Net Radiation Drives Evapotranspiration Dynamics in a Bottomland Hardwood Forest in the Southeastern United States: Insights from Multi-Modeling Approaches
Abstract
1. Introduction
2. Methods
2.1. Study Site
2.2. Measurements of Above-Canopy Fluxes
2.3. Measurements of Meteorological, Phenological, and Hydrological Variables
2.4. Data Collection, Processing, and Gap-Filling Fluxes
2.5. Structural Equation Modelling (SEM)
2.6. Factor Analysis
2.7. Path Analysis
2.8. Akaike’s Information Criteria (AIC) and Model Selection
3. Results
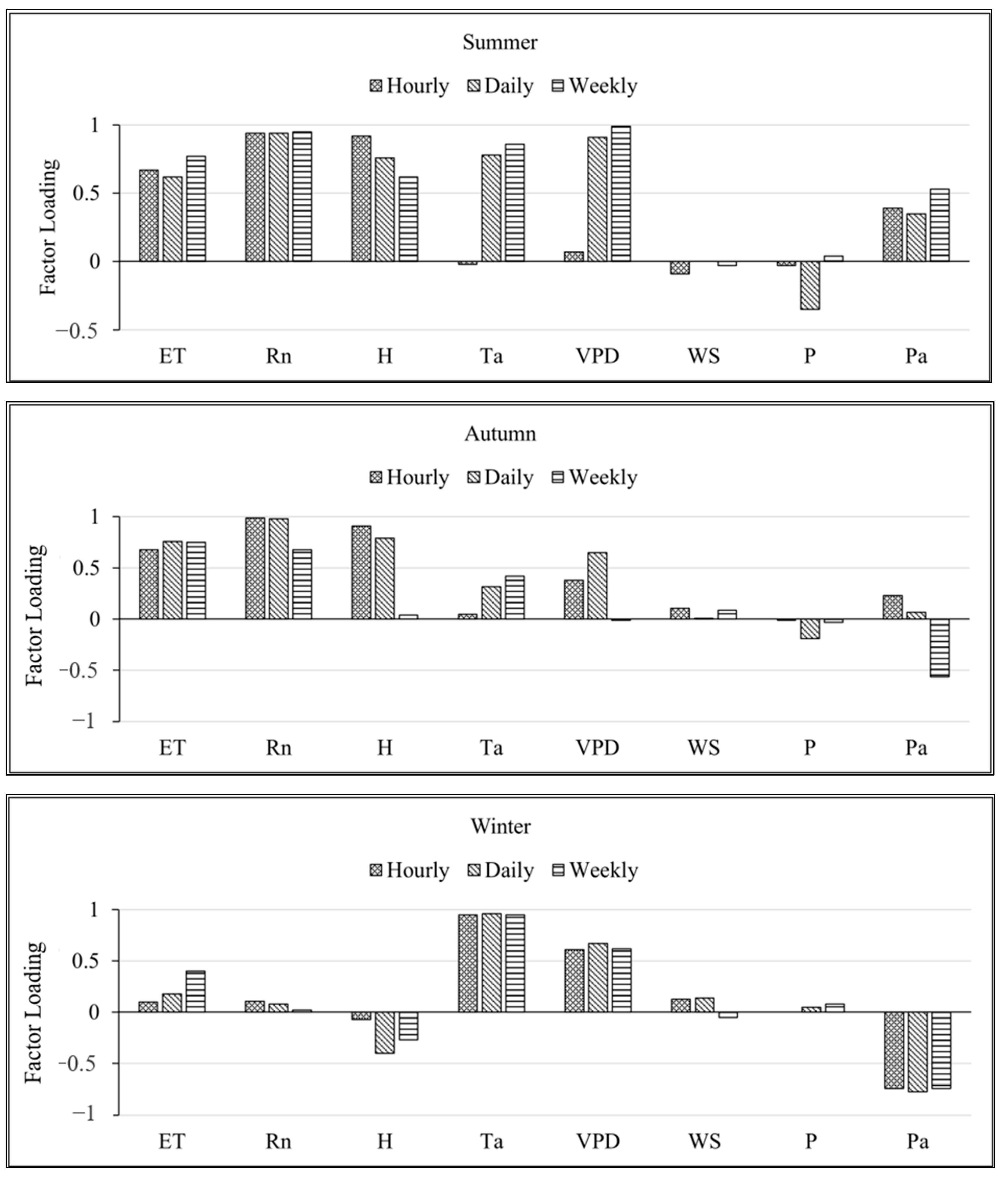
3.1. Factor Analysis
3.2. Path Analysis
3.3. AIC Results
4. Discussion
5. Conclusions
Author Contributions
Funding
Institutional Review Board Statement
Informed Consent Statement
Data Availability Statement
Acknowledgments
Conflicts of Interest
References
- King, S.L.; Keim, R.F. Hydrologic modifications challenge bottomland hardwood forest management. J. For. 2019, 117, 504–514. [Google Scholar] [CrossRef]
- Jenkins, W.A.; Murray, B.C.; Kramer, R.A.; Faulkner, S.P. Valuing ecosystem services from wetlands restoration in the Mississippi Alluvial Valley. Ecol. Econ. 2010, 69, 1051–1061. [Google Scholar] [CrossRef]
- Capon, S.J.; Chambers, L.E.; Mac Nally, R.; Naiman, R.J.; Davies, P.; Marshall, N.; Williams, S.E. Riparian ecosystems in the 21st century: Hotspots for climate change adaptation? Ecosystems 2013, 16, 359–381. [Google Scholar] [CrossRef]
- Wharton, C.H. The Ecology of Bottomland Hardwood Swamps of the Southeast: A Community Profile; FWS/OBS-81/37; U.S. Fish and Wildlife Service, Biological Services Program: Washington, DC, USA, 1982; p. 133. [Google Scholar]
- Reid, M.L. A Quarter Century of Plant Succession in a Bottomland Hardwood Forest in Northeastern Louisiana. Master’s Thesis, University of Louisiana Monroe, Monroe, LA, USA, 2014. [Google Scholar]
- Ward, J.V. The four-dimensional nature of lotic ecosystems. J. N. Am. Benthol. Soc. 1989, 8, 2–8. [Google Scholar] [CrossRef]
- Hodges, J.D. Development and ecology of bottomland hardwood sites. For. Ecol. Manag. 1997, 90, 117–125. [Google Scholar] [CrossRef]
- Reid, M.L.; Allen, S.R.; Bhattacharjee, J. Patterns of spatial distribution and seed dispersal among bottomland hardwood tree species. Castanea 2014, 79, 255–265. [Google Scholar] [CrossRef]
- Aguilos, M.; Sun, G.; Noormets, A.; Domec, J.C.; McNulty, S.; Gavazzi, M.; Minick, K.; Mitra, B.; Prajapati, P.; Yang, Y.; et al. Effects of land-use change and drought on decadal evapotranspiration and water balance of natural and managed forested wetlands along the southeastern US lower coastal plain. Agric. For. Meteorol. 2021, 303, 108381. [Google Scholar] [CrossRef]
- Brown, K. Quantifying Bottomland Hardwood Forest and Agricultural Grassland Evapotranspiration in Floodplain Reaches of a Mid-Missouri Stream. Master’s Thesis, University of Missouri-Columbia, Columbia, MO, USA, 2013. [Google Scholar]
- Meinzer, F.C.; Woodruff, D.R.; Eissenstat, D.M.; Lin, H.S.; Adams, T.S.; McCulloh, K.A. Above- and belowground controls on water use by trees of different wood types in an eastern US deciduous forest. Tree Physiol. 2013, 33, 345–356. [Google Scholar] [CrossRef] [PubMed]
- Kassahun, Z.; Renninger, H.J. Effects of drought on water use of seven tree species from four genera growing in a bottomland hardwood forest. Agric. For. Meteorol. 2021, 301, 108353. [Google Scholar] [CrossRef]
- Fang, Y.; Leung, L.R. Relative controls of vapor pressure deficit and soil water stress on canopy conductance in global simulations by an Earth system model. Earth Future 2022, 10, e2022EF002810. [Google Scholar] [CrossRef]
- Sabater, A.M.; Ward, H.C.; Hill, T.C.; Gornall, J.L.; Wade, T.J.; Evans, J.G.; Prieto-Blanco, A.; Disney, M.; Phoenix, G.K.; Williams, M.; et al. Transpiration from subarctic deciduous woodlands: Environmental controls and contribution to ecosystem evapotranspiration. Ecohydrology 2020, 13, e2190. [Google Scholar] [CrossRef]
- Thunberg, S.M.; Euskirchen, E.S.; Walsh, J.E.; Redilla, K.M. Diagnosis of atmospheric drivers of high-latitude evapotranspiration using structural equation modeling. Atmosphere 2021, 12, 1359. [Google Scholar] [CrossRef]
- Thunberg, S.M.; Walsh, J.E.; Euskirchen, E.S.; Redilla, K.; Rocha, A.V. Surface moisture budget of tundra and boreal ecosystems in Alaska: Variations and drivers. Polar Sci. 2021, 29, 100685. [Google Scholar] [CrossRef]
- Zhang, B.; Xu, D.; Liu, Y.; Li, F.; Cai, J.; Du, L. Multi-scale evapotranspiration of summer maize and the controlling meteorological factors in north China. Agric. For. Meteorol. 2016, 216, 1–12. [Google Scholar] [CrossRef]
- Bloch, M.B. Characterization of CO2 fluxes over Bottomland Hardwood Forests in Northeast Louisiana. Master’s Thesis, University of Louisiana Monroe, Monroe, LA, USA, 2021. [Google Scholar]
- Reichstein, M.; Falge, E.; Baldocchi, D.; Papale, D.; Aubinet, M.; Berbigier, P.; Valentini, R. On the separation of net ecosystem exchange into assimilation and ecosystem respiration: Review and improved algorithm. Glob. Chang. Biol. 2005, 11, 1424–1439. [Google Scholar] [CrossRef]
- Papale, D.; Reichstein, M.; Aubinet, M.; Canfora, E.; Bernhofer, C.; Kutsch, W.; Yakir, D. Towards a standardized processing of Net Ecosystem Exchange measured with eddy covariance technique: Algorithms and uncertainty estimation. Biogeosciences 2006, 3, 571–583. [Google Scholar] [CrossRef]
- National Aeronautics Space Administration (NASA). Prediction of Worldwide Energy Resource. Available online: https://power.larc.nasa.gov/ (accessed on 15 June 2021).
- RStudio Team. RStudio: Integrated Development for R. RStudio, PBC, Boston, MA, USA. Available online: http://www.rstudio.com/ (accessed on 5 May 2023).
- Lafleur, P.M.; Humphreys, E.R.; St Louis, V.L.; Myklebust, M.C.; Papakyriakou, T.; Poissant, L.; Barker, J.D.; Pilote, M.; Swystun, K.A. Variation in peak growing season net ecosystem production across the Canadian Arctic. Environ. Sci. Technol. 2012, 46, 7971–7977. [Google Scholar] [CrossRef] [PubMed]
- Bonan, G. Ecological Climatology: Concepts and Applications, 3rd ed.; Cambridge University Press: Cambridge, UK, 2016. [Google Scholar]
- Mosre, J.; Suárez, F. Actual evapotranspiration estimates in arid cold regions using machine learning algorithms with in situ and remote sensing data. Water 2021, 13, 870. [Google Scholar] [CrossRef]
- Bollen, K. Structural Equations with Latent Variables; John Wiley and Sons: New York, NY, USA, 1989; p. 709. ISBN 978-0-471-01171-2. [Google Scholar]
- Byrne, B.M. Structural Equation Modeling with Mplus: Basic Concepts, Applications, and Programming; Routledge: New York, NY, USA, 2012. [Google Scholar]
- Gorsuch, R.L. Factor Analysis, 2nd ed.; Routledge Press: London, UK, 2014; p. 464. ISBN 9781138831995. [Google Scholar]
- Browne, M.W.; Cudeck, R. Alternative ways of assessing model fit. Sociol. Methods Res. 1992, 21, 230–258. [Google Scholar] [CrossRef]
- Mackay, D.S.; Ewers, B.E.; Cook, B.D.; Davis, K.J. Environmental drivers of evapotranspiration in a shrub wetland and an upland forest in northern Wisconsin. Water Resour. Res. 2007, 43, W03442. [Google Scholar] [CrossRef]
- Young, A.M.; Friedl, M.A.; Novick, K.; Scott, R.L.; Moon, M.; Frolking, S.; Li, X.; Carrillo, C.M.; Richardson, A.D. Disentangling the Relative Drivers of Seasonal Evapotranspiration Across a Continental-Scale Aridity Gradient. J. Geophys. Res. Biogeosci. 2022, 127, e2022JG006916. [Google Scholar] [CrossRef]
- Oogathoo, S.; Houle, D.; Duchesne, L.; Kneeshaw, D. Vapor pressure deficit and solar radiation are the major drivers of transpiration of balsam fir and black spruce tree species in humid boreal regions, even during a short-term drought. Agric. For. Meteorol. 2020, 291, 108063. [Google Scholar] [CrossRef]
- Nazarbakhsh, M.; Ireson, A.M.; Barr, A.G. Controls on evapotranspiration from jack pine forests in the Boreal Plains Ecozone. Hydrol. Process. 2020, 34, 927–940. [Google Scholar] [CrossRef]
- Ohta, T.; Maximov, T.C.; Dolman, A.J.; Nakai, T.; van der Molen, M.K.; Kononov, A.V.; Maximov, A.P.; Hiyama, T.; Iijima, Y.; Moors, E.J.; et al. Interannual variation of water balance and summer evapotranspiration in an eastern Siberian larch forest over a 7-year period (1998–2006). Agric. For. Meteorol. 2008, 148, 1941–1953. [Google Scholar] [CrossRef]
- Lobos-Roco, F.; Hartogensis, O.; Vilà-Guerau de Arellano, J.; De La Fuente, A.; Muñoz, R.; Rutllant, J.; Suárez, F. Local evaporation controlled by regional atmospheric circulation in the Altiplano of the Atacama Desert. Atmos. Chem. Phys. 2021, 21, 9125–9150. [Google Scholar] [CrossRef]
- Brümmer, C.; Black, T.A.; Jassal, R.S.; Grant, N.J.; Spittlehouse, D.L.; Chen, B.; Nesic, Z.; Amiro, B.D.; Arain, M.A.; Barr, A.G.; et al. How climate and vegetation type influence evapotranspiration and water use efficiency in Canadian forest, peatland and grassland ecosystems. Agric. For. Meteorol. 2012, 153, 14–30. [Google Scholar] [CrossRef]











| Model | K | AIC | ΔAIC | AIC Weight | LL |
|---|---|---|---|---|---|
| ET ~ Rn*Ta + VPD + WS*P | 9 | −104,579 | 0 | 0.98 | 52,298.53 |
| ET ~ Rn*Ta + VPD + WS + P | 8 | −104,570 | 8.25 | 0.02 | 52,293.40 |
| ET ~ Rn*Ta + VPD + WS | 7 | −104,383 | 195.37 | 0 | 52,198.84 |
| ET ~ Rn*Ta + VPD | 6 | −104,344 | 234.54 | 0 | 52,178.26 |
| ET ~ Rn*VPD + Ta + WS*P | 9 | −99,185 | 5393.08 | 0 | 49,601.99 |
Disclaimer/Publisher’s Note: The statements, opinions and data contained in all publications are solely those of the individual author(s) and contributor(s) and not of MDPI and/or the editor(s). MDPI and/or the editor(s) disclaim responsibility for any injury to people or property resulting from any ideas, methods, instructions or products referred to in the content. |
© 2024 by the authors. Licensee MDPI, Basel, Switzerland. This article is an open access article distributed under the terms and conditions of the Creative Commons Attribution (CC BY) license (https://creativecommons.org/licenses/by/4.0/).
Share and Cite
Kandel, B.; Bhattacharjee, J. Net Radiation Drives Evapotranspiration Dynamics in a Bottomland Hardwood Forest in the Southeastern United States: Insights from Multi-Modeling Approaches. Atmosphere 2024, 15, 527. https://doi.org/10.3390/atmos15050527
Kandel B, Bhattacharjee J. Net Radiation Drives Evapotranspiration Dynamics in a Bottomland Hardwood Forest in the Southeastern United States: Insights from Multi-Modeling Approaches. Atmosphere. 2024; 15(5):527. https://doi.org/10.3390/atmos15050527
Chicago/Turabian StyleKandel, Bibek, and Joydeep Bhattacharjee. 2024. "Net Radiation Drives Evapotranspiration Dynamics in a Bottomland Hardwood Forest in the Southeastern United States: Insights from Multi-Modeling Approaches" Atmosphere 15, no. 5: 527. https://doi.org/10.3390/atmos15050527
APA StyleKandel, B., & Bhattacharjee, J. (2024). Net Radiation Drives Evapotranspiration Dynamics in a Bottomland Hardwood Forest in the Southeastern United States: Insights from Multi-Modeling Approaches. Atmosphere, 15(5), 527. https://doi.org/10.3390/atmos15050527

