Evaluation of Multi-Source Precipitation Products in the Hinterland of the Tibetan Plateau
Abstract
1. Introduction
2. Materials and Methods
2.1. Study Area and Data
2.1.1. Study Area
2.1.2. Data
- Rain gauge data
- 2.
- Precipitation products
2.2. Methods
3. Results
3.1. The Precision Evaluation of Daily Precipitation
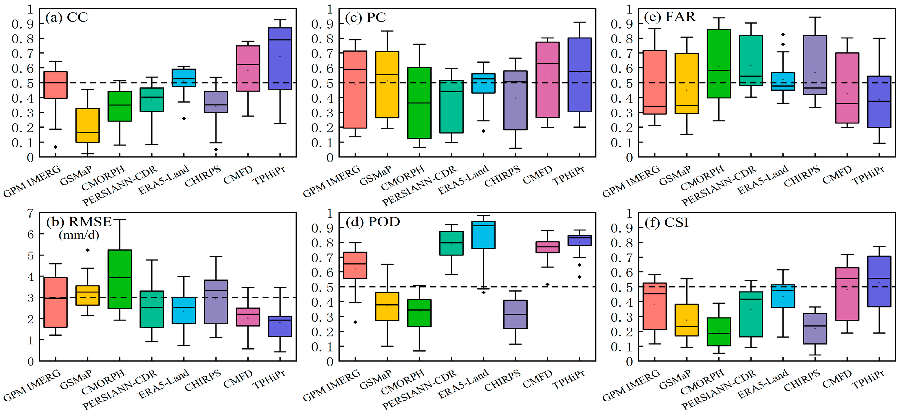
3.1.1. The Performance of Daily Scale
3.1.2. The Performance of Different Precipitation Intensities
3.2. The Precision Evaluation of Monthly Precipitation
3.3. The Precision Evaluation of Wet and Dry Seasonal Precipitation
3.4. The Ranking of Applicability
3.5. The Performance of Spatial Distribution of Precipitation Products
4. Discussion
4.1. Error Characteristics and Error-Source Analysis of the Precipitation Products
4.2. The Characteristics of Precipitation Products Changing with Elevation
5. Conclusions
Author Contributions
Funding
Institutional Review Board Statement
Informed Consent Statement
Data Availability Statement
Acknowledgments
Conflicts of Interest
References
- Lobell, D.B.; Burke, M.B. Why are agricultural impacts of climate change so uncertain? The importance of temperature relative to precipitation. Environ. Res. Lett. 2008, 3, 034007. [Google Scholar] [CrossRef]
- Meynecke, J.-O.; Lee, S.Y.; Duke, N.C.; Warnken, J. Effect of rainfall as a component of climate change on estuarine fish production in Queensland, Australia. Estuar. Coast. Shelf Sci. 2006, 69, 491–504. [Google Scholar] [CrossRef]
- Latif, A.; Ilyas, S.; Zhang, Y.; Xin, Y.; Zhou, L.; Zhou, Q. Review on global change status and its impacts on the Tibetan Plateau environment. J. Plant Ecol. 2019, 12, 917–930. [Google Scholar] [CrossRef]
- Madsen, D.B. Conceptualizing the Tibetan Plateau: Environmental constraints on the peopling of the “Third Pole”. Archaeol. Res. Asia 2016, 5, 24–32. [Google Scholar] [CrossRef]
- Saemian, P.; Hosseini-Moghari, S.-M.; Fatehi, I.; Shoarinezhad, V.; Modiri, E.; Tourian, M.J.; Tang, Q.; Nowak, W.; Bárdossy, A.; Sneeuw, N. Comprehensive evaluation of precipitation datasets over Iran. J. Hydrol. 2021, 603, 127054. [Google Scholar] [CrossRef]
- Hussain, Y.; Satgé, F.; Hussain, M.B.; Martinez-Carvajal, H.; Bonnet, M.-P.; Cárdenas-Soto, M.; Roig, H.L.; Akhter, G. Performance of CMORPH, TMPA, and PERSIANN rainfall datasets over plain, mountainous, and glacial regions of Pakistan. Theor. Appl. Climatol. 2017, 131, 1119–1132. [Google Scholar] [CrossRef]
- Shen, Y.; Xiong, A.; Wang, Y.; Xie, P. Performance of high-resolution satellite precipitation products over China. J. Geophys. Res. Atmos. 2010, 115, D02114. [Google Scholar] [CrossRef]
- Castro, L.M.; Miranda, M.; Fernández, B. Evaluation of TRMM multi-satellite precipitation analysis (TMPA) in a mountainous region of the central Andes range with a Mediterranean climate. Hydrol. Res. 2015, 46, 89–105. [Google Scholar] [CrossRef]
- Chen, R.; Liu, J.; Kang, E.; Yang, Y.; Han, C.; Liu, Z.; Song, Y.; Qing, W.; Zhu, P. Precipitation measurement intercomparison in the Qilian Mountains, north-eastern Tibetan Plateau. Cryosphere 2015, 9, 1995–2008. [Google Scholar] [CrossRef]
- Chen, J.; Wang, Z.; Wu, X.; Chen, X.; Lai, C.; Zeng, Z.; Li, J. Accuracy evaluation of GPM multi-satellite precipitation products in the hydrological application over alpine and gorge regions with sparse rain gauge network. Hydrol. Res. 2019, 50, 1710–1729. [Google Scholar] [CrossRef]
- Gu, P.; Wang, G.; Liu, G.; Wu, Y.; Liu, H.; Jiang, X.; Liu, T. Evaluation of multisource precipitation input for hydrological modeling in an Alpine basin: A case study from the Yellow River Source Region (China). Hydrol. Res. 2022, 53, 314–335. [Google Scholar] [CrossRef]
- Huffman, G.J.; Bolvin, D.T.; Braithwaite, D.; Hsu, K.L.; Joyce, R.J.; Kidd, C.; Nelkin, E.J.; Sorooshian, S.; Stocker, E.F.; Tan, J.; et al. Integrated multi-satellite retrievals for the global precipitation measurement (GPM) mission (IMERG). In Satellite Precipitation Measurement; Springer: Cham, Switzerland, 2020; Volume 1, pp. 343–353. [Google Scholar]
- Yang, M.; Liu, G.; Chen, T.; Chen, Y.; Xia, C. Evaluation of GPM IMERG precipitation products with the point rain gauge records over Sichuan, China. Atmos. Res. 2020, 246, 105101. [Google Scholar] [CrossRef]
- Wei, L.; Jiang, S.; Ren, L.; Wang, M.; Zhang, L.; Liu, Y.; Yuan, F.; Yang, X. Evaluation of seventeen satellite-, reanalysis-, and gauge-based precipitation products for drought monitoring across mainland China. Atmos. Res. 2021, 263, 105813. [Google Scholar] [CrossRef]
- Valencia, S.; Marín, D.E.; Gómez, D.; Hoyos, N.; Salazar, J.F.; Villegas, J.C. Spatio-temporal assessment of Gridded precipitation products across topographic and climatic gradients in Colombia. Atmos. Res. 2023, 285, 106643. [Google Scholar] [CrossRef]
- Wu, L.; Zhai, P. Validation of daily precipitation from two high-resolution satellite precipitation datasets over the Tibetan Plateau and the regions to its east. Acta Meteorol. Sin. 2012, 26, 735–745. [Google Scholar] [CrossRef]
- Mianabadi, A. Evaluation of long-term satellite-based precipitation products for developing intensity-frequency (IF) curves of daily precipitation. Atmos. Res. 2023, 286, 106667. [Google Scholar] [CrossRef]
- Liu, C.Y.; Aryastana, P.; Liu, G.R.; Huang, W.R. Assessment of satellite precipitation product estimates over Bali Island. Atmos. Res. 2020, 244, 105032. [Google Scholar] [CrossRef]
- You, Q.; Fraedrich, K.; Ren, G.; Ye, B.; Meng, X.; Kang, S. Inconsistencies of precipitation in the eastern and central Tibetan Plateau between surface adjusted data and reanalysis. Theor. Appl. Climatol. 2012, 109, 485–496. [Google Scholar] [CrossRef]
- Yu, C.; Hu, D.; Liu, M.; Wang, S.; Di, Y. Spatio-temporal accuracy evaluation of three high-resolution satellite precipitation products in China area. Atmos. Res. 2020, 241, 104952. [Google Scholar] [CrossRef]
- Lei, H.; Zhao, H.; Ao, T. Ground validation and error decomposition for six state-of-the-art satellite precipitation products over mainland China. Atmos. Res. 2022, 269, 106017. [Google Scholar] [CrossRef]
- Yan, D.; Liu, S.; Qin, T.; Weng, B.; Li, C.; Lu, Y.; Liu, J. Evaluation of TRMM precipitation and its application to distributed hydrological model in Naqu River Basin of the Tibetan Plateau. Hydrol. Res. 2017, 48, 822–839. [Google Scholar] [CrossRef]
- Zhao, T.; Yatagai, A. Evaluation of TRMM 3B42 product using a new gauge-based analysis of daily precipitation over China. Int. J. Climatol. 2014, 34, 2749–2762. [Google Scholar] [CrossRef]
- Sharifi, E.; Steinacker, R.; Saghafian, B. Multi time-scale evaluation of high-resolution satellite-based precipitation products over northeast of Austria. Atmos. Res. 2018, 206, 46–63. [Google Scholar] [CrossRef]
- Wang, H.; Yuan, Y.; Zeng, S.; Li, W.; Tang, X. Evaluation of satellite-based precipitation products from GPM IMERG and GSMaP over the three-river headwaters region, China. Hydrol. Res. 2021, 52, 1328–1343. [Google Scholar] [CrossRef]
- Weng, P.; Tian, Y.; Jiang, Y.; Chen, D.; Kang, J. Assessment of GPM IMERG and GSMaP daily precipitation products and their utility in droughts and floods monitoring across Xijiang River Basin. Atmos. Res. 2023, 286, 106673. [Google Scholar] [CrossRef]
- Pirmoradian, R.; Hashemi, H.; Fayne, J. Performance evaluation of IMERG and TMPA daily precipitation products over CONUS (2000–2019). Atmos. Res. 2022, 279, 106389. [Google Scholar] [CrossRef]
- Lin, O.; Yang, K.; Lu, H.; Chen, Y.; Lazhu; Zhou, X.; Wang, Y. Ground-Based Observations Reveal Uniqu-e Valley Precipitation Patterns in the Central Himalaya. J. Geophys. Res. Atmos. 2020, 125, e2019JD031502. [Google Scholar] [CrossRef]
- Kumar, M.; Hodnebrog, Ø.; Sophie Daloz, A.; Sen, S.; Badiger, S.; Krishnaswamy, J. Measuring precipitation in Eastern Himalaya: Ground validation of eleven satellite, model and gauge interpolated gridded products. J. Hydrol. 2021, 599, 126252. [Google Scholar] [CrossRef]
- Li, G.; Yu, Z.; Wang, W.; Ju, Q.; Chen, X. Analysis of the spatial Distribution of precipitation and topography with GPM data in the Tibetan Plateau. Atmos. Res. 2021, 247, 105259. [Google Scholar] [CrossRef]
- Xu, J.; Ma, Z.; Yan, S.; Peng, J. Do ERA5 and ERA5-land precipitation estimates outperform satellite-based precipitation products? A comprehensive comparison between state-of-the-art model-based and satellite-based precipitation products over mainland China. J. Hydrol. 2022, 605, 127353. [Google Scholar] [CrossRef]
- Musie, M.; Sen, S.; Srivastava, P. Comparison and evaluation of gridded precipitation datasets for streamflow simulation in data scarce watersheds of Ethiopia. J. Hydrol. 2019, 579, 124168. [Google Scholar] [CrossRef]
- Wen, T.; Guo, Y.; Dong, S.; Lai, X. Assessment of CRU, ERA5, CMFD grid precipitation data for the Tibetan Plateau from 1979 to 2017. Arid Zone Res. 2022, 39, 684–697. [Google Scholar] [CrossRef]
- Beck, H.E.; van Dijk, A.I.J.M.; Levizzani, V.; Schellekens, J.; Miralles, D.G.; Martens, B.; de Roo, A. MSWEP: 3-hourly 0.25◦ global gridded precipitation (1979–2015) by merging gauge, satellite, and reanalysis data. Hydrol. Earth Syst. Sci. 2017, 21, 589–615. [Google Scholar] [CrossRef]
- Nawaz, N.; Gull, R.; Elnashar, A. Spatio-Temporal Assessment of Global Precipitation Products over the Largest Agriculture Region in Pakistan. Remote Sens. 2020, 12, 3650. [Google Scholar] [CrossRef]
- Yao, T.; Chen, F.; Cui, P.; Ma, Y.; Xu, B.; Zhu, L.; Zhang, F.; Wang, W.; Ai, L.; Yang, X. From Tibetan Plateau to Third Pole and Pan-Third Pole. Bull. Chin. Acad. Sci. 2017, 32, 924–931. [Google Scholar] [CrossRef]
- Wan, G.; Yang, M.; Liu, Z.; Wang, X.; Liang, X. The Precipitation Variations in the Qinghai-Xizang (Tibetan) Plateau during 1961–2015. Atmosphere 2017, 8, 80. [Google Scholar] [CrossRef]
- Wu, P.; Liu, Y.-J.; Wang, J.; Ding, Y.-H. Revisiting the variations of precipitation and water vapour budget over the Tibetan Plateau. Adv. Clim. Chang. Res. 2023, 14, 77–84. [Google Scholar] [CrossRef]
- Chen, Y.; Sharma, S.; Zhou, X.; Yang, K.; Li, X.; Niu, X.; Hu, X.; Khadka, N. Spatial performance of multiple reanalysis precipitation datasets on the southern slope of central Himalaya. Atmos. Res. 2021, 250, 105365. [Google Scholar] [CrossRef]
- Li, C.; Zhao, T.; Shi, C.; Liu, Z. Evaluation of Daily Precipitation Product in China from the CMA Global Atmospheric Interim Reanalysis. J. Meteorol. Res. 2020, 34, 117–136. [Google Scholar] [CrossRef]
- Zhao, L.; Hu, G.; Zou, D.; Wu, T.; Du, E.; Liu, G.; Xiao, Y.; Li, R.; Pang, Q.; Qiao, Y.; et al. A Synthesis Dataset of Permafrost for the Qinghai-Xizang (Tibet) Plateau, China (2002–2018); National Tibetan Plateau Data Center: Beijing, China, 2021. [Google Scholar]
- Skofronick-Jackson, G.; Petersen, W.A.; Berg, W.; Kidd, C.; Stocker, E.F.; Kirschbaum, D.B.; Kakar, R.; Braun, S.A.; Huffman, G.J.; Iguchi, T.; et al. The Global Precipitation Measurement (Gpm) Mission for Science and Society. Bull. Am. Meteorol. Soc. 2017, 98, 1679–1695. [Google Scholar] [CrossRef]
- Okamoto, K.I.; Iguchi, T.; Hanado, H.; Takahashi, N.; Ushio, T. The global satellite mapping of precipitation (GSMaP) project. In Proceedings of the International Geoscience and Remote Sensing Symposium, Seoul, Republic of Korea, 29 July 2005; pp. 3414–3416. [Google Scholar] [CrossRef]
- Ashouri, H.; Hsu, K.L.; Sorooshian, S.; Braithwaite, D.K.; Knapp, K.R.; Cecil, L.D.; Nelson, B.R.; Prat, O.P. PERSIANN-CDR: Daily precipitation climate data record from multisatellite observations for hydrological and climate studies. Bull. Am. Meteorol. Soc. 2015, 96, 69–83. [Google Scholar] [CrossRef]
- Muñoz-Sabater, J.; Dutra, E.; Agustí-Panareda, A.; Albergel, C.; Arduini, G.; Balsamo, G.; Boussetta, S.; Choulga, M.; Harrigan, S.; Hersbach, H.; et al. ERA5-Land: A state-of-the-art global reanalysis dataset for land applications. Earth Syst. Sci. Data 2021, 13, 4349–4383. [Google Scholar] [CrossRef]
- Guo, H.; Bao, A.; Liu, T.; Ndayisaba, F.; He, D.; Kurban, A.; De Maeyer, P. Meteorological Drought Analysis in the Lower Mekong Basin Using Satellite-Based Long-Term CHIRPS Product. Sustainability 2017, 9, 901. [Google Scholar] [CrossRef]
- Gao, F.; Zhang, Y.; Ren, X.; Yao, Y.; Hao, Z.; Cai, W. Evaluation of CHIRPS and its application for drought monitoring over the Haihe River Basin, China. Nat. Hazards 2018, 92, 155–172. [Google Scholar] [CrossRef]
- Aksu, H.; Cavus, Y.; Aksoy, H.; Akgul, M.A.; Turker, S.; Eris, E. Spatiotemporal analysis of drought by CHIRPS precipitation estimates. Theor. Appl. Climatol. 2022, 148, 517–529. [Google Scholar] [CrossRef]
- Mianabadi, A.; Salari, K.; Pourmohamad, Y. Drought monitoring using the long-term CHIRPS precipitation over Southeastern Iran. Appl. Water Sci. 2022, 12, 183. [Google Scholar] [CrossRef]
- Shalishe, A.; Bhowmick, A.; Elias, K.; Krakauer, N.Y. Meteorological Drought Monitoring Based on Satellite CHIRPS Product over Gamo Zone, Southern Ethiopia. Adv. Meteorol. 2022, 2022, 1–13. [Google Scholar] [CrossRef]
- Sa’adi, Z.; Yusop, Z.; Alias, N.E.; Shiru, M.S.; Muhammad, M.K.I.; Ramli, M.W.A. Application of CHIRPS dataset in the selection of rain-based indices for drought assessments in Johor River Basin, Malaysia. Sci. Total Environ. 2023, 892, 164471. [Google Scholar] [CrossRef]
- He, J.; Yang, K.; Tang, W.; Lu, H.; Qin, J.; Chen, Y.; Li, X. The first high-resolution meteorological forcing dataset for land process studies over China. Sci. Data 2020, 7, 25. [Google Scholar] [CrossRef]
- Jiang, Y.; Yang, K.; Qi, Y.; Zhou, X.; He, J.; Lu, H.; Li, X.; Chen, Y.; Li, X.; Zhou, B.; et al. TPHiPr: A long-term (1979–2020) high-accuracy precipitation dataset (1∕30°, daily) for the Third Pole region based on high-resolution atmospheric modeling and dense observations. Earth Syst. Sci. Data 2023, 15, 621–638. [Google Scholar] [CrossRef]
- Yim, S.-Y.; Wang, B.; Liu, J.; Wu, Z. A comparison of regional monsoon variability using monsoon indices. Clim. Dyn. 2013, 43, 1423–1437. [Google Scholar] [CrossRef]
- Jiang, Q.; Li, W.; Fan, Z.; He, X.; Sun, W.; Chen, S.; Wen, J.; Gao, J.; Wang, J. Evaluation of the ERA5 reanalysis precipitation dataset over Chinese Mainland. J. Hydrol. 2021, 595, 125660. [Google Scholar] [CrossRef]
- Brunke, M.A.; Fairall, C.W.; Zeng, X.; Eymard, L.; Curry, J.A. Which Bulk Aerodynamic Algorithms are Least Problematic in Computing Ocean Surface Turbulent Fluxes? J. Clim. 2003, 16, 619–635. [Google Scholar] [CrossRef]
- Brunke, M.A.; Wang, Z.; Zeng, X.; Bosilovich, M.; Shie, C.-L. An Assessment of the Uncertainties in Ocean Surface Turbulent Fluxes in 11 Reanalysis, Satellite-Derived, and Combined Global Datasets. J. Clim. 2011, 24, 5469–5493. [Google Scholar] [CrossRef]
- Kidd, C.; Levizzani, V. Status of satellite precipitation retrievals. Hydrol. Earth Syst. Sci. 2011, 15, 1109–1116. [Google Scholar] [CrossRef]
- Hong, Z.; Han, Z.; Li, X.; Long, D.; Tang, G.; Wang, J. Generation of an improved precipitation data set from multisource information over the Tibetan Plateau. J. Hydrometeorol. 2021, 22, 1275–1295. [Google Scholar] [CrossRef]
- Quan, C.; Zhou, B.; Shen, X.; Shen, Y.; Zhu, S.; Zhao, T. Applicability Evaluation of IMERG and GSMaP Satellite Precipitation Data in the Three-River Source Region. Plateau Mt. Meteorol. Res. 2022, 42, 102–108. [Google Scholar] [CrossRef]
- Lin, Z.; Yao, X.; Du, J.; Zhou, Z. Refined Evaluation of Satellite Precipitation Products against Rain Gauge Observations along the Sichuan—Tibet Railway. J. Meteor. Res. 2022, 36, 779–797. [Google Scholar] [CrossRef]










| Type | Code | Latitudes (°) | Longitudes (°) | Elevation (m) |
|---|---|---|---|---|
| Meteorological stations | 52707 | 36.8 | 93.68 | 2767 |
| 52713 | 37.85 | 95.37 | 3174 | |
| 52818 | 36.42 | 94.92 | 2808 | |
| 52909 | 35.22 | 93.08 | 4612 | |
| 55279 | 31.37 | 90.02 | 4701 | |
| 55299 | 31.48 | 92.07 | 4507 | |
| 55472 | 30.95 | 88.63 | 4670 | |
| 55493 | 30.48 | 91.1 | 4200 | |
| 56004 | 34.22 | 92.43 | 4533 | |
| 56018 | 32.88 | 95.28 | 4066 | |
| 56021 | 34.7 | 95.48 | 4175 | |
| 56106 | 31.88 | 93.78 | 4024 | |
| 56116 | 31.42 | 95.6 | 3874 | |
| Integrated observation station | XDT | 35.72 | 94.08 | 4538 |
| TGL | 33.04 | 91.56 | 5100 | |
| LDH | 31.49 | 91.44 | 4808 | |
| AYK | 37.32 | 88.48 | 4300 | |
| ZNH | 35.29 | 91.58 | 4784 | |
| Hydrologic station | 01153000 | 37.33 | 95.57 | 3396 |
| 01228220 | 36.3 | 94.78 | 2937 | |
| 01228300 | 36.39 | 94.6 | 2801 | |
| 01228400 | 36.72 | 93.57 | 2767 |
| Data Type | Abbreviations of the Dataset | Temporal Resolution | Spatial Resolution | Period Covered in Time | Reference |
|---|---|---|---|---|---|
| Satellite-derived products | GPM IMERG V06 | Half-hourly | 0.1° | 2000.6–2021.6 | NASA |
| GSMaP | Daily | 0.1° | 2001.1.1–present | JAXA | |
| CMORPH | Half-hourly | 8 km | 1998.1–present | NOAA | |
| PERSIANN-CDR | Daily | 0.25° | 1998.1–present | CHRS | |
| Fusion precipitation products | ERA5-Land | Hourly | 0.1° | 1981.1–present | ECMWF |
| CHIRPS | Daily | 0.05° | 2000.1–present | USGS | |
| CMFD | Three-hourly | 0.1° | 1979.1–2018.12 | NTPSDC | |
| TPHiPr | Daily | 1/30° | 1979.1–2020.12 | NTPSDC |
| Name | Formula | Perfect Value |
|---|---|---|
| Correlation Coefficient | 1 | |
| Root Mean Square Error | 0 | |
| Precision | 1 | |
| Probability of Detection | 1 | |
| False Alarm Ratio | 0 | |
| Critical Success Index | 1 |
| Data Type | Product | CC | RMSE (mm/d) | PC | POD | FAR | CSI |
|---|---|---|---|---|---|---|---|
| Satellite-derived products | GPM IMERG | 0.49 | 3.06 | 0.56 | 0.62 | 0.44 | 0.42 |
| GSMaP | 0.28 | 3.30 | 0.61 | 0.38 | 0.39 | 0.31 | |
| CMORPH | 0.35 | 4.22 | 0.39 | 0.34 | 0.61 | 0.22 | |
| PERSIANN-CDR | 0.46 | 2.72 | 0.42 | 0.81 | 0.58 | 0.38 | |
| Fusion precipitation products | ERA5-Land | 0.55 | 2.52 | 0.50 | 0.90 | 0.50 | 0.47 |
| CHIRPS | 0.41 | 3.16 | 0.48 | 0.34 | 0.52 | 0.25 | |
| CMFD | 0.66 | 2.17 | 0.61 | 0.77 | 0.39 | 0.52 | |
| TPHiPr | 0.73 | 2.01 | 0.62 | 0.82 | 0.38 | 0.55 |
Disclaimer/Publisher’s Note: The statements, opinions and data contained in all publications are solely those of the individual author(s) and contributor(s) and not of MDPI and/or the editor(s). MDPI and/or the editor(s) disclaim responsibility for any injury to people or property resulting from any ideas, methods, instructions or products referred to in the content. |
© 2024 by the authors. Licensee MDPI, Basel, Switzerland. This article is an open access article distributed under the terms and conditions of the Creative Commons Attribution (CC BY) license (https://creativecommons.org/licenses/by/4.0/).
Share and Cite
Sun, M.; Liu, A.; Zhao, L.; Wang, C.; Yang, Y. Evaluation of Multi-Source Precipitation Products in the Hinterland of the Tibetan Plateau. Atmosphere 2024, 15, 138. https://doi.org/10.3390/atmos15010138
Sun M, Liu A, Zhao L, Wang C, Yang Y. Evaluation of Multi-Source Precipitation Products in the Hinterland of the Tibetan Plateau. Atmosphere. 2024; 15(1):138. https://doi.org/10.3390/atmos15010138
Chicago/Turabian StyleSun, Min, Aili Liu, Lin Zhao, Chong Wang, and Yating Yang. 2024. "Evaluation of Multi-Source Precipitation Products in the Hinterland of the Tibetan Plateau" Atmosphere 15, no. 1: 138. https://doi.org/10.3390/atmos15010138
APA StyleSun, M., Liu, A., Zhao, L., Wang, C., & Yang, Y. (2024). Evaluation of Multi-Source Precipitation Products in the Hinterland of the Tibetan Plateau. Atmosphere, 15(1), 138. https://doi.org/10.3390/atmos15010138

