Improvement of Two Evapotranspiration Estimation Models Using a Linear Spectral Mixture Model over a Small Agricultural Watershed
Abstract
1. Introduction
2. Materials
2.1. Study Area
2.2. Ground Measurements
2.3. Remote-Sensing Data
3. Methods
3.1. Theoretical Basis of SEBAL
3.1.1. Soil Heat Flux in SEBAL
3.1.2. Sensible Heat Flux in SEBAL
3.1.3. Daily ET in SEBAL
3.2. Theoretical Basis of SEBS
3.2.1. Soil Heat Flux in SEBS
3.2.2. Sensible Heat Flux in SEBS
3.2.3. Daily ET in SEBS
3.3. Theoretical Basis of LSMM
4. Results and Discussion
4.1. Validation of Soil Heat Flux
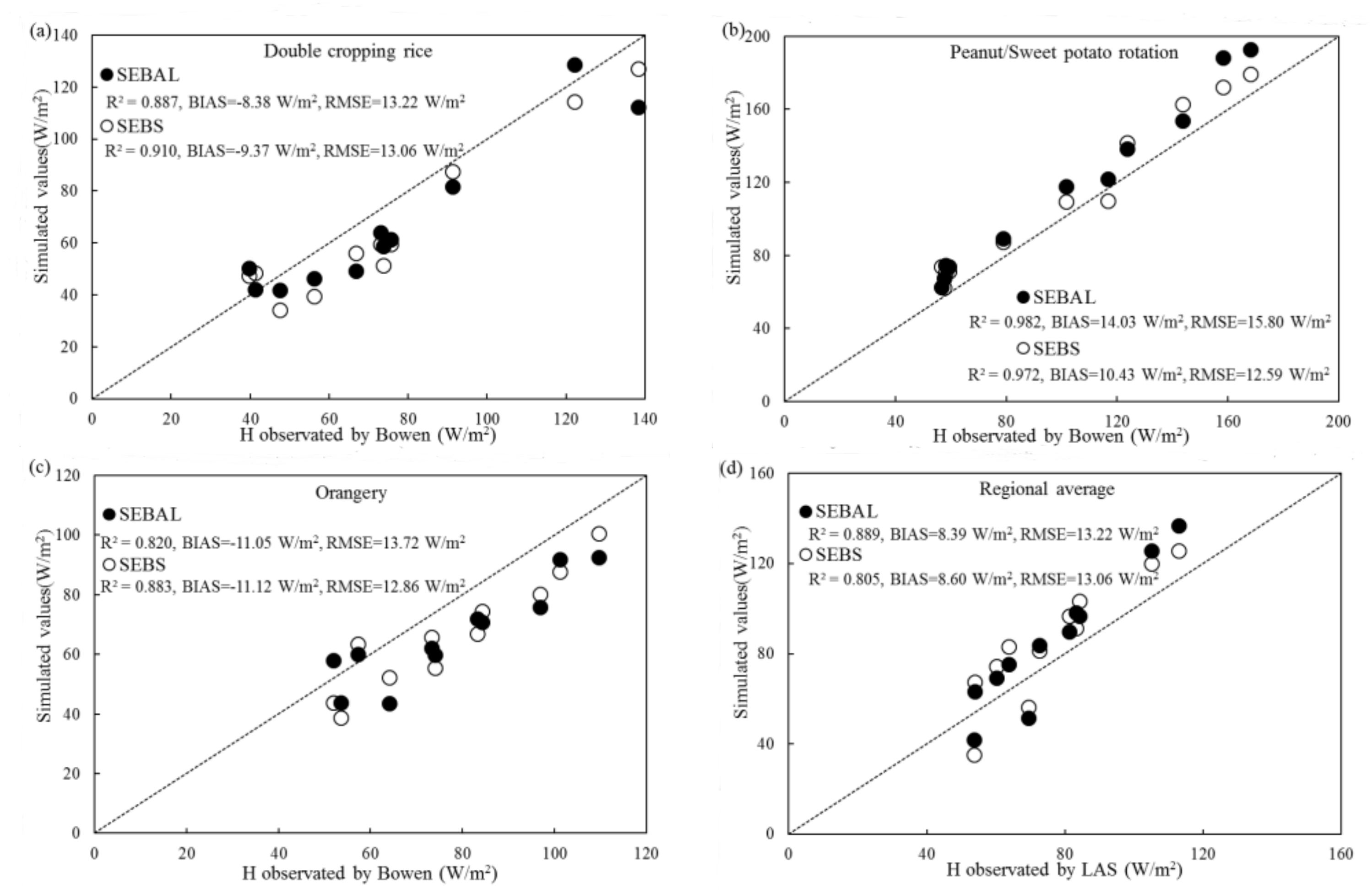
4.2. Validation of Sensible Heat Flux
4.3. Validation of Daily ET
4.4. LSMM Improvements
5. Summary and Conclusions
Acknowledgments
Author Contributions
Conflicts of Interest
References
- Allen, R.G.; Pruitt, W.O.; Businger, J.A.; Fritschen, L.J.; Jensen, M.E.; Quinn, F.H. Evaporation and Transpiration, in Hydrology Handbook, 2nd ed.; Heggen, R.J., Wootton, T.P., Cecilio, C.B., Fowler, L.C., Hui, S.L., Eds.; American Society of Civil Engineers: New York, NY, USA, 1996; pp. 125–252. [Google Scholar]
- Seguin, B.; Itier, B. Using midday surface temperature to estimate daily evaporation from satellite thermal IR data. Int. J. Remote Sens. 1983, 4, 371–383. [Google Scholar] [CrossRef]
- Kustas, W.P.; Daughtry, C.S.T.; Van Oevelen, P.J. Analytical treatment of the relationships between soil heat flux/net radiation ratio and vegetation indices. Remote Sens. Environ. 1993, 46, 319–330. [Google Scholar] [CrossRef]
- Carlson, T.N.; Capehart, W.J.; Gillies, R.R. A New Look at the Simplified Method for Remote Sensing of Daily ET. Remote Sens. Environ. 1995, 54, 161–167. [Google Scholar] [CrossRef]
- Menenti, M.; Choudhury, B. Parameterization of Land Surface Evaporation by Means of Location Dependent Potential Evaporation and Surface Temperature range; IAHS Publications: Oxfordshire, UK, 1993; pp. 561–568. [Google Scholar]
- Bastiaanssen, W.G.M. Regionalization of Surface Flux Densities and Moisture Indicators in Composite Terrain. Ph.D. Thesis, Wageningen Agricultural University, Wageningen, The Netherlands, 1995. [Google Scholar]
- Bastiaanssen, W.G.M.; Menenti, M.; Feddes, R.A.; Holtslag, A.A.M. A remote sensing surface energy balance algorithm for land (SEBAL): 1. Formulation. J. Hydrol. 1998, 212–213, 198–212. [Google Scholar] [CrossRef]
- Bastiaanssen, W.G.M.; Pelgrum, H.; Wang, J.; Ma, Y.; Moreno, J.F.; Roerink, G.J.; Van der Wal, T. A remote sensing surface energy balance algorithm for land (SEBAL): 2. Validation. J. Hydrol. 1998, 212–213, 213–229. [Google Scholar] [CrossRef]
- Bastiaanssen, W.G.M. SEBAL-based sensible and latent heat fluxes in the irrigated Gediz Basin, Turkey. J. Hydrol. 2000, 229, 87–100. [Google Scholar] [CrossRef]
- Su, Z. The surface energy balance system (SEBS) for estimation of turbulent heat fluexes. Hydrol. Earth Syst. Sci. 2002, 6, 85–99. [Google Scholar] [CrossRef]
- Roerink, G.J.; Su, Z.; Menenti, M. A Simple Remote Sensing Algorithm to Estimate the Surface Energy Balance. Phys. Chem. Earth. 2000, 25, 147–157. [Google Scholar] [CrossRef]
- Allen, R.G.; Tasumi, M.; Trezza, R. Satellite-based energy balance for mapping ET with internalized calibration (METRIC)-model. J. Irrig. Drain. Eng. 2007, 133, 380–394. [Google Scholar] [CrossRef]
- Shuttleworth, W.J.; Gurney, R.J. The Theoretical Relationship between Foliage Temperature and Canopy Resistance in Sparse Crop. Q. J. R. Meteorol. Soc. 1990, 116, 497–519. [Google Scholar] [CrossRef]
- Norman, J.M.; Kustas, W.P.; Humes, K.S. A Two-source Approach for Estimating Soil and Vegetation Energy Fluxes from Observation of Directional Radiometric Surface Temperature. Agric. For. Meteorol. 1995, 77, 263–293. [Google Scholar] [CrossRef]
- Anderson, M.C.; Norman, J.M.; Diak, G.R.; Kustas, W.P.; Mecikalski, J.R. A two-source time-integrated model for estimating surface fluxes using thermal infrared remote sensing. Remote Sens. Environ. 1997, 60, 195–216. [Google Scholar] [CrossRef]
- Kite, G.W.; Droogers, P. Comparing ET estimates from satellites, hydrological models and field data. J. Hydrol. 2000, 229, 3–18. [Google Scholar] [CrossRef]
- Jia, L.; Su, Z.; van den Hurk, B.; Menenti, M.; Moene, A.; De Bruin, H.A.R.; Javier, J.; Yrisarry, B.; Ibanez, M.; Antonio, C. Estimation of sensible heat flux using the surface energy balance system (SEBS) and ATSR measurements. Phys. Chem. Earth. 2003, 28, 75–88. [Google Scholar] [CrossRef]
- Timmermans, W.J.; Kustas, W.P.; Anderson, M.C.; French, A.N. An intercomparison of the Surface Energy Balance Algorithm for Land (SEBAL) and the Two-Source Energy Balance (TSEB) modeling schemes. Remote Sens. Environ. 2007, 108, 369–384. [Google Scholar] [CrossRef]
- Teixeira, A.H.; Bastiaanssen, W.G.M.; Ahmad, M.D.; Bos, M.G. Reviewing SEBAL input parameters for assessing ET and water productivity for the Low-Middle San Francisco River basin, Brazil Part A: Calibration and validation. Agric. For. Meteorol. 2009, 149, 462–476. [Google Scholar] [CrossRef]
- Ning, J.; Gao, Z.Q.; Xu, F.X. Effects of land cover change on evapotranspiration in the Yellow River Delta analyzed with the SEBAL model. J. Appl. Remote Sens. 2017, 11, 016009. [Google Scholar] [CrossRef]
- Vinukollu, R.K.; Wood, E.F.; Ferguson, C.R.; Fisher, J.B. Global estimates of evapotranspiration for climate studies using multi-sensor remote sensing data: Evaluation of three process-based approaches. Remote Sens. Environ. 2011, 115, 801–823. [Google Scholar] [CrossRef]
- Chen, X.; Su, Z.; Ma, Y.; Yang, K. Estimation of surface energy fluxes under complex terrain of Mt. Qomolangma over the Tibetan Plateau. Hydrol. Earth Syst. Sci. 2013, 17, 1607–1618. [Google Scholar] [CrossRef]
- Tang, R.; Li, Z.L.; Jia, Y.; Li, C.; Sun, X.; Kustas, W.P.; Anderson, M.C. An intercomparison of three remote sensing-based energy balance models using Large Aperture Scintillometer measurements over a wheat–corn production region. Remote Sens. Environ. 2011, 115, 3187–3202. [Google Scholar] [CrossRef]
- Sharma, V.; Kilic, A.; Irmak, S. Impact of scale/resolution on evapotranspiration from landsat and modis images. Water Resour. Res. 2016, 52, 1207–1221. [Google Scholar] [CrossRef]
- Byun, K.; Liaqat, U.W.; Choi, M. Dual-model approaches for evapotranspiration analyses over homo- and heterogeneous land surface conditions. Agric. For. Meteorol. 2014, 197, 169–187. [Google Scholar] [CrossRef]
- Rouholahnejad Freund, E.; Fan, Y.; Kirchner, J.W. Averaging over spatial heterogeneity leads to overestimation of ET in large scale Earth system models. In Proceedings of the EGU General Assembly Conference, Vienna, Austria, 23–28 April 2017; Volume 19. [Google Scholar]
- Ershadi, A.; McCabe, M.F.; Evans, J.P.; Chaney, N.W.; Wood, E.F. Multi-site evaluation of terrestrial evaporation models using FLUXNET date. Agric. For. Meteorol. 2014, 187, 46–61. [Google Scholar] [CrossRef]
- Gibson, L.A.; Münch, Z.; Engelbrecht, J. Particular uncertainties encountered in using a pre-packaged SEBS model to derive evapotranspiration in a heterogeneous study area in South Africa. Hydrol. Earth Syst. Sci. 2011, 15, 295–310. [Google Scholar] [CrossRef]
- Mcaneney, K.G.; Green, A.E.; Astill, M.S. Large Aperture Scintillometry: The Homogeneous Case. Agric. For. Meteorol. 1995, 76, 149–162. [Google Scholar] [CrossRef]
- Meijninger, W.M.L.; Hartogensis, O.K.; Kohsiek, W.; Hoedjes, J.C.B.; Zuurbier, R.M.; De Bruin, H.A.R. Determination of area-averaged sensible heat fluxes with a large aperture scintillometer over a heterogeneous surface–Flevoland field experiment. Bound.-Layer Meteorol. 2002, 105, 37–62. [Google Scholar] [CrossRef]
- Su, Z.; Schmugge, T.; Kusta, W.P.; Massman, W.J. An evaluation of two models for estimation of the roughness height for heat transfer between the land surface and the atmosphere. J. Appl. Meteorol. 2001, 40, 1933–1951. [Google Scholar] [CrossRef]
- Brutsaert, W. Aspects of Bulk Atmospheric Boundary Layer Similarity under Free-Convective Conditions. Rev. Geophys. 1999, 37, 439–451. [Google Scholar] [CrossRef]
- Monin, A.S.; Obukhov, A.M. Basic laws of turbulent mixing in the surface layer of the atmosphere. Tr. Akad. Nauk SSSR Geophiz. Inst. 1954, 24, 1963–1987. [Google Scholar]
- Monteith, J.L. Principles of Environmental Physics; Edward Arnold Press: London, UK, 1973; 241p. [Google Scholar]
- Massman, W.J. A model study of kB-1 for vegetated surfaces using “localized near-field” Lagrangian theory. J. Hydrol. 1999, 223, 27–43. [Google Scholar] [CrossRef]
- Timmermans, J.; Su, Z.; van der Tol, C.; Verhoef, A.; Verhoef, W. Quantifying the uncertainty in estimates of surface–atmosphere fluxes through joint evaluation of the SEBS and SCOPE models. Hydrol. Earth Syst. Sci. 2013, 17, 1561–1573. [Google Scholar] [CrossRef]
- Van der Kwast, J.; Timmermans, W.; Gieske, A.; Su, Z.; Olioso, A.; Jia, L.; Elbers, J.; Karssenberg, D.; de Jong, S. Evaluation of the Surface Energy Balance System (SEBS) applied to ASTER imagery with flux-measurements at the SPARC 2004 site (Barrax Spain). Hydrol. Earth Syst. Sci. 2009, 13, 1337–1347. [Google Scholar] [CrossRef]
- Harman, I. The role of roughness sublayer dynamics within surface exchange schemes. Bound.-Layer Meteorol. 2012, 142, 1–20. [Google Scholar] [CrossRef]
- Tang, R.; Li, Z.L. Evaluation of two end-member-based models for regional landsurface evapotranspiration estimation from MODIS data. Agric. For. Meteorol. 2015, 202, 69–82. [Google Scholar] [CrossRef]
- Tang, R.; Li, Z.L.; Chen, K.S.; Jia, Y.; Li, C.; Sun, X. Spatial-scale effect on the SEBAL model for ET estimation using remote sensing data. Agric. For. Meteorol. 2013, 174–175, 28–42. [Google Scholar] [CrossRef]
- Lu, D.; Moran, E.; Batistella, M. Linear mixture model applied to amazonian vegetation classification. Remote Sens. Environ. 2015, 87, 456–469. [Google Scholar] [CrossRef]
- Roberto, D.S.J.; Lacruz, M.; Keil, M.; Kramer, J.M.C. A linear spectral mixture model to estimate forest and savanna biomass at transition areas in Amazonia. In Proceedings of the IEEE International Geoscience and Remote Sensing Symposium IGARSS, Hamburg, Germany, 28 June–2 July 1999; Volume 2, pp. 753–755. [Google Scholar]
- Musa, S.D.; Onwuka, S.U.; Eneche, P.S.U. Geospatial Analysis of Land Use/Cover Dynamics in Awka Metropolis, Nigeria: A Sub-pixel Approach. J. Geo-Environ. Earth Syst. Int. 2017, 11, 1–19. [Google Scholar] [CrossRef]
- Onwuka, S.U.; Eneche, P.S.U.; Ismail, N.A. Geospatial modeling and prediction of land use/cover dynamics in onitsha metropolis, nigeria: A sub-pixel approach. Br. J. Appl. Sci. Technol. 2017, 22, 1–18. [Google Scholar] [CrossRef]
- Hu, B.; Miller, J.R.; Chen, J.M.; Hollinger, A. Retrieval of the canopy leaf area index in the boreas flux tower sites using linear spectral mixture analysis. Remote Sens. Environ. 2004, 89, 176–188. [Google Scholar] [CrossRef]
- Weng, Q.H.; Hu, X.F.; Liu, H. Estimating impervious surfaces using linear spectral mixture analysis with multitemporal aster images. Int. J. Remote Sens. 2009, 30, 4807–4830. [Google Scholar] [CrossRef]
- Zhang, Y.; Li, L.; Chen, L.; Liao, Z.; Wang, Y.; Wang, B.; Yang, X. A modified multi-source parallel model for estimating urban surface evapotranspiration based on aster thermal infrared data. Remote Sens. 2017, 9, 1029. [Google Scholar] [CrossRef]
- Somers, B.; Asner, G.P.; Tits, L.; Coppin, P. Endmember variability in Spectral Mixture Analysis: A review. Remote Sens. Environ. 2011, 115, 1603–1616. [Google Scholar] [CrossRef]
- Shimabukuro, Y.E.; Smith, J.A. The least-squares mixing models to generate fraction images derived from remote-sensing multispectral data. IEEE Trans. Geosci. Remote Sens. 1991, 29, 16–20. [Google Scholar] [CrossRef]
- Inmanbamber, N.G.; Mcglinchey, M.G. Crop coefficients and water-use estimates for sugarcane based on long-term bowen ratio energy balance measurements. Field Crops Res. 2003, 83, 125–138. [Google Scholar] [CrossRef]
- Cain, J.D.; Ptw, R.; Meijninger, W.; Harde, B. Spatially averaged sensible heat fluxes measured over barley. Agric. For. Meteorol. 2001, 107, 307–322. [Google Scholar] [CrossRef]
- Evans, J.G.; Mcneil, D.D.; Finch, J.W.; Murray, T.; Harding, R.J.; Ward, H.C.; Verhorf, A. Determination of turbulent heat fluxes using a large aperture scintillometer over undulating mixed agricultural terrain. Agric. For. Meteorol. 2012, 166–167, 221–233. [Google Scholar] [CrossRef]
- Ezzahar, J.; Chehbouni, A.; Hoedjes, J.; Ramier, D.; Boulain, N.; Boubkraoui, S.; Cappelaere, B.; Descroix, L.; Mougenot, B.; Timouk, F. Combining scintillometer measurements and an aggregation scheme to estimate area-averaged latent heat flux during the amma experiment. J. Hydrol. 2009, 375, 217–226. [Google Scholar] [CrossRef]








| Year | DOY |
|---|---|
| 2013 | 134, 182, 214, 278 |
| 2014 | 073, 121, 217, 281, 291 |
| 2015 | 252, 284 * |
| Model | Double Cropping Rice | Peanut/Sweet Potato Rotation | Orangery | Regional Average | ||
|---|---|---|---|---|---|---|
| SEBAL | Relative Precision | Pre-improved | 119.04% | 83.22% | 115.08% | 86.75% |
| Improved | 110.99% | 90.98% | 109.53% | 94.62% | ||
| MAD | Pre-improved | 0.834 | 0.577 | 0.57 | 0.524 | |
| Improved | 0.476 | 0.31 | 0.36 | 0.213 | ||
| MAPD | Pre-improved | 16.17% | 20.16% | 13.11% | 15.27% | |
| Improved | 9.90% | 9.91% | 8.70% | 5.70% | ||
| RMSE (mm/day) | Pre-improved | 0.86 | 0.67 | 0.55 | 0.62 | |
| Improved | 0.37 | 0.32 | 0.34 | 0.31 | ||
| SEBS | Relative Precision | Pre-improved | 114.80% | 68.73% | 111.46% | 79.32% |
| Improved | 104.73% | 86.56% | 104.05% | 89.38% | ||
| MAD | Pre-improved | 0.641 | 0.687 | 0.433 | 0.818 | |
| Improved | 0.205 | 0.462 | 0.153 | 0.42 | ||
| MAPD | Pre-improved | 12.89% | 29.07% | 10.28% | 26.07% | |
| Improved | 4.52% | 15.52% | 3.89% | 11.88% | ||
| RMSE (mm/day) | Pre-improved | 0.71 | 0.91 | 0.49 | 0.72 | |
| Improved | 0.22 | 0.32 | 0.20 | 0.34 |
© 2018 by the authors. Licensee MDPI, Basel, Switzerland. This article is an open access article distributed under the terms and conditions of the Creative Commons Attribution (CC BY) license (http://creativecommons.org/licenses/by/4.0/).
Share and Cite
Li, G.; Jing, Y.; Wu, Y.; Zhang, F. Improvement of Two Evapotranspiration Estimation Models Using a Linear Spectral Mixture Model over a Small Agricultural Watershed. Water 2018, 10, 474. https://doi.org/10.3390/w10040474
Li G, Jing Y, Wu Y, Zhang F. Improvement of Two Evapotranspiration Estimation Models Using a Linear Spectral Mixture Model over a Small Agricultural Watershed. Water. 2018; 10(4):474. https://doi.org/10.3390/w10040474
Chicago/Turabian StyleLi, Gen, Yuanshu Jing, Yihua Wu, and Fangmin Zhang. 2018. "Improvement of Two Evapotranspiration Estimation Models Using a Linear Spectral Mixture Model over a Small Agricultural Watershed" Water 10, no. 4: 474. https://doi.org/10.3390/w10040474
APA StyleLi, G., Jing, Y., Wu, Y., & Zhang, F. (2018). Improvement of Two Evapotranspiration Estimation Models Using a Linear Spectral Mixture Model over a Small Agricultural Watershed. Water, 10(4), 474. https://doi.org/10.3390/w10040474
