Evaluation of the Microphysical Assumptions within GPM-DPR Using Ground-Based Observations of Rain and Snow
Abstract
1. Introduction
2. Data and Methodology
2.1. Measurements
2.1.1. Rainfall Data
2.1.2. Snowfall Data
2.1.3. Data Availability
2.2. Particle Size Distribution Parameters
2.2.1. Rainfall PSD Parameters
2.2.2. Snowfall PSD Parameters
2.3. GPM-DPR Algorithm
3. Results and Discussion
3.1. Rainfall
3.2. Snowfall
3.3. Investigation of Poor Correlation between R and in Snowfall
4. Conclusions
- Assuming that raindrops are spherical, ground-based 2D-video disdrometer measurements of rainfall from various geographic locations show good agreement with the current GPM-DPR algorithm framework, with the majority of observations being found near the prescribed GPM-DPR relation and a Pearson- correlation coefficient of between and (Figure 3, Table 5).
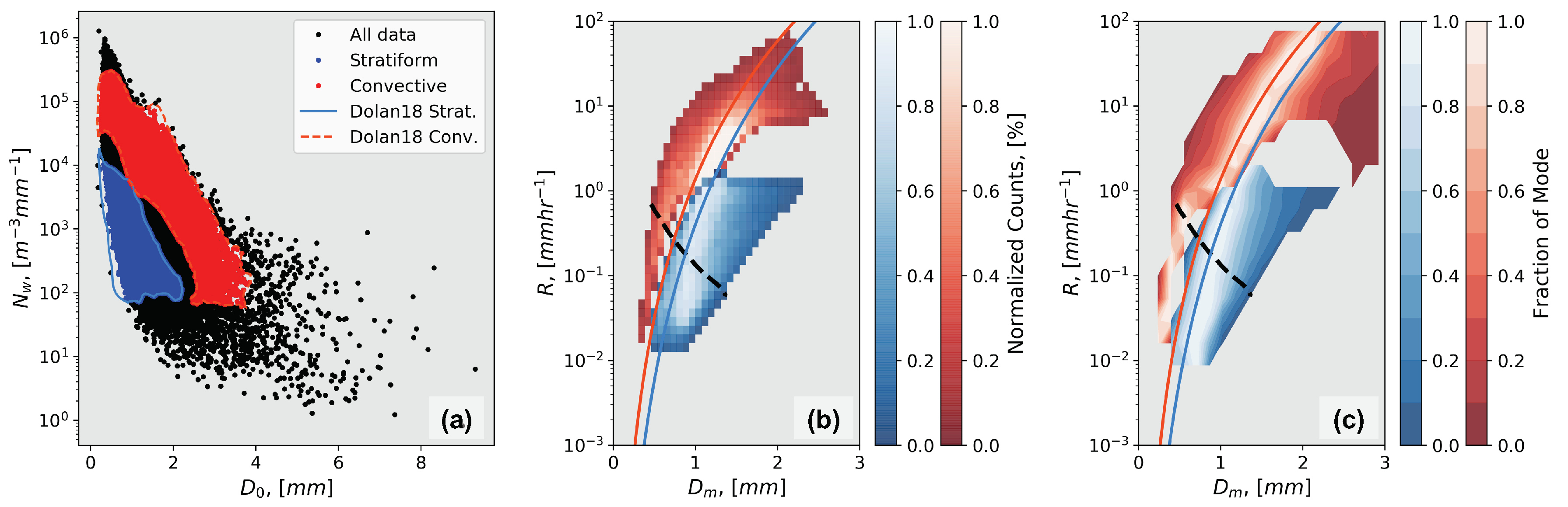
- The classification of PSDs as convective or stratiform according to the method in [78] (e.g., based on the normalized intercept parameter () and the median volume diameter ()) is consistent with and supports the use of two separate relations for each rainfall class, as they reduce error compared with the use of a single relation (Figure 4, Table 3).
- Ground-based Precipitation Imaging Probe measurements of snowfall in Finland do not show the same consistency as the retrieval framework compared to rainfall. The error using the GPM-DPR stratiform relation is much larger ( comparing Table 3 to Table 4), and the Pearson- correlation between and is considerably lower (Pearson-; Figure 5; Table 5).
Author Contributions
Funding
Acknowledgments
Conflicts of Interest
References
- Viviroli, D.; Weingartner, R.; Messerli, B. Assessing the Hydrological Significance of the World’s Mountains. Mt. Res. Dev. 2003, 23, 32–40. [Google Scholar] [CrossRef]
- Field, P.R.; Heymsfield, A.J. Importance of snow to global precipitation. Geophys. Res. Lett. 2015, 42, 9512–9520. [Google Scholar] [CrossRef]
- Waliser, D.E.; Li, J.L.F.; Woods, C.P.; Austin, R.T.; Bacmeister, J.; Chern, J.; Del Genio, A.; Jiang, J.H.; Kuang, Z.; Meng, H.; et al. Cloud ice: A climate model challenge with signs and expectations of progress. J. Geophys. Res. Atmos. 2009, 114, 1–27. [Google Scholar] [CrossRef]
- Ian Duncan, D.; Eriksson, P. An update on global atmospheric ice estimates from satellite observations and reanalyses. Atmos. Chem. Phys. 2018, 18, 11205–11219. [Google Scholar] [CrossRef]
- Langille, R.C.; Thain, R.S. Some Quantitative Measurements of Three-Centimeter Radar Echoes From Falling Snow. Can. J. Phys. 1951, 29, 482–490. [Google Scholar] [CrossRef]
- Stephens, G.L.; Vane, D.G.; Boain, R.J.; Mace, G.G.; Sassen, K.; Wang, Z.; Illingworth, A.J.; O’Connor, E.J.; Rossow, W.B.; Durden, S.L.; et al. The cloudsat mission and the A-Train: A new dimension of space-based observations of clouds and precipitation. Bull. Am. Meteorol. Soc. 2002, 83, 1771–1790. [Google Scholar] [CrossRef]
- Hou, A.Y.; Kakar, R.K.; Neeck, S.; Azarbarzin, A.A.; Kummerow, C.D.; Kojima, M.; Oki, R.; Nakamura, K.; Iguchi, T. The global precipitation measurement mission. Bull. Am. Meteorol. Soc. 2014, 95, 701–722. [Google Scholar] [CrossRef]
- Liu, G. Deriving snow cloud characteristics from CloudSat observations. J. Geophys. Res. Atmos. 2009, 114, 1–13. [Google Scholar] [CrossRef]
- Kulie, M.S.; Bennartz, R. Utilizing spaceborne radars to retrieve dry Snowfall. J. Appl. Meteorol. Climatol. 2009, 48, 2564–2580. [Google Scholar] [CrossRef]
- Hiley, M.J.; Kulie, M.S.; Bennartz, R. Uncertainty analysis for CloudSat snowfall retrievals. J. Appl. Meteorol. Climatol. 2011, 50, 399–418. [Google Scholar] [CrossRef]
- Behrangi, A.; Stephens, G.; Adler, R.F.; Huffman, G.J.; Lambrigtsen, B.; Lebsock, M. An update on the oceanic precipitation rate and its zonal distribution in light of advanced observations from space. J. Clim. 2014, 27, 3957–3965. [Google Scholar] [CrossRef]
- Kulie, M.S.; Milani, L.; Wood, N.B.; Tushaus, S.A.; Bennartz, R.; L’Ecuyer, T.S. A shallow cumuliform snowfall census using spaceborne radar. J. Hydrometeorol. 2016, 17, 1261–1279. [Google Scholar] [CrossRef]
- Kulie, M.S.; Milani, L. Seasonal variability of shallow cumuliform snowfall: A CloudSat perspective. Q. J. R. Meteorol. Soc. 2018, 144, 329–343. [Google Scholar] [CrossRef]
- Skofronick-Jackson, G.; Kulie, M.; Milani, L.; Munchak, S.J.; Wood, N.B.; Levizzani, V. Satellite estimation of falling snow: A global precipitation measurement (GPM) core observatory perspective. J. Appl. Meteorol. Climatol. 2019, 58, 1429–1448. [Google Scholar] [CrossRef]
- Rodgers, C.D. Inverse Methods for Atmospheric Sounding Theory and Practice; World Scientific Publishing Company: Singapore, 2000; Volume 2, p. 256. [Google Scholar]
- Wood, N.B. Estimation of Snow Microphysical Properties with Application to Millimiter-Wavelenght Radar Retrievals for Snowfall Rate. Ph.D. Thesis, Colorado State University, Fort Collins, CO, USA, 2011. [Google Scholar] [CrossRef]
- Wood, N.B.; L’Ecuyer, T.S.; Level 2C Snow Profile Process Description and Interface Control Document, Product Version P1_R05. NASA JPL CloudSat Project Document Revision 0.2018. Available online: http://www.cloudsat.cira.colostate.edu/sites/default/files/products/files/2C-SNOW-PROFILE{_}PDICD.P1{_}R05.rev0{_}.pdf (accessed on 10 June 2020).
- Cao, Q.; Hong, Y.; Chen, S.; Gourley, J.J.; Zhang, J.; Kirstetter, P.E. Snowfall detectability of NASA’s cloudsat: The first cross-investigation of its 2C-snow-profile product and national multi-sensor mosaic QPE (NMQ) snowfall data. Prog. Electromagn. Res. 2014, 148, 55–61. [Google Scholar] [CrossRef]
- Norin, L.; Devasthale, A.; L’Ecuyer, T.S.; Wood, N.B.; Smalley, M. Intercomparison of snowfall estimates derived from the CloudSat Cloud Profiling Radar and the ground-based weather radar network over Sweden. Atmos. Meas. Technol. 2015, 8, 5009–5021. [Google Scholar] [CrossRef]
- Chen, S.; Hong, Y.; Kulie, M.; Behrangi, A.; Stepanian, P.M.; Cao, Q.; You, Y.; Zhang, J.; Hu, J.; Zhang, X. Comparison of snowfall estimates from the NASA CloudSat Cloud Profiling Radar and NOAA/NSSL Multi-Radar Multi-Sensor System. J. Hydrol. 2016, 541, 862–872. [Google Scholar] [CrossRef]
- Souverijns, N.; Gossart, A.; Lhermitte, S.; Gorodetskaya, I.V.; Grazioli, J.; Berne, A.; Duran-Alarcon, C.; Boudevillain, B.; Genthon, C.; Scarchilli, C.; et al. Evaluation of the CloudSat surface snowfall product over Antarctica using ground-based precipitation radars. Cryosphere 2018, 12, 3775–3789. [Google Scholar] [CrossRef]
- Tang, G.; Wen, Y.; Gao, J.; Long, D.; Ma, Y.; Wan, W.; Hong, Y. Similarities and differences between three coexisting spaceborne radars in global rainfall and snowfall estimation. Water Resour. Res. 2017, 53, 3835–3853. [Google Scholar] [CrossRef]
- Adhikari, A.; Liu, C.; Kulie, M.S. Global distribution of snow precipitation features and their properties from 3 years of GPM observations. J. Clim. 2018, 31, 3731–3754. [Google Scholar] [CrossRef]
- Casella, D.; Panegrossi, G.; Sanò, P.; Marra, A.C.; Dietrich, S.; Johnson, B.T.; Kulie, M.S. Evaluation of the GPM-DPR snowfall detection capability: Comparison with CloudSat-CPR. Atmos. Res. 2017, 197, 64–75. [Google Scholar] [CrossRef]
- Heymsfield, A.; Bansemer, A.; Wood, N.B.; Liu, G.; Tanelli, S.; Sy, O.O.; Poellot, M.; Liu, C. Toward improving ice water content and snow-rate retrievals from Radars. Part II: Results from three wavelength radar-collocated in-situ measurements and CloudSat-GPM-TRMM radar data. J. Appl. Meteorol. Climatol. 2018, 57, 365–389. [Google Scholar] [CrossRef]
- Houze, R.A.; McMurdie, L.A.; Petersen, W.A.; Schwall Er, M.R.; Baccus, W.; Lundquist, J.D.; Mass, C.F.; Nijssen, B.; Rutledge, S.A.; Hudak, D.R.; et al. The olympic mountains experiment (Olympex). Bull. Am. Meteorol. Soc. 2017, 98, 2167–2188. [Google Scholar] [CrossRef]
- Skofronick-Jackson, G.; Hudak, D.; Petersen, W.; Nesbitt, S.W.; Chandrasekar, V.; Durden, S.; Gleicher, K.J.; Huang, G.J.; Joe, P.; Kollias, P.; et al. Global precipitation measurement cold season precipitation experiment (GCPEX): For measurement’s sake, let it snow. Bull. Am. Meteorol. Soc. 2015, 96, 1719–1741. [Google Scholar] [CrossRef]
- Seto, S.; Kinoshita, T. Precipitation intensity-average grain size relationship used in DPR algorithm and its verification. Proc. Conf. Hydrol. Water Resour. Soc. 2015, 28, 100063. (In Janpanese) [Google Scholar] [CrossRef]
- Kozu, T.; Iguchi, T.; Kubota, T.; Yoshida, N.; Seto, S.; Kwiatkowski, J.; Takayabu, Y.N. Feasibility of raindrop size distribution parameter estimation with TRMM precipitation radar. J. Meteorol. Soc. Jpn. 2009, 87A, 53–66. [Google Scholar] [CrossRef]
- Lasser, M.; Sungmin, O.; Foelsche, U. Evaluation of GPM-DPR precipitation estimates with WegenerNet gauge data. Atmos. Meas. Technol. 2019, 12, 5055–5070. [Google Scholar] [CrossRef]
- Petersen, W.A.; Kirstetter, P.E.; Wang, J.; Wolff, D.B.; Tokay, A. The GPM Ground Validation Program. In Satellite Precipitation Measurement: Volume 2; Levizzani, V., Kidd, C., Kirschbaum, D.B., Kummerow, C.D., Nakamura, K., Turk, F.J., Eds.; Springer International Publishing: Cham, Switzerland, 2020; pp. 471–502. [Google Scholar] [CrossRef]
- Sun, Y.; Dong, X.; Cui, W.; Zhou, Z.; Fu, Z.; Zhou, L.; Deng, Y.; Cui, C. Vertical Structures of Typical Meiyu Precipitation Events Retrieved From GPM-DPR. J. Geophys. Res. Atmos. 2020, 125, 1–18. [Google Scholar] [CrossRef]
- Skofronick-Jackson, G.; Petersen, W.A.; Berg, W.; Kidd, C.; Stocker, E.F.; Kirschbaum, D.B.; Kakar, R.; Braun, S.A.; Huffman, G.J.; Iguchi, T.; et al. The global precipitation measurement (GPM) mission for science and Society. Bull. Am. Meteorol. Soc. 2017, 98, 1679–1695. [Google Scholar] [CrossRef]
- Jensen, M.P.; Petersen, W.A.; Bansemer, A.; Bharadwaj, N.; Carey, L.D.; Cecil, D.J.; Collis, S.M.; Del Genio, A.D.; Dolan, B.; Gerlach, J.; et al. The Midlatitude Continental Convective Clouds Experiment (MC3E). Bull. Am. Meteorol. Soc. 2016, 97, 1667–1686. [Google Scholar] [CrossRef]
- Barros, A.P.; Petersen, W.; Schwaller, M.; Cifelli, R.; Mahoney, K.; Peters-Liddard, C.; Shepherd, M.; Nesbitt, S.; Wolff, D.; Heymsfield, G. NASA GPM-Ground Validation Integrated Precipitation and Hydrology Experiment 2014 Science Plan. Available online: https://gpm.nasa.gov/sites/default/files/imce/IPHEX-FieldExperimentPlan{_}Current.pdf (accessed on 10 June 2020).
- Varble, A.; Nesbitt, S.; Salio, P.; Avila, E.; Borque, P.; DeMott, P.; McFarquhar, G.; van den Heever, S.; Zipser, E.; Gochis, D. Cloud, Aerosol, and Complex Terrain Interactions (CACTI) Field Campaign Report (No. DOE/SC-ARM-19-028); Technical Report; Pacific Northwest National Laboratory: Richland, WA, USA, 2019; Available online: https://www.arm.gov/publications/programdocs/doe-sc-arm-19-028.pdf (accessed on 10 June 2020).
- Long, C.N.; Mather, J.H.; Ackerman, T.P. The ARM Tropical Western Pacific (TWP) Sites. Meteorol. Monogr. 2016, 57, 7.1–7.14. [Google Scholar] [CrossRef]
- Yoneyama, K.; Zhang, C.; Long, C.N. Tracking pulses of the Madden-Julian oscillation. Bull. Am. Meteorol. Soc. 2013, 94, 1871–1891. [Google Scholar] [CrossRef]
- Mather, J.H.; Voyles, J.W. The arm climate research facility: A review of structure and capabilities. Bull. Am. Meteorol. Soc. 2013, 94, 377–392. [Google Scholar] [CrossRef]
- Sisterson, D.L.; Peppler, R.A.; Cress, T.S.; Lamb, P.J.; Turner, D.D. The ARM Southern Great Plains (SGP) Site. Meteorol. Monogr. 2016, 57, 6.1–6.14. [Google Scholar] [CrossRef]
- Kruger, A.; Krajewski, W.F. Two-dimensional video disdrometer: A description. J. Atmos. Ocean. Technol. 2002, 19, 602–617. [Google Scholar] [CrossRef]
- Thurai, M.; Petersen, W.A.; Tokay, A.; Schultz, C.; Gatlin, P. Drop size distribution comparisons between Parsivel and 2-D video disdrometers. Adv. Geosci. 2011, 30, 3–9. [Google Scholar] [CrossRef]
- Raupach, T.H.; Berne, A. Correction of raindrop size distributions measured by Parsivel disdrometers, using a two-dimensional video disdrometer as a reference. Atmos. Meas. Technol. 2015, 8, 343–365. [Google Scholar] [CrossRef]
- Adirosi, E.; Baldini, L.; Roberto, N.; Gatlin, P.; Tokay, A. Improvement of vertical profiles of raindrop size distribution from micro rain radar using 2D video disdrometer measurements. Atmos. Res. 2016, 169, 404–415. [Google Scholar] [CrossRef]
- Beard, K.V. Terminal Velocity and Shape of Cloud and Precipitation Drops Aloft. J. Atmos. Sci. 1976. [Google Scholar] [CrossRef]
- Petäjä, T.; O’Connor, E.J.; Moisseev, D.; Sinclair, V.A.; Manninen, A.J.; Väänänen, R.; Von Lerber, A.; Thornton, J.A.; Nicoll, K.; Petersen, W.; et al. A field campaign to elucidate the impact of biogenic aerosols on clouds and climate. Bull. Am. Meteorol. Soc. 2016, 97, 1909–1928. [Google Scholar] [CrossRef]
- Newman, A.J.; Kucera, P.A.; Bliven, L.F. Presenting the Snowflake Video Imager (SVI). J. Atmos. Ocean. Technol. 2009, 26, 167–179. [Google Scholar] [CrossRef]
- Bohm, H.P. A general equation for the terminal fall speed of solid hydrometeors. J. Atmos. Sci. 1989. [Google Scholar] [CrossRef]
- Mitchell, D.L.; Heymsfield, A.J. Refinements in the treatment of ice particle terminal velocities, highlighting aggregates. J. Atmos. Sci. 2005, 62, 1637–1644. [Google Scholar] [CrossRef]
- Szyrmer, W.; Zawadzki, I. Snow studies. Part II: Average relationship between mass of snowflakes and their terminal fall velocity. J. Atmos. Sci. 2010, 67, 3319–3335. [Google Scholar] [CrossRef]
- Wood, N.B.; L’Ecuyer, T.S.; Heymsfield, A.J.; Stephen, G.L.; Hudak, D.R.; Rodriguez, P. Estimating snow microphysical properties using collocated multisensor observations. J. Geophys. Res. 2014, 119, 8941–8961. [Google Scholar] [CrossRef]
- Huang, G.J.; Bringi, V.N.; Moisseev, D.; Petersen, W.A.; Bliven, L.; Hudak, D. Use of 2D-video disdrometer to derive mean density-size and Ze-SR relations: Four snow cases from the light precipitation validation experiment. Atmos. Res. 2015, 153, 34–48. [Google Scholar] [CrossRef]
- Huang, G.J.; Bringi, V.N.; Newman, A.J.; Lee, G.; Moisseev, D.; Notaroš, B.M. Dual-wavelength radar technique development for snow rate estimation: A case study from GCPEx. Atmos. Meas. Technol. 2019, 12, 1409–1427. [Google Scholar] [CrossRef]
- von Lerber, A.; Moisseev, D.; Bliven, L.F.; Petersen, W.; Harri, A.M.; Chandrasekar, V. Microphysical properties of snow and their link to Ze-S relations during BAECC 2014. J. Appl. Meteorol. Climatol. 2017, 56, 1561–1582. [Google Scholar] [CrossRef]
- von Lerber, A.; Moisseev, D.; Marks, D.A.; Petersen, W.; Harri, A.M.; Chandrasekar, V. Validation of GMI snowfall observations by using a combination of weather radar and surface measurements. J. Appl. Meteorol. Climatol. 2018, 57, 797–820. [Google Scholar] [CrossRef]
- Li, H.; Moisseev, D.; von Lerber, A. How Does Riming Affect Dual-Polarization Radar Observations and Snowflake Shape? J. Geophys. Res. Atmos. 2018, 123, 6070–6081. [Google Scholar] [CrossRef]
- NASA Global Hydrology Resource Center. Available online: https://ghrc.nsstc.nasa.gov/home/ (accessed on 10 June 2020).
- ARM DOE Data Discovery. Available online: https://adc.arm.gov/discovery/ (accessed on 10 June 2020).
- Von Lerber, A.; Moisseev, D. Snow Retrievals 2014–2015. Available online: https://github.com/dmoisseev/Snow-Retrievals-2014-2015 (accessed on 10 June 2020).
- Chase, R.J. R-Dm Github Page. Available online: https://github.com/dopplerchase/Chase{_}et{_}al{_}2020{_}RDm (accessed on 10 June 2020).
- Pruppacher, H.R.; Klett, J. Microphysics of Clouds and Precipitation; Springer: Dordrecht, The Netherlands, 2010; Volume 18, p. 954. [Google Scholar]
- Thurai, M.; Huang, G.J.; Bringi, V.N.; Randeu, W.L.; Schönhuber, M. Drop shapes, model comparisons, and calculations of polarimetric radar parameters in rain. J. Atmos. Ocean. Technol. 2007, 24, 1019–1032. [Google Scholar] [CrossRef]
- Mishchenko, M.I.; Travis, L.D. Capabilities and limitations of a current FORTRAN implementation of the T-matrix method for randomly oriented, rotationally symmetric scatterers. J. Quant. Spectrosc. Radiat. Transf. 1998, 60, 309–324. [Google Scholar] [CrossRef]
- Leinonen, J. High-level interface to T-matrix scattering calculations: Architecture, capabilities and limitations. Opt. Express 2014, 22, 1655. [Google Scholar] [CrossRef] [PubMed]
- Williams, C.R.; Bringi, V.N.; Carey, L.D.; Chandrasekar, V.; Gatlin, P.N.; Haddad, Z.S.; Meneghini, R.; Munchak, S.J.; Nesbitt, S.W.; Petersen, W.A.; et al. Describing the shape of raindrop size distributions using uncorrelated raindrop mass spectrum parameters. J. Appl. Meteorol. Climatol. 2014, 53, 1282–1296. [Google Scholar] [CrossRef]
- Kneifel, S.; Kulie, M.S.; Bennartz, R. A triple-frequency approach to retrieve microphysical snowfall parameters. J. Geophys. Res. Atmos. 2011, 116, 1–15. [Google Scholar] [CrossRef]
- Leinonen, J.; Szyrmer, W. Radar signatures of snowflake riming: A modeling study. Earth Space Sci. 2015, 2, 346–358. [Google Scholar] [CrossRef]
- Yurkin, M.A.; Hoekstra, A.G. The discrete-dipole-approximation code ADDA: Capabilities and known limitations. J. Quant. Spectrosc. Radiat. Transf. 2011, 112, 2234–2247. [Google Scholar] [CrossRef]
- Oliphant, T.E. Python for Scientific Computing Python Overview. Comput. Sci. Eng. 2007, 9, 10–20. [Google Scholar] [CrossRef]
- Eriksson, P.; Ekelund, R.; Mendrok, J.; Brath, M.; Lemke, O.; Buehler, S.A. A general database of hydrometeor single scattering properties at microwave and sub-millimetre wavelengths. Earth Syst. Sci. Data 2018, 10, 1301–1326. [Google Scholar] [CrossRef]
- Iguchi, T.; Seto, S.; Meneghini, R.; Yoshida, N.; Awaka, J.; Le, M.; Chandrasekar, V.; Brodzik, S.; Kubota, T. GPM/DPR Level-2 Algoirthm Theoretical Basis Document. Available online: https://pps.gsfc.nasa.gov/Documents/ATBD_DPR_202006_with_Appendix_a.pdf (accessed on 10 June 2020).
- Testud, J.; Oury, S.; Black, R.A.; Amayenc, P.; Dou, X. The concept of “normalized” distribution to describe raindrop spectra: A tool for cloud physics and cloud remote sensing. J. Appl. Meteorol. 2001, 40, 1118–1140. [Google Scholar] [CrossRef]
- Gunn, R.; Kinzer, G.D. The Terminal Velocity of Fall for Water Droplets in Stagnant Air. J. Atmos. Sci. 1949. [Google Scholar] [CrossRef]
- Piessens, R.; de Doncker-Kapenga, E.; Überhuber, C.W.; Kahaner, D.K. Quadpack: A Subroutine Package for Automatic Integration; Springer: Berlin/Heidelberg, Germany, 1983; p. 954. [Google Scholar]
- Joss, J.; Waldvogel, A. A spectrograph for raindrops with automatic interpretation. Pure Appl. Geophys. 1967, 68, 240–246. [Google Scholar] [CrossRef]
- Tokay, A.; Kruger, A.; Krajewski, W.F.; Kucera, P.A.; Filho, A.J.P. Measurements of drop size distribution in the southwestern Amazon basin. J. Geophys. Res. Atmos. 2002, 107, LBA 19-1–LBA 19-15. [Google Scholar] [CrossRef]
- Steiner, M.; Houze, R.; Yuter, S. Climatological characterization of three-dimensional storm structure from operational radar and rain gauge data. J. Appl. Meteorol. 1995, 34, 1978–2007. [Google Scholar] [CrossRef]
- Dolan, B.; Fuchs, B.; Rutledge, S.A.; Barnes, E.A.; Thompson, E.J. Primary modes of global drop size distributions. J. Atmos. Sci. 2018, 75, 1453–1476. [Google Scholar] [CrossRef]
- Bringi, V.N.; Williams, C.R.; Thurai, M.; May, P.T. Using dual-polarized radar and dual-frequency profiler for DSD characterization: A case study from Darwin, Australia. J. Atmos. Ocean. Technol. 2009, 26, 2107–2122. [Google Scholar] [CrossRef]
- Thompson, E.J.; Rutledge, S.A.; Dolan, B.; Thurai, M. Drop size distributions and radar observations of convective and stratiform rain over the equatorial Indian and West Pacific Oceans. J. Atmos. Sci. 2015, 72, 4091–4125. [Google Scholar] [CrossRef]
- Brandes, E.A.; Ikeda, K.; Thompson, G.; Schönhuber, M. Aggregate terminal velocity/temperature relations. J. Appl. Meteorol. Climatol. 2008, 47, 2729–2736. [Google Scholar] [CrossRef]
- Heymsfield, A.J.; Bansemer, A.; Schmitt, C.; Twohy, C.; Poellot, M.R. Effective ice particle densities derived from aircraft data. J. Atmos. Sci. 2004, 61, 982–1003. [Google Scholar] [CrossRef]
- Finlon, J.A.; McFarquhar, G.M.; Nesbitt, S.W.; Rauber, R.M.; Morrison, H.; Wu, W.; Zhang, P. A novel approach for characterizing the variability in mass-dimension relationships: Results from MC3E. Atmos. Chem. Phys. 2019, 19, 3621–3643. [Google Scholar] [CrossRef]
- Leinonen, J.; Lebsock, M.D.; Tanelli, S.; Sy, O.O.; Dolan, B.; Chase, R.J.; Finlon, J.A.; Von Lerber, A.; Moisseev, D. Retrieval of snowflake microphysical properties from multifrequency radar observations. Atmos. Meas. Tech. 2018, 11, 5471–5488. [Google Scholar] [CrossRef]
- Sekelsky, S.M.; Ecklund, W.L.; Firda, J.M.; Gage, K.S.; McIntosh, R.E. Particle size estimation in ice-phase clouds using multifrequency radar reflectivity measurements at 95, 33, and 2.8 GHz. J. Appl. Meteorol. 1999, 38, 5–28. [Google Scholar] [CrossRef]








| Campaign or Field Site | Number of Samples | ||||
|---|---|---|---|---|---|
| mm hr | mm | log(m mm) | dBZ | ||
| NASA: 2DVD | |||||
| MC3E | 2357 | 2.10 | 1.36 | 3.65 | 35.74 |
| IFloodS | 8565 | 2.41 | 1.27 | 3.74 | 35.64 |
| IPHEx | 3926 | 3.54 | 1.25 | 3.63 | 37.88 |
| OLYMPEX | 22,401 | 2.58 | 1.15 | 3.97 | 32.12 |
| Huntsville, AL | 9810 | 2.78 | 1.26 | 3.77 | 35.49 |
| Wallops, VA | 32,447 | 1.93 | 1.12 | 3.81 | 32.92 |
| DOE: 2DVD | |||||
| CACTI | 6151 | 1.68 | 0.86 | 4.72 | 32.94 |
| Darwin, AU | 8868 | 6.10 | 1.57 | 3.54 | 42.37 |
| Manus isl, PNG | 13,196 | 4.44 | 1.38 | 3.61 | 38.95 |
| Gan isl, MV | 1583 | 3.77 | 1.29 | 3.72 | 37.48 |
| ENA | 34893 | 1.45 | 0.90 | 4.28 | 30.64 |
| SGP | 31871 | 2.11 | 1.21 | 3.88 | 36.22 |
| NASA: PIP | |||||
| BAECC | 2573 | 0.53 | 0.72 | 4.83 | 18.44 |
| Variable | Retrieval Error Metrics | Stratiform Relation | Convective Relation |
|---|---|---|---|
| R | MAE, [mm hr] | 1.28 | 1.77 |
| MAPE, [%] | 54 | 43 | |
| MBP [%] | −23 | 15 | |
| RMSE, [mm hr] | 4.94 | 6.80 | |
| MAE, [mm] | 0.21 | 0.26 | |
| MAPE, [%] | 19 | 28 | |
| MBP [%] | −4 | −22 | |
| RMSE, [mm] | 0.31 | 0.37 |
| Variable | Retrieval Error Metrics | Stratiform Relation | Convective Relation |
|---|---|---|---|
| R | MAE, [mm hr] | 0.14 | 3.37 |
| MAPE, [%] | 29 | 47 | |
| MBP, [%] | 6 | −20 | |
| RMSE, [mm hr] | 0.43 | 8.57 | |
| MAE, [mm] | 0.16 | 0.17 | |
| MAPE, [%] | 18 | 15 | |
| MBP, [%] | −14 | 0 | |
| RMSE, [mm] | 0.22 | 0.27 |
| Variable | Retrieval Error Metrics | Stratiform Relation | Convective Relation |
|---|---|---|---|
| R | MAE, [mm hr] | 0.24 | 0.27 |
| MAPE, [%] | 77 | 49 | |
| MBP, [%] | −52 | −2 | |
| RMSE, [mm hr] | 0.47 | 0.54 | |
| MAE, [mm] | 0.21 | 0.15 | |
| MAPE, [%] | 24 | 20 | |
| MBP, [%] | 18 | 2 | |
| RMSE, [mm] | 0.25 | 0.18 |
| Phase | Pearson |
|---|---|
| Rain | 0.61 |
| Snow | |
| Liquid Eq. | 0.29 |
| Frozen | 0.24 |
| Snow | Snow | Snow and | |
|---|---|---|---|
| Pearson | 0.53 | 0.20 | 0.20 |
© 2020 by the authors. Licensee MDPI, Basel, Switzerland. This article is an open access article distributed under the terms and conditions of the Creative Commons Attribution (CC BY) license (http://creativecommons.org/licenses/by/4.0/).
Share and Cite
Chase, R.J.; Nesbitt, S.W.; McFarquhar, G.M. Evaluation of the Microphysical Assumptions within GPM-DPR Using Ground-Based Observations of Rain and Snow. Atmosphere 2020, 11, 619. https://doi.org/10.3390/atmos11060619
Chase RJ, Nesbitt SW, McFarquhar GM. Evaluation of the Microphysical Assumptions within GPM-DPR Using Ground-Based Observations of Rain and Snow. Atmosphere. 2020; 11(6):619. https://doi.org/10.3390/atmos11060619
Chicago/Turabian StyleChase, Randy J., Stephen W. Nesbitt, and Greg M. McFarquhar. 2020. "Evaluation of the Microphysical Assumptions within GPM-DPR Using Ground-Based Observations of Rain and Snow" Atmosphere 11, no. 6: 619. https://doi.org/10.3390/atmos11060619
APA StyleChase, R. J., Nesbitt, S. W., & McFarquhar, G. M. (2020). Evaluation of the Microphysical Assumptions within GPM-DPR Using Ground-Based Observations of Rain and Snow. Atmosphere, 11(6), 619. https://doi.org/10.3390/atmos11060619

