Organic and Elemental Carbon in the Urban Background in an Eastern Mediterranean City
Abstract
:1. Introduction
2. Materials and Methods
2.1. Aerosol Measurement
2.2. Gravimetric and OC/EC Chemical Analysis
2.3. Ambient Conditions and Air Mass Trajectories Measurement
3. Results and Discussion
3.1. An Overview of PM Concentrations
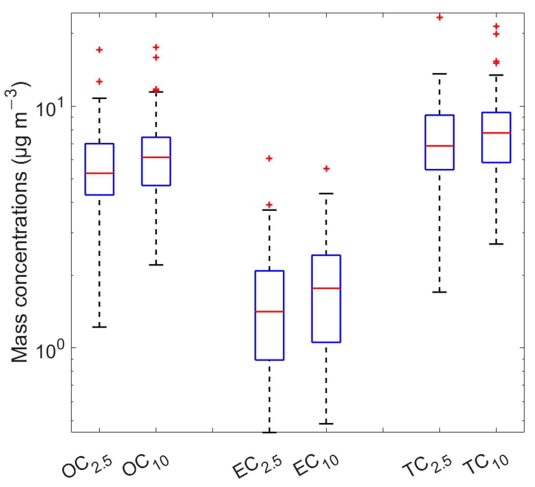
3.2. Organic and Elemental Carbon Concentrations
3.3. Changes during Sand and Dust Storms (SDS)
4. Conclusions
Supplementary Materials
Author Contributions
Funding
Institutional Review Board Statement
Informed Consent Statement
Data Availability Statement
Acknowledgments
Conflicts of Interest
References
- Geron, C. Carbonaceous aerosol over a Pinus taeda forest in Central North Carolina, USA. Atmos. Environ. 2009, 43, 959–969. [Google Scholar] [CrossRef]
- Lin, P.; Hu, M.; Deng, Z.; Slanina, J.; Han, S.; Kondo, Y.; Takegawa, N.; Miyazaki, Y.; Zhao, Y.; Sugimoto, N. Seasonal and diurnal variations of organic carbon in PM2.5 in Beijing and the estimation of secondary organic carbon. J. Geophys. Res. 2009, 114, D00G11. [Google Scholar] [CrossRef]
- von Schneidemesser, E.; Zhou, J.; Stone, E.A.; Schauer, J.J.; Qasrawi, R.; Abdeen, Z.; Shpund, J.; Vanger, A.; Sharf, G.; Moise, T.; et al. Seasonal and spatial trends in the sources of fine particle organic carbon in Israel, Jordan, and Palestine. Atmos. Environ. 2010, 44, 3669–3678. [Google Scholar] [CrossRef]
- Carrico, C.M.; Bergin, M.H.; Shrestha, A.B.; Dibb, J.E.; Gomes, L.; Harris, J.M. The importance of carbon and mineral dust to seasonal aerosol properties in the Nepal Himalaya. Atmos. Environ. 2003, 37, 2811–2824. [Google Scholar] [CrossRef]
- Schauer, J.J.; Rogge, W.F.; Hildemann, L.M.; Mazurek, M.A.; Cass, G.R.; Simoneit, B.R.T. Source apportionment of airborne particulate matter using organic compounds as tracers. Atmos. Environ. 1996, 30, 3837–3855. [Google Scholar] [CrossRef]
- Sillanpää, M.; Frey, A.; Hillamo, R.; Pennanen, A.S.; Salonen, R.O. Organic, elemental and inorganic carbon in particulate matter of six urban environments in Europe. Atmos. Chem. Phys. 2005, 5, 2869–2879. [Google Scholar] [CrossRef] [Green Version]
- Stone, E.A.; Snyder, D.C.; Sheesley, R.J.; Sullivan, A.P.; Weber, R.J.; Schauer, J.J. Source apportionment of fine organic aerosol in Mexico City during the MILAGRO experiment 2006. Atmos. Chem. Phys. 2008, 8, 1249–1259. [Google Scholar] [CrossRef] [Green Version]
- Kanakidou, M.; Seinfeld, J.H.; Pandis, S.N.; Barnes, I.; Dentener, F.J.; Facchini, M.C.; van Dingenen, R.; Ervens, B.; Nenes, A.; Nielsen, C.J.; et al. Organic aerosol and global climate modelling: A review. Atmos. Chem. Phys. 2005, 5, 1053–1123. [Google Scholar] [CrossRef] [Green Version]
- Bond, T.C.; Doherty, S.J.; Fahey, D.W.; Forster, P.M.; Berntsen, T.; Deangelo, B.J.; Flanner, M.G.; Ghan, S.; Kärcher, B.; Koch, D.; et al. Bounding the role of black carbon in the climate system: A scientific assessment. J. Geophys. Res. Atmos. 2013, 118, 5380–5552. [Google Scholar] [CrossRef]
- Ramanathan, V.; Carmichael, G. Global and regional climate changes due to black carbon. Nat. Geosci. 2008, 1, 221–227. [Google Scholar] [CrossRef]
- Robinson, A.L.; Donahue, N.M.; Shrivastava, M.K.; Weitkamp, E.A.; Sage, A.M.; Grieshop, A.P.; Lane, T.E.; Pierce, J.R.; Pandis, S.N. Rethinking organic aerosols: Semivolatile emissions and photochemical aging. Science 2007, 315, 1259–1262. [Google Scholar] [CrossRef] [PubMed]
- McMurry, P.; Shepherd, M.; Vickery, J. Particulate Matter Science for Policy Makers: A Narsto Assessment; Cambridge University Press: New York, NY, USA, 2004. [Google Scholar]
- Hu, Y.; Odman, M.T.; Russell, A.G. Top-down analysis of the elemental carbon emissions inventory in the United States by inverse modeling using Community Multiscale Air Quality model with decoupled direct method (CMAQ-DDM). J. Geophys. Res. Atmos. 2009, 114, 11987. [Google Scholar] [CrossRef] [Green Version]
- Zhu, J.J.; Chen, Y.C.; Shie, R.H.; Liu, Z.S.; Hsu, C.Y. Predicting carbonaceous aerosols and identifying their source contribution with advanced approaches. Chemosphere 2021, 266, 128966. [Google Scholar] [CrossRef] [PubMed]
- Jacobson, M.Z. Strong radiative heating due to the mixing state of black carbon in atmospheric aerosols. Nature 2001, 409, 695–697. [Google Scholar] [CrossRef] [PubMed]
- Menon, S.; Hansen, J.; Nazarenko, L.; Luo, Y. Climate effects of black carbon aerosols in China and India. Science 2002, 297, 2250–2253. [Google Scholar] [CrossRef] [Green Version]
- Turpin, B.J.; Huntzicker, J.J. Identification of secondary organic aerosol episodes and quantitation of primary and secondary organic aerosol concentrations during SCAQS. Atmos. Environ. 1995, 29, 3527–3544. [Google Scholar] [CrossRef]
- Feng, Y.; Ramanathan, V.; Kotamarthi, V.R. Brown carbon: A significant atmospheric absorber of solar radiation? Atmos. Chem. Phys. 2013, 13, 8607–8621. [Google Scholar] [CrossRef] [Green Version]
- Laskin, A.; Laskin, J.; Nizkorodov, S.A. Chemistry of Atmospheric Brown Carbon. Chem. Rev. 2015, 115, 4335–4382. [Google Scholar] [CrossRef] [Green Version]
- Pandey, A.; Hsu, A.; Tiwari, S.; Pervez, S.; Chakrabarty, R.K. Light absorption by organic aerosol emissions rivals that of black carbon from residential biomass fuels in South Asia. Environ. Sci. Technol. Lett. 2020, 7, 266–272. [Google Scholar] [CrossRef]
- Pani, S.K.; Lin, N.-H.; Griffith, S.M.; Chantara, S.; Lee, C.-T.; Thepnuan, D.; Tsai, Y.I. Brown carbon light absorption over an urban environment in northern peninsular Southeast Asia. Environ. Pollut. 2021, 276, 116735. [Google Scholar] [CrossRef]
- Chuang, K.J.; Chan, C.C.; Su, T.C.; Lee, C.T.; Tang, C.S. The effect of urban air pollution on inflammation, oxidative stress, coagulation, and autonomic dysfunction in young adults. Am. J. Respir. Crit. Care Med. 2007, 176, 370–376. [Google Scholar] [CrossRef] [PubMed]
- Ostro, B.; Feng, W.Y.; Broadwin, R.; Green, S.; Lipsett, M. The effects of components of fine particulate air pollution on mortality in California: Results from CALFINE. Environ. Health Perspect. 2007, 115, 13–19. [Google Scholar] [CrossRef] [PubMed] [Green Version]
- Peng, R.D.; Bell, M.L.; Geyh, A.S.; McDermott, A.; Zeger, S.L.; Samet, J.M.; Dominici, F. Emergency admissions for cardiovascular and respiratory diseases and the chemical composition of fine particle air pollution. Environ. Health Perspect. 2009, 117, 957–963. [Google Scholar] [CrossRef] [PubMed] [Green Version]
- Zhou, J.; Ito, K.; Lall, R.; Lippmann, M.; Thurston, G. Time-series analysis of mortality effects of fine particulate matter components in Detroit and seattle. Environ. Health Perspect. 2011, 119, 461–466. [Google Scholar] [CrossRef]
- Wang, Y.C.; Lin, Y.K. Mortality associated with particulate concentration and Asian dust storms in Metropolitan Taipei. Atmos. Environ. 2015, 117, 32–40. [Google Scholar] [CrossRef]
- Pope, C.A.; Dockery, D.W. Health Effects of Fine Particulate Air Pollution: Lines that Connect. J. Air Waste Manag. Assoc. 2006, 56, 709–742. [Google Scholar] [CrossRef]
- Pope III, C.A. Lung Cancer, Cardiopulmonary Mortality, and Long-term Exposure to Fine Particulate Air Pollution. JAMA 2002, 287, 1132–1141. [Google Scholar] [CrossRef] [Green Version]
- Hoek, G.; Krishnan, R.M.; Beelen, R.; Peters, A.; Ostro, B.; Brunekreef, B.; Kaufman, J.D. Long-term air pollution exposure and cardio- respiratory mortality: A review. J. Environ. Health 2013, 12, 43. [Google Scholar] [CrossRef] [Green Version]
- Engling, G.; Gelencsér, A. Atmospheric brown clouds: From local air pollution to climate change. Elements 2010, 6, 223–228. [Google Scholar] [CrossRef]
- Park, R.J.; Jacob, D.J.; Chin, M.; Martin, R.V. Sources of carbonaceous aerosols over the United States and implications for natural visibility. J. Geophys. Res. Atmos. 2003, 108, 12. [Google Scholar] [CrossRef]
- Mauderly, J.L.; Chow, J.C. Health effects of organic aerosols. Inhal. Toxicol. 2008, 20, 257–288. [Google Scholar] [CrossRef] [PubMed]
- Small, I.; van der Meer, J.; Upshur, R.E. Acting on an environmental health disaster: The case of the Aral Sea. Environ. Health Perspect. 2001, 109, 547–549. [Google Scholar] [CrossRef] [PubMed]
- Menéndez, I.; Díaz-Hernández, J.L.; Mangas, J.; Alonso, I.; Sánchez-Soto, P.J. Airborne dust accumulation and soil development in the North-East sector of Gran Canaria (Canary Islands, Spain). J. Arid Environ. 2007, 71, 57–81. [Google Scholar] [CrossRef] [Green Version]
- McTainsh, G.; Strong, C. The role of aeolian dust in ecosystems. Geomorphology 2007, 89, 39–54. [Google Scholar] [CrossRef]
- Goudie, A.S. Dust storms: Recent developments. J. Environ. Manag. 2009, 90, 89–94. [Google Scholar] [CrossRef]
- Karanasiou, A.; Moreno, N.; Moreno, T.; Viana, M.; de Leeuw, F.; Querol, X. Health effects from Sahara dust episodes in Europe: Literature review and research gaps. Environ. Int. 2012, 47, 107–114. [Google Scholar] [CrossRef]
- Rezazadeh, M.; Irannejad, P.; Shao, Y. Climatology of the Middle East dust events. Aeolian Res. 2013, 10, 103–109. [Google Scholar] [CrossRef]
- Almasi, A.; Mousavi, A.R.; Bakhshi, S.; Namdari, F. Dust storms and environmental health impacts. J. Middle East Appl. Sci. Technol. 2014, 8, 353–356. [Google Scholar]
- Goudie, A.S. Desert dust and human health disorders. Environ. Int. 2014, 63, 101–113. [Google Scholar] [CrossRef]
- Díaz, J.; Linares, C.; Carmona, R.; Russo, A.; Ortiz, C.; Salvador, P.; Trigo, R.M. Saharan dust intrusions in Spain: Health impacts and associated synoptic conditions. Environ. Res. 2017, 156, 455–467. [Google Scholar] [CrossRef]
- Middleton, N.J. Desert dust hazards: A global review. Aeolian Res. 2017, 24, 53–63. [Google Scholar] [CrossRef]
- Contini, D.; Vecchi, R.; Viana, M. Carbonaceous aerosols in the atmosphere. Atmosphere 2018, 9, 181. [Google Scholar] [CrossRef] [Green Version]
- Hussein, T.; Li, X.; Al-Dulaimi, Q.; Daour, S.; Atashi, N.; Viana, M.; Alastuey, A.; Sogacheva, L.; Arar, S.; Al-Hunaiti, A.; et al. Particulate matter concentrations in a middle eastern city – an insight to sand and dust storm episodes. Aerosol Air Qual. Res. 2020, 20, 2780–2792. [Google Scholar] [CrossRef]
- Querol, X.; Alastuey, A.; Rodrıguez, S.; Viana, M.M.; Artıñano, B.; Salvador, P.; Mantilla, E.; do Santos, S.G.; Patier, R.F.; de La Rosa, J.; et al. Levels of particulate matter in rural, urban and industrial sites in Spain. Sci. Total Environ. 2004, 334, 359–376. [Google Scholar] [CrossRef] [PubMed]
- Birch, M.E.; Cary, R.A. Elemental Carbon-Based Method for Monitoring Occupational Exposures to Particulate Diesel Exhaust. Aerosol Sci. Technol. 1996, 25, 221–241. [Google Scholar] [CrossRef]
- Cavalli, F.; Viana, M.; Yttri, K.E.; Genberg, J.; Putaud, J.-P. Toward a standardised thermal-optical protocol for measuring atmospheric organic and elemental carbon: The EUSAAR protocol. Atmos. Meas. Technol. 2010, 3, 79–89. [Google Scholar] [CrossRef] [Green Version]
- Viana, M.; Maenhaut, W.; Chi, X.; Querol, X.; Alastuey, A. Comparative chemical mass closure of fine and coarse aerosols at two sites in south and west Europe: Implications for EU air pollution policies. Atmos. Environ. 2007, 41, 315–326. [Google Scholar] [CrossRef]
- Draxler, R. Personal Communication (Memo); Hess, G.D., Ed.; Air Resources Laboratory: Silver Spring, MD, USA; Bureau of Meteorology Research Centre: Melbourne, Australia, 1997.
- Stein, A.F.; Draxler, R.R.; Rolph, G.D.; Stunder, B.J.B.; Cohen, M.D.; Ngan, F. NOAA’s HYSPLIT Atmospheric Transport and Dispersion Modeling System. Bull. Am. Meteorol. Soc. 2015, 96, 2059–2077. [Google Scholar] [CrossRef]
- Ambient (Outdoor) Air Quality Database 2018 by Country and City. Available online: https://www.who.int/airpollution/data/aap_air_quality_database_2018_v14.xlsx?ua=1, ap_air_quality_database_2018_v14.xlsx (accessed on 20 March 2020).
- WHO Global Air Quality Guidelines. Available online: https://apps.who.int/iris/bitstream/handle/10665/345329/9789240034228-eng.pdf?sequence=1andisAllowed=y (accessed on 28 November 2021).
- Millet, D.B. Atmospheric volatile organic compound measurements during the Pittsburgh Air Quality Study: Results, interpretation, and quantification of primary and secondary contributions. J. Geophys. Res. 2005, 110, D07S07. [Google Scholar] [CrossRef]
- Saarikoski, S.; Timonen, H.; Saarnio, K.; Aurela, M.; Järvi, L.; Keronen, P.; Kerminen, V.-M.; Hillamo, R. Sources of organic carbon in fine particulate matter in northern European urban air. Atmos. Chem. Phys. 2008, 8, 6281–6295. [Google Scholar] [CrossRef] [Green Version]
- Genberg, J.; Hyder, M.; Stenström, K.; Bergström, R.; Simpson, D.; Fors, E.O.; Jönsson, J.Å.; Swietlicki, E. Source apportionment of carbonaceous aerosol in southern Sweden. Atmos. Chem. Phys. 2011, 11, 11387–11400. [Google Scholar] [CrossRef] [Green Version]
- Hu, W.W.; Hu, M.; Deng, Z.Q.; Xiao, R.; Kondo, Y.; Takegawa, N.; Zhao, Y.J.; Guo, S.; Zhang, Y.H. The characteristics and origins of carbonaceous aerosol at a rural site of PRD in summer of 2006. Atmos. Chem. Phys. 2012, 12, 1811–1822. [Google Scholar] [CrossRef] [Green Version]
- Vodička, P.; Schwarz, J.; Ždímal, V. Analysis of one year’s OC/EC data at a Prague suburban site with 2-h time resolution. Atmos. Environ. 2013, 77, 865–872. [Google Scholar] [CrossRef]
- Heal, M.R.; Hammonds, M.D. Insights into the Composition and Sources of Rural, Urban and Roadside Carbonaceous PM10. Environ. Sci. Technol. 2014, 48, 8995–9003. [Google Scholar] [CrossRef] [PubMed]
- Huang, X.H.H.; Bian, Q.J.; Louie, P.K.K.; Yu, J.Z. Contributions of vehicular carbonaceous aerosols to PM2.5 in a roadside environment in Hong Kong. Atmos. Chem. Phys. 2014, 14, 9279–9293. [Google Scholar] [CrossRef] [Green Version]
- Huang, X.H.; Bian, Q.; Ng, W.M.; Louie, P.K.; Yu, J.Z. Characterization of PM2.5 Major Components and Source Investigation in Suburban Hong Kong: A One Year Monitoring Study. Aerosol Air Qual. Res. 2014, 14, 237–250. [Google Scholar] [CrossRef]
- He, K.; Yang, F.; Ma, Y.; Zhang, Q.; Yao, X.; Chan, C.K.; Cadle, S.; Chan, T.; Mulawa, P. The characteristics of PM2.5 in Beijing, China. Atmos. Environ. 2001, 35, 4959–4970. [Google Scholar] [CrossRef]
- Kim, Y.P.; Moon, K.C.; Lee, J.H.; Baik, N.J. Concentrations of carbonaceous species in particles at Seoul and Cheju in Korea. Atmos. Environ. 1999, 33, 2751–2758. [Google Scholar] [CrossRef]
- Yamagami, M.; Ikemori, F.; Nakashima, H.; Hisatsune, K.; Ueda, K.; Wakamatsu, S.; Osada, K. Trends in PM2.5 Concentration in Nagoya, Japan, from 2003 to 2018 and Impacts of PM2.5 Countermeasures. Atmosphere 2021, 12, 590. [Google Scholar] [CrossRef]
- Maykut, N.N.; Lewtas, J.; Kim, E.; Larson, T.V. Source apportionment of PM2. 5 at an urban IMPROVE site in Seattle, Washington. Environ. Sci. Technol. 2003, 37, 5135–5142. [Google Scholar] [CrossRef]
- Bian, Q.; Alharbi, B.; Shareef, M.M.; Husain, T.; Pasha, M.J.; Atwood, S.A.; Kreidenweis, S.M. Sources of PM2.5 carbonaceous aerosol in Riyadh, Saudi Arabia. Atmos. Chem. Phys. 2018, 18, 3969–3985. [Google Scholar] [CrossRef] [Green Version]
- Grivas, G.; Cheristanidis, S.; Chaloulakou, A. Elemental and organic carbon in the urban environment of Athens. Seasonal and diurnal variations and estimates of secondary organic carbon. Sci. Total Environ. 2012, 414, 535–545. [Google Scholar] [CrossRef] [PubMed]
- Arfaeinia, H.; Hashemi, S.E.; Alamolhoda, A.A.; Kermani, M. Evaluation of organic carbon, elemental carbon, and water soluble organic carbon concentration in PM2.5 in the ambient air of Sina Hospital district, Tehran, Iran. J. Adv. Environ. Health Res. 2016, 4, 95–101. [Google Scholar] [CrossRef]
- Brown, K.W.; Bouhamra, W.; Lamoureux, D.P.; Evans, J.S.; Koutrakis, P. Characterization of particulate matter for three sites in Kuwait. J. Air Waste Manag. Assoc. 2008, 58, 994–1003. [Google Scholar] [CrossRef] [PubMed]
- Waked, A.; Afif, C.; Brioude, J.; Formenti, P.; Chevaillier, S.; Haddad, I.E.; Seigneur, C. Composition and source apportionment of organic aerosol in Beirut, Lebanon, during winter 2012. Aerosol Sci. Technol. 2013, 47, 1258–1266. [Google Scholar] [CrossRef] [Green Version]
- Juda-Rezler, K.; Reizer, M.; Maciejewska, K.; Błaszczak, B.; Klejnowski, K. Characterization of atmospheric PM2.5 sources at a Central European urban background site. Sci. Total Environ. 2020, 713, 136729. [Google Scholar] [CrossRef]
- Viana, M.; Chi, X.; Maenhaut, W.; Querol, X.; Alastuey, A.; Mikuška, P.; Večeřa, Z. Organic and elemental carbon concentrations in carbonaceous aerosols during summer and winter sampling campaigns in Barcelona, Spain. Atmos. Environ. 2006, 40, 2180–2193. [Google Scholar] [CrossRef]
- Siciliano, T.; Siciliano, M.; Malitesta, C.; Proto, A.; Cucciniello, R.; Giove, A.; Genga, A. Carbonaceous PM10 and PM2.5 and secondary organic aerosol in a coastal rural site near Brindisi (Southern Italy). Environ. Sci. Pollut. Res. 2018, 25, 23929–23945. [Google Scholar] [CrossRef]
- Khan, M.B.; Masiol, M.; Formenton, G.; Di Gilio, A.; de Gennaro, G.; Agostinelli, C.; Pavoni, B. Carbonaceous PM2.5 and secondary organic aerosol across the Veneto region (NE Italy). Sci. Total Environ. 2016, 542, 172–181. [Google Scholar] [CrossRef]
- Tian, Y.Z.; Xiao, Z.M.; Han, B.; Shi, G.L.; Wang, W.; Hao, H.Z.; Zhu, T. Seasonal study of primary and secondary sources of carbonaceous species in PM10 from five northern Chinese cities. Aerosol Air Qual. Res. 2013, 13, 148–161. [Google Scholar] [CrossRef]
- Arif, M.; Kumar, R.; Kumar, R.; Zusman, E.; Singh, R.P.; Gupta, A. Assessment of indoor & outdoor black carbon emissions in rural areas of Indo-Gangetic Plain: Seasonal characteristics, source apportionment and radiative forcing. Atmos. Environ. 2018, 191, 227–240. [Google Scholar] [CrossRef]
- Salmon, L.G.; Mayo, P.R.; Cass, G.R.; Seinfeld, J.H. Determination of Elemental Carbon and Organic Carbon Concentrations During the Southern California Children’s Health Study, 1999–2001; Final report preparaed for the California Air Resources Board and the California Environmental Protection Agency, Research Division, University of California: Berkeley, CA, USA, 2004.
- Alam, K.; Mukhtar, A.; Shahid, I.; Blaschke, T.; Majid, H.; Rahman, S.; Rahman, N. Source apportionment and characterization of particulate matter (PM10) in urban environment of Lahore. Aerosol Air Qual. Res. 2014, 14, 1851–1861. [Google Scholar] [CrossRef]
- Samara, C.; Voutsa, D.; Kouras, A.; Eleftheriadis, K.; Maggos, T.; Saraga, D.; Petrakakis, M. Organic and elemental carbon associated to PM10 and PM2.5 at urban sites of northern Greece. Environ. Sci. Pollut. Res. 2014, 21, 1769–1785. [Google Scholar] [CrossRef] [PubMed]
- Salma, I.; Chi, X.; Maenhaut, W. Elemental and organic carbon in urban canyon and background environments in Budapest, Hungary. Atmos. Environ. 2004, 38, 27–36. [Google Scholar] [CrossRef]
- Shrivastava, M.; Cappa, C.D.; Fan, J.; Goldstein, A.H.; Guenther, A.B.; Jimenez, J.L.; Kuang, C.; Laskin, A.; Martin, S.T.; Ng, N.L.; et al. Recent advances in understanding secondary organic aerosol: Implications for global climate forcing. Rev. Geophys. 2017, 55, 509–559. [Google Scholar] [CrossRef] [Green Version]
- Manousakas, M.I.; Florou, K.; Pandis, S.N. Source Apportionment of Fine Organic and Inorganic Atmospheric Aerosol in an Urban Background Area in Greece. Atmosphere 2020, 11, 330. [Google Scholar] [CrossRef] [Green Version]
- Chen, G.; Sosedova, Y.; Canonaco, F.; Fröhlich, R.; Tobler, A.; Vlachou, A.; Daellenbach, K.R.; Bozzetti, C.; Hueglin, C.; Graf, P.; et al. Time-dependent source apportionment of submicron organic aerosol for a rural site in an alpine valley using a rolling positive matrix factorisation (PMF) window. Atmos. Chem. Phys. 2021, 21, 15081–15101. [Google Scholar] [CrossRef]







| Location | Year | Background | PM2.5 | OC2.5 | OC2.5/PM2.5 | EC2.5 | EC2.5/PM2.5 | OC/EC | References |
|---|---|---|---|---|---|---|---|---|---|
| Amman, Jordan | 2018–2019 | Urban and residence | 47 ± 32 | 5.9 ± 2.8 | 12.6% | 1.65 ± 1.06 | 3.5% | 3.6 | This study |
| Beijing, China | 2000 | Urban and residence | 127 | 29.1 | 22.9% | 10.1 | 7.95% | 2.88 | He et al. [61] |
| Chegongzhuang, China | 2000 | Urban and residence | 115 | 21.5 | 18.7% | 8.7 | 7.6% | 2.47 | He et al. [61] |
| Seoul, South Korea | 1997 | Urban | - | 2.97 | - | 0.32 | - | - | Kim et al. [62] |
| Nagoya, Japan | 2003–2019 | Residence | - | 3.3 | - | 0.7 | - | - | Yamagami et al. [63] |
| Seattle, USA | 1996–1999 | Urban | 8.9 ± 7.5 | 2.2 (modeled) | 24.7% | 0.852 (modeled) | 9.6% | - | Maykut et al., [64] |
| Riyadh, Saudi Arabia | 2012 | Urban | - | 4.7 ± 4.4 | - | 2.1 ± 2.5 | - | - | Bian et al. [65] |
| Athens, Greece | 2003 | Urban | - | 6.8 | - | 2.2 | - | - | Grivas et al. [66] |
| Tehran, Iran | 2013–2014 | Urban | 41.19 | 15.35 ± 6.05 | 37.3% | 2.25 ± 0.65 | 5.5% | 6.82 ± 2.30 | Arfaeinia et al. [67] |
| Kuwait | 2004–2005 | Residence | 30.8 ± 16.6 | 3.4 ± 1.4 | 11.0% | 1.9 ± 0.9 | 6.2% | 1.8 | Brown et al. [68] |
| Amman, Jordan | 2007 | Residence and commerce | 40 ± 9 | 6.7 ± 0.5 | 16.8% | 2.6 ± 0.8 | 6.5% | 2.8 ± 0.7 | von Schneidemesser et al. [3] |
| Eilat, Israel | 2007 | Residence | 21 ± 4 | 3.3 ± 0.6 | 15.7% | 0.82 ± 0.1 | 4.0% | 4.1 ± 0.9 | von Schneidemesser et al. [3] |
| East Jerusalem, Palestine | 2007 | Residence and commerce | 27 ± 10 | 5.6 ± 1.4 | 20.7% | 2.2 ± 0.5 | 8.1% | 2.6 ± 0.7 | von Schneidemesser et al. [3] |
| Beirut, Lebanon | 2011 | Urban | 21.9 | 5.6 | 25.6% | 1.8 | 8.22% | - | Waked et al. [69] |
| Warsaw, Poland | 2016 | Urban | 18.8 ± 11.9 | 5.56 | 29.6% | 1.47 | 7.8% | 3.7 | Juda-Rezler et al. [70] |
| Barcelona, Spain | 2004 | Urban | 16.4–17.7 | 3–4 (summer) | 17–25% | 1–2 (summer) | 6–12.5% | - | Viana et al. [71] |
| Apulia region, Italy | 2015 | Costal rural | 11 ± 6 | 3.5 ± 2.8 | 31.8% | 0.35 ± 0.18 | 3.2% | - | Siciliano et al. [72] |
| Italy | 2012–2013 | Veneto Province | - | 5.5 | - | 1.3 | - | 4.54 | Khan et al. [73] |
| Location | Year | Background | PM10 | OC10 | OC10/PM10 | EC10 | EC10/PM10 | OC/EC | References |
|---|---|---|---|---|---|---|---|---|---|
| Amman, Jordan | 2018–2019 | Urban and residence | 64 ± 39 | 6.5 ± 3.04 | 10.2% | 1.9 ± 1.07 | 3.0% | 3.4 | This study |
| Taiyuan, China | 2001–2002 | Urban | 146.36 | 25.89 (summer) | 17.7% | 6.82 (summer) | 4.7% | - | Tian et al. [74] |
| Seoul, South Korea | 1994 | Urban | - | 11.1 | - | 8.39 | - | - | Kim et al. [66] |
| Indo-Gangetic Plain, India | 2015–2016 | Residence | 283 ± 61 | 74.2 ± 14 (Night) | 26.2% | - | - | - | Arif et al. [75] |
| Indo-Gangetic Plain, India | 2015–2016 | Residence | 167 ± 45 | 44.3 ± 8.9 (Day) | 26.5% | - | - | - | Arif et al. [75] |
| Mira Loma, USA | 2001 | Urban plume | - | 15.91 ± 6.81 | - | 1.56 ± 0.56 | - | - | Salmon et al. [76] |
| Lahore, Pakistan | 2010 | Urban | 406.2 | 63 | 15.5% | 21 | 5.2% | 3.9 ± 1.6 | Alam et al. [77] |
| Thessaloniki, Greece | 2012 | Urban | 51.1 ± 14 | 11.3 ± 5.0 | 22.1% | 6.56 ± 2.14 | 12.8% | 1.96 ± 1.16 | Samara et al. [78] |
| Barcelona, Spain | 2004 | Urban | 29.5 ± 8.5 | 4 (summer) | 13.6% | 1 (summer) | 3.4% | - | Viana et al. [71] |
| Budapest, Hungary | 2002 | Near-city | 54 | 11 | 20.4% | 3.6 | 6.7% | - | Salma et al. [79] |
| Apulia region, Italy | 2015 | Coastal rural | 23 ± 14 | 5 ± 4 | 21.7% | 0.41 ± 0.19 | 1.8% | 11.3 | Siciliano et al. [72] |
| Prague, Czech Republic | - | Suburb and | 33 ± 23 | 5.5 | 16.7% | 0.74 | 2.2% | 8 ± 3.4 | Vodička et al. [57] |
| Downtown | 37 ± 22 | 4.8 | 13.0% | 0.8 | 2.2% | 5.8 ± 3.3 | Vodička et al. [57] |
Publisher’s Note: MDPI stays neutral with regard to jurisdictional claims in published maps and institutional affiliations. |
© 2022 by the authors. Licensee MDPI, Basel, Switzerland. This article is an open access article distributed under the terms and conditions of the Creative Commons Attribution (CC BY) license (https://creativecommons.org/licenses/by/4.0/).
Share and Cite
Hussein, T.; Li, X.; Bakri, Z.; Alastuey, A.; Arar, S.; Al-Hunaiti, A.; Viana, M.; Petäjä, T. Organic and Elemental Carbon in the Urban Background in an Eastern Mediterranean City. Atmosphere 2022, 13, 197. https://doi.org/10.3390/atmos13020197
Hussein T, Li X, Bakri Z, Alastuey A, Arar S, Al-Hunaiti A, Viana M, Petäjä T. Organic and Elemental Carbon in the Urban Background in an Eastern Mediterranean City. Atmosphere. 2022; 13(2):197. https://doi.org/10.3390/atmos13020197
Chicago/Turabian StyleHussein, Tareq, Xinyang Li, Zaid Bakri, Andres Alastuey, Sharif Arar, Afnan Al-Hunaiti, Mar Viana, and Tuukka Petäjä. 2022. "Organic and Elemental Carbon in the Urban Background in an Eastern Mediterranean City" Atmosphere 13, no. 2: 197. https://doi.org/10.3390/atmos13020197
APA StyleHussein, T., Li, X., Bakri, Z., Alastuey, A., Arar, S., Al-Hunaiti, A., Viana, M., & Petäjä, T. (2022). Organic and Elemental Carbon in the Urban Background in an Eastern Mediterranean City. Atmosphere, 13(2), 197. https://doi.org/10.3390/atmos13020197

