Biological Health Assessments of Lotic Waters by Biotic Integrity Indices and their Relations to Water Chemistry
Abstract
1. Introduction
2. Materials and Methods
2.1. Target Study Watershed
2.2. Fish Sampling and Collection Equipment
2.3. Fish Guild Analysis
2.4. Water Quality Analysis
2.5. Indices of Biological Integrity (IBI)
2.6. Statistical Analysis
3. Results and Discussion
3.1. Water Quality Dynamics
3.2. Nutrient and Chlorophyll Empirical Modeling
3.3. Watershed Assessment Based on the mmIBI 08 Model
3.4. Watershed Assessment Based on the mmIBI 11 Model
3.5. Watershed Assessment Based on the mmIBI 06 Model
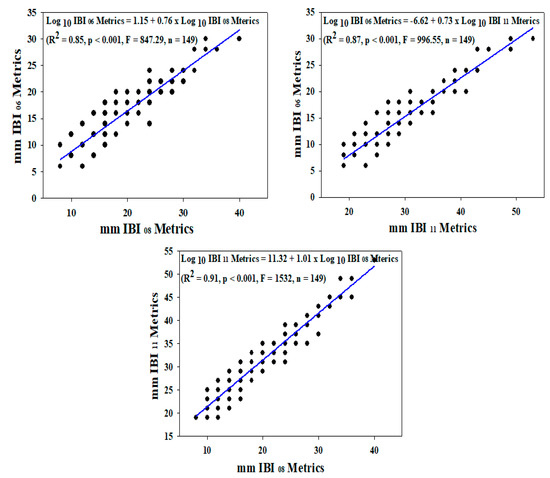
3.6. Regression Analyses on Biotic Integrity Models
3.7. Multi-metric Fish Indices and Their Regression Analysis on Water Chemistry
3.8. Relationship between Multi-metric Integrity Models and Individual Metrics
3.9. Principal Component Analysis (PCA)
3.10. Comparison of Fish Indices Used
4. Conclusions
Author Contributions
Funding
Acknowledgments
Conflicts of Interest
References
- Liu, B.; Stevenson, R.J. Improving assessment accuracy for lake biological condition by classifying lakes with diatom typology, varying metrics and modeling multimetric indices. Sci. Total Environ. 2017, 609, 263–271. [Google Scholar] [CrossRef] [PubMed]
- Atique, U.; An, K.-G. Stream Health Evaluation Using a Combined Approach of Multi-Metric Chemical Pollution and Biological Integrity Models. Water 2018, 10, 661. [Google Scholar] [CrossRef]
- Rooney, R.C.; Bayley, S.E. Quantifying a stress gradient: An objective approach to variable selection, standardization and weighting in ecosystem assessment. Ecol. Indic. 2010, 10, 1174–1183. [Google Scholar] [CrossRef]
- Ferreira, A.R.L.; Sanches-Fernandes, L.F.; Cortes, R.M.V.; Pacheco, F.A.L. Assessing anthropogenic impacts on riverine ecosystems using nested partial least squares regression. Sci. Total Environ. 2017, 583, 466–477. [Google Scholar] [CrossRef] [PubMed]
- Kim, J.-J.; Atique, U.; An, K.-G. Long-Term Ecological Health Assessment of a Restored Urban Stream Based on Chemical Water Quality, Physical Habitat Conditions and Biological Integrity. Water 2019, 11, 114. [Google Scholar] [CrossRef]
- Leopold, A. A Sand County Almanac and Sketches Here and There; Oxford University Press: Oxford, UK, 1949. [Google Scholar]
- Karr, J.R.; Fausch, K.D.; Angermeier, P.L.; Yant, P.R.; Schlosser, I.J. Assessing biological integrity in running waters: A method and its rationale. Ill. Nat. Hist. Surv. Spec. Publ. 1986, 55, 28. [Google Scholar]
- Wohl, E.; Lane, S.N.; Wilcox, A.C. The science and practice of river restoration. Water Resour. Res. 2015, 51, 5974–5997. [Google Scholar] [CrossRef]
- Alexandrino, E.R.; Buechley, E.R.; Karr, J.R.; de Barros Ferraz, K.M.P.M.; de Barros Ferraz, S.F.; do Couto, H.T.Z.; Şekercioğlu, Ç.H. Bird based Index of Biotic Integrity: Assessing the ecological condition of Atlantic Forest patches in human-modified landscape. Ecol. Indic. 2017, 73, 662–675. [Google Scholar] [CrossRef]
- Karr, J.R. Assessment of Biotic Integrity Using Fish Communities. Fisheries 1981, 6, 21–27. [Google Scholar] [CrossRef]
- Casatti, L.; Ferreira, C.P.; Langeani, F.A. Fish-based biotic integrity index for assessment of lowland streams in southeastern Brazil. Hydrobiologia 2009, 623, 173–189. [Google Scholar] [CrossRef]
- Costa, P.; Schulz, U. The fish community as an indicator of biotic integrity of the streams in the Sinos River basin, Brazil. Braz. J. Biol. 2010, 70, 1195–1205. [Google Scholar] [CrossRef] [PubMed]
- An, K.G.; Choi, J.W.; Lee, Y.J. Modifications of ecological trophic structures on chemical gradients in lotic ecosystems and their relations to stream ecosystem health. Anim. Cells Syst. 2013, 17, 53–62. [Google Scholar] [CrossRef]
- Aura, C.M.; Kimani, E.; Musa, S.; Kundu, R.; Njiru, J.M. Spatio-temporal macroinvertebrate multi-index of biotic integrity (MMiBI) for a coastal river basin: A case study of River Tana, Kenya. Ecohydrol. Hydrobiol. 2017, 17, 113–124. [Google Scholar] [CrossRef]
- Ramos-Merchante, A.; Prenda, J. The Ecological and Conservation Status of the Guadalquivir River Basin (s Spain) through the Application of a Fish-based Multimetric Index. Ecol. Indic. 2018, 84, 45–59. [Google Scholar] [CrossRef]
- Niemi, G.J.; McDonald, M.E. Application of Ecological Indicators. Annu. Rev. Ecol. Evol. Syst. 2004, 35, 89–111. [Google Scholar] [CrossRef]
- Kim, J.Y.; An, K.G. Integrated ecological river health assessments, based on water chemistry, physical habitat quality and biological integrity. Water 2015, 7, 6378–6403. [Google Scholar] [CrossRef]
- Karr, J.R. Seven Foundations of Biological Monitoring and Assessment. Biol. Ambient. 2006, 20, 7–18. [Google Scholar]
- Wilson, M.J.; Bayley, S.E. Use of single versus multiple biotic communities as indicators of biological integrity in northern prairie wetlands. Ecol. Indic. 2012, 20, 187–195. [Google Scholar] [CrossRef]
- Ruaro, R.; Gubiani, É.A. A scientometric assessment of 30 years of the Index of Biotic Integrity in aquatic ecosystems: Applications and main flaws. Ecol. Indic. 2013, 29, 105–110. [Google Scholar] [CrossRef]
- Banašek-Richter, C.; Bersier, L.-F.; Cattin, M.-F.; Baltensperger, R.; Gabriel, J.-P.; Merz, Y.; Ulanowicz, R.E.; Tavares, A.F.; Williams, D.D.; Ruiter, P.C.; et al. Complexity in quantitative food webs. Ecology 2009, 90, 1470–1477. [Google Scholar] [CrossRef] [PubMed]
- Ahlgren, I.; Frisk, T.; Kamp-Nielsen, L. Empirical and theoretical models of phosphorus loading, retention and concentration vs. lake trophic state. Hydrobiologia 1988, 170, 285–303. [Google Scholar] [CrossRef]
- Carpenter, S.R.; Kitchell, J.F.; Hodgson, J.R. Cascading Trophic Interactions and Lake Productivity. Bioscience 1985, 35, 634–639. [Google Scholar] [CrossRef]
- Schinegger, R.; Palt, M.; Segurado, P.; Schmutz, S. Untangling the effects of multiple human stressors and their impacts on fish assemblages in European running waters. Sci. Total Environ. 2016, 573, 1079–1088. [Google Scholar] [CrossRef] [PubMed]
- Atique, U.; An, K.-G. Reservoir Water Quality Assessment Based on Chemical Parameters and the Chlorophyll Dynamics in Relation to Nutrient Regime. Pol. J. Environ. Stud. 2019, 28, 1043–1061. [Google Scholar] [CrossRef]
- Golfieri, B.; Surian, N.; Hardersen, S. Towards a more comprehensive assessment of river corridor conditions: A comparison between the Morphological Quality Index and three biotic indices. Ecol. Indic. 2018, 84, 525–534. [Google Scholar] [CrossRef]
- Paller, M.H.; Reichert, M.J.M.; Dean, J.M.; Seigle, J.C. Use of fish community data to evaluate restoration success of a riparian stream. Ecol. Eng. 2000, 15, 171–187. [Google Scholar] [CrossRef]
- Adams, S.M.; Ham, K.D.; Greeley, M.S.; LeHew, R.F.; Hinton, D.E.; Saylor, C.F. Downstream gradients in bioindicator response: Point source contaminant effects on fish health. Can. J. Fish Aquat. Sci. 1996, 53, 2177–2187. [Google Scholar] [CrossRef]
- Fausch, K.D.; Lyons, J.; Karr, J.R.; Angermeier, P.L. Fish communities as indicators of environmental degradation. Am. Fish. Soc. Simp. 1990, 8, 123–144. [Google Scholar]
- Sapounidis, A.S.; Koutrakis, E.T.; Leonardos, I.D. Fish-based River Integrity Index: A first attempt in developing a water quality index for the assessment of the Greek rivers. Ecohydrol. Hydrobiol. 2017. [Google Scholar] [CrossRef]
- An, K.G.; Choi, S.S. An assessment of aquatic ecosystem health in a temperate watershed using the index of biological integrity. J. Environ. Sci. Health Part A 2003, 36, 1115–1130. [Google Scholar] [CrossRef]
- Geumgang Water Shed Management Committee. Water Environment Management Planning Report for Gap-stream Medium Influence Areas; Ministry of Land, Transport, and Maritime Affairs: Seoul, South Korea, 2014; pp. 25–35.
- Geum River Basin Environmental Office. Geum Watershed Environmental Statistics. Available online: http://www.me.go.kr/eng/web/index.do?menuId=39 (accessed on 22 October 2018).
- Strahler, A.N. Quantitative analysis of watershed geomorphology. Trans. Am. Geophys. Union 1957, 38, 913. [Google Scholar] [CrossRef]
- Barbour, M.T.; Gerritsen, J.; Gerritsen, J.; James, B.S. Rapid Bioassessment Protocols for Use in Streams and Wadeable Rivers: Periphyton, Benthic Macroinvertebrates, and Fish; Office of Water, U.S. Environmental Protection Agency: Washington, DC, USA, 1999.
- Kim, I.S.; Park, J. Freshwater Fish of Korea; Kyohak Publishing: Seoul, Korea, 2002; p. 465. [Google Scholar]
- Nelson, J.S. Fishes of the World; John Wiley and Sons: New York, NY, USA, 2006. [Google Scholar]
- Sanders, R.E.; Milter, R.J.; Yondr, C.O.; Rankin, E.T. The use of external deformities, erosion, lesions, and tumors (DELT anomalies) in fish assemblages for characterizing aquatic resources: A case study of seven Ohio streams. In Assessing the Sustainability and Biological Integrity of Water Resources Using Fish Communities; Simon, T.P., Ed.; CRC Press: Boca Raton, FL, USA, 1999; pp. 225–245. [Google Scholar]
- Kim, I.S. Illustrated Encyclopedia of Fauna and Flora of Korea. Freshwater Fishes; Ministry of Education: Seoul, Korea, 1997.
- An, K.-G.; Jung, S.H.; Choi, S.S. An evaluation on health conditions of Pyong-Chang river using the index of biological integrity (IBI) and qualitative habitat evaluation index (QHEI). Korean J. Limnol. 2001, 34, 153–165. [Google Scholar]
- Choi, J.W.; Kumar, H.K.; Han, J.H.; An, K.G. The development of a regional multimetric fish model based on biological integrity in lotic ecosystems and some factors influencing the stream health. Water. Air. Soil Pollut. 2011, 217, 3–24. [Google Scholar] [CrossRef]
- Crumpton, W.G.; Isenhart, T.M.; Mitchell, P.D. Nitrate and organic N analyses with second-derivative spectroscopy. Limnol. Oceanogr. 1992, 37, 907–913. [Google Scholar] [CrossRef]
- Prepas, E.E.; Rigler, F.H. Improvements in Quantifying the Phosphorus Concentration in Lake Water. Can. J. Fish. Aquat. Sci. 1982, 39, 822–829. [Google Scholar] [CrossRef]
- American Public Health Association (APHA), American Water Works Association (AWWA), Water Environment Federation (WEF). Standard Methods for the Examination of Water and Wastewater; AWWA: Washington, DC, USA, 2012; ISBN 9780875530130. [Google Scholar]
- MOE (Ministry of Environment). Standard Methods for the Examination of Water Quality Contamination; The Ministry of Environments (MOE): Gwacheon, Korea, 2000.
- Rankin, E.T.; Yoder, C.O. Methods for deriving maximum species richness lines and other threshold relationships in biological field data. In Assessing the Sustainability and Biological Integrity of Water Resources Using Fish Communities; Simon, T.P., Ed.; CRC Press: Boca Raton, FL, USA, 1999; pp. 611–621. [Google Scholar]
- SigmaPlot v.10, Systat Software, Inc.: San Jose, CA, USA, 2007.
- Hammer, O. PAST. V. 3.15, The Past of the Future; Natural History Museum, University of Oslo: Oslo, Norway, 2018. [Google Scholar]
- Dodds, W.K. Eutrophication and trophic state in rivers and streams. Limnol. Oceanogr. 2006, 51, 671–680. [Google Scholar] [CrossRef]
- Batool, S.S.; Khan, N.; Atique, U.; Azmat, H.; Iqbal, K.J.; Mughal, D.H.; Ahmad, M.S.; Batool, S.; Munawar, S.; Dogar, S.; et al. Impact of Azomite Supplemented Diets on the Growth and Body Composition of Catfish (Pangasius hypophthalmus). Pak. J. Zool. Suppl. Ser. 2018, 13, 8–12. [Google Scholar]
- Khan, N.; Atique, U.; Ashraf, M.; Mustafa, A.; Mughal, M.S.; Rasool, F.; Azmat, H.; Tayyab, M.; Iqbal, K.J. Effect of Various Protein Feeds on the Growth, Body Composition, Hematology and Endogenous Enzymes of Catfish (Pangasius hypophthalmus). Pak. J. Zool. Suppl. Ser. 2018, 13, 112–119. [Google Scholar]
- Mehboob, A.; Khan, N.; Atiq, U.; Iqbal, K.J.; Tayyab, R.; Batool, S.S.; Batool, H.S.; Amjad, S.; Tanveer, M. Effect of Fenugreek as a Feed Additive on the Growth, Body Composition and Apparent Nutrients Digestibility of Striped Catfish Pangasius hypophthalmus Fry. Pak. J. Zool. 2017, 49, 2037–2042. [Google Scholar] [CrossRef]
- Iqbal, S.; Atique, U.; Mughal, M.S.; Khan, N.; Haider, M.S.; Iqbal, K.J.; Akmal, M. Effect of Selenium Incorporated in Feed on the Hematological Profile of Tilapia (Oreochromis niloticus). J. Aquac. Res. Dev. 2017, 8, 1000513. [Google Scholar] [CrossRef]
- Miserendino, M.L.; Casaux, R.; Archangelsky, M.; Di Prinzio, C.Y.; Brand, C.; Kutschker, A.M. Assessing land-use effects on water quality, in-stream habitat, riparian ecosystems and biodiversity in Patagonian northwest streams. Sci. Total Environ. 2011, 409, 612–624. [Google Scholar] [CrossRef] [PubMed]
- Choi, J.W.; Han, J.H.; Park, C.S.; Ko, D.G.; Kang, H.I.; Kim, J.Y.; Yun, Y.J.; Kwon, H.H.; An, K.-G. Nutrients and sestonic chlorophyll dynamics in Asian lotic ecosystems and ecological stream health in relation to land-use patterns and water chemistry. Ecol. Eng. 2015, 79, 15–31. [Google Scholar] [CrossRef]
- Song, J.; Lee, E.; Park, D.; Shin, Y.; Estuarine, C. Long-term trend analysis of chlorophyll a and water quality in the Yeongsan River. Korean J. Ecol. Environ. 2012, 45, 302–313. [Google Scholar]
- Downing, J.A.; Mccauley, E. The nitrogen phosphorous relationship in lakes. Limnol. Oceanogr. 1992, 37, 936–945. [Google Scholar] [CrossRef]
- Han, J.H.; Kim, B.; Kim, C.; An, K.-G. Ecosystem health evaluation of agricultural reservoirs using multi-metric lentic ecosystem health assessment (LEHA) model. Paddy Water Environ. 2014, 12, 7–18. [Google Scholar] [CrossRef]
- Lee, J.H.; An, K.-G. Integrative restoration assessment of an urban stream using multiple modeling approaches with physical, chemical, and biological integrity indicators. Ecol. Eng. 2014, 62, 153–167. [Google Scholar] [CrossRef]
- Bae, D.-Y.; Atique, U.; Yoon, J.; Lim, B.; An, K.-G. Ecological Risk Assessment of Urban Streams Using Fish Biomarkers of DNA Damages and Physiological Responses. Pol. J. Environ. Stud. 2019, in press. [Google Scholar]
- Simberloff, D.; Martin, J.-L.; Genovesi, P.; Maris, V.; Wardle, D.A.; Aronson, J.; Courchamp, F.; Galil, B.; García-Berthou, E.; Pascal, M.; et al. Impacts of biological invasions: what’s what and the way forward. Trends Ecol. Evol. 2013, 28, 58–66. [Google Scholar] [CrossRef] [PubMed]
- Klemm, D.J.; Stober, Q.J.; Lazorchak, J.M. Fish Field and Laboratory Methods for Evaluating the Biological Integrity of Surface Waters; U. S. Environmental Protection Agency: Cincinnati, OH, USA, 1992.
- Bae, D.Y.; An, K.-G. Stream ecosystem assessments, based on a biological multimetric parameter model and water chemistry analysis. Korean J. Limnol. 2006, 39, 198–208. [Google Scholar]
- Jeschke, J.M.; Bacher, S.; Blackburn, T.M.; Dick, J.T.A.; Essl, F.; Evans, T.; Gaertner, M.; Hulme, P.E.; Kühn, I.; Mrugała, A.; et al. Defining the impact of non-native species. Conserv. Biol. 2014, 28, 1188–1194. [Google Scholar] [CrossRef] [PubMed]
- Gallardo, B.; Clavero, M.; Sánchez, M.I.; Vilà, M. Global ecological impacts of invasive species in aquatic ecosystems. Glob. Chang. Biol. 2016, 22, 151–163. [Google Scholar] [CrossRef] [PubMed]
- Laverty, C.; Green, K.D.; Dick, J.T.A.; Barrios-O’Neill, D.; Mensink, P.J.; Médoc, V.; Spataro, T.; Caffrey, J.M.; Lucy, F.E.; Boets, P.; et al. Assessing the ecological impacts of invasive species based on their functional responses and abundances. Biol. Invasions 2017, 19, 1653–1665. [Google Scholar] [CrossRef]
- Zhang, H.; Shan, B.; Ao, L. Application of fish index of biological integrity (FIBI) in the Sanmenxia Wetland with water quality implications. J. Environ. Sci. 2014, 26, 1597–1603. [Google Scholar] [CrossRef] [PubMed]
- Adams, S.M.; Greeley, M.S.; Ryon, M.G. Evaluating Effects of Contaminants on Fish Health at Multiple Levels of Biological Organization: Extrapolating from Lower to Higher Levels. Hum. Ecol. Risk Assess. Int. J. 2000, 6, 15–27. [Google Scholar] [CrossRef]
- Abdul-Wahab, S.A.; Bakheit, C.S.; Alawi, S.M. Principal component and multiple regression analysis in modelling of ground-level ozone and factors affecting its concentrations. Environ. Model. Softw. 2005, 20, 1263–1271. [Google Scholar] [CrossRef]
- Shrestha, S.; Kazama, F. Assessment of surface water quality using multivariate statistical techniques: A case study of the Fuji river basin, Japan. Environ. Model. Softw. 2007, 22, 464–475. [Google Scholar]






| Category | Model Metric Components (M) | Scoring Criteria | ||
|---|---|---|---|---|
| 5 | 3 | 1 | ||
| Species Richness and Composition | M1: Total Number of Native Fish Species * | >67% | 33–67% | <33% |
| M2: Number of Riffle Benthic Species * | >67% | 33–67% | <33% | |
| M3: Number of Sensitive Species * | >67% | 33–67% | <33% | |
| M4: Proportion of Individuals as Tolerant Species | <5% | 5–20% | >20% | |
| Trophic Composition | M5: Proportion of Individual as Omnivore Species | <20% | 20–45% | >45% |
| M6: Proportion of Individuals as Native Insectivore Species | >45% | 20–45% | <20% | |
| Fish Abundance and Condition | M7: Total Number of Native Individuals * | >67% | 33–67% | <33% |
| M8: Percent Individuals with Anomalies | 0 | 0–1% | >1% | |
| Biological Health Criteria | A = Excellent (36–40); B = Good (28–34); C = Fair (20–26); D = Poor (14–18); E = Very poor (08–13) | |||
| Category | Model Metric Components (M) | Scoring Criteria | ||
|---|---|---|---|---|
| 5 | 3 | 1 | ||
| Species Richness and Composition | M1. Total number of native fish species * | >67% | 33–67% | <33% |
| M2. Number of riffle benthic species * | >67% | 33–67% | <33% | |
| M3. Number of water column species * | >67% | 33–67% | <33% | |
| Tolerance Guild Composition | M4. Number of sensitive species * | >67% | 33–67% | <33% |
| M5. Proportion of individuals as tolerant species | <5% | 5–20% | >20% | |
| Trophic Composition | M6. Proportion of individuals as omnivores | <20% | 20–45% | >45% |
| M7. Proportion of individuals as native insectivores | >45% | 20–45% | <20% | |
| M8. Proportion of individuals as native carnivores | >5% | 1–5% | <1% | |
| Fish Abundance of Native and Exotics | M9. Total number of native individuals * | >67% | 33–67% | <33% |
| M10. Proportion of individuals as exotics | 0 | 0–1% | >1% | |
| Fish health status | M11. Proportion of individuals with DELT | 0 | 0–1% | >1% |
| Biological Health Criteria | A = Excellent (48–55); B = Good (40–47); C = Fair (30–39); D = Poor (18–29); E = Very poor (08–17) | |||
| Category | Model Metric Components (M) | Scoring Criteria | ||
|---|---|---|---|---|
| 5 | 3 | 1 | ||
| Species Richness and Composition | M1: Total Number of Native Fish Species * | >67% | 33–67% | <33% |
| M2: Number of Sensitive Species * | >67% | 33–67% | <33% | |
| Trophic Composition | M3: Proportion of Individual as Omnivore Species | <20% | 20–45% | >45% |
| M4: Proportion of Individuals as Native Insectivore Species | >45% | 20–45% | <20% | |
| Fish Abundance | M5: Total Number of Native Individuals * | >67% | 33–67% | <33% |
| M6: Proportion of individuals as exotics | 0 | 0–1% | >1% | |
| Biological Health Criteria | A = Excellent (26–30); B = Good (21–25); C = Fair (17–20); D = Poor (13–17); E = Very Poor (08–12) | |||
| Watersheds | Summary Attributes | BOD (mg/L) | TN (mg/L) | TP (µg/L) | TN/TP Ratio | NH4-N (mg/L) | NO3-N (mg/L) | PO4-P (µg/L) | CHL-a (µg/L) |
|---|---|---|---|---|---|---|---|---|---|
| Geum River (n = 90) | Mean | 2.55 | 4.63 | 873.44 | 16.67 | 0.25 | 2.15 | 364 | 4.23 |
| SE | 0.29 | 0.23 | 136.35 | 1.87 | 0.08 | 0.08 | 33.89 | 0.54 | |
| Min | 0.5 | 0.44 | 29 | 0.55 | 0 | 0.2 | 1 | 0.33 | |
| Max | 17.1 | 15.69 | 6891 | 84.36 | 5.48 | 4.3 | 1481 | 33.52 | |
| Dongjin River (n = 11) | Mean | 6.38 | 3.65 | 888.27 | 7.39 | 0.68 | 1.63 | 511 | 8.28 |
| SE | 1.34 | 0.36 | 191.63 | 2.03 | 0.16 | 0.19 | 95.69 | 2.22 | |
| Min | 1.7 | 1.87 | 95 | 1.7 | 0 | 1.2 | 81 | 0.87 | |
| Max | 15.1 | 5.46 | 2380 | 21.2 | 1.48 | 3.4 | 961 | 22.49 | |
| Mankyung River (n = 14) | Mean | 4.91 | 4.29 | 876.57 | 28.27 | 1.28 | 1.55 | 813.86 | 4.15 |
| SE | 2.38 | 1.14 | 693.76 | 6.26 | 0.94 | 0.19 | 661.64 | 1.30 | |
| Min | 0.6 | 1.82 | 41 | 1.91 | 0.01 | 0.5 | 11 | 0.3 | |
| Max | 35.2 | 18.86 | 9878 | 89.12 | 13.26 | 2.4 | 9401 | 17.25 | |
| Sapkyo Stream (n = 14) | Mean | 6.9 | 6.71 | 1297.14 | 9.53 | 1.01 | 2.63 | 701 | 4.56 |
| SE | 0.98 | 0.61 | 353.30 | 1.50 | 0.50 | 0.28 | 141.24 | 0.68 | |
| Min | 2.2 | 1.28 | 71 | 1.13 | 0 | 0.3 | 31 | 1.28 | |
| Max | 14.3 | 9.99 | 4698 | 18.1 | 7.4 | 4.4 | 1801 | 9.51 | |
| Miscellaneous (n = 20) | Mean | 7.77 | 6.59 | 947.2 | 11.69 | 0.76 | 2.36 | 567 | 4.49 |
| SE | 0.86 | 0.78 | 189.21 | 2.42 | 0.28 | 0.26 | 121.82 | 0.78 | |
| Min | 1.4 | 0.56 | 74 | 2.56 | 0 | 0.2 | 31 | 0.71 | |
| Max | 13.6 | 16.23 | 3168 | 49.97 | 5.48 | 5.3 | 2331 | 12.91 | |
| Whole Geum River Watershed (n = 149) | Mean | 4.17 | 4.99 | 924.54 | 15.73 | 0.52 | 2.13 | 476.03 | 4.59 |
| SE | 0.37 | 0.22 | 112.50 | 1.38 | 0.12 | 0.07 | 68.27 | 0.41 | |
| Min | 0.5 | 0.45 | 29 | 0.55 | 0 | 0.2 | 1 | 0.3 | |
| Max | 35.2 | 18.86 | 9878 | 89.12 | 13.26 | 5.3 | 9401 | 33.52 |
| Sub-Watersheds | Scoring Criteria | Number of Study Sites According to Scoring Criteria | Sub-Watershed Site Status | |||||||
|---|---|---|---|---|---|---|---|---|---|---|
| M1 | M2 | M3 | M4 | M5 | M6 | M7 | M8 | |||
| Geum River (n = 90) | 1 | 17 | 60 | 66 | 82 | 62 | 36 | 40 | 14 | A = 03; B = 15; C = 50; D = 22 |
| 3 | 30 | 21 | 19 | 05 | 17 | 24 | 23 | 02 | ||
| 5 | 43 | 09 | 05 | 03 | 11 | 30 | 27 | 74 | ||
| Dongjin River (n = 11) | 1 | 02 | 11 | 09 | 10 | 09 | 07 | 07 | 03 | B = 01; C= 03; D = 07 |
| 3 | 08 | 00 | 02 | 00 | 01 | 02 | 04 | 00 | ||
| 5 | 01 | 00 | 00 | 01 | 01 | 02 | 00 | 08 | ||
| Mankyung River (n = 14) | 1 | 04 | 09 | 09 | 13 | 06 | 03 | 10 | 03 | B = 02; C = 09; D = 03 |
| 3 | 07 | 03 | 04 | 00 | 05 | 03 | 04 | 02 | ||
| 5 | 03 | 02 | 01 | 01 | 03 | 08 | 00 | 09 | ||
| Sapkyo Stream (n = 14) | 1 | 07 | 14 | 14 | 14 | 14 | 13 | 10 | 06 | C = 03; D = 11 |
| 3 | 05 | 00 | 00 | 00 | 00 | 01 | 03 | 01 | ||
| 5 | 02 | 00 | 00 | 00 | 00 | 00 | 01 | 07 | ||
| Miscellaneous (n = 20) | 1 | 01 | 16 | 18 | 18 | 16 | 11 | 11 | 06 | B = 03; C = 08; D = 09 |
| 3 | 12 | 03 | 01 | 01 | 01 | 05 | 04 | 01 | ||
| 5 | 07 | 01 | 01 | 01 | 03 | 04 | 05 | 13 | ||
| Geum River Watershed Overall Health Status: A = 03; B = 21; C = 73; D = 52 | ||||||||||
| Sub-Watersheds | Scoring Criteria | Number of Study Sites According to Scoring Criteria | Sub-Watershed Site Status | ||||||||||
|---|---|---|---|---|---|---|---|---|---|---|---|---|---|
| M1 | M2 | M3 | M4 | M5 | M6 | M7 | M8 | M9 | M10 | M11 | |||
| Geum River (n = 90) | 1 | 17 | 60 | 00 | 66 | 82 | 62 | 36 | 29 | 40 | 24 | 14 | A = 03; B = 04; C = 41; D = 42 |
| 3 | 30 | 21 | 09 | 19 | 05 | 17 | 24 | 37 | 23 | 04 | 02 | ||
| 5 | 43 | 09 | 81 | 05 | 03 | 11 | 30 | 24 | 27 | 62 | 74 | ||
| Dongjin River (n = 11) | 1 | 02 | 11 | 00 | 09 | 10 | 09 | 07 | 01 | 07 | 06 | 03 | B = 01; C = 02; D = 08 |
| 3 | 08 | 00 | 01 | 02 | 00 | 01 | 02 | 02 | 04 | 00 | 00 | ||
| 5 | 01 | 00 | 10 | 00 | 01 | 01 | 02 | 08 | 00 | 05 | 08 | ||
| Mankyung River (n = 14) | 1 | 04 | 09 | 00 | 09 | 13 | 06 | 03 | 03 | 10 | 07 | 03 | B = 01; C = 06; D = 07 |
| 3 | 07 | 03 | 04 | 04 | 00 | 05 | 03 | 06 | 04 | 00 | 02 | ||
| 5 | 03 | 02 | 10 | 01 | 01 | 03 | 08 | 05 | 00 | 07 | 09 | ||
| Sapkyo Stream (n = 14) | 1 | 07 | 14 | 00 | 14 | 14 | 14 | 13 | 08 | 10 | 04 | 06 | C = 01; D = 13 |
| 3 | 05 | 00 | 00 | 00 | 00 | 00 | 01 | 01 | 03 | 00 | 01 | ||
| 5 | 02 | 00 | 14 | 00 | 00 | 00 | 00 | 05 | 01 | 10 | 07 | ||
| Miscellaneous (n = 20) | 1 | 01 | 16 | 00 | 18 | 18 | 16 | 11 | 08 | 11 | 02 | 06 | B = 03; C = 04; D = 13 |
| 3 | 12 | 03 | 02 | 01 | 01 | 01 | 05 | 04 | 04 | 00 | 01 | ||
| 5 | 07 | 01 | 18 | 01 | 01 | 03 | 04 | 08 | 05 | 18 | 13 | ||
| Geum River Watershed Overall Health Status: A = 03; B = 09; C = 54; D = 83 | |||||||||||||
| Sub-Watersheds | Scoring Criteria | Number of Study Sites According to Scoring Criteria | Sub-Watershed Site Status | |||||
|---|---|---|---|---|---|---|---|---|
| M1 | M2 | M3 | M4 | M5 | M6 | |||
| Geum River (n = 90) | 1 | 17 | 66 | 62 | 36 | 40 | 24 | A = 06; B = 10; C = 20; D = 26; E = 28 |
| 3 | 30 | 19 | 17 | 24 | 23 | 04 | ||
| 5 | 43 | 05 | 11 | 30 | 27 | 62 | ||
| Dongjin River (n = 11) | 1 | 02 | 09 | 09 | 07 | 07 | 06 | B = 01; C = 01; D = 02; E = 07 |
| 3 | 08 | 02 | 01 | 02 | 04 | 00 | ||
| 5 | 01 | 00 | 01 | 02 | 00 | 05 | ||
| Mankyung River (n = 14) | 1 | 04 | 09 | 06 | 03 | 10 | 07 | B = 03; C = 04; D = 01; E = 06 |
| 3 | 07 | 04 | 05 | 03 | 04 | 00 | ||
| 5 | 03 | 01 | 03 | 08 | 00 | 07 | ||
| Sapkyo Stream (n = 14) | 1 | 07 | 14 | 14 | 13 | 10 | 04 | C = 01; D = 02; E = 11 |
| 3 | 05 | 00 | 00 | 01 | 03 | 00 | ||
| 5 | 02 | 00 | 00 | 00 | 01 | 10 | ||
| Miscellaneous (n = 20) | 1 | 01 | 18 | 16 | 11 | 11 | 02 | A = 01; B = 01; C = 04; D = 06; E = 08 |
| 3 | 12 | 01 | 01 | 05 | 04 | 00 | ||
| Geum River Watershed Overall Health Status: A = 07; B = 15; C = 30; D = 37; E = 60 | ||||||||
| Parameters | 08 Metric | 06 Metric | 11 Metric | M1 | M2 | M3 | M4 | M5 | M6 | M7 | M8 | M9 | M10 | M11 |
|---|---|---|---|---|---|---|---|---|---|---|---|---|---|---|
| 08 Metric | 1.00 | |||||||||||||
| 06 Metric | 0.92 | 1.00 | ||||||||||||
| 11 Metric | 0.96 | 0.93 | 1.00 | |||||||||||
| M1 | 0.51 | 0.53 | 0.49 | 1.00 | ||||||||||
| M2 | 0.68 | 0.58 | 0.61 | 0.47 | 1.00 | |||||||||
| M3 | −0.37 | −0.29 | −0.25 | −0.04 | −0.44 | 1.00 | ||||||||
| M4 | 0.71 | 0.70 | 0.69 | 0.34 | 0.55 | −0.19 | 1.00 | |||||||
| M5 | 0.56 | 0.49 | 0.53 | 0.06 | 0.20 | −0.40 | 0.32 | 1.00 | ||||||
| M6 | 0.60 | 0.58 | 0.57 | −0.09 | 0.12 | −0.30 | 0.29 | 0.62 | 1.00 | |||||
| M7 | 0.63 | 0.62 | 0.59 | 0.02 | 0.28 | −0.32 | 0.42 | 0.38 | 0.70 | 1.00 | ||||
| M8 | −0.14 | −0.22 | 0.01 | 0.01 | −0.22 | 0.19 | −0.10 | −0.08 | −0.02 | 0.02 | 1.00 | |||
| M9 | 0.63 | 0.64 | 0.58 | 0.64 | 0.49 | −0.08 | 0.42 | 0.22 | 0.05 | −0.01 | −0.26 | 1.00 | ||
| M10 | 0.29 | 0.53 | 0.44 | 0.04 | 0.23 | −0.13 | 0.23 | 0.20 | 0.15 | 0.09 | −0.39 | 0.21 | 1.00 | |
| M11 | 0.46 | 0.27 | 0.48 | −0.06 | 0.18 | −0.12 | 0.19 | 0.16 | 0.23 | 0.17 | −0.07 | 0.16 | 0.26 | 1.00 |
| Parameters | PC 1 | PC 2 | PC 3 | PC 4 | PC 5 |
|---|---|---|---|---|---|
| 08 Metric | −0.72 | 0.64 | 0.06 | 0.16 | 0.02 |
| 06 Metric | −0.69 | 0.65 | 0.16 | 0.15 | 0.04 |
| 11 Metric | −0.72 | 0.64 | 0.12 | 0.16 | 0.05 |
| BOD | 0.73 | 0.35 | −0.17 | −0.17 | 0.08 |
| TN | 0.74 | 0.35 | 0.42 | −0.22 | 0.09 |
| TP | 0.64 | 0.42 | 0.05 | 0.35 | −0.21 |
| TN:TP | −0.53 | 0.16 | 0.00 | −0.61 | 0.45 |
| NH4-N | 0.65 | 0.59 | −0.26 | −0.20 | 0.10 |
| NO3-N | 0.30 | −0.11 | 0.93 | −0.06 | 0.00 |
| PO4-P | 0.73 | 0.55 | −0.12 | 0.03 | −0.02 |
| CHL-a | 0.37 | −0.23 | 0.00 | 0.52 | 0.73 |
| Eigenvalue | 4.47 | 2.40 | 1.20 | 0.96 | 0.81 |
| % variance | 40.64 | 21.78 | 10.90 | 8.71 | 7.39 |
| Cumulative Variance | 40.64 | 62.42 | 73.31 | 82.02 | 89.41 |
Dark shade indicates strong loading strength (>0.70);
light shade indicates moderate loading strength (0.70–0.50);
Very light shade indicates week or very week loading strength (<0.50).© 2019 by the authors. Licensee MDPI, Basel, Switzerland. This article is an open access article distributed under the terms and conditions of the Creative Commons Attribution (CC BY) license (http://creativecommons.org/licenses/by/4.0/).
Share and Cite
Atique, U.; Lim, B.; Yoon, J.; An, K.-G. Biological Health Assessments of Lotic Waters by Biotic Integrity Indices and their Relations to Water Chemistry. Water 2019, 11, 436. https://doi.org/10.3390/w11030436
Atique U, Lim B, Yoon J, An K-G. Biological Health Assessments of Lotic Waters by Biotic Integrity Indices and their Relations to Water Chemistry. Water. 2019; 11(3):436. https://doi.org/10.3390/w11030436
Chicago/Turabian StyleAtique, Usman, Byungjin Lim, Johee Yoon, and Kwang-Guk An. 2019. "Biological Health Assessments of Lotic Waters by Biotic Integrity Indices and their Relations to Water Chemistry" Water 11, no. 3: 436. https://doi.org/10.3390/w11030436
APA StyleAtique, U., Lim, B., Yoon, J., & An, K.-G. (2019). Biological Health Assessments of Lotic Waters by Biotic Integrity Indices and their Relations to Water Chemistry. Water, 11(3), 436. https://doi.org/10.3390/w11030436

