Biological Treatment of Wastewater from Pyrolysis Plant: Effect of Organics Concentration, pH and Temperature
Abstract
:1. Introduction
2. Materials and Methods
2.1. Pyrolysis Process
2.2. Biological Treatment of the Liquid Residue
3. Results
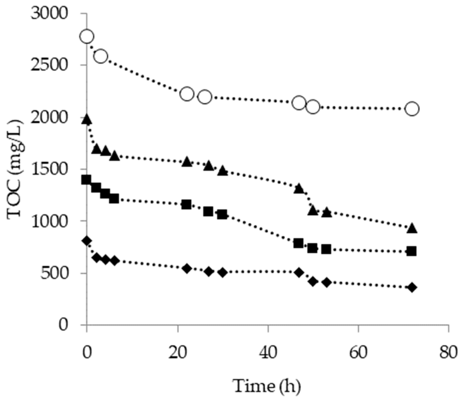
3.1. Influence of the Initial Concentration
3.2. Influence of pH
3.3. Influence of Temperature
3.4. Kinetic Analysis
4. Conclusions
Author Contributions
Conflicts of Interest
Symbols Used
| COD | (mg/L) | chemical oxygen demand |
| KM | (mg/L) | semi-saturation constant |
| T | (°C) | temperature |
| T | (h) | time |
| TOC | (mg/L) | total organic carbon |
| V | (1/h) | observed initial rate |
| va | (1/h) | apparent rate |
| veff | (1/h) | effective pH-corrected rate |
| vmax | (1/h) | limiting value of the rate |
| X | (mg/L) | biomass concentration |
References
- Inguanzo, M.; Domínguez, A.; Menéndez, J.A.; Blanco, C.G.; Pis, J.J. On the pyrolysis of sewage sludge: The influence of pyrolysis conditions on solid, liquid and gas fractions. J. Anal. Appl. Pyrol. 2002, 63, 209–222. [Google Scholar] [CrossRef]
- Agrafioti, E.; Bouras, G.; Kalderis, D.; Diamadopoulos, E. Biochar production by sewage sludge pyrolysis. J. Anal. Appl. Pyrol. 2013, 101, 72–78. [Google Scholar] [CrossRef]
- Ioannidou, O.; Zabaniotou, A. Agricultural residues as precursors for activated carbon production—A review. Renew. Sustain. Energy Rev. 2007, 11, 1966–2005. [Google Scholar] [CrossRef]
- Salehin, S.; Aburizaiza, A.S.; Barakat, M.A. Activated carbon from residual oil fly ash for heavy metals removal from aqueous solution. Desalin. Water Treat. 2016, 57, 278–287. [Google Scholar] [CrossRef]
- De Filippis, P.; Di Palma, L.; Petrucci, E.; Scarsella, M.; Verdone, N. Production and characterization of adsorbent materials from sewage sludge by pyrolysis. Chem. Eng. Trans. 2013, 32, 205–210. [Google Scholar]
- Hernández-Montoya, V.; García-Servin, J.; Bueno-López, J.I. Thermal treatments and activation procedures used in the preparation of activated carbons. In Lignocellulosic Precursors Used in the Synthesis of Activated Carbon; Intech: Rijeka, Croatia, 2012; pp. 19–36. [Google Scholar]
- Seggiani, M.; Vitolo, S.; De Filippis, P. Effect of pre-oxidation on the porosity development in a heavy oil fly ash by CO2 activation. Fuel 2005, 84, 1593–1596. [Google Scholar] [CrossRef]
- Guerrero, M.; Ruiz, M.P.; Alzueta, M.U.; Bilbao, R.; Millera, A. Pyrolysis of eucalyptus at different heating rates: Studies of char characterization and oxidative reactivity. J. Anal. Appl. Pyrol. 2005, 74, 307–314. [Google Scholar] [CrossRef]
- Guillén, M.D.; Manzanos, M.J. Study of the volatile composition of an aqueous oak smoke preparation. Food Chem. 2002, 79, 283–292. [Google Scholar] [CrossRef]
- Solantausta, Y.; Beckman, D.; Bridgwater, A.; Diebold, J.; Elliott, D. Assessment of liquefaction and pyrolysis systems. Biomass Bioenergy 1992, 2, 279–297. [Google Scholar] [CrossRef]
- Bubonja-Sonje, M.; Giacometti, J.; Abram, M. Antioxidant and antilisterial activity of olive oil, cocoa and rosemary extract polyphenols. Food Chem. 2011, 127, 1821–1827. [Google Scholar] [CrossRef]
- Mohan, D.; Pittman, C.U., Jr.; Steele, P.H. Pyrolysis of wood/biomass for bio-oil: A critical review. Energy Fuel 2006, 20, 848–889. [Google Scholar] [CrossRef]
- de Caprariis, B.; De Filippis, P.; Hernandez, A.D.; Petrucci, E.; Petrullo, A.; Scarsella, M.; Turchi, M. Pyrolysis wastewater treatment by adsorption on biochars produced by poplar biomass. J. Environ. Manag. 2017, 197, 231–238. [Google Scholar] [CrossRef] [PubMed]
- Capocelli, M.; Joyce, E.; Lancia, A.; Mason, T.J.; Musmarra, D.; Prisciandaro, M. Sonochemical degradation of estradiols: Incidence of ultrasonic frequency. Chem. Eng. J. 2012, 210, 9–17. [Google Scholar] [CrossRef]
- Capocelli, M.; Prisciandaro, M.; Lancia, A.; Musmarra, D. Modeling of cavitation as an advanced wastewater treatment. Desalin. Water Treat. 2013, 51, 1609–1614. [Google Scholar] [CrossRef]
- Mehrjouei, M.; Muller, S.; Moller, D. Treatment of pyrolysis wastewater using heterogeneous advanced oxidation processes. Environ. Prog. Sustain. 2013, 33, 178–183. [Google Scholar] [CrossRef]
- Silva, J.R.O.; Santos, D.S.; Santos, U.R.; Eguiluz, K.I.B.; Salazar-Banda, G.R.; Schneider, J.K.; Krause, L.C.; López, J.A.; Hernández-Macedo, M.L. Electrochemical and/or microbiological treatment of pyrolysis wastewater. Chemosphere 2017, 185, 145–151. [Google Scholar] [CrossRef] [PubMed]
- Musmarra, D.; Prisciandaro, M.; Capocelli, M.; Karatza, D.; Iovino, P.; Canzano, S.; Lancia, A. Degradation of ibuprofen by hydrodynamic cavitation: Reaction pathways and effect of operational parameters. Ultrason. Sonochem. 2016, 29, 76–83. [Google Scholar] [CrossRef]
- Liu, Z.; Xie, W.; Li, D.; Peng, Y.; Li, Z.; Liu, S. Biodegradation of phenol by bacteria strain Acinetobacter Calcoaceticus PA isolated from phenolic wastewater. Int. J. Environ. Res. Public Health 2016, 13, 300. [Google Scholar] [CrossRef]
- Zhou, H.; Wei, C.; Zhang, F.; Liao, J.; Hu, Y.; Wu, H. Energy-saving optimization of coking wastewater treated by aerobic bio-treatment integrating two-stage activated carbon adsorption. J. Clean. Prod. 2018, 175, 467–476. [Google Scholar] [CrossRef]
- Zhu, H.; Han, Y.; Xu, C.; Han, H.; Ma, W. Overview of the state of the art of processes and technical bottlenecks for coal gasification wastewater treatment. Sci. Total. Environ. 2018, 637–638, 1108–1126. [Google Scholar] [CrossRef]
- APHA; AWWA; WPCF. Standard Methods for the Examinations of Water and Wastewater, 17th ed.; American Public Health Association: Washington, DC, USA, 2005. [Google Scholar]
- Ruiz-Ordaz, N.; Hernández-Manzano, E.; Ruiz-Lagúnez, J.C.; Cristiani-Urbina, E.; Galíndez-Mayer, J. Growth kinetic model that describes the inhibitory and lytic effects of phenol on Candida tropicalis yeast. Biotechnol. Prog. 1998, 14, 966–969. [Google Scholar] [CrossRef] [PubMed]
- Cazar, M.E.; Schmeda-Hirschmann, G.; Astudillo, L. Antimicrobial butyrolactone I derivatives from the Ecuadorian soil fungus Aspergillus terreus Thorn. var terreus. World J. Microbiol. Biotechnol. 2005, 21, 1067–1075. [Google Scholar] [CrossRef]
- Narendranath, N.V.; Thomas, K.C.; Ingledew, W.M. Effects of acetic acid and lactic acid on the growth of Saccharomyces cerevisiae in a minimal medium. J. Ind. Microb. Biotechnol. 2001, 26, 171–177. [Google Scholar] [CrossRef]
- Beltran, F.J.; Alvarez, P.M.; Rodriguez, E.M.; Garcia-Araya., J.F.; Rivas, J. Treatment of high strength distillery wastewater (cherry stillage) by integrated aerobic biological oxidation and ozonization. Biotechnol. Prog. 2001, 17, 462–467. [Google Scholar] [CrossRef] [PubMed]
- Rezasoltani, S.; Shayegan, J.; Jalali, S. Effect of pH on aerobic granulation and treatment performance in sequencing batch reactors. Chem. Eng. Technol. 2015, 38, 851–858. [Google Scholar] [CrossRef]










| Parameter | Value | |
| TOC | 82,700 mg/L | |
| pH | 3.2 | |
| List of the soluble organic compounds on dry basis | ||
| Retention Time (min) | Organic Compound | Mass Fraction (%) |
| 1.85 | Acetic acid, methyl ester | 8.65 |
| 1.97 | Acetic acid | 24.49 |
| 1.98 | 2-Butanol | 11.92 |
| 2.22 | 2-Propanone, 1-hydroxy- | 12.48 |
| 2.30 | Propanoic acid | 4.36 |
| 2.42 | 2-Butanone, 3-hydroxy- | 3.64 |
| 2.61 | 2-Butanol, 3-methyl- | 0.72 |
| 2.70 | Butanamide, 3,N-dihydroxy- | 0.44 |
| 2.79 | 1-Hydroxy-2-butanone | 2.63 |
| 2.84 | Butanoic acid | 0.78 |
| 2.89 | Propanal | 2.02 |
| 2.99 | Cyclopentanone | 1.36 |
| 3.05 | 3-Pentanol | 0.84 |
| 3.11 | Butane,2-ethoxy- | 0.64 |
| 3.36 | 2-Cyclopenten-1-one | 3.86 |
| 3.55 | Pentane, 1,3-epoxy-4-methyl- | 0.65 |
| 3.87 | 2-Furanmethanol, tetrahydro- | 0.26 |
| 3.90 | 1,3-Butanediol | 0.62 |
| 4.05 | 2-Cyclopenten-1-one, 2-methyl- | 1.37 |
| 4.09 | Ethanone, 1-(2-furanyl)- | 0.50 |
| 4.12 | Butyrolactone | 3.74 |
| 4.52 | 2(3H)-Furanone, dihydro-5-methyl- | 0.62 |
| 4.57 | 2H-Pyran-2-one, tetrahydro- | 0.43 |
| 4.65 | 2-Cyclopenten-1-one, 3-methyl- | 1.06 |
| 4.81 | Phenol | 1.15 |
| 4.94 | 6-Methyl-3-heptyne | 0.30 |
| 4.98 | Cyclohexanone, 3-methyl-, (R)- | 0.29 |
| 5.00 | 1-Hydroxy-2-pentanone | 0.56 |
| 5.23 | 1,2-Cyclopentanedione, 3-methyl- | 3.10 |
| 5.35 | 2-Cyclopenten-1-one, 2,3-dimethyl | 0.52 |
| 5.48 | 2-Hydroxy-3,5-dimethylcyclopent-2-en-1-one | 1.25 |
| 5.80 | Phenol, 2-methoxy- | 2.46 |
| 6.07 | 2-Cyclopenten-1-one, 3-ethyl-2-hydroxy | 0.50 |
| 6.30 | 4-Isoprpylcyclohexanone | 0.51 |
| 6.74 | Phenol, 2-methoxy-4-methyl- | 1.11 |
© 2019 by the authors. Licensee MDPI, Basel, Switzerland. This article is an open access article distributed under the terms and conditions of the Creative Commons Attribution (CC BY) license (http://creativecommons.org/licenses/by/4.0/).
Share and Cite
Di Palma, L.; Bavasso, I.; Capocelli, M.; De Filippis, P.; Piemonte, V. Biological Treatment of Wastewater from Pyrolysis Plant: Effect of Organics Concentration, pH and Temperature. Water 2019, 11, 336. https://doi.org/10.3390/w11020336
Di Palma L, Bavasso I, Capocelli M, De Filippis P, Piemonte V. Biological Treatment of Wastewater from Pyrolysis Plant: Effect of Organics Concentration, pH and Temperature. Water. 2019; 11(2):336. https://doi.org/10.3390/w11020336
Chicago/Turabian StyleDi Palma, Luca, Irene Bavasso, Mauro Capocelli, Paolo De Filippis, and Vincenzo Piemonte. 2019. "Biological Treatment of Wastewater from Pyrolysis Plant: Effect of Organics Concentration, pH and Temperature" Water 11, no. 2: 336. https://doi.org/10.3390/w11020336
APA StyleDi Palma, L., Bavasso, I., Capocelli, M., De Filippis, P., & Piemonte, V. (2019). Biological Treatment of Wastewater from Pyrolysis Plant: Effect of Organics Concentration, pH and Temperature. Water, 11(2), 336. https://doi.org/10.3390/w11020336
