. J. Exp. Mar. Biol. Ecol. 2004, 298, 151–178. [Google Scholar] [CrossRef]
- Smith, E.; Sanger, D. Determining the Role of Estuarine Swashes on Water Quality Impairment along the Grand Strand of South Carolina: Impacts of Land Use and Stormwater Runoff: A Final Report Submitted to the National Estuarine Research Reserve System Science Collaborative; North Inlet-Winyah Bay NERR: Georgetown, SC, USA, 2015; p. 46. [Google Scholar]
- Barnhardt, W.A. Coastal Change along the Shore of Northeastern South Carolina—The South Carolina Coastal Erosion Study; U.S.G.S. Circular 1339; U.S. Geological Survey: Reston, VA, USA, 2009; p. 77.
- Hayes, M.O.; Michel, J. A Coast for All Seasons: A Naturalist’s Guide to the Coast of South Carolina; Pandion Books: Columbia, SC, USA, 2008; p. 285. [Google Scholar]
- Sanger, D.; Smith, E.; Voulgaris, G.; Koepfler, E.; Libes, S.; Riekerk, G.; Bergquist, D.; Greenfield, D.; Wren, P.; McCoy, C.; et al. Constrained enrichment contributes to hypoxia formation in Long Bay, South Carolina (USA), an open water urbanized coastline. Mar. Ecol. Prog. Ser. 2012, 461, 15–30. [Google Scholar] [CrossRef]
- Webb, J.E.; Theodor, J. Irrigation of submerged marine sands through wave action. Nature 1968, 220, 682–683. [Google Scholar] [CrossRef]
- Huettel, M.; Ziebis, W.; Forster, S.; Luther, G.W. Advective Transport Affecting Metal and Nutrient Distributions and Interfacial Fluxes in Permeable Sediments. Geochim. Cosmochim. Acta 1998, 62, 613–631. [Google Scholar] [CrossRef]
- Boudreau, B.P.; Huettel, M.; Forster, S.; Jahnke, R.A.; McLachlan, A.; Middelburg, J.J.; Nielsen, P.; Sansone, F.; Taghon, G.; Van Raaphorst, W. Permeable marine sediments: Overturning an old paradigm. Eos Trans. AGU 2001, 82, 133–136. [Google Scholar]
- Chipman, L.; Berg, P.; Huettel, M. Benthic oxygen fluxes measured by eddy covariance in permeable Gulf of Mexico shallow-water sands. Aquat. Geochem. 2016, 22, 529–554. [Google Scholar] [CrossRef]
- Boulton, A.J.; Findlay, S.; Marmonier, P.; Stanley, E.H.; Valett, H.M. The functional significance of the hyporheic zone in streams and rivers. Annu. Rev. Ecol. Evol. Syst. 1998, 29, 59–81. [Google Scholar] [CrossRef]
- Schutte, C.A.; Hunter, K.; McKay, P.; Di Iorio, D.; Joye, S.B.; Meile, C. Patterns and controls of nutrient concentrations in a Southeastern United States tidal creek. Oceanography 2013, 26, 132–139. [Google Scholar] [CrossRef][Green Version]
- Kim, K.H.; Heiss, J.W.; Michael, H.A.; Cai, W.-J.; Laattoe, T.; Post, V.E.A.; Ullman, W.J. Spatial patterns of groundwater biogeochemical reactivity in an intertidal beach aquifer: Beach aquifer biogeochemical reactivity. JGR Biogeosci. 2017, 122, 2548–2562. [Google Scholar] [CrossRef]
- Berner, R.A. Early Diagenesis: A Theoretical Approach; Princeton University Press: Princeton, NJ, USA, 1980; p. 256. [Google Scholar]
- Froelich, P.N.; Klinkhammer, G.P.; Bender, M.L.; Luedtke, N.A.; Heath, G.R.; Cullen, D.; Dauphin, P.; Hammond, D.; Hartman, B.; Maynard, V. Early oxidation of organic matter in pelagic sediments of the eastern equatorial Atlantic: Suboxic diagenesis. Geochim. Cosmochim. Acta 1979, 43, 1075–1090. [Google Scholar] [CrossRef]
- MacIntyre, H.L.; Geider, R.J.; Miller, D.C. Microphytobenthos: The ecological role of the “Secret Garden” of unvegetated, shallow-water marine habitats. I. Distribution, abundance and primary production. Estuaries 1996, 19, 186. [Google Scholar] [CrossRef]
- Anderson, I.C.; Brush, M.J.; Piehler, M.F.; Currin, C.A.; Stanhope, J.W.; Smyth, A.R.; Maxey, J.D.; Whitehead, M.L. Impacts of climate-related drivers on the benthic nutrient filter in a shallow photic estuary. Estuar. Coast. 2014, 37, 46–62. [Google Scholar] [CrossRef]
- Pinckney, J.; Paerl, H.; Fitzpatrick, M. Impacts of seasonality and nutrients on microbial mat community structure and function. Mar. Ecol. Prog. Ser. 1995, 123, 207–216. [Google Scholar] [CrossRef]
- USACE. Singleton Swash Planning Assistance to States (PAS) Study; U.S. Army Corps of Engineers: Charleston, SC, USA, 2009; p. 25.
- Hoffnagle, B.L. Linking Water Quality and Beach Morphodynamics in a Heavily Impacted Tidal Creek in Myrtle Beach. Master’s Thesis, Coastal Carolina University, Conway, SC, USA, 2015. [Google Scholar]
- Pastore, D. Hydrodynamic Drivers of Dissolved Oxygen Variability within a Highly Developed Tidal Creek in Myrtle Beach. Master’s Thesis, Coastal Carolina University, Conway, SC, USA, 2018. [Google Scholar]
- Legut, N.A. The Role of a Permeable Sand Column in Modifying Tidal Creek Geochemistry and Land-Derived Inputs to the Coastal Ocean. Master’s Thesis, Coastal Carolina University, Conway, SC, USA, 2019. [Google Scholar]
- Pastore, D.M.; Peterson, R.N.; Fribance, D.B.; Viso, R.; Hackett, E.E. Hydrodynamic Drivers of Dissolved Oxygen Variability within a Tidal Creek in Myrtle Beach, South Carolina. Water 2019, 11, 1723. [Google Scholar] [CrossRef]
- Klute, A.; Dirksen, C. Hydraulic Conductivity and Diffusivity: Laboratory Methods; Klute, A., Ed.; SSSA Book Series; American Society of Agronomy—Soil Science Society of America: Madison, WI, USA, 1986; pp. 687–734. [Google Scholar]
- Rocha, C.; Forster, S.; Koning, E.; Epping, E. High-resolution permeability determination and two-dimensional porewater flow in sandy sediment: High-resolution permeability gradients in sands. Limnol. Oceanogr. Methods 2005, 3, 10–23. [Google Scholar] [CrossRef]
- McManus, J. Grain Size Determination and Interpretation. In Techniques, in Sedimentology; Tucker, M., Ed.; Blackwell Scientific Publications: Oxford, UK, 1988; pp. 63–85. [Google Scholar]
- Arar, E.J.; Collins, G.B. Method 445.0—In Vitro Determination of Chlorophyll a and Pheophytin a in Marine and Freshwater Algae by Fluorescence; U.S. Environmental Protection Agency: Washington, DC, USA, 1997; p. 23.
- Hannides, A.K.; Glazer, B.T.; Sansone, F.J. Extraction and quantification of microphytobenthic Chl a within calcareous reef sands: Microphytobenthic Chlorophyll a in reef sands. Limnol. Oceanogr. Methods 2014, 12, 126–138. [Google Scholar] [CrossRef]
- Santisteban, J.I.; Mediavilla, R.; López-Pamo, E.; Dabrio, C.J.; Blanca Ruiz Zapata, M.; José Gil García, M.; Martínez-Alfaro, P.E. Loss on ignition: A qualitative or quantitative method for organic matter and carbonate mineral content in sediments? J. Paleolimnol. 2004, 32, 287–299. [Google Scholar] [CrossRef]
- Strickland, J.D.H.; Parsons, T.R. A Practical Handbook of Seawater Analysis, 2nd ed.; Fisheries Research Board of Canada: Ottawa, ON, Canada, 1972; p. 310. [Google Scholar]
- Bendschneider, K.; Robinson, R.J. A new spectrophotometric method for the determination of nitrite in seawater. J. Mar. Res. 1952, 11, 87–96. [Google Scholar]
- Holmes, R.M.; Aminot, A.; Kérouel, R.; Hooker, B.A.; Peterson, B.J. A simple and precise method for measuring ammonium in marine and freshwater ecosystems. Can. J. Fish. Aquat. Sci. 1999, 56, 1801–1808. [Google Scholar] [CrossRef]
- Murphy, J.; Riley, J.P. A modified single solution method for the determination of phosphate in natural waters. Anal. Chim. Acta 1962, 27, 31–36. [Google Scholar] [CrossRef]
- Hansen, H.P.; Koroleff, F. Determination of Nutrients. In Methods of Seawater Analysis; Grasshoff, K., Kremling, K., Ehrhardt, M., Eds.; Wiley-VCH Verlag GmbH: Weinheim, Germany, 1999; pp. 159–228. [Google Scholar]
- Sokal, R.R.; Rohlf, F.J. Biometry, 3rd ed.; W.H. Freeman: New York, NY, USA, 1994; p. 880. [Google Scholar]
- Wu, M.L.; Hong, Y.G.; Yin, J.P.; Dong, J.D.; Wang, Y.S. Evolution of the sink and source of dissolved inorganic nitrogen with salinity as a tracer during summer in the Pearl River Estuary. Sci. Rep. 2016, 6, 36638. [Google Scholar] [CrossRef] [PubMed]
- Berg, P.; Røy, H.; Janssen, F.; Meyer, V.; Jørgensen, B.; Huettel, M.; de Beer, D. Oxygen uptake by aquatic sediments measured with a novel non-invasive eddy-correlation technique. Mar. Ecol. Prog. Ser. 2003, 261, 75–83. [Google Scholar] [CrossRef]
- Underwood, G.J.C.; Paterson, D.M.; Parkes, R.J. The measurement of microbial carbohydrate exopolymers from intertidal sediments. Limnol. Oceanogr. 1995, 40, 1243–1253. [Google Scholar] [CrossRef]
- Williams, T.M.; Hitchcock, D.; Song, B.; O’Halloran, T. Hurricane Florence flooding in Georgetown County: A qualitative explanation of the interactions of estuary and tidal river. J. S. C. Water Resour. 2019, 6, 36–45. [Google Scholar] [CrossRef]
- United States Army Corps of Engineers (USACE) and The South Carolina Department of Health and Environmental Control (SCDHEC) Joint Public Notice Singleton Swash Stabilization (P/N # 2014-00013-3H). 2014, p. 14. Available online: https://www.sac.usace.army.mil/Portals/43/docs/regulatory/publicnotices/Jan14_PN/SAC-2014-00013-3H_Horry_County_Singleton_Swash_Stabilization.pdf?ver=2014-01-09-090033-390 (accessed on 20 May 2019).












| Property | Primary Channel (n = 35) | Tidal Pool (n = 3) | Marsh Creek (n = 3) |
|---|---|---|---|
| Permeability (m2) | 2.9 × 10−11 ± 9.4 × 10−12 | 3.1 × 10−12 ± 2.0 × 10−12 | 1.9 × 10−12 ± 8.0 × 10−13 |
| Porosity | 0.44 ± 0.02 | 0.45 ± 0.01 | 0.46 ± 0.00 |
| Mean grain size (phi) | 1.87 ± 0.37 | 2.3 ± 0.3 | 2.3 ± 0.4 |
| Mean grain size (µm) | 282 ± 61 | 208 ± 45 | 208 ± 49 |
| Median grain size (phi) | 1.85 ± 0.36 | 2.2 ± 0.2 | 2.3 ± 0.2 |
| Median grain size (µm) | 285 ± 62 | 216 ± 30 | 209 ± 33 |
| Fines (<63 µm) fraction (%) | 0.2 ± 0.4 | 1.9 ± 1.6 | 1.3 ± 1.4 |
| Sorting, σ1 | 0.73 ± 0.13 | 0.76 ± 0.03 | 0.70 ± 0.02 |
| Sorting, classification | Moderately sorted | Moderately sorted | Moderately sorted |
| Skewness, SK1 | −0.05 ± 0.13 | −0.13 ± 0.19 | −0.13 ± 0.28 |
| Skewness, classification | Symmetrical | Negatively skewed | Negatively skewed |
| Property | 12/12/2017 | 21/08/2018 | 17/11/2018 | 22/01/2019 | 14/04/2019 |
|---|---|---|---|---|---|
| Total transect distance (m) | 522 | 543 | 521 | 357 | 411 |
| Number of stations | 5 | 10 | 10 | 10 | 10 |
| Distance of minimum salinity | 436 | 322 | 0 | 357 | 0 |
| Salinity (PSU, mean ± 1 s.d.) | 28.9 ± 1.7 | 32.9 ± 0.8 | 11.4 ± 7.2 | 31.6 ± 0.4 | 27.7 ± 1.5 |
| Temperature (°C, mean ± 1 s.d.) | 10.0 ± 0.7 | 31.0 ± 0.4 | 12.4 ± 1.5 | 10.6 ± 0.2 | 22.7 ± 0.7 |
| Daylight duration (h) | 9.95 | 12.9 | 10.35 | 10.32 | 12.98 |
Publisher’s Note: MDPI stays neutral with regard to jurisdictional claims in published maps and institutional affiliations. |
© 2020 by the authors. Licensee MDPI, Basel, Switzerland. This article is an open access article distributed under the terms and conditions of the Creative Commons Attribution (CC BY) license (http://creativecommons.org/licenses/by/4.0/).
Share and Cite
Legut, N.A.; Hawkins, B.T.; Hannides, A.K. The Role of a Permeable Sand Column in Modifying Tidal Creek Nutrient Inputs into the Coastal Ocean. Water 2020, 12, 3079. https://doi.org/10.3390/w12113079
Legut NA, Hawkins BT, Hannides AK. The Role of a Permeable Sand Column in Modifying Tidal Creek Nutrient Inputs into the Coastal Ocean. Water. 2020; 12(11):3079. https://doi.org/10.3390/w12113079
Chicago/Turabian StyleLegut, Nicholas A., Brandon T. Hawkins, and Angelos K. Hannides. 2020. "The Role of a Permeable Sand Column in Modifying Tidal Creek Nutrient Inputs into the Coastal Ocean" Water 12, no. 11: 3079. https://doi.org/10.3390/w12113079
APA StyleLegut, N. A., Hawkins, B. T., & Hannides, A. K. (2020). The Role of a Permeable Sand Column in Modifying Tidal Creek Nutrient Inputs into the Coastal Ocean. Water, 12(11), 3079. https://doi.org/10.3390/w12113079

