Change Points Detection and Trend Analysis to Characterize Changes in Meteorologically Normalized Air Pollutant Concentrations †
Abstract
1. Introduction
2. Materials and Methods
2.1. Study Area
2.2. Observational Dataset
2.3. Methodological Approach
2.3.1. RF Model Development and Meteorological Normalization Procedure
2.3.2. Structural Change and Trend Analysis
2.3.3. Metadata Analysis
3. Results and Discussion
3.1. Preliminary Statistical Analysis
3.2. RF Models Development and Performances
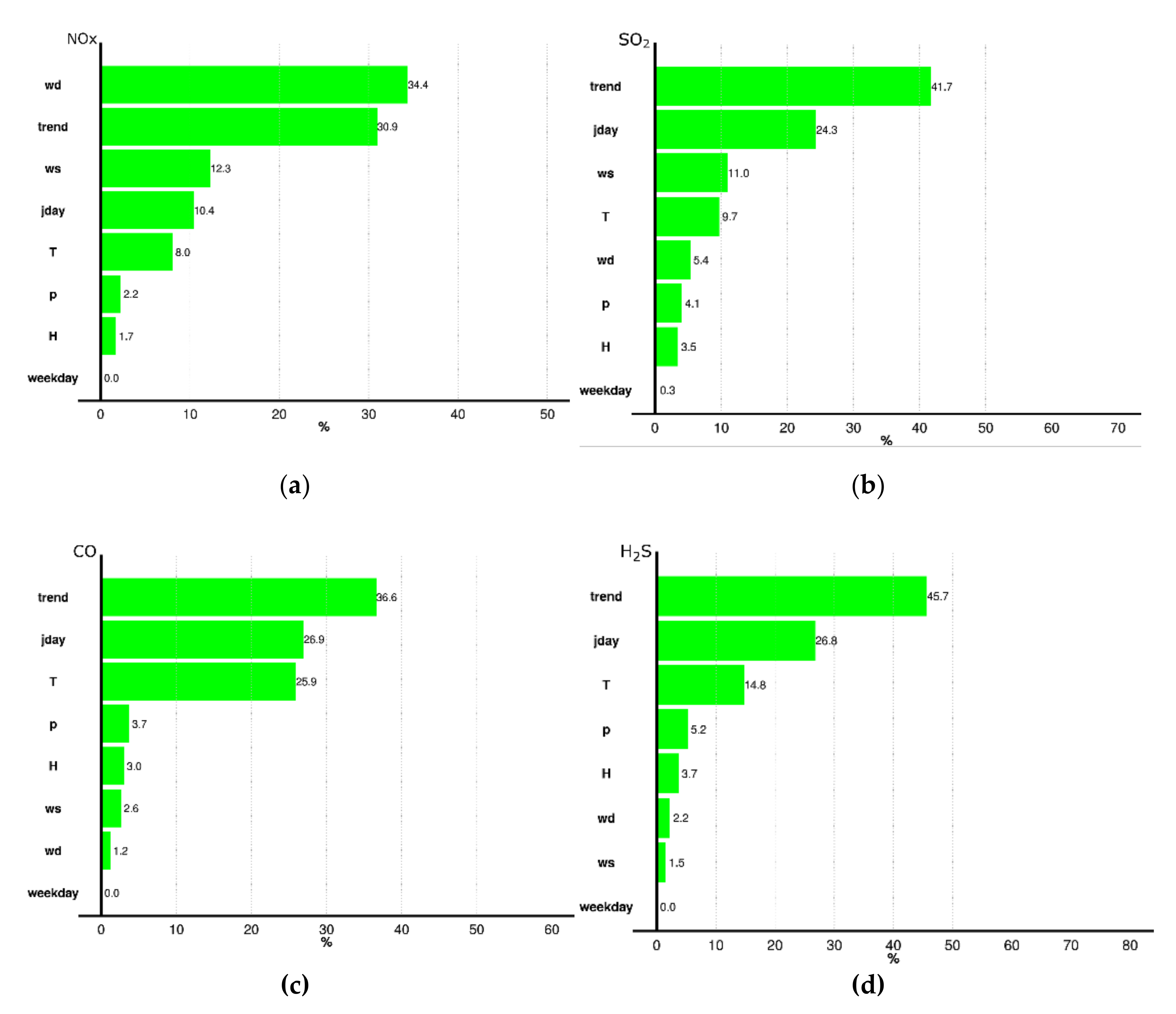
3.3. Meteorological Normalization, Change Points and Trend Analysis
4. Conclusions
Supplementary Materials
Author Contributions
Funding
Data Availability Statement
Acknowledgments
Conflicts of Interest
References
- World Health Organization. WHO Global Air Quality Guidelines: Particulate Matter (PM2.5 and PM10), Ozone, Nitrogen Dioxide, Sulfur Dioxide and Carbon Monoxide; World Health Organization: Geneva, Switzerland, 2021; ISBN 978-92-4-003422-8. [Google Scholar]
- Public Health England. Review of Interventions to Improve Outdoor Air Quality and Public Health; PHE Publications: London, UK, 2019. [Google Scholar]
- Henneman, L.R.F.; Liu, C.; Mulholland, J.A.; Russell, A.G. Evaluating the Effectiveness of Air Quality Regulations: A Review of Accountability Studies and Frameworks. J. Air Waste Manag. Assoc. 2017, 67, 144–172. [Google Scholar] [CrossRef]
- Air Quality Expert Group. Assessing the Effectiveness of Interventions on Air Quality; Department for Environment, Food and Rural Affairs, Scottish Government, Welsh Government and Department of Agriculture, Environment and Rural Affairs in Northern Ireland, 2020. Available online: https://ukair.defra.gov.uk/assets/documents/reports/cat09/2006240803_Assessing_the_effectiveness_of_Interventions_on_AQ.pdf (accessed on 26 August 2021).
- Pérez, I.A.; García, M.Á.; Sánchez, M.L.; Pardo, N.; Fernández-Duque, B. Key Points in Air Pollution Meteorology. Int. J. Environ. Res. Public Health 2020, 17, 8349. [Google Scholar] [CrossRef]
- Henneman, L.R.F.; Holmes, H.A.; Mulholland, J.A.; Russell, A.G. Meteorological Detrending of Primary and Secondary Pollutant Concentrations: Method Application and Evaluation Using Long-Term (2000–2012) Data in Atlanta. Atmos. Environ. 2015, 119, 201–210. [Google Scholar] [CrossRef]
- Kinney, P.L. Climate Change, Air Quality, and Human Health. Am. J. Prev. Med. 2008, 35, 459–467. [Google Scholar] [CrossRef]
- Thompson, M.L.; Reynolds, J.; Cox, L.H.; Guttorp, P.; Sampson, P.D. A Review of Statistical Methods for the Meteorological Adjustment of Tropospheric Ozone. Atmos. Environ. 2001, 35, 617–630. [Google Scholar] [CrossRef]
- Wise, E.K.; Comrie, A.C. Extending the Kolmogorov–Zurbenko Filter: Application to Ozone, Particulate Matter, and Meteorological Trends. J. Air Waste Manag. Assoc. 2005, 55, 1208–1216. [Google Scholar] [CrossRef]
- Akpinar, E.; Akpinar, S.; Öztop, H. Statistical Analysis of Meteorological Factors and Air Pollution at Winter Months in Elaziğ, Turkey. J. Urban Environ. Eng. 2009, 3, 7–16. [Google Scholar] [CrossRef]
- Gardner, M.; Dorling, S. Artificial Neural Network-Derived Trends in Daily Maximum Surface Ozone Concentrations. J. Air Waste Manag. Assoc. 2001, 51, 1202–1210. [Google Scholar] [CrossRef]
- Doreswamy, K.S.H.; Km, Y.; Gad, I. Forecasting Air Pollution Particulate Matter (PM2.5) Using Machine Learning Regression Models. Procedia Comput. Sci. 2020, 171, 2057–2066. [Google Scholar] [CrossRef]
- Grange, S.K.; Carslaw, D.C.; Lewis, A.C.; Boleti, E.; Hueglin, C. Random Forest Meteorological Normalisation Models for Swiss PM10 Trend Analysis. Atmos. Chem. Phys. 2018, 18, 6223–6239. [Google Scholar] [CrossRef]
- Petetin, H.; Bowdalo, D.; Soret, A.; Guevara, M.; Jorba, O.; Serradell, K.; Pérez García-Pando, C. Meteorology-Normalized Impact of COVID-19 Lockdown upon NO2 Pollution in Spain. Atmos. Chem. Phys. 2020, 20, 11119–11141. [Google Scholar] [CrossRef]
- Gagliardi, R.V.; Andenna, C. Machine Learning Meteorological Normalization Models for Trend Analysis of Air Quality Time Series. Int. J. EI 2021, 4, 375–389. [Google Scholar] [CrossRef]
- Grange, S.K.; Carslaw, D.C. Using Meteorological Normalisation to Detect Interventions in Air Quality Time Series. Sci. Total Environ. 2019, 653, 578–588. [Google Scholar] [CrossRef] [PubMed]
- Xiong, L.; Guo, S. Trend Test and Change-Point Detection for the Annual Discharge Series of the Yangtze River at the Yichang Hydrological Station/Test de Tendance et Détection de Rupture Appliqués Aux Séries de Débit Annuel Du Fleuve Yangtze à La Station Hydrologique de Yichang. Hydrol. Sci. J. 2004, 49, 99–112. [Google Scholar] [CrossRef]
- Guerreiro, C.B.B.; Foltescu, V.; de Leeuw, F. Air Quality Status and Trends in Europe. Atmos. Environ. 2014, 98, 376–384. [Google Scholar] [CrossRef]
- Chen, J.; Gupta, A.K. Parametric Statistical Change Point Analysis; Birkhäuser: Boston, MA, USA, 2012; ISBN 978-0-8176-4800-8. [Google Scholar]
- Huang, H.; Wang, Z.; Xia, F.; Shang, X.; Liu, Y.; Zhang, M.; Dahlgren, R.A.; Mei, K. Water Quality Trend and Change-Point Analyses Using Integration of Locally Weighted Polynomial Regression and Segmented Regression. Environ. Sci. Pollut. Res. 2017, 24, 15827–15837. [Google Scholar] [CrossRef]
- Jaiswal, R.K.; Lohani, A.K.; Tiwari, H.L. Statistical Analysis for Change Detection and Trend Assessment in Climatological Parameters. Environ. Process. 2015, 2, 729–749. [Google Scholar] [CrossRef]
- Suhaila, J.; Yusop, Z. Trend Analysis and Change Point Detection of Annual and Seasonal Temperature Series in Peninsular Malaysia. Meteorol. Atmos. Phys. 2018, 130, 565–581. [Google Scholar] [CrossRef]
- Nguyen, K.N.; Quarello, A.; Bock, O.; Lebarbier, E. Sensitivity of Change-Point Detection and Trend Estimates to GNSS IWV Time Series Properties. Atmosphere 2021, 12, 1102. [Google Scholar] [CrossRef]
- Garcia-Gonzales, D.A.; Shonkoff, S.B.C.; Hays, J.; Jerrett, M. Hazardous Air Pollutants Associated with Upstream Oil and Natural Gas Development: A Critical Synthesis of Current Peer-Reviewed Literature. Annu. Rev. Public Health 2019, 40, 283–304. [Google Scholar] [CrossRef] [PubMed]
- European Commission, Directorate General for Health and Food Safety. Opinion on the Public Health Impacts and Risks Resulting from Onshore Oil and Gas Exploration and Exploitation in the EU; Publications Office: Luxembourg, 2018. [Google Scholar]
- Johnston, J.E.; Lim, E.; Roh, H. Impact of Upstream Oil Extraction and Environmental Public Health: A Review of the Evidence. Sci. Total Environ. 2019, 657, 187–199. [Google Scholar] [CrossRef]
- Granella, F.; Aleluia Reis, L.; Bosetti, V.; Tavoni, M. COVID-19 Lockdown Only Partially Alleviates Health Impacts of Air Pollution in Northern Italy. Environ. Res. Lett. 2021, 16, 035012. [Google Scholar] [CrossRef]
- Diémoz, H.; Magri, T.; Pession, G.; Tarricone, C.; Tombolato, I.K.F.; Fasano, G.; Zublena, M. Air Quality in the Italian Northwestern Alps during Year 2020: Assessment of the COVID-19 «Lockdown Effect» from Multi-Technique Observations and Models. Atmosphere 2021, 12, 1006. [Google Scholar] [CrossRef]
- ENI-In Val d’Agri Con Le Attività Upstream. Available online: https://www.eni.com/it-IT/attivita/italia-val-agri-attivita-upstream.html (accessed on 11 January 2021).
- Faruolo, M.; Coviello, I.; Filizzola, C.; Lacava, T.; Pergola, N.; Tramutoli, V. A Satellite-Based Analysis of the Val d’Agri Oil Center (Southern Italy) Gas Flaring Emissions. Nat. Hazards Earth Syst. Sci. 2014, 14, 2783–2793. [Google Scholar] [CrossRef]
- Prefettura Di Potenza-PEE Centro Olio Val d’Agri Di Viggiano-Edizione 2013. Available online: http://www.prefettura.it/potenza/contenuti/Pee_centro_olio_val_d_agri_di_viggiano_edizione_2013-64403.htm (accessed on 30 March 2021).
- Gobbi, G.P.; Barnaba, F.; Di Liberto, L.; Bolignano, A.; Lucarelli, F.; Nava, S.; Perrino, C.; Pietrodangelo, A.; Basart, S.; Costabile, F.; et al. An Inclusive View of Saharan Dust Advections to Italy and the Central Mediterranean. Atmos. Environ. 2019, 201, 242–256. [Google Scholar] [CrossRef]
- European Commission. DIRECTIVE 2008/50/EC on ambient air quality and cleaner air for Europe. Off. J. Eur. Union 2008, L152/1, 1–44. [Google Scholar]
- ARPAB-Inquinanti Monitorati. Available online: http://www.arpab.it/aria/inquinanti.asp (accessed on 5 March 2021).
- Calvello, M.; Esposito, F.; Trippetta, S. An Integrated Approach for the Evaluation of Technological Hazard Impacts on Air Quality: The Case of the Val d’Agri Oil/Gas Plant. Nat. Hazards Earth Syst. Sci. 2014, 14, 2133–2144. [Google Scholar] [CrossRef][Green Version]
- ARPAB-Gli Open Data- Qualità Dell’aria. Available online: www.arpab.it/opendata/q_aria_serie.asp (accessed on 11 January 2021).
- Regione Basilicata–Valutazione Ambientale. Available online: http://valutazioneambientale.regione.basilicata.it/valutazioneambie/home.jsp (accessed on 10 February 2021).
- WHO-Air Quality and Health. Available online: https://www.who.int/teams/environment-climate-change-and-health/air-quality-and-health/health-impacts (accessed on 11 January 2021).
- Mangia, C. Modeling Air Quality Impact of Pollutants Emitted by an Oil/Gas Plant in Complex Terrain in View of a Health Impact Assessment. Air Qual. Atmos. Health 2019, 12, 491–502. [Google Scholar] [CrossRef]
- Mousa, H.A.-L. Short-Term Effects of Subchronic Low-Level Hydrogen Sulfide Exposure on Oil Field Workers. Environ. Health Prev. Med. 2015, 20, 12–17. [Google Scholar] [CrossRef]
- Breiman, L. Statistical Modeling: The Two Cultures. Stat. Sci. 2001, 16, 199–215. [Google Scholar] [CrossRef]
- Ameer, S.; Shah, M.A.; Khan, A.; Song, H.; Maple, C.; Islam, S.U.; Asghar, M.N. Comparative Analysis of Machine Learning Techniques for Predicting Air Quality in Smart Cities. IEEE Access 2019, 7, 128325–128338. [Google Scholar] [CrossRef]
- Sayegh, A.S.; Munir, S.; Habeebullah, T.M. Comparing the Performance of Statistical Models for Predicting PM10 Concentrations. Aerosol Air Qual. Res. 2014, 14, 653–665. [Google Scholar] [CrossRef]
- Vu, T.V.; Shi, Z.; Cheng, J.; Zhang, Q.; He, K.; Wang, S.; Harrison, R.M. Assessing the Impact of Clean Air Action on Air Quality Trends in Beijing Using a Machine Learning Technique. Atmos. Chem. Phys. 2019, 19, 11303–11314. [Google Scholar] [CrossRef]
- Shi, Z.; Song, C.; Liu, B.; Lu, G.; Xu, J.; Van Vu, T.; Elliott, R.J.R.; Li, W.; Bloss, W.J.; Harrison, R.M. Abrupt but Smaller than Expected Changes in Surface Air Quality Attributable to COVID-19 Lockdowns. Sci. Adv. 2021, 7, eabd6696. [Google Scholar] [CrossRef] [PubMed]
- Sharma, S.; Swayne, D.A.; Obimbo, C. Trend Analysis and Change Point Techniques: A Survey. Energ. Ecol. Environ. 2016, 1, 123–130. [Google Scholar] [CrossRef]
- Fryzlewicz, P. Wild Binary Segmentation for Multiple Change-Point Detection. Ann. Statist. 2014, 42, 2243–2281. [Google Scholar] [CrossRef]
- Aminikhanghahi, S.; Cook, D.J. A Survey of Methods for Time Series Change Point Detection. Knowl. Inf. Syst. 2017, 51, 339–367. [Google Scholar] [CrossRef]
- Nunifu, T.K.; Fu, L. Methods and Procedures for Trend Analysis of Air Quality Data; Government of Alberta, Ministry of Environment and Parks: Alberta, Canada, 2019; Available online: https://open.alberta.ca/publications/9781460136379 (accessed on 15 January 2021)ISBN 9781460136379.
- ENI in Basilicata. Available online: https://www.eni.com/eni-basilicata/news/2021-elenco-news.page (accessed on 11 January 2021).
- ANAS-Le Strade. Available online: https://www.stradeanas.it/it/strade (accessed on 11 January 2021).
- Carslaw, D.; Ropkins, K. Openair-An R package for air quality data analysis. Environ. Model. Softw. 2012, 27, 52–61. [Google Scholar] [CrossRef]
- Grange, S.K.; Tools to Conduct Meteorological Normalisation on Air Quality Data. Tools to Conduct Meteorological Normalisation on Air Quality Data. Available online: https://github.com/skgrange/rmweather (accessed on 11 January 2021).
- Wright, M.N.; Ziegler, A. Ranger: A Fast Implementation of Random Forests for High Dimensional Data in C++ and R. J. Stat. Softw. 2017, 77. [Google Scholar] [CrossRef]
- Probst, P.; Wright, M.; Boulesteix, A.-L. Hyperparameters and Tuning Strategies for Random Forest. WIREs Data Min. Knowl. Discov. 2019, 9, e1301. [Google Scholar] [CrossRef]
- Baranowski, R.; Fryzlewicz, P.; Wbs: Wild Binary Segmentation for Multiple Change-Point Detection. R wbs Package Version 1.4. 2019. Available online: https://cran.r-project.org/web/packages/wbs/wbs.pdf (accessed on 5 November 2021).
- Decreto Legislativo n. 155/10, Attuazione della Direttiva 2008/50/CE relativa alla qualità dell’aria ambiente e per un’aria più pulita in Europa. Gazz. Uff. 2010, 216, 1–111.
- Norme Tecniche Ed Azioni per La Tutela Della Qualità Dell’aria Nei Comuni Di Viggiano e Grumento Nova. In Proceedings of the Delibera Giunta Regione Basilicata n. 983, Basilicata, Italy, 6 August 2013.
- ARPAB-Arpa Informa: Pubblicazioni. Rapporto Annuale dei Dati Ambientali 2019. Available online: www.arpab.it/pubblicazioni.asp (accessed on 10 January 2020).
- Falocchi, M.; Zardi, D.; Giovannini, L. Meteorological Normalization of NO2 Concentrations in the Province of Bolzano (Italian Alps). Atmos. Environ. 2021, 246, 118048. [Google Scholar] [CrossRef]







| Year | NOX μg/m3 | SO2 μg/m3 | CO mg/m3 | H2S μg/m3 |
|---|---|---|---|---|
| 2013 | 14.98 (0.00–118.29) | 5.63 (0.50–350.90) | 0.338 (0.00–1.10) | 2.18 (0.28–241.61) |
| 2014 | 20.34 (0.75–143.07) | 3.28 (0.00–195.20) | 0.370 (0.00–1.90) | 3.58 (0.69–43.85) |
| 2015 | 20.15 (0.00–186.07) | 7.00 (0.00–247.10) | 0.332 (0.00–1.30) | 2.86 (0.28–219.27) |
| 2016 | 16.84 (0.00–133.44) | 6.11 (0.03–175.80) | 0.424 (0.05–1.64) | 2.96 (0.30–272.35) |
| 2017 | 16.35 (2.02–117.05) | 6.08 (0.38–378.92) | 0.393 (0.00–2.11) | 3.08 (0.54–75.61) |
| 2018 | 13.03 (0.19–122.50) | 6.10 (0.09–281.03) | 0.381 (0.00–1.44) | 3.72 (0.08–62.56) |
| 2019 | 14.66 (0.26–105.57) | 3.60 (0.11–277.95) | 0.377 (0.00–2.23) | 3.01 (0.29–76.19) |
| All years | 16.63 (0.00–186.06) | 5.41 (0.00–378.92) | 0.374 (0.00–2.23) | 3.06 (0.08–272.35) |
| Pollutant | Mtry | Min Nod Size | N Trees |
|---|---|---|---|
| NOx | 4 | 2 | 1000 |
| SO2 | 4 | 6 | 1000 |
| CO | 7 | 2 | 1000 |
| H2s | 5 | 4 | 1000 |
| Pollutant | R2 | MBE [µg/m3] | MAE [µg/m3] | RMSE [µg/m3] | IoA |
|---|---|---|---|---|---|
| NOX | 0.723 | 0.380 | 3.700 | 5.406 | 0.723 |
| SO2 | 0.458 | 0.177 | 1.519 | 3.201 | 0.726 |
| CO | 0.704 | 0.004 | 0.057 | 0.077 | 0.757 |
| H2S | 0.683 | 0.069 | 0.366 | 0.700 | 0.806 |
| Pollutant | Theil-Sen Slope (µg m−3 Year−1) | 95% Confidence Interval | |
|---|---|---|---|
| NOX | observed | −0.66 | [−1.13, −0.27] *** |
| normalized | −0.65 | [−1.07, −0.39] *** | |
| SO2 | observed | −0.03 | [−0.32, 0.26] |
| normalized | −0.19 | [−0.39, 0.02]+ | |
| CO | observed | 0.01 | [0.00, 0.02] * |
| normalized | 0.01 | [0.00, 0.01] * | |
| H2S | observed | 0.12 | [0.02, 0.20] * |
| normalized | 0.11 | [0.04, 0.17] * |
Publisher’s Note: MDPI stays neutral with regard to jurisdictional claims in published maps and institutional affiliations. |
© 2021 by the authors. Licensee MDPI, Basel, Switzerland. This article is an open access article distributed under the terms and conditions of the Creative Commons Attribution (CC BY) license (https://creativecommons.org/licenses/by/4.0/).
Share and Cite
Gagliardi, R.V.; Andenna, C. Change Points Detection and Trend Analysis to Characterize Changes in Meteorologically Normalized Air Pollutant Concentrations. Atmosphere 2022, 13, 64. https://doi.org/10.3390/atmos13010064
Gagliardi RV, Andenna C. Change Points Detection and Trend Analysis to Characterize Changes in Meteorologically Normalized Air Pollutant Concentrations. Atmosphere. 2022; 13(1):64. https://doi.org/10.3390/atmos13010064
Chicago/Turabian StyleGagliardi, Roberta Valentina, and Claudio Andenna. 2022. "Change Points Detection and Trend Analysis to Characterize Changes in Meteorologically Normalized Air Pollutant Concentrations" Atmosphere 13, no. 1: 64. https://doi.org/10.3390/atmos13010064
APA StyleGagliardi, R. V., & Andenna, C. (2022). Change Points Detection and Trend Analysis to Characterize Changes in Meteorologically Normalized Air Pollutant Concentrations. Atmosphere, 13(1), 64. https://doi.org/10.3390/atmos13010064
