Sign in to use this feature.

Years

Between: -

Subjects

remove_circle_outline
remove_circle_outline
remove_circle_outline
remove_circle_outline
remove_circle_outline
remove_circle_outline
remove_circle_outline
remove_circle_outline
remove_circle_outline

Journals

remove_circle_outline
remove_circle_outline
remove_circle_outline
remove_circle_outline
remove_circle_outline
remove_circle_outline
remove_circle_outline
remove_circle_outline

Article Types

Countries / Regions

remove_circle_outline
remove_circle_outline
remove_circle_outline
remove_circle_outline
remove_circle_outline
remove_circle_outline

Search Results (379)

Search Parameters:
Keywords = SEBS

Order results
Result details
Results per page
Select all
Export citation of selected articles as:
30 pages, 2443 KB  
Article
Ecological Dynamics of Staphylococcus aureus in Raw Ewe Milk Following Different Mastitis Treatment Protocols
by Konstantina Fotou, Georgios Rozos, Konstantina Nikolaou, Vaia Gerokomou, Aikaterini Dadamogia, Sotiria Vouraki, Panagiotis Demertzis, Konstantoula Akrida-Demertzi, Natalia G. C. Vasileiou, Ioannis Skoufos, Athina Tzora and Chrysoula (Chrysa) Voidarou
Antibiotics 2026, 15(4), 388; https://doi.org/10.3390/antibiotics15040388 - 10 Apr 2026
Abstract
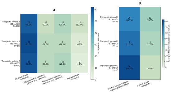
Background/Objectives: Staphylococcus aureus (S. aureus) intramammary infection remains a major global dairy problem due to its contagious nature, its ability to persist and colonize teat/skin and mucosal niches, and the often-limited bacteriological cure achieved with antimicrobial therapy. Beyond udder health, [...] Read more.
Background/Objectives: Staphylococcus aureus (S. aureus) intramammary infection remains a major global dairy problem due to its contagious nature, its ability to persist and colonize teat/skin and mucosal niches, and the often-limited bacteriological cure achieved with antimicrobial therapy. Beyond udder health, it is relevant to public health because it can enter raw milk chains and serve as a reservoir for antimicrobial resistance determinants that may circulate between dairy animals and humans. Methods: We assessed S. aureus’ ecology in raw ewe milk from 75 sheep farms in Epirus (Greece) by sampling clinically healthy controls (group A) and clinical mastitis cases pre-treatment (group B), followed by resampling at the first post-withdrawal milking after penicillin/streptomycin treatment (group C1—therapeutic protocol 1), oxytetracycline treatment (group C2—therapeutic protocol 2), or enrofloxacin treatment (group C3—therapeutic protocol 3). Results: S. aureus detection was high and comparable across groups (A 23.0%, B 22.0–30.0%, C 20.0–22.0%), and paired analyses showed no significant pre–post shifts in detection/burden within therapeutic protocols (all p > 0.05). Nevertheless, persistence remained evident. The chromosomal gene mecA was detected in S. aureus strains in all groups, ranging from 13.6% in controls to 54.5% post-withdrawal in group C1, and was also present in the pre-treatment group. In paired sampling animals, mecA was mostly stable, with rare emergence or loss. Across antibiotic classes, within-animal resistance transitions were generally uncommon and non-significant (p > 0.05); β-lactam resistance was fully stable (p = 1.00). Descriptively, resistance to protein synthesis inhibitors tended to decline after therapy in protocol 1 and protocol 3, while protocol 3 showed post-treatment gains in fluoroquinolone resistance. By contrast, virulence-associated phenotype traits shifted after therapy: enterotoxigenicity increased post-withdrawal (especially in the C3 group), Staphylococcal Enterotoxin A (SEA) and Staphylococcal Enterotoxin B (SEB) appeared only post-therapy, Staphylococcal Enterotoxin D (SED) increased significantly in paired isolates (p = 0.002), and strong biofilm adherence increased (in C3, p = 1.5 × 10−5). Conclusions: The detection of S. aureus after therapy suggests that one possibility is that antimicrobial exposure may select for, or otherwise reshape, the residual intramammary population, rather than reliably eliminating it—an outcome that remains clinically relevant for udder health. Moreover, the persistence of mecA/methicillin-resistant Staphylococcus aureus (MRSA)-compatible profiles indicates that milk released to the food chain after withdrawal compliance may still harbor S. aureus with enhanced preservation capacity and significant food safety relevance. Full article
Show Figures

Figure 1

14 pages, 1583 KB  
Article
Comprehensive Genomic Profiling of Cutaneous Adnexal Carcinomas: A Genomic Landscape Study
by Maroun Bou Zerdan, Kevin T. Jamouss, Alexandre Maalouf, Rita Moukarzel, Tanishq Chhabra, Daniel J. Zaccarini, Dean Pavlick, Natalie Danziger and Jeffrey Ross
Dermatopathology 2026, 13(2), 15; https://doi.org/10.3390/dermatopathology13020015 - 30 Mar 2026
Viewed by 275
Abstract
Cutaneous adnexal carcinomas (CACs) comprise a diverse group of malignant tumors that show morphological differentiation toward one of the four main adnexal structures in normal skin: hair follicles, sebaceous glands, sweat-apocrine glands, and sweat-eccrine glands. These tumors can arise sporadically or may be [...] Read more.
Cutaneous adnexal carcinomas (CACs) comprise a diverse group of malignant tumors that show morphological differentiation toward one of the four main adnexal structures in normal skin: hair follicles, sebaceous glands, sweat-apocrine glands, and sweat-eccrine glands. These tumors can arise sporadically or may be associated with rare genetic syndromes. A total of 276 CACs cases underwent hybrid capture-based comprehensive genomic profiling (CGP) to assess all classes of genomic alterations (GA). Sequencing data were used to determine microsatellite instability (MSI) status, tumor mutational burden (TMB), genomic loss of heterozygosity (gLOH), genomic ancestry, and COSMIC mutational signatures. PD-L1 expression was evaluated by immunohistochemistry (TPS; Dako 22C3). Statistical analyses were performed using Fisher’s exact test, with false discovery rate correction via the Benjamini–Hochberg method. Sequencing was performed on primary cutaneous tumors in 131 cases (47.4%) and on local recurrence or metastatic site biopsies in 145 cases (52.5%). Across all groups, there was a male predominance (64–81%) and similar mean ages (59–63 years), with apocrine (APO) tumors occurring in older patients than eccrine (ECC) tumors (72 vs. 62 years; p = 0.001). Histologically, 173 tumors (62.7%) were sweat gland-derived (SWT), 55 (19.9%) sebaceous gland-derived (SEB), 14 (5.1%) hair follicle-derived (HRF), and 34 (12.3%) unclassified (UNK). Among SWT tumors, 150 (86.7%) were eccrine and 23 (13.3%) apocrine. SWT tumors included digital papillary adenocarcinomas (DPA, 6.9%), mucinous carcinomas (MC, 6.3%), porocarcinomas (POR, 11.0%), spiradenocarcinomas (SPR, 8.1%), syringoadenocarcinomas (SRNG, 5.8%), and 77 (44.5%) unclassified cases. The number of GA per tumor was highest in SEB compared with SWT tumors (7.9 vs. 4.9; p = 0.005) and lowest in DPA (2.1 vs. 5.0 in non-DPA; p = 0.03). No differences in ancestry distribution were observed. Compared with SWT tumors, SEB tumors exhibited higher frequencies of RB1 (38.2% vs. 8.1%; p < 0.0001) and TP53 alterations (76.4% vs. 43.4%; p = 0.0002), suggesting potential neuroendocrine differentiation. MC tumors showed significantly higher PTCH1 alterations than non-MC tumors (36.4% vs. 1.8%; p = 0.044). MSI-high status was most frequent in SEB tumors compared with all other groups (15.7% vs. 1.2%; p = 0.005), and gLOH > 16% was also more common in SEB than SWT tumors (19.6% vs. 7.2%; p = 0.081). The MMR signature occurred more frequently in SEB than SWT tumors (32.0% vs. 2.1%; p = 0.005). Mean TMB was elevated across most CACs types, ranging from 10.4 mutations/Mb in HRF to 38.8 mutations/Mb in MC, with the exceptions of APO (2.7 mut/Mb; p = 0.001) and DPA (1.4 mut/Mb; p = 0.003). PD-L1 expression was generally low and did not differ significantly between SWT and SEB tumors (37.0% vs. 33.3%; NS). Given the limited data on CAC treatment, this study provides a catalog of commonly observed GA. SEB tumors exhibited the highest frequency of genomic alterations. Prospective clinical trials are needed to determine the prognostic and predictive value of CAC-specific biomarkers for immune checkpoint inhibitor (ICI) response, which is essential for integrating novel therapies into the evolving treatment landscape. Full article
Show Figures

Figure 1

14 pages, 1291 KB  
Article
High-Resistant Packaging EPDM/SEBS Blends Processed by γ-Irradiation
by Traian Zaharescu, Ioana Cîrstea and Radu Mirea
Foods 2026, 15(7), 1151; https://doi.org/10.3390/foods15071151 - 27 Mar 2026
Viewed by 368
Abstract
The current paper aims to study the thermal stability of ethylene–propylene–diene monomer (EPDM) and styrene–ethylene–butylene–styrene (SEBS) block copolymer attained by radiation processing and evaluated by chemiluminescence (CL). Three blends with different weight ratios (1:3, 1:1 and 3:1), as well as individual rubbers, are [...] Read more.
The current paper aims to study the thermal stability of ethylene–propylene–diene monomer (EPDM) and styrene–ethylene–butylene–styrene (SEBS) block copolymer attained by radiation processing and evaluated by chemiluminescence (CL). Three blends with different weight ratios (1:3, 1:1 and 3:1), as well as individual rubbers, are γ-irradiated at 25, 50, 100 and 150 kGy. Their thermal stabilities are intercompared, and the activation energies required for oxidative degradation are calculated by using the values of oxidation induction times. Another investigation concerning the development of gel is in good agreement with the CL results. The aspects related to the mechanisms of the radiation fragmentation of blended components are discussed. The contributions of the blending components are evaluated based on the peculiar kinetic parameters, namely oxidation induction time (OIT) and onset oxidation temperatures (OOTs). It is clearly demonstrated that the EPDM component serves as the main source of radicals required for crosslinking, while the SEBS skeletons become the structural frames for the new crosslinked branches. The activation energies increase from 50 kJ mol−1 to 59 kJ mol−1 for unirradiated materials, but the increase for the blends exposed to 100 kGy is significantly larger from 41 kJ mol−1 to 54 KJ mol−1. The growth in the blending proportion of SEBS improves the thermal stability of the resulting materials. It is observed that the largest differences in the thermal resistances of γ-irradiated compounds are obtained for the samples exposed at 150 kGy, when the participation of each of the components is taken into account. This study highlights the research on and the productive methods of polymer processing, and the study of the irradiation of blends generates high-performance technical articles by the appropriate selection of technological parameters. Full article
(This article belongs to the Section Food Packaging and Preservation)
Show Figures

Figure 1

11 pages, 990 KB  
Article
Uncertainty Analysis of Plane Strain Fracture Toughness (KIC) Measurements of R350HT Rail Steels According to ASTM E399
by Fazil Husem
Metals 2026, 16(4), 371; https://doi.org/10.3390/met16040371 - 27 Mar 2026
Viewed by 222
Abstract
Fracture toughness is a very important mechanical attribute that affects the strength of rail steel used in high-speed rail systems. This study tests the measurement uncertainty that comes with measuring the plane strain fracture toughness (KIC) of R350HT rail steel. We [...] Read more.
Fracture toughness is a very important mechanical attribute that affects the strength of rail steel used in high-speed rail systems. This study tests the measurement uncertainty that comes with measuring the plane strain fracture toughness (KIC) of R350HT rail steel. We used the Single-Edge Bend (SEB) specimen to do fracture toughness testing. We used the Guide to Expressing Measurement Uncertainty (GUM)-based method to figure out how much uncertainty came from measuring the load, the crack opening displacement (COD), and the specimen’s shape and figuring out the crack length. At a 95% confidence level (k = 2), the combined standard uncertainty was found to be 0.881 MPa·m1/2, which is the same as an expanded uncertainty of 1.761 MPa·m1/2. The measured fracture toughness value of 40.59 ± 1.76 MPa·m1/2 meets the standards for rail steels. The results show how important it is to include measurement uncertainty in conformity assessment methods for safety-critical railway components. They also provide an experimentally proven framework for accurate mechanical property evaluation. Full article
(This article belongs to the Special Issue Fracture Mechanics and Failure Analysis of Metallic Materials)
Show Figures

Figure 1

7 pages, 869 KB  
Proceeding Paper
Standardization of a qPCR Assay for Seb and Stx1 Detection and Its Applications in Biodefense Systems
by Victor Hugo Gonçalves Pinto, Samuel Dias da Silva, Beatriz de Paiva Mendes, Victor Hugo Giordano Dias, Marcos Dornelas Ribeiro, Caleb Guedes Miranda dos Santos, Vanessa dos Santos Silva, Tatiana Lúcia Santos Nogueira and Virginia Sara Grancieri do Amaral
Biol. Life Sci. Forum 2025, 52(1), 2; https://doi.org/10.3390/blsf2025052002 - 17 Mar 2026
Viewed by 244
Abstract
Bacterial toxins, such as Staphylococcal Enterotoxin B (SEB) and Shiga Toxins (STX1, STX2), pose severe public health risks and significant biological threats, demanding rapid and precise qPCR detection. This study reports the initial stages of standardization for uniplex qPCR components, serving as a [...] Read more.
Bacterial toxins, such as Staphylococcal Enterotoxin B (SEB) and Shiga Toxins (STX1, STX2), pose severe public health risks and significant biological threats, demanding rapid and precise qPCR detection. This study reports the initial stages of standardization for uniplex qPCR components, serving as a foundational step toward a future multiplex detection system. The annealing temperature was successfully optimized for the stx1, seb, and 16S rRNA targets, showing high consistency in Cq values and fluorescence intensities at 58.4 °C. The optimized primer ratios ensure maximum amplification efficiency while minimizing potential molecular competition. These optimized assays provide a robust foundation for the multiplex qPCR platform. Once fully validated, this protocol will enhance timely and effective responses, as well as improve preparedness and readiness within the Brazilian biodefense system. Full article
(This article belongs to the Proceedings of The 3rd International Online Conference on Toxins)
Show Figures

Figure 1

17 pages, 4341 KB  
Article
Single-Event Burnout Mitigation in Silicon VDMOS Power Devices: An Electro-Thermal TCAD Study
by Eusebio Rodrigo, José Rebollo, Xavier Jordà, José Camps, Llorenç Latorre and Miquel Vellvehi
Electronics 2026, 15(6), 1201; https://doi.org/10.3390/electronics15061201 - 13 Mar 2026
Viewed by 284
Abstract
Single-Event Burnout (SEB) is one of the most critical failure mechanisms in silicon power MOSFETs operating in radiation environments, particularly under heavy-ion irradiation, and often limits device operation through excessive voltage derating. In this work, SEB robustness of a silicon VDMOS power device [...] Read more.
Single-Event Burnout (SEB) is one of the most critical failure mechanisms in silicon power MOSFETs operating in radiation environments, particularly under heavy-ion irradiation, and often limits device operation through excessive voltage derating. In this work, SEB robustness of a silicon VDMOS power device is investigated using detailed electro-thermal transient simulations. The study evaluates two complementary device-level modifications: the introduction of a buffer layer between the epitaxial layer and the substrate, which has been reported in the past, and a new approach considering the incorporation of a novel highly doped boron BOX implant within the P-body region. Heavy-ion impacts are simulated using a physically based model implemented in SENTAURUS TCAD, accounting for ion energy deposition, impact position, and thermal effects. The results show that the buffer layer increases the second breakdown voltage and can suppress high-current operating points, while the BOX implant raises the parasitic BJT activation threshold by reducing the P-body resistance. When combined, both modifications lead to a significant reduction in the peak temperature reached during after-impact transients, without introducing measurable degradation of static electrical characteristics. These results demonstrate that combining buffer layer engineering with localized P-body resistance reduction is an effective strategy to improve SEB robustness in silicon VDMOS power devices without relying on excessive derating. Full article
Show Figures

Figure 1

13 pages, 3016 KB  
Article
Scalable Self-Sensing Mechanical Metamaterials by Conformal Coating of 3D-Printed Lattices with Nanocomposites
by Dawn K. D. Veditz, Emma R. Merriman, Sofia Z. Anissian and Long Wang
Sensors 2026, 26(5), 1670; https://doi.org/10.3390/s26051670 - 6 Mar 2026
Viewed by 304
Abstract
Metamaterials possess unique and desirable multiphysical behaviors derived from deliberately arranging conventional materials into designed structural topologies. Multifunctional mechanical metamaterials that can both carry load and provide in situ state awareness are increasingly needed for applications such as structural health monitoring and soft [...] Read more.
Metamaterials possess unique and desirable multiphysical behaviors derived from deliberately arranging conventional materials into designed structural topologies. Multifunctional mechanical metamaterials that can both carry load and provide in situ state awareness are increasingly needed for applications such as structural health monitoring and soft robotic systems. To address the demand for multifunctional metamaterials, this study reports a scalable fabrication strategy for self-sensing lattice metamaterials by conformally dip-coating 3D-printed flexible cells with a carbon nanotube (CNT)–styrene–ethylene–butylene–styrene (SEBS) nanocomposite. Scanning electron microscopy shows that the coating conforms closely to the printed struts with well-dispersed CNT networks. The electromechanical behavior of coated Octet, Kelvin, and auxetic unit cells was characterized under quasi-static cyclic uniaxial compression (0–40% strain). All the coated structures exhibited highly stable, reversible, and repeatable piezoresistive response, with a near-linear relationship between resistance change and strain. Among the tested geometries, the auxetic unit cell achieved the highest strain sensitivity that was approximately four times that of the Octet cell and six times that of the Kelvin cell. To evaluate scalability, auxetic lattices containing eight scaled auxetic unit cells were shown to retain high sensitivity and remained statistically similar to the unit cell. This study demonstrates that the strain sensing performance of nanocomposites can be engineered through lattice topology using a simple dip-coating functionalization approach, enabling scalable self-sensing metamaterials for large-scale and conformal sensing applications. Full article
Show Figures

Figure 1

20 pages, 6894 KB  
Article
Insulin and Insulin-like Growth Factor 1 Signaling as a Modulator of MYC Expression in the Meibomian Gland
by Cynthia Verling, Autumn Berlied and Cornelia Peterson
Biomedicines 2026, 14(3), 578; https://doi.org/10.3390/biomedicines14030578 - 4 Mar 2026
Viewed by 439
Abstract
Background/Objectives: Sebaceous carcinomas (SebCAs) of the ocular adnexa, primarily arising from the Meibomian glands, are locally aggressive eyelid tumors with metastatic potential. Upregulation of the oncogene MYC has been demonstrated in SebCA, suggesting a role in tumor initiation and progression. In other [...] Read more.
Background/Objectives: Sebaceous carcinomas (SebCAs) of the ocular adnexa, primarily arising from the Meibomian glands, are locally aggressive eyelid tumors with metastatic potential. Upregulation of the oncogene MYC has been demonstrated in SebCA, suggesting a role in tumor initiation and progression. In other epithelial tumors, the insulin and insulin-like growth factor (IGF) signaling (IIS) pathway has been implicated in stem cell renewal via MYC activation and stabilization. This study aimed to evaluate the effects of pharmacologic and genetic modulation of the IIS pathway on MYC expression in human Meibomian gland epithelial cells (HMGECs) and meibocytes of adult C57B6 mice. Methods: HMGECs were incubated with either IIS activators or inhibitors or were subject to transfection with either an IGF1R plasmid or siRNA before assessments of viability, proliferation, immunostaining, and MYC quantification were performed. Murine eyelids were treated topically with small-molecule IIS modulators prior to tissue harvest for histology, immunolabeling, and qPCR. Results: HMGECs treated with IIS activators demonstrated downregulated IGF1R and upregulated MYC expression, increased viability and proliferation, and reduced autophagy, while treatment with inhibitors yielded the inverse effects. Incubation with the selective insulin receptor agonist, demethylasterriquinone B1, yielded the most phenotypic variability. IGF1R-overexpressing HMGECs exhibited relative upregulation of both Akt and MYC. Murine eyelids treated with an IIS agonist demonstrated a more mesenchymal phenotype and significantly induced MYC expression. Conclusions: Collectively, these results suggest that the IIS pathway may represent a novel approach for regulating high MYC expression in SebCA. Full article
(This article belongs to the Special Issue Molecular Research in Ocular Pathology)
Show Figures

Graphical abstract

23 pages, 8487 KB  
Article
Unveiling the Antibacterial Potential of Melaleuca cajuputi Essential Oils Against MRSA: Integrating In Vitro Efficacy and In Silico Mechanistic Insights
by Noor Zarina Abd Wahab, Kamal Saifullah Kamal Rul Azrul, Nur Ain Najwa Mohd Yuseri, Ahmad Khalis Yahya, Fong Si Wei, Sayed Mohd Saufi Fahmi Sayed Abdul Kadir and Mohd Hanif Abdullah
Bacteria 2026, 5(1), 13; https://doi.org/10.3390/bacteria5010013 - 2 Mar 2026
Viewed by 529
Abstract
The increasing prevalence of antimicrobial resistance, especially in methicillin-resistant Staphylococcus aureus (MRSA), underscores the need for alternative therapies from natural sources. This study investigated the chemical composition, antibacterial activity, and gene expression modulation of Melaleuca cajuputi essential oils. Gas chromatography–mass spectrometry (GC-MS) identified [...] Read more.
The increasing prevalence of antimicrobial resistance, especially in methicillin-resistant Staphylococcus aureus (MRSA), underscores the need for alternative therapies from natural sources. This study investigated the chemical composition, antibacterial activity, and gene expression modulation of Melaleuca cajuputi essential oils. Gas chromatography–mass spectrometry (GC-MS) identified 91 compounds, with naphthalene (23.90%), guaiol (12.92%), caryophyllene oxide (9.69%), D-limonene 98% (8.59%), and gamma terpinene (7.54%) among the most abundant. In Silico molecular docking against MRSA virulence proteins revealed that alloaromadendrene had the strongest binding to toxic shock syndrome toxin-1 (TSST-1) (−7.948 kcal/mol), suggesting high inhibitory potential, while cyclohexane showed weak binding with staphylococcal enterotoxin A (SEA) (−3.532 kcal/mol). Antibacterial assays demonstrated concentration-dependent inhibition, with the zones ranging from 6.33 ± 0.33 mm to 16.67 ± 0.88 mm. MIC and MBC values ranged from 1.56 to 12.5% and 3.13 to 25%, respectively, with most isolates showing bactericidal effects (MBC/MIC ≤ 2). Gene expression analysis of MRSA isolate 4 indicated that sea was moderately upregulated (FC = 1.44), while sec remained unchanged (FC = 1.02). In contrast, fnbA (FC = 0.72), seb (FC = 0.33), and mecA (FC = 0.23) genes were downregulated, and the tsst-1 gene (FC = 0.05) was nearly silent. These findings highlight M. cajuputi essential oils as a promising candidate with both antibacterial efficacy and regulatory effects on MRSA virulence genes. Full article
Show Figures

Figure 1

18 pages, 1999 KB  
Article
Genotypic and Phenotypic Characterisation of Staphylococcus aureus Enterotoxins Using Single-Cell Raman Spectroscopy and Metabolomics
by Xiaohui Song, Ziyi Zhang, Taijie Zhan, Li Liu, Xiaoyue Wei, Yang Liu, Jing Tao, Mengjiao Xie, Gege Liu, Duochun Wang, Yu Vincent Fu, Xiaomei Yan and Qiang Wei
Pathogens 2026, 15(3), 255; https://doi.org/10.3390/pathogens15030255 - 27 Feb 2026
Viewed by 445
Abstract
The discrepancy between the genotypic and phenotypic expression of enterotoxins in S. aureus had long been a significant challenge in toxin detection. However, the accurate and rapid application of Raman spectroscopy for the genotypic and phenotypic characterisation of S. aureus enterotoxins remains problematic. [...] Read more.
The discrepancy between the genotypic and phenotypic expression of enterotoxins in S. aureus had long been a significant challenge in toxin detection. However, the accurate and rapid application of Raman spectroscopy for the genotypic and phenotypic characterisation of S. aureus enterotoxins remains problematic. To address this, the present study utilised a single-cell Raman spectra database from 31 S. aureus isolates, acquired via a Raman laser tweezer system. When combined with convolutional neural network analysis, this approach achieved an average accuracy of 99.71% for identifying single-gene toxin types and 99.44% for multi-gene toxin types, with an average phenotypic identification accuracy of 98.71%. Notably, the phenotypic identification accuracy for the three strains carrying the sea and seb genes reached 100%, and the validation accuracy using unknown genotypes and phenotypes exceeded 85%. Furthermore, the CNN analysis identified characteristic spectral peaks for S. aureus enterotoxin genotypes at 1663–1665 cm−1, 1570 cm−1, and 1117–1119 cm−1, corresponding to protein α-helices, guanine, and nucleic acid backbones respectively. Representative peaks for the phenotype were found at 1302–1314 cm−1 and 912–923 cm−1, corresponding to proteins/lipids and polysaccharides, respectively. Representative peaks for different virulence phenotypes carrying multiple enterotoxin genes were located at 1074–1076 cm−1, 1253–1255 cm−1, 1326 cm−1, and 1327 cm−1, corresponding to proteins, nucleic acids, and lipids, respectively. Furthermore, metabolomic analysis of three S. aureus strains (sea+seb+, sea+seb−, seaseb+) revealed metabolic differences in fatty acids, purines, phenylalanine, and aspartic acid, consistent with the corresponding distinct Raman spectral peaks (1458, 1179, 1406–1409 cm−1). Thus, this study employed S. aureus as a proof-of-concept, establishing for the first time a method combining Raman laser tweezers with convolutional neural networks for identifying S. aureus enterotoxin genotypes and phenotypes. It clarified the Raman spectral differential peaks and their corresponding biomarkers among five classical enterotoxin genotypes and phenotypic strains, providing a novel approach for accurate toxin typing and virulence characterisation. Full article
(This article belongs to the Section Bacterial Pathogens)
Show Figures

Figure 1

20 pages, 994 KB  
Review
Chronic Rhinosinusitis with Nasal Polyps: A “Module-First” Review of Murine Models and Chemical Interventions
by Yunfei Gao, Gengluan Liu, Caiyan An, Hesen Huang, Huaixiang Zhou, Junjing Zhang, Yunping Fan and Ningning Li
Molecules 2026, 31(5), 781; https://doi.org/10.3390/molecules31050781 - 26 Feb 2026
Viewed by 607
Abstract
Chronic rhinosinusitis with nasal polyps (CRSwNP) comprises multiple molecular endotypes that only partly align with the clinical phenotype, which complicates target selection and interpretation of treatment effects. Human omics and biomarker studies define candidate pathways, but causal attribution of specific nodes to lesion [...] Read more.
Chronic rhinosinusitis with nasal polyps (CRSwNP) comprises multiple molecular endotypes that only partly align with the clinical phenotype, which complicates target selection and interpretation of treatment effects. Human omics and biomarker studies define candidate pathways, but causal attribution of specific nodes to lesion formation and remodeling requires perturbable in vivo systems. Here, we present a “module-first” framework that links murine induction paradigms to epithelial–immune–stromal circuits and to a minimal, module-matched endpoint set for reproducible causal inference. We summarize commonly used CRSwNP-like protocols (allergen/protease ± SEB, aeroallergen + SEB, innate trigger-enriched paradigms, and modifier layers), emphasize operational pathology terminology (“polyp-like lesion” versus “true polyp”), and propose a uniform causal template for validated pathway modules (alarmins/IL-33–NF-κB, type 2/ILC2–eosinophil, IL-17A/neutrophil, Wnt/EMT remodeling, and JAK/STAT kinase convergence). Finally, we organize chemical and molecular interventions by leverage point and propose an ARRIVE-aligned Minimum Reporting Set to standardize model anchoring, target engagement, and cross-study comparability. This module-first roadmap is intended to accelerate mechanism-linked discovery and preclinical validation of tractable drug targets in CRSwNP. Importantly, this module-first roadmap is intended as a heuristic organizing principle rather than an exhaustive taxonomy, because pathway modules can overlap and shift dynamically across time and tissue compartments in vivo. Full article
Show Figures

Graphical abstract

23 pages, 3258 KB  
Article
Invisible Footprints: Exploring Microplastic Pollution in the Colombian Caribbean Sea
by René A. Rojas-Luna, Jonathan D. Ayala-Rodríguez, Carlos A. García-Alzate, Roberto García-Alzate, Jorge Trilleras, Jairo Humberto Medina-Calderon, Adriana Santos-Martínez, José Ernesto Mancera Pineda, Cesar A. Sierra and Victoria A. Arana
Water 2026, 18(4), 508; https://doi.org/10.3390/w18040508 - 19 Feb 2026
Viewed by 773
Abstract
Microplastic (MP) pollution poses a significant and emerging threat to global marine ecosystems; however, regional data for the Caribbean remain limited. This study presents a spatial and temporal characterization of MPs in surface and mid-waters of the Colombian Caribbean (Atlántico and Magdalena departments), [...] Read more.
Microplastic (MP) pollution poses a significant and emerging threat to global marine ecosystems; however, regional data for the Caribbean remain limited. This study presents a spatial and temporal characterization of MPs in surface and mid-waters of the Colombian Caribbean (Atlántico and Magdalena departments), which were analyzed as independent compartments due to methodological differences in sampling strategies. Sixteen sampling stations were established across two anthropogenic influence zones: Zone 1 (nearshore/bather zone) and Zone 2 (offshore). MPs were quantified and characterized according to shape, color, size, and polymer composition using attenuated total reflectance Fourier transform infrared microspectroscopy (µATR-FTIR) and multivariate techniques. MPs were detected in 100% of samples. Surface water MP abundance was higher in Magdalena (4.5 MPs m−3) than in Atlántico (1.7 MPs m−3). Mid-water MP concentrations reached maximum values during the high rainfall season in Atlántico, reflecting localized hydrological and anthropogenic influences rather than vertical gradients. Higher concentrations were generally observed in the nearshore Zone 1 compared to offshore Zone 2, although these differences were not consistently statistically significant. Fibers and fragments were the predominant shapes, and synthetic–natural polymer blends, polyethylene terephthalate (PET), polypropylene (PP), and polyacrylic acid (PAA) were the most prevalent. Generalized Additive Models (GAM) indicated that strong fluvial inputs and proximity to urban and riverine sources were factors driving MP distribution. Additionally, the detection of polymers reported in the literature as rare and high-risk, such as acrylonitrile butadiene styrene (ABS), acrylonitrile styrene acrylate (ASA), styrene–ethylene–butylene–styrene (SEBS), and polyvinyl stearate (PVS), highlights the complexity of MP sources in the region. Overall, these results provide the first spatial and temporal characterization of MPs in the surface and mid-water of the Colombian Caribbean and identify critical contamination hotspots that warrant targeted mitigation strategies. Full article
(This article belongs to the Special Issue Microplastics and Microfiber Pollution in Aquatic Environments)
Show Figures

Figure 1

13 pages, 2707 KB  
Article
An Investigation of the Electrical Performance of Polymer-Based Stretchable TFTs Under Mechanical Strain Using the Y-Function Method
by Hyunjong Lee, Hyunbum Kang, Chanho Jeong, Insung Choi, Sohee Kim, Eunki Baek, JongKwon Lee, Dongwook Kim, Jaehoon Park, Gae Hwang Lee and Youngjun Yun
Polymers 2026, 18(3), 419; https://doi.org/10.3390/polym18030419 - 5 Feb 2026
Viewed by 507
Abstract
Stretchable semiconductors capable of maintaining electrical performance under large mechanical deformation are essential for reliable wearable electronic devices. However, polymer semiconductors often suffer from electrical degradation when subjected to tensile strain. In this study, electrical stability under strain was achieved by using a [...] Read more.
Stretchable semiconductors capable of maintaining electrical performance under large mechanical deformation are essential for reliable wearable electronic devices. However, polymer semiconductors often suffer from electrical degradation when subjected to tensile strain. In this study, electrical stability under strain was achieved by using a rubber-blended poly(2,5-bis(2-octyldodecyl)-3,6-di(thiophen-2-yl)diketopyrrolo[3,4-c]pyrrole-1,4-dione-alt-thieno[3,2-b]thiophene) (DPPT-TT) polymer semiconductor based on a conjugated polymer/elastomer phase separation-induced elasticity (CONPHINE) structure. Unlike most previous studies on fully stretchable thin-film transistors (TFTs), which primarily report overall performance changes under mechanical strain, this work systematically identifies the dominant origin of electrical performance degradation through a stepwise electrical analysis encompassing the gate insulating layer, the semiconductor layer, and complete devices. Bottom-gate top-contact (BGTC) and bottom-gate bottom-contact (BGBC) devices were fabricated on rigid Si/SiO2 substrates to examine the intrinsic properties of the DPPT-TT/styrene-ethylene-butylene-styrene (SEBS) CONPHINE film. As a result, the device exhibits 90% mobility retention even at 100% tensile strain applied parallel to the charge transport direction. Quantitative resistance analysis using the Y-function method reveals that variations in channel resistance play a dominant role in strain-induced performance degradation, whereas changes in contact resistance contribute only marginally. These findings demonstrate that stabilizing channel resistance, rather than contact resistance, is important for achieving high mobility retention under large mechanical deformation, thereby providing concrete and quantitative design guidelines for reliable stretchable TFTs. Full article
Show Figures

Figure 1

7 pages, 1027 KB  
Article
Double-Staggered Grating Waveguide Slow Wave Structure for Terahertz Traveling Wave Tube
by Muhammad Haris Jamil, Nazish Saleem Abbas, Hamid Sharif and Wenlong He
Micromachines 2026, 17(2), 195; https://doi.org/10.3390/mi17020195 - 31 Jan 2026
Viewed by 377
Abstract
A double-staggered grating waveguide slow wave structure (DSGW–SWS) is designed for a 340 GHz traveling wave tube (TWT). Input and output couplers were also designed to isolate the electron beam source from the electromagnetic (EM) signal. Transition sections in the SWS circuits were [...] Read more.
A double-staggered grating waveguide slow wave structure (DSGW–SWS) is designed for a 340 GHz traveling wave tube (TWT). Input and output couplers were also designed to isolate the electron beam source from the electromagnetic (EM) signal. Transition sections in the SWS circuits were made by tapering the height of the DSWG to improve the matching of the circuit with the couplers. The reflection coefficient has a wide range from 326 GHz to 364 GHz below −15 dB. Particle-in-cell (PIC) simulation is performed using an ideal particle source for sheet electron beam (SEB), considering the filling factor to be around 50%. The average input power of a 340 GHz signal is said to be 0.19 W, which is amplified to 17.4 W with a gain of 19.55 dB. Full article
(This article belongs to the Special Issue Advances in Vacuum Nanoelectronics)
Show Figures

Figure 1

18 pages, 323 KB  
Article
Perinatal Occurrence and Epidemiological Significance of Staphylococcus aureus in Local Sheep Breeds
by Agata Hahaj-Siembida, Aneta Nowakiewicz, Mariola Bochniarz, Aleksandra Trościańczyk, Marcelina Osińska, Anna Tracz, Andrzej Junkuszew, Karina Savvulidi Vargova and Monika Greguła-Kania
Animals 2026, 16(3), 400; https://doi.org/10.3390/ani16030400 - 27 Jan 2026
Viewed by 532
Abstract
Staphylococcus are common bacteria that can be a component of the natural microbiota of the body of human and animal hosts or cause serious infections. The aim of this study was to analyze the presence of S. aureus in samples from two sheep [...] Read more.
Staphylococcus are common bacteria that can be a component of the natural microbiota of the body of human and animal hosts or cause serious infections. The aim of this study was to analyze the presence of S. aureus in samples from two sheep breeds (Świniarka and Uhruska), assess the antimicrobial susceptibility and virulence profile of these microorganisms, and perform molecular comparative analysis of these bacteria. One hundred and three isolates of S. aureus strains were obtained (including five MRSA strains) and the highest phenotypic resistance to tetracycline (46.6%), clindamycin (45.6%), erythromycin (39.8%), and penicillin (31.1%) was confirmed. The tetL gene (27.2%) and the seB gene (44.7%) were the most frequently detected in strains. Three new sequence types in the MRSA isolates (ST 9313, ST 9314, ST 9315) were identified. In conclusion, our results confirm that sheep are significant reservoirs of S. aureus, especially MRSA strains, varying in terms of both resistance and virulence and with the potential to spread between individuals in the same herd, which may pose a potential health problem. Full article
(This article belongs to the Section Small Ruminants)
Back to TopTop