Abstract
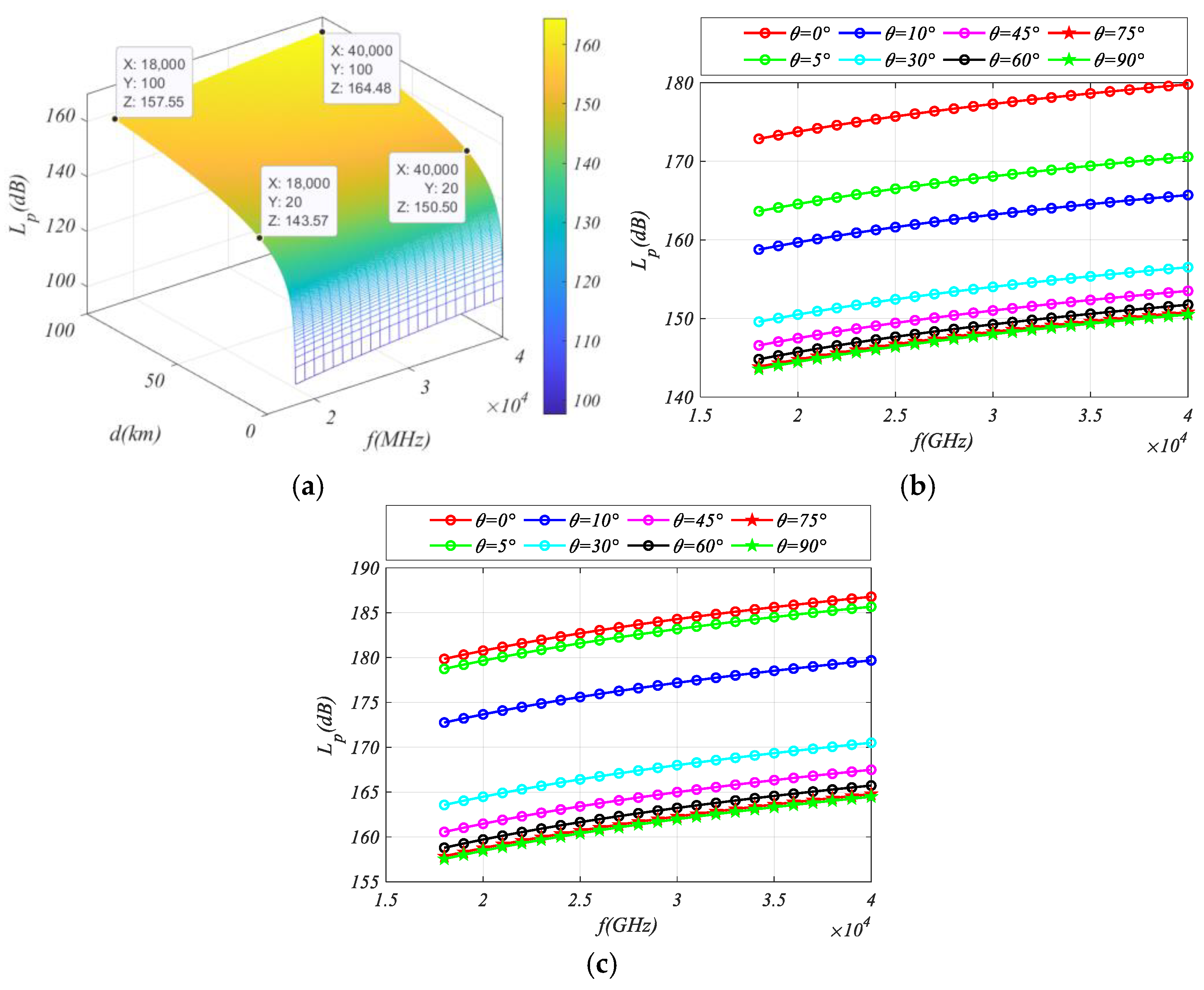
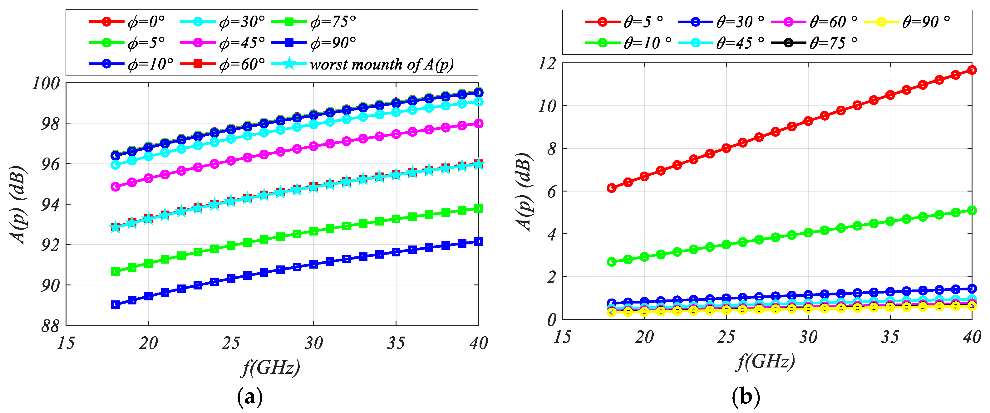
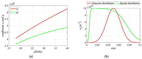
With its unique environment and strategic value, the near space (NS) has become the focus of global scientific and technological, military, and commercial fields. Aiming at the problem of communication interruption when the aircraft re-enters the atmosphere, to ensure the needs of communication, navigation, and telemetry, tracking, and command (TT&C), this paper proposes an overall integration of communication, navigation, and TT&C (ICNT) signals scheme based on the K/Ka frequency band. Firstly, the K/Ka frequency band is selected according to the ITU frequency division, high-speed communication requirements, advantages of space-based over-the-horizon relay, overcoming the blackout problem, and the development trend of high frequencies. Secondly, the influence of the physical characteristics of the NS on ICNT is analyzed through simulation. The results show that when the K/Ka signal is transmitted in the NS, the path loss changes significantly with the elevation angle. The bottom layer loss at an elevation angle of 90° is between 143.5 and 150.5 dB, and the top layer loss is between 157.5 and 164.4 dB; the maximum attenuation of the bottom layer and the top layer at an elevation angle of 0° is close to 180 dB and 187 dB, respectively. In terms of rainfall attenuation, when a 30 GHz signal passes through a 100 km rain area under moderate rain conditions, the horizontal and vertical polarization losses reach 225 dB and 185 dB, respectively, and the rainfall attenuation increases with the increase in frequency. For gas absorption, the loss of water vapor is higher than that of oxygen molecules; when a 30 GHz signal is transmitted for 100 km, the loss of water vapor is 17 dB, while that of oxygen is 2 dB. The loss of clouds and fog is relatively small, less than 1 dB. Increasing the frequency and the antenna elevation angle can reduce the atmospheric scintillation. In addition, factors such as the plasma sheath and multipath also affect the signal propagation. In terms of modulation technology, the constant envelope signal shows an advantage in spectral efficiency; the new integrated signal obtained by integrating communication, navigation, and TT&C signals into a single K/Ka frequency point has excellent characteristics in the simulation of power spectral density (PSD) and autocorrelation function (ACF), verifying the feasibility of the scheme. The proposed ICNT scheme is expected to provide an innovative solution example for the communication, navigation, and TT&C requirements of NS vehicles during the re-entry phase.
1. Introduction
The near space (NS), also known as the sub-orbit, is located in the airspace range from 20 km to 100 km [1]. Generally, the flight altitude of aviation aircraft is below 20 km, while the flight altitude of satellites is usually above 100 km. Therefore, it is difficult for aircraft and satellites to stay in the NS for a long time, and it is in an “awkward” altitude range where “aircraft can’t reach it and satellites can’t come down to it”. Due to its special spatial position, it is of great significance both in scientific research and practical applications. Precisely because of this, the development and utilization of the NS has attracted extensive attention from scientists around the world. Correspondingly, a NS vehicle refers to a sub-orbital vehicle that can only fly or is capable of flying in the NS for a long time and continuously, or a hypersonic cruise vehicle flying in the near space, such as airships, high-altitude floating balloons, high-altitude long-endurance unmanned aerial vehicles (UAV), long-distance remotely controlled gliding vehicles, and space shuttles (including reusable ones), etc. They have great development potential in emergency support, scientific investigation, space exploration, agriculture, and other aspects, and possess advantages that aviation and aerospace vehicles do not have [2,3,4]. With the gradual rise of manned spacecraft, especially commercial aerospace, in the foreseeable future, NS vehicles may play a greater role in human exploration of space and the universe. However, spacecraft all face the problem of communication interruption with ground stations when re-entering the atmosphere. In order to meet the communication, navigation and tracking, telemetry and command (TT&C) requirements of spacecraft during re-entry into the atmosphere, we are compelled to consider an integrated communication, navigation, and TT&C (ICNT) signal that can adapt to the NS, so as to alleviate this problem from the perspective of signal design. To this end, scholars in relevant fields within the industry have successively put forward reference suggestions or solutions.
At the national level, the National Aeronautics and Space Administration (NASA) of the United States (2019, 2020, 2024) has mentioned the development that will cover aspects such as broadband Ka band, optical radio frequency (RF) hybrid antennas, and user-initiated services (UIS) [5,6,7]. It hopes to leverage the commercial satellite communication services in low Earth orbit (LEO) to expand and potentially replace the tracking and data relay satellite service (TDRSS), and plans to gradually discontinue the use of TDRSS. The State Council Information Office (SCIO) of the People’s Republic of China released a white paper titled “Full text: China’s Space Program: A 2021 Perspective”. In addition to introducing the main achievements of China’s space industry development since 2016, it also mentioned that in the next five years, China will continue to improve its space infrastructure, promote the integrated development of satellite technologies such as remote sensing, communication, and navigation and positioning, advocate good and efficient governance of outer space, expand the cause of human progress, and make positive contributions to world peace and development [8]. The European Union and its member states attach great importance to the strategic value of NS. They have issued plans such as the “Horizon” program and the European space program, providing financial and policy support for the research of high-speed aircraft, NS platforms, etc., so as to help the sustainable development of Europe’s space capabilities and related infrastructure by promoting technological innovation in the industrial and scientific communities [9,10]. As a pioneer in space projects and programs for exploring space beyond the Earth, Russia plays a crucial role in the development of satellite technology and the conduct of international cooperation. Russia remains committed to maintaining a position in the field of human spaceflight and sustaining its key programs [11]. The Indian space program has two objectives: to conduct space discovery and exploration through space missions, and to promote research and education related to space science within the country, with a focus on the fields of remote sensing, astronomy and astrophysics, atmospheric science, and space science in a broad sense [12]. The Japan Aerospace Exploration Agency (JAXA) is an important participant in international space activities. Although Japan lagged far behind the United States, the Soviet Union, and France in launching its first artificial satellite and sending its first astronaut into space, in recent years, through the “Hayabusa” and “Hayabusa2” spacecraft, Japan has become a world leader in the field of asteroid exploration. Its subsequent focus of space exploration is the Martian moon exploration mission (MMX) [13]. The above-mentioned space research plans of various countries will provide a historical opportunity for the development of ICNT and promote the development of communication, navigation, TT&C technologies, and related services.
In both the academic and industrial communities, E. Baghdadyet et al. (1965) discussed the basic considerations for the signal design of the NS communication and tracking system. They considered that meeting the requirements of precise tracking is a prerequisite for realizing an integrated space system, through the application of the characterization and design of precise tracking signals, and illustrated the design constraints of the signals [14], providing reference principles for the subsequent ICNT of NS. Yang (2006) adopted the strategy of applying the K-band to measurement and navigation and proposed a precise navigation and velocity measurement method for GRACE formation-flying satellites that integrates on-board K-band range measurement data, velocimeter data, and international GPS service (IGS) precise ephemeris data to simultaneously estimate the positions and velocities of the formation-flying satellites [15]. Dou et al. (2007), based on the research on regional satellite navigation systems and NS applications, pointed out that the NS is the space-based application field of satellite navigation systems, and satellite navigation systems are the spatiotemporal information foundation for NS applications, and put forward the ideas for NS applications and related key technologies [16]. Due to the difference in flight altitude between the NS platform and the navigation satellite, the NS pseudolite signals have a very serious near-far effect (NFE), and measures must be taken to solve it. To this end, Yang et al. (2009) designed the NS pseudolite signals by using the mature pulse emission method and proposed a design method for the pseudolite signals in the NS regional navigation augmentation system to avoid the occurrence of the NFE [17]. K. P. McCarthy et al. (2010), according to NASA’s Ka-band architecture solution for enhancing its space communication capabilities, described the driving factors and concepts of this solution, and analyzed the corresponding constraints and the requirements for future scalability [18]. Li et al. (2013), aiming at the navigation requirements, proposed a navigation signal design scheme. When the transmission power is 20 dBW and the beam half-angle is 60°, the signal reception power can reach −167.3 dBW. This research provides a reference for the navigation signal design of NS vehicles [19]. Yang et al. (2014) proposed a regional navigation and positioning system based on NS vehicles, expounded the characteristics of NS vehicles, and based on this basis, established the architecture of the regional navigation system based on NS vehicles, but did not mention how to solve the communication and TT&C problems faced by the NS [20]. In view of the fact that when the vehicle cruises at hypersonic speed in the NS, a plasma sheath is generated, which seriously affects the transmission performance of communication signals. Christ P. Tzelepis (2016) recommended methodologies and enabling technologies based on NASA’s fundamental architectural concept for its future space communications and navigation (SCaN) framework and space relay capability requirements for 2025–2040, which could provide design references for current and future ICNT architectures [21]. Ling et al. (2016) used the finite-difference time-domain (FDTD) method to analyze the transmission characteristics of the terahertz band in a non-uniform plasma sheath, then studied the influence of the steepness of the electron density distribution and the changes in the peak point on its transmission performance [22], providing theoretical support for the signal transmission of ICNT in the NS. T. J. Martin-Mur (2017) proposed using an optical communication system for deep space navigation and was committed to making the system meet the navigation requirements of the mission, so that it could serve only as a backup for emergency communication and navigation. This provides a reference example for the multi-source fusion mode of ICNT [23]. B. Wu et al. (2017) explored the integrated design architecture of TT&C and communication from the aspect of network coverage. They designed a three-layer architecture of the space–air–ground integrated TT&C and communication network with comprehensive coverage and flexible networking. However, the navigation service was not taken into consideration. Nevertheless, it can still provide a reference for the information transmission of ICNT [24]. Wang et al. (2019), from the perspective between the navigation payload and the signal design, analyzed the degradation effect of the constant envelope signal in the nonlinear power amplifier. This research provides a theoretical basis for the compatibility design of NS navigation signals in hardware implementation [25]. Jon Hamkins (2020) pointed out that to achieve the goal of increasing future space applications by an order of magnitude, higher RF bands and optical communication technologies are required to avoid spectrum congestion, and better channel coding and modulation methods are needed to make full use of the limited power and spectrum resources. This is in line with the connotation of the signal design technology of ICNT [26]. Modenini et al. (2023) introduced a tutorial on the TT&C for spacecraft and satellite missions. They also provided supplementary information about emerging TT&C technologies and the standardized framework, which offers fundamental research support for the signal design of future ICNT [27]. Liu et al. (2024) explored the role of NS communication in the space–air–ground–sea integrated network (SAGSIN), pointed out that the NS platform can provide low-latency and wide-coverage signal relay services for navigation and communication, and also proposed the design direction of navigation and communication signals based on the reconfigurable multiple-input multiple-output (MIMO) technology [28], but this design did not incorporate TT&C services. Xu et al. (2023, 2025) proposed a modulation method based on two-dimensional orthogonal time-frequency space (OTFS) and non-coherent orthogonal time-frequency space modulation. This type of modulation is expected to solve the multipath problem of NS by transforming the fading problem encountered in the time-frequency domain into time-invariant fading in the delay-Doppler (DD) domain [29,30].
Although the above studies have proposed numerous alternative reference schemes, at present, there is no complete design architecture and corresponding solution for the ICNT signals in the NS within the K/Ka frequency bands and even higher frequency bands. Based on the background of the integrated service requirements for ICNT in the NS, and taking into account the particularity of the NS atmospheric environment, it is necessary to analyze the physical characteristics of the NS atmosphere, and based on these to propose a service signal that simultaneously meets the requirements of communication, navigation, and TT&C services, as well as the modulation scheme it carries. This is aimed at improving service efficiency, simplifying the design complexity of the receiver, enhancing the spectrum utilization of the signal, cutting costs, and addressing the current communication, navigation, and TT&C task requirements for hypersonic vehicles entering the atmosphere. The structure of this paper is arranged as follows. In Section 2, the basic considerations for the integrated frequency selection of communication, navigation, and TT&C in the NS will be introduced. Section 3 will focus on analyzing the characteristics of the NS atmospheric environment and conduct a simulation analysis of the influencing factors that affect the integration of NS communication, navigation, and TT&C. On the basis of Section 3, in Section 4, in response to the requirements of the integrated channels for ICNT in the NS and providing the simulation analysis of the spectral utilization rate of typical signals and the performance of typical integrated signals, then we present our general considerations and reference solutions for the integrated modulation technology. The last section presents our research conclusions and points out the future research directions.
5. Conclusions and Future Works
5.1. Conclusions
This paper analyzes the communication, navigation, and TT&C service challenges faced by NS vehicles when entering the atmosphere. Based on the analysis of the current ICNT service requirements of NS, through the analysis of the frequency spectrum division by the ITU, high-speed communication in the NS, over-the-horizon relay in the NS, plasma and black barrier problems, as well as the maturity of the development of existing equipment, it is concluded that the K/Ka frequency band is currently a more suitable frequency band for the ICNT service requirements of NS. Based on the K/Ka frequency band, we have analyzed the impacts of key physical characteristics such as transmission loss, rain attenuation, and atmospheric loss in the NS on the signal transmission in the K/Ka frequency band. We explored the advantages of constant envelope signals in terms of spectral utilization rate, and proposed an overall design scheme for the ICNT based on the K/Ka frequency bands. The potential value of the scheme was verified through typical basic integrated signals. Finally, we drew the following research conclusions:
- (1)
- The K/Ka frequency bands have huge potential advantages compared with the traditional L/S/C frequency bands. The K/Ka frequency bands are suitable for the ICNT in the NS.
- (2)
- The loss of K/Ka frequency band signals increases with the increase in frequency, and the path loss becomes greater as the elevation angle decreases.
- (3)
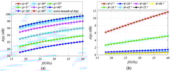
- The magnitude of rainfall loss depends on the signal frequency and the elevation angle of the beam. The larger the elevation angle, the smaller the rainfall attenuation. Conversely, the smaller the elevation angle, the greater the rainfall attenuation.
- (4)
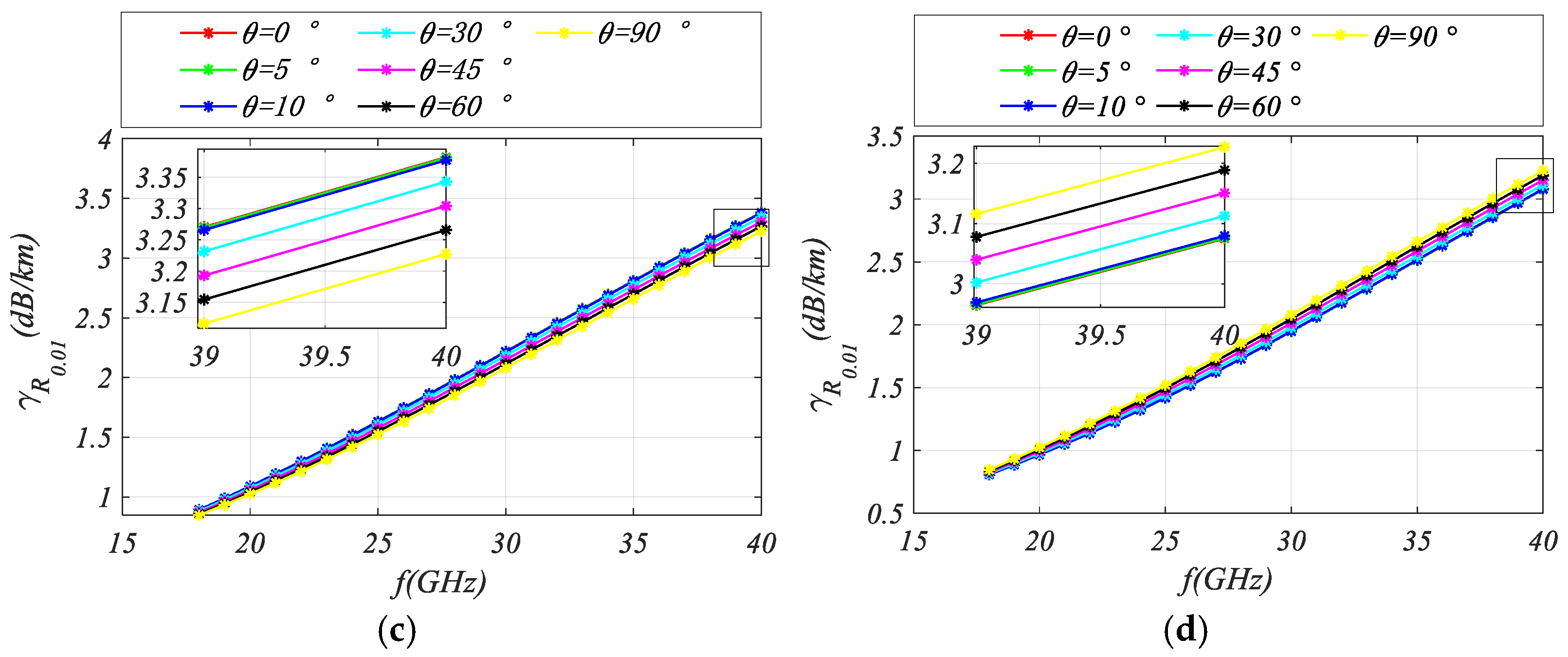
- For K/Ka frequency band signals, the 1 min rainfall rate and rainfall attenuation are closely related to the frequency. The rainfall attenuation increases with the increase in frequency, and a higher rainfall rate usually leads to greater rainfall attenuation.
- (5)
- In the atmospheric loss of the near space,
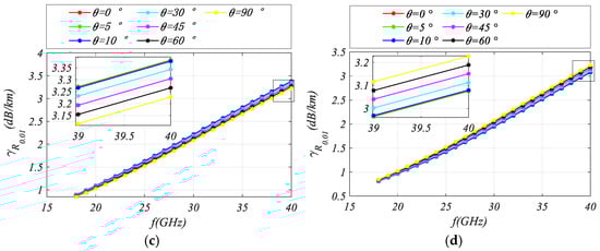
- For the K/Ka band signals, except for a relatively large absorption at 22.3 GHz due to the loss of oxygen molecules, the attenuation coefficients of both water vapor and oxygen molecules show a gradually increasing trend.
- With the increase in frequency, the cloud and fog loss of K/Ka band signals is gradually increasing, and with the decrease in the antenna elevation angle, the loss is also gradually increasing.
- The atmospheric attenuation of the K/Ka band gradually decreases with the increase in the antenna elevation angle. The lower the elevation angle, the stronger the atmospheric scintillation.
- Factors such as the plasma sheath, multipath, Doppler effect, and noise will also have a certain degree of impact on the propagation of the signal.
- Adopting constant envelope modulation can improve the frequency band utilization rate of the system to a certain extent. And the design scheme of integrating communication signals, navigation signals, and TT&C signals into the frequency points of a single K/Ka signal can enhance the overall performance of the system.
5.2. Future Work
Based on the conclusions of this study, the field of NS ICNT in the future is expected to achieve breakthroughs and development in the following key directions:
- (1)
- In-depth research and extended application of frequency bands. Although the advantages of the K/Ka frequency bands in the current ICNT in the NS have been clarified, in the future, it is still necessary to conduct in-depth research on their long-term stability and reliability in complex environments. For example, during the peak period of solar activity, the impact mechanism of ionospheric disturbances on K/Ka frequency band signals is not yet fully clear, and further exploration and the formulation of countermeasures are required. In addition, with the progress of technology, the possibility of using the K/Ka frequency bands in coordination with other emerging frequency bands such as the terahertz frequency band can be explored to expand the communication bandwidth and application scenarios in NS and meet the growing demand for high-speed and large-capacity data transmission.
- (2)
- Innovation in signal loss mitigation technologies. Given the characteristics of the signal loss of the K/Ka frequency bands that change with factors such as frequency and elevation angle, efforts should be made in the follow-up to develop targeted anti-loss technologies. On the one hand, at the hardware level, by optimizing the antenna design, improving the antenna gain and pointing accuracy, the path loss and the influence of atmospheric scintillation can be reduced. On the other hand, in terms of signal processing algorithms, develop adaptive coding and modulation technologies, and dynamically adjust the coding and modulation methods according to the real-time signal loss situation to ensure the reliable transmission of signals.
- (3)
- Enhancement of adaptability to extreme environments. Rainfall attenuation has a significant impact on K/Ka frequency band signals. In the future, it is necessary to strengthen the research on signal transmission in extreme rainfall environments. By establishing a more accurate rainfall attenuation model and combining meteorological forecast data, early warning and compensation for rainfall attenuation can be achieved. At the same time, study comprehensive technical solutions to ensure stable signal transmission in extreme environments where complex interference factors such as the plasma sheath, multipath, Doppler effect, and noise coexist. For example, develop new signal processing algorithms to resist multipath interference and synchronization technologies that can effectively suppress the influence of Doppler frequency shift.
In addition, the solution of the NS modulation signal based on hybrid modulation is a viable design solution for near-space ICNT, which is expected to meet the existing communication, navigation, and telemetry mission requirements for hypersonic vehicles entering the atmosphere. However, carrying out specific integrated signal design based on the K/Ka frequency band and the integrated signal design around higher frequency band signals such as the Q/V frequency band will also be key research directions in the future.
Author Contributions
Conceptualization, L.Y.; methodology, L.Y.; software, S.C.; validation, S.C. and L.Y.; formal analysis, L.Y., S.C. and Z.G.; investigation, Z.G., D.P., B.C., X.W., K.S. and Y.Y.; resources, S.C.; data curation, L.Y.; writing—original draft preparation, L.Y.; writing—review and editing, L.Y.; visualization, L.Y.; project administration, S.C.; funding acquisition, L.Y. All authors have read and agreed to the published version of the manuscript.
Funding
This research was funded by the China Project Management Center (Grant Nos. 80903010202, Funder. S.C.), Science and Technology on Electromechanical Dynamic Control Laboratory fund (Grant Nos. 9140A17060115BQ42242, 6142601190210, Funder. S.C.).
Institutional Review Board Statement
Not applicable.
Informed Consent Statement
Not applicable.
Data Availability Statement
Data is contained within the article.
Conflicts of Interest
The authors declare no conflicts of interest.
References
- Pielke, R.A. Atmosphere; Encyclopedia Britannica: Chicago, IL, USA, 2025; Available online: https://www.britannica.com/science/atmosphere (accessed on 27 February 2025).
- Hu, Y.; Guo, J.; Meng, W.; Liu, G.; Xue, W. Longitudinal Control for Balloon-Borne Launched Solar Powered UAVs in Near-Space. J. Syst. Sci. Complex. 2022, 35, 802–819. [Google Scholar] [CrossRef]
- Du, S. Key Basic Scientific Problems on Near-Space Vehicles; Springer: Singapore, 2023; ISBN 978-981-19-8907-0. [Google Scholar]
- Wang, W.Q.; Jiang, D. Navigation and Remote Sensing Using Near-Space Satellite Platforms; Wiley: Hoboken, NJ, USA, 2017; ISBN 9781119126485. [Google Scholar]
- James, N. Space Communications and Navigation: Planning Activities for NASAs Future SATCOM Direction; NASA Technical Reports Server: Hampton, VA, USA, 2020. Available online: https://ntrs.nasa.gov/api/citations/20200001533/downloads/20200001533.pdf (accessed on 24 April 2025).
- Elizabeth Hook-Rogers. SCAN Space Communications and Navigation: Science & Exploration, Enabled. Together; National Aeronautics and Space Administration: Washington, DC, USA, 2024. Available online: https://explorers.larc.nasa.gov/2023ESE/pdf_files/5_SCaN%20Overview_Hook-Rogers.pdf (accessed on 24 April 2025).
- Liebrecht, P.; Cornwell, D.; Israel, D.; Heckler, G. The Decade of Light: Innovations in Space Communications and Navigation Technologies. J. Space Oper. Commun. 2019, 16. Available online: https://docslib.org/doc/1189132/the-decade-of-light-innovations-in-space-communications-and-navigation-technologies (accessed on 11 May 2025).
- The State Council Information Office of the People’s Republic of China. Full Text: China’s Space Program: A 2021 Perspective. Available online: http://english.scio.gov.cn/whitepapers/2022-01/28/content_78016877.htm (accessed on 24 April 2025).
- ESA. About Horizon 2020 Satellite Navigation Programme (HSNAV). 2020. Available online: https://h2020nav.esa.int/page/about-h2020 (accessed on 24 April 2025).
- EU. EU Space Programme (2021–2027)—European Union Agency for the Space Programme. 2023. Available online: https://eur-lex.europa.eu/legal-content/EN/TXT/?uri=LEGISSUM:4526706 (accessed on 24 April 2025).
- Alyssa, L. Challenges and Priorities: Russia’s Space Program After 2024 Report. 22 July 2024. Available online: https://spaceinsider.tech/2024/07/22/challenges-and-priorities-russias-space-program-after-2024-report/ (accessed on 24 April 2025).
- Remya, P.R. Indian Space Program: Phases and Achievements. 17 January 2025. Available online: https://www.clearias.com/indian-space-program/ (accessed on 24 April 2025).
- Japan Aerospace Exploration Agency. Japan’s Space Program. 26 July 2019. Available online: https://www.nippon.com/en/japan-data/h00501/japan%E2%80%99s-space-program.html (accessed on 24 April 2025).
- Baghdady, E.; Kruse, K. Signal Design for Space Communication and Tracking Systems. IEEE Trans. Commun. Technol. 1965, 13, 484–498. [Google Scholar] [CrossRef]
- Yang, L.; Dong, X.; Xu, D. Precise navigation for GRACE formation flying. In Proceedings of the 2006 1st International Symposium on Systems and Control in Aerospace and Astronautics, Harbin, China, 19–21 January 2006; pp. 6–797. [Google Scholar]
- Dou, C.; Zhang, J. The Assumption of Regional Satellite Navigation System Near Space Applications. Radio Eng. 2007, 37, 31–32+36. [Google Scholar]
- Yang, L.; Zhou, J.; Hu, Y. Signal Design and Verification of the Near Space Regional Navigation Augmentation System. Telem. Track. Command. 2009, 30, 32–39. [Google Scholar]
- McCarthy, K.; Stocklin, F.; Geldzahler, B.; Friedman, D.E.; Celeste, P.B. NASA’s Evolution to Ka-Band Space Communications for Near-Earth Spacecraft. In Proceedings of the SpaceOps 2010 Conference, Huntsville, AL, USA, 25–30 April 2010; pp. 1–13. [Google Scholar]
- Li, P.; Chen, Z.; Gu, Y.; Si, Y. Spacecrafts Navigation Signal Research Based on GNSS Constellation. In Proceedings of the China Satellite Navigation Conference (CSNC) 2013 Proceedings. Lecture Notes in Electrical Engineering, Wuhan, China, 15–17 May 2013; pp. 35–48. [Google Scholar]
- Yang, J. Analysis of Key Technologies of the Regional Navigation System Based on Near Space Vehicles. Telecommun. Eng. 2014, 54, 385–391. [Google Scholar]
- Tzelepis, C.; Carreno, A. Concepts for NASA’s Communication and Navigation Architecture in Near Earth and Deep Space Domains; Strategies for Affordable and Scalable implementation of Next Generation Relay Systems with Improved Mission Experience and Reduced Burden. In Proceedings of the International Communications Satellite Systems Conferences (ICSSC), American Institute of Aeronautics and Astronautics (AIAA), ICSSE 22nd Ka and Broadband Communications Conference, AIAA 34th International Communications Satellite Systems Conference, Cleveland, OH, USA, 18–20 October 2016. [Google Scholar]
- Ling, Y.; Chen, C.; Jiang, J. Research on Propagation Properties of Near Space Vehicle Communication Signals. Comput. Simul. 2016, 33, 127–131+137. [Google Scholar]
- Martin-Mur, T.J.; Zhai, C.; Jacobs, C.; Turyshev, S.G.; Shao, M.; Peng, M. Using optical communications links for deep-space navigation. In Proceedings of the 2017 IEEE International Conference on Space Optical Systems and Applications (ICSOS), Naha, Japan, 14–16 November 2017; pp. 176–182. [Google Scholar] [CrossRef]
- Wu, B.; Xu, Z. Research on integrated space-air-ground TT&C and communication network based on space tracking ship. In Proceedings of the 2017 16th International Conference on Optical Communications and Networks (ICOCN), Wuzhen, China, 7–10 August 2017; pp. 1–3. [Google Scholar] [CrossRef]
- Wang, Y.; Yan, T.; Wang, G.; Bian, L.; Meng, Y. Analysis of Interaction Between Navigation Payload and Constant Envelope Design of Navigation Signal. In Proceedings of the China Satellite Navigation Conference (CSNC) 2019 Proceedings, Beijing, China, 22–25 May 2019; pp. 421–431. [Google Scholar]
- Hamkins, J.; Antsos, D.; Border, J.; Davis, G.; Deutsch, L.; Lazio, J.; Velazco, J. Communications and Navigation Technologies. In A White Paper in Response to the Planetary Science and Astrobiology Decadal Survey 2023–2032; The American Astronomical Society: Washington, DC, USA, 2020. [Google Scholar]
- Modenini, A.; Ripani, B. A Tutorial on the Tracking, Telemetry, and Command (TT&C) for Space Missions. IEEE Commun. Surv. Tutor. 2023, 25, 1510–1542. [Google Scholar]
- Liu, H.; Qin, T.; Gao, Z.; Mao, T.; Ying, K.; Wan, Z.; Qiao, L.; Na, R.; Li, Z.; Hu, Y. Near-Space Communications: The Last Piece of 6G Space-Air-Ground-Sea Integrated Network Puzzle. Space Sci. Technol. 2024, 4, 283. [Google Scholar] [CrossRef]
- Xu, C.; Xiang, L.; An, J.; Dong, C.; Sugiura, S.; Maunder, R.G.; Yang, L.L.; Haozo, L. OTFS-Aided RIS-Assisted SAGIN Systems Outperform Their OFDM Counterparts in Doubly Selective High-Doppler Scenarios. IEEE Internet Things J. 2023, 10, 682–703. [Google Scholar] [CrossRef]
- Xu, C.; Xiang, L.; Sugiura, S.; Maunder, R.G.; Yang, L.L.; Niyato, D.; Li, G.Y.; Schober, R.; Hanzo, L. Noncoherent Orthogonal Time Frequency Space Modulation. IEEE Trans. Wirel. Commun. 2024, 23, 10072–10090. [Google Scholar] [CrossRef]
- Schmitz-Peiffer, A.; Stopfkuchen, L.; Floch, J.; Felnach, D. Architecture for a Future C-band/L-band GnSS mission Part 1: C-band Services, Space-and Ground Segment, Overall Performance. Inside GNSS 2009, 47–56. Available online: https://docslib.org/doc/7004963/architecture-for-a-future-c-band-l-band-gnss-mission-part-2-signal-considerations-and-related-user-terminal-aspects (accessed on 11 May 2025).
- Schmitz-Peiffer, A.; Stopfkuchen, L.; Floch, J.; Felnach, D. Architecture for a Future C-Band/L-band GNSS Mission Part 2: Signal Considerations and Related User Terminal Aspects. Inside GNSS 2009, 52–63. Available online: https://insidegnss.com/architecture-for-a-future-c-band-l-band-gnss-mission-part-2/ (accessed on 11 May 2025).
- Pech, P.; Huang, P.; Bousquet, M.; Robert, M.; Duverdier, A. Simulation of an adaptive strategy designed for low bit rate emergency satellite communications links in Ku/Ka/Q/V bands. In Proceedings of the 2009 International Workshop on Satellite and Space Communications, Siena, Italy, 9–11 September 2009; pp. 337–340. [Google Scholar]
- Biscarini, M.; Montopoli, M.; Marzano, F.S. Evaluation of High-Frequency Channels for Deep-Space Data Transmission Using Radiometeorological Model Forecast. IEEE Trans. Antennas Propag. 2017, 65, 1311–1320. [Google Scholar] [CrossRef]
- Arslan, C.H. Detection and Estimation of Rainfall Through Data Analysis of Geostationary Ku-Band Satellite Signals. Ph.D. Thesis, The Pennsylvania State University, University Park, PA, USA, 2017. [Google Scholar]
- Lawal, Y.B.; Owolawi, P.A.; Tu, C.; Van Wyk, E.; Ojo, J.S. Analysis of Cross-Polarization Discrimination Due to Rain for Earth–Space Satellite Links Operating at Millimetre-Wave Frequencies in Pretoria, South Africa. Atmosphere 2025, 16, 256. [Google Scholar] [CrossRef]
- ITU. ITU-R S.1001-2: Use of Systems in the Fixed-Satellite Service in the Event of Natural Disasters and Similar Emergencies for Warning and Relief Operations. 2010. Available online: https://www.itu.int/rec/R-REC-S.1001-2-201001-I/en (accessed on 24 April 2025).
- ITU. ITU-R M.IMT-2020: M.2150: Detailed Specifications of the Terrestrial Radio Interfaces of International Mobile Telecommunications-2020 (Imt-2020). 2023. Available online: https://www.itu.int/rec/R-REC-M.2150/en (accessed on 24 April 2025).
- ITU. ITU-R P.619: Propagation Data Required for the Evaluation of Interference Between Stations in Space and Those on the Surface of the Earth. 2021. Available online: https://www.itu.int/rec/R-REC-P.619/en (accessed on 24 April 2025).
- ITU. ITU-R P.452: Prediction Procedure for the Evaluation of Interference Between Stations on the Surface of the Earth At Frequencies Above About 100 Mhz. 2023. Available online: https://www.itu.int/rec/R-REC-P.452/en (accessed on 24 April 2025).
- ITU. ITU-R P.531: Ionospheric Propagation Data and Prediction Methods Required for the Design of Satellite Networks and Systems. 2023. Available online: https://www.itu.int/rec/R-REC-P.531/en (accessed on 24 April 2025).
- ITU. Radio Regulations, 2020th ed.; The International Telecommunication Union: Geneva, Switzerland, 2020; Available online: https://www.itu.int/en/publications/ITU-R/Pages/publications.aspx?parent=R-REG-RR-2020&media=electronic (accessed on 24 April 2025).
- ITU. The Final Acts of WRC-23. 2023. Available online: https://www.itu.int/hub/publication/r-act-wrc-16-2024/ (accessed on 24 April 2025).
- ITU. Radio Regulations, 2024th ed., The International Telecommunication Union: Geneva, Switzerland, 2024. Available online: https://www.itu.int/hub/publication/r-reg-rr-2024/ (accessed on 24 April 2025).
- Allison, A.L. The ITU and Managing Satellite Orbital and Spectrum Resources in the 21st Century; Springer International Publishing: Berlin/Heidelberg, Germany, 2014; ISBN 978-3-319-05314-1. [Google Scholar]
- Lu, F.; Jiang, Y.; Wang, R.; Wang, H.; Zhao, P.; Wei, H.; Ma, B.; Ma, C. System demonstrations of Ka-band 5-Gbps data transmission for satellite applications. Int. J. Satell. Commun. Netw. 2022, 40, 204–217. [Google Scholar] [CrossRef]
- Xiao, Z.; Mao, T.; Han, Z.; Xia, X. Near Space Communications: A New Regime in Space-Air-Ground Integrated Networks. IEEE Wirel. Commun. 2022, 29, 38–45. [Google Scholar] [CrossRef]
- Kobayashi, M.M.; Stocklin, F.; Pugh, M.; Kuperman, I.; Bell, D.; El-Nimri, S.; Johnson, B.; Huynh, N.; Kelly, S.; Nessel, J.; et al. NASA’s high-rate Ka-band downlink system for the NISAR mission. Acta Astronaut. 2019, 159, 358–361. [Google Scholar] [CrossRef]
- ITU. Itu-R Sf.1601-2: Methodologies for Interference Evaluation from the Downlink of the Fixed Service Using High Altitude Platform Stations to the Uplink of the Fixed-Satellite Service Using the Geostationary Satellites Within the Band 27.5–28.35 Ghz. 2007. Available online: https://www.itu.int/rec/R-REC-SF.1601-2-200702-I/en (accessed on 27 February 2025).
- Zhao, W.H.; Zhao, J.; Zhao, S.H.; Li, Y.J.; Li, X. Resources scheduling for data relay satellite with microwave and optical hybrid links based on improved niche genetic algorithm. Optik 2014, 125, 3370–3375. [Google Scholar] [CrossRef]
- Zhang, J.F.; Cheng, Y.J. K-/Ka-Band Planar Shared-Aperture Beam-Scanning Array Antenna for Simultaneous Transmitting and Receiving Low Earth Orbit Satellite Communication Terminal. IEEE Trans. Antennas Propag. 2023, 71, 6617–6627. [Google Scholar] [CrossRef]
- LaBelle, R.; Rochblatt, D. Ka-band high-rate telemetry system upgrade for the NASA deep space network. Acta Astronaut. 2012, 70, 58–68. [Google Scholar] [CrossRef]
- Chelmins, D.T.; Reinhart, R.C.; Mortensen, D.; Welch, B.; Downey, J.; Evans, M. Studying NASA’s Transition to Ka-Band Communications for Low Earth Orbit. Eng. Comput. Sci. 2014, 1–7. Available online: https://ntrs.nasa.gov/api/citations/20140016968/downloads/20140016968.pdf (accessed on 11 May 2025).
- Chen, N.; Peng, D.; Ma, L.; Hu, T.; Liu, H.; Li, H. Horizontal Detection Range Estimation of Deep-Sea Acoustic Shadow Area Based on Vertical Phased Emission Array. J. Mar. Sci. Eng. 2025, 13, 9. [Google Scholar] [CrossRef]
- Yuan, W. The Design of High Speed Near Space Vehicle TT&C Link and Simulation Platform Implementation. Master’s Thesis, Xidian University, Xi’an, China, 2012. [Google Scholar]
- Guo, L.; Guo, L.; Li, J. Influence of a Hypersonic Ablative Plasma Wake-Field on the Performance of a Vivaldi Antenna. IEEE Trans. Plasma Sci. 2024, 52, 1474–1480. [Google Scholar] [CrossRef]
- Ning, R.; Bin, X.; Xiao-Fei, L. Development Status and Difficulties of the Technology of Blackout Suppression. Missiles Space Veh. 2018, 1, 122–126. [Google Scholar] [CrossRef]
- Chai, M.; Gu, N.; Han, Z.; Tian, W. Overview of global Ka-band in-orbit satellite usage. In Proceedings of the 12th Annual Conference on Satellite Communication, Beijing, China, 3 March 2016; pp. 103–108. [Google Scholar]
- Angert, M.P.; Bubnash, B.M.; Cerabona, M.A.; Dauberman, M.G.; Monaghan, C.; Heistand, C.C.; Wilkes, J.C. Frontier Radio-Multi-Lingual-A Next Generation Space Software Defined Radio. In Proceedings of the 2023 IEEE Aerospace Conference, Big Sky, MT, USA, 4–11 March 2023; pp. 1–12. [Google Scholar]
- Koosha, B.; Singh, R.; Sanders, C.; Spicer, J.; Ratana, T.; Conrad, R. SpaceLink-ISS Connectivity End-to-End Demonstration (SLICED). In Proceedings of the 2023 IEEE Aerospace Conference, Big Sky, MT, USA, 4–11 March 2023; pp. 1–10. [Google Scholar]
- Harmon, K.; Arnold, B.; Levesque, M.; Johnston, M.; Lichten, S.; Lock, P.; Berry, D.; Asmar, S.; Pham, T. Pre-launch lessons learned from NASA’S deep space network support for the artemis I mission to the moon. Acta Astronaut. 2023, 210, 589–595. [Google Scholar] [CrossRef]
- Zoccarato, P.; Larese, S.; Naletto, G.; Zampieri, L.; Brotto, F. Deep Space Navigation by Optical Pulsars. J. Guid. Control Dyn. 2023, 46, 1501–1512. [Google Scholar] [CrossRef]
- Al Homssi, B.; Chan, C.C.; Wang, K.; Rowe, W.; Allen, B.; Moores, B.; Csurgai-Horváth, L.; Fontán, F.P.; Kandeepan, S.; Al-Hourani, A. Deep Learning Forecasting and Statistical Modeling for Q/V-Band LEO Satellite Channels. IEEE Trans. Mach. Learn. Commun. Netw. 2023, 1, 78–89. [Google Scholar] [CrossRef]
- Cuervo, F.; Martellucci, A.; Rivera Castro, J.; Schmidt, M.; Schönhuber, M. The Alphasat Aldo Paraboni scientific and communication experiments at Ka and Q/V bands in Austria. Int. J. Satell. Commun. Netw. Munications Netw. 2019, 37, 437–448. [Google Scholar] [CrossRef]
- Ye, L.; Yang, Y.; Chen, B.; Pan, D.; Yang, F.; Cao, S.; Yan, Y.; Sun, F. Chaff Cloud Integrated Communication and TT&C: An Integrated Solution for Single-Station Emergency Communications and TT&C in a Denied Environment. Drones 2024, 8, 207. [Google Scholar] [CrossRef]
- ITU. Recommendation Itu-R P.618-12: Propagation Data and Prediction Methods Required for the Design of Earth-Space Telecommunication Systems. Available online: https://www.itu.int/dms_pubrec/itu-r/rec/p/R-REC-P.618-12-201507-S!!PDF-E.pdf (accessed on 27 February 2025).
- Samad, M.A.; Choi, D.-Y. Scaling of Rain Attenuation Models: A Survey. Appl. Sci. 2021, 11, 8360. [Google Scholar] [CrossRef]
- Musthafa, A.M.; Luini, L.; Riva, C.; Livieratos, S.N.; Roveda, G. A long-term experimental investigation on the impact of rainfall on short 6G D-band links. Radio Sci. 2023, 58, 1–10. [Google Scholar] [CrossRef]
- Acharya, R. A simple real-time frequency scaling technique for rain attenuation and its performance. Int. J. Satell. Commun. Netw. 2020, 38, 329–340. [Google Scholar] [CrossRef]
- Monga, S.; Taneja, A.; Saluja, N.; Garg, R.; Siag, T. Estimation of Rain Attenuation Over 10 GHz to 80 GHz Radio Band. In Proceedings of the 2022 3rd International Conference on Computing, Analytics and Networks (ICAN), Punjab, India, 18–19 November 2022; IEEE: Piscataway, NJ, USA, 2022; pp. 1–6. [Google Scholar]
- ITU. Recommendation ITU-R P.838-3. Specific Attenuation Model for Rain for Use in Prediction Methods. 2005. Available online: https://itu-rpy.readthedocs.io/en/latest/apidoc/itu838.html (accessed on 27 February 2025).
- China Meteorological Administration. Rainfall Classification. Available online: https://www.cma.gov.cn/ (accessed on 8 September 2024).
- ITU. ITU-R P.679-4. Propagation Data Required for the Design of Broadcasting-Satellite Systems. 2015. Available online: https://www.itu.int/dms_pubrec/itu-r/rec/p/R-REC-P.679-4-201507-I!!PDF-C.pdf (accessed on 27 February 2025).
- Wang, X.; Liu, Z.; Xia, G. Effects of Reentry Plasma Fluctuation on Polarization Properties of Electromagnetic Waves. Prog. Electromagn. Res. M 2017, 58, 171–181. [Google Scholar] [CrossRef]
- Gibbins, C.J. Erratum: Zenithal attenuation due to molecular oxygen and water vapour, in the frequency range 3–350 GHz. Electron. Lett. 1986, 22, 726. [Google Scholar] [CrossRef]
- ITU. ITU-R P.676-13: Attenuation by Atmospheric Gases. 2013. Available online: https://www.itu.int/dms_pubrec/itu-r/rec/p/R-REC-P.676-8-200910-S!!PDF-E.pdf (accessed on 27 February 2025).
- ITU. ITU-R P. 840-9: Attenuation Due to Clouds and Fog. 2023. Available online: https://www.itu.int/dms_pubrec/itu-r/rec/p/R-REC-P.840-9-202308-I!!PDF-C.pdf (accessed on 27 February 2025).
- ITU. ITU-R P.618-14: Propagation Data and Prediction Methods Required for the Design of Earth-Space Telecommunication Systems. 2015. Available online: https://www.itu.int/dms_pubrec/itu-r/rec/p/R-REC-P.618-14-202308-I!!PDF-C.pdf (accessed on 27 February 2025).
- Zhaoying, W.A.N.G.; Lixin, G.U.O.; Jiangting, L.I. Research on phase shift characteristics of electromagnetic wave in plasma. Plasma Sci. Technol. 2021, 23, 075001. [Google Scholar] [CrossRef]
- Koskinen, H.E.J.; Kilpua, E.K.J. From Charged Particles to Plasma Physics. In Physics of Earth’s Radiation Belts; Springer: Cham, Switzerland, 2022; pp. 63–83. ISBN 978-3-030-82167-8. [Google Scholar] [CrossRef]
- Yao, J.; Yu, Z.; Yuan, C.; Zhou, Z.; Wang, X.; Kudryavtsev, A.A. The Influence of Plasma Distribution on Microwave Reflection in a Plasma-Metal Model. IEEE Trans. Plasma Sci. 2020, 48, 359–363. [Google Scholar] [CrossRef]
- Jin, J.; Chen, C.; Cheng, W.; Chen, T.; Zhou, T.; Ling, Y. Properties of Terahertz Wave Propagation in Inhomogeneous Plasma Sheath. J. Syst. Simul. 2015, 27, 3109–3115. [Google Scholar]
- Deng, X.; Hu, J.; Yang, W. Near space vehicle channel modeling and simulation. In Proceedings of the Chinese Society of Astronautics Flight Vehicle Measurement and Control Committee 2007 Space Measurement and Control Technology Seminar, Hangzhou, China, 5–9 September 2007; pp. 347–351. [Google Scholar]
- Gongshun, L.I.; Zhang, T.; Geng, K.; Wen, F.; Ye, K.; Xu, L.; Zhu, X.; Zhang, X.; Zhong, F.; Zhou, Z. A mathematically-derived unified Equation for Time-Varying Doppler effect, Cosmological red-shift and Cherenkov radiation. Plasma Sci. Technol. 2024, 26, 34001. [Google Scholar] [CrossRef]
- Rao, K.; Swamy, M. Spectral Analysis of Signals. In Digital Signal Processing; Springer: Singapore, 2018; ISBN 978-981-10-8081-4. [Google Scholar]
- Sankar, A.; Darshan, S.; Devika, K.M.; Varghese, B.; Menon, P.R. SDR based CCSDS Shaped Offset QPSK Modulator for Aerospace Applications. In Proceedings of the 2023 9th International Conference on Smart Computing and Communications (ICSCC), Kerala, India, 17–19 August 2023; pp. 184–189. [Google Scholar]
- Kryukov, Y.V.; Pokamestov, D.A.; Rogozhnikov, E.V. Comparison of Theoretical and Real Throughput of PD-NOMA. J. Commun. Technol. Electron. 2023, 68, 88–95. [Google Scholar] [CrossRef]
- Xue, L.; Li, X.; Wu, W.; Yang, Y. Design of Tracking, Telemetry, Command (TT&C) and Data Transmission Integrated Signal in TDD Mode. Remote Sens. 2020, 12, 3340. [Google Scholar] [CrossRef]
- Xue, L.; Li, X.; Wu, W.; Dong, J. Multifunctional Signal Design for Measurement, Navigation and Communication Based on BOC and BPSK Modulation. Remote Sens. 2022, 14, 1653. [Google Scholar] [CrossRef]
- Wang, B.; Tang, Z.; Wei, J. Comparison and analysis of COMPASS B1C Candidate signal. In Proceedings of the 7th China Satellite Navigation Conference-S03 Satellite Navigation Signals, Changsha, China, 18–20 May 2016; pp. 83–93. [Google Scholar]
- Li, X.; Zeng, X.; Xue, L. Integrated Communication and Measurement System with BOC-Assisted OFDM. Drones 2023, 7, 14. [Google Scholar] [CrossRef]
- Ni, Y.; Zou, L.; Liu, R.; Chen, W.; Qin, Z.; Wang, K. L/C dual-band navigation signal modulation mode and performance evaluation of BeiDou system. Syst. Eng. Electron. 2022, 44, 327775. [Google Scholar]
Disclaimer/Publisher’s Note: The statements, opinions and data contained in all publications are solely those of the individual author(s) and contributor(s) and not of MDPI and/or the editor(s). MDPI and/or the editor(s) disclaim responsibility for any injury to people or property resulting from any ideas, methods, instructions or products referred to in the content. |
© 2025 by the authors. Licensee MDPI, Basel, Switzerland. This article is an open access article distributed under the terms and conditions of the Creative Commons Attribution (CC BY) license (https://creativecommons.org/licenses/by/4.0/).













