Evaluating the Adaptation of Chinese Torreya Plantations to Climate Change
Abstract
1. Introduction
2. Materials and Methods
2.1. Study Areas
2.2. Climate Data
2.3. Climate Properties
2.4. Statistical Analysis
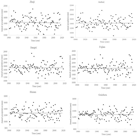
3. Results
4. Discussion
5. Conclusions
Author Contributions
Funding
Conflicts of Interest
References
- Grinnell, J. Field tests of theories concerning distributional control. Am. Nat. 1917, 51, 115–128. [Google Scholar] [CrossRef]
- MacArthur, R.H. Geographical Ecology; Harper and Row: New York, NY, USA, 1972. [Google Scholar]
- Araujo, M.B.; Pearson, R.G. Equilibrium of species’ distributions with climate. Ecography 2005, 28, 693–696. [Google Scholar] [CrossRef]
- Pearson, R.G.; Dawson, T.P. Predicting the impacts of climate change on the distribution of species: Are bioclimate envelope models useful? Glob. Ecol. Biogeogr. 2003, 12, 361–371. [Google Scholar] [CrossRef]
- Pierson, J.C.; Beissinger, S.R.; Bragg, J.G.; Coates, D.J.; Oostermeijer, J.G.B.; Sunnucks, P.; Schumaker, N.H.; Trotter, M.V.; Young, A.G. Incorporating evolutionary processes into population viability models. Conserv. Biol. 2015, 29, 755–764. [Google Scholar] [CrossRef] [PubMed]
- Rehfeldt, G.E.; Tchebakova, N.M.; Parfenova, Y.I.; Wykoff, W.R.; Kuzmina, N.A.; Milyutin, L.I. Intraspecific responses to climate in Pinus sylvestris. Glob. Chang. Biol. 2002, 8, 912–929. [Google Scholar] [CrossRef]
- Urban, M.C.; Bocedi, G.; Hendry, A.P.; Mihoub, J.-B.; Peer, G.; Singer, A.; Bridle, J.R.; Grozier, L.G.; De Meester, L.; Godsoe, W.; et al. Improving the forecast for biodiversity under climate change. Science 2016, 353, 1113–1122. [Google Scholar] [CrossRef] [PubMed]
- Aitken, S.N.; Yeaman, S.; Holliday, J.A.; Wang, T.; Curtis-McLane, S. Adaptation, migration or extirpation: Climate change outcomes for tree populations. Evol. Appl. 2008, 1, 95–111. [Google Scholar] [CrossRef]
- Morecroft, M.D.; Duffield, S.; Harley, M.; Pearce-Higgins, J.W.; Stevens, N.; Watts, O.; Whitaker, J. Measuring the success of climate change adaptation and mitigation in terrestrial ecosystems. Science 2019, 366. [Google Scholar] [CrossRef]
- Harsch, M.A.; Hulme, P.E.; McGlone, M.S.; Duncan, R.P. Are treelines advancing? A global meta-analysis of treeline response to climate warming. Ecol. Lett. 2009, 12, 1040–1049. [Google Scholar] [CrossRef]
- Parmesan, C. Ecological and evolutionary responses to recent climate change. Ann. Rev. Ecol. Evol. Syst. 2006, 37, 637–669. [Google Scholar] [CrossRef]
- Masek, J.G. Stability of boreal forest stands during recent climate change: Evidence from Landsat satellite imagery. J. Biogeogr. 2001, 28, 967–976. [Google Scholar] [CrossRef]
- IPCC. Third Assessment Report of the Intergovernmental Panel on Climate Change IPCC (WG I & II); Cambridge University Press: Cambridge, UK, 2001. [Google Scholar]
- Schindler, D.E.; Hilborn, R. Prediction, precaution, and policy under global change. Science 2015, 347, 953–954. [Google Scholar] [CrossRef] [PubMed]
- Pacifici, M.; Visconti, P.; Butchart, S.H.M.; Watson, J.E.M.; Cassola, F.M.; Rondinini, C. Species’ traits influenced their response to recent climate change. Nat. Clim. Chang. 2017, 7, 205–208. [Google Scholar] [CrossRef]
- Sakschewski, B.; von Bloh, W.; Boit, A.; Poorter, L.; Pena-Claros, M.; Heinke, J.; Joshi, J.; Thonicke, K. Resilience of Amazon forests emerges from plant trait diversity. Nat. Clim. Chang. 2016, 6, 1032–1036. [Google Scholar] [CrossRef]
- Li, Z.-J.; Dai, W.-S. Chinese Torreya; Science Press: Beijing, China, 2007. (In Chinese) [Google Scholar]
- Chen, X.; Jin, H. Review of cultivation and development of Chinese torreya in China. For. Trees Liveli. 2019, 28, 68–78. [Google Scholar] [CrossRef]
- Chen, X.; Chen, H. Dynamics in production of four heritage foods at the mountainous region of Shaoxing City, China. Emir. J. Food Agric. 2019, 31, 645–653. [Google Scholar] [CrossRef]
- Chen, X.; Jin, H. A case study of enhancing sustainable intensification of Chinese Torreya forest in Zhuji of China. Environ. Nat. Res. Res. 2019, 9, 53–60. [Google Scholar] [CrossRef]
- Cheng, X.-J.; Li, Z.-J.; Yu, W.-W.; Dai, W.-S.; Fu, Q.-G. Distribution and ecological characteristics of Torreya grandis in China. J. Zhejiang For. Coll. 2007, 24, 383–388. [Google Scholar]
- Wu, S.T. Chinese Torreya Legends; Xiling Seal Engraver’s Society’s Publishing House: Hangzhou, China, 2013. (In Chinese) [Google Scholar]
- Huang, Y.; Wang, J.; Li, G.; Zheng, Z.; Su, W. Antitumor and antifungal activities in endophytic fungi isolated from pharmaceutical plants Taxus mairei, Cephalataxus fortunei and Torreya grandis. FEMS Immunol. Med. Microbiol. 2001, 31, 163–167. [Google Scholar] [CrossRef]
- People’s Government of Shaoxing City. Kuanjishan Ancient Chinese Torreya Community; Proposal for Global Important Agricultural Heritage System Initiative: Shaoxing, China, 2013.
- Chen, X.; Zhang, X.; Li, B.-L. The possible response of life zones in China under climate change. Glob. Plane. Chang. 2003, 38, 327–337. [Google Scholar] [CrossRef]
- Petit, R.J.; Hampe, A. Some evolutionary consequences of being a tree. Ann. Rev. Ecol. Evol. Syst. 2006, 37, 187–214. [Google Scholar] [CrossRef]
- Lin, J.; Zhang, R.; Hu, Y.; Song, Y.; Hanninen, H.; Wu, J. Interactive effects of drought and shading on Torreya grandis seedlings: Physiological and growth responses. Trees 2019, 33, 951–961. [Google Scholar] [CrossRef]
- Harris, I.; Jones, P.D.; Osborn, T.J.; Lister, D.H. Updated high-resolution grids of monthly climatic observations – the CRU TS3.10 Dataset. Int. J. Climatol. 2014, 34, 623–642. [Google Scholar] [CrossRef]
- McKee, T.B.; Doesken, N.J.; Kliest, J. The relationship of drought frequency and duration to time scales. In Proceedings of the 8th Conference of Applied Climatology, Anaheim, CA, USA, 17–22 January 1993; American Meteorological Society: Boston, MA, USA; pp. 179–184. [Google Scholar]
- Kong, X.; Chen, H. Climate Change at Shaoxing in the Past 2500 Years; Zhejiang University Press: Hangzhou, China, 2012. (In Chinese) [Google Scholar]
- Ge, Q.; Zheng, J.; Man, Z. Winter temperature in eastern China in the past 2000 years. Quat. Sci. 2002, 22, 165–173. [Google Scholar]
- Apuri, I.; Peprah, K.; Achana, G.T.W. Climate change adaptation through agroforestry: The case of Kassena Nankana West District, Ghana. Environ. Dev. 2018, 28, 32–41. [Google Scholar] [CrossRef]
- Chevin, L.M.; Lande, R.; Mace, G.M. Adaptation, plasticity, and extinction in a changing environment: Towards a predictive theory. PLoS Biol. 2010, 8, e100357. [Google Scholar] [CrossRef]
- Lou, W.; Sun, K. Climate Resource, Distribution and Application for fine Agriculture at Shaoxing City; China Meteorological Press: Beijing, China, 2015. (In Chinese) [Google Scholar]
- Radchuk, V.; Reed, T.; Teplitsky, C.; van de Pol, M.; Charmantier, A.; Hassall, C.; Adamík, P.; Adriaensen, F.; Ahola, M.P.; Arcese, P.; et al. Adaptive responses of animals to climate change are most likely insufficient. Nat. Commun. 2019, 10, 3109. [Google Scholar] [CrossRef]
- Garzón, M.B.; Alía, R.; Robson, T.M.; Zavala, M.A. Intra-specific variability and plasticity influence potential tree species distributions under climate change. Glob. Ecol. Biogeogr. 2011, 20, 766–778. [Google Scholar] [CrossRef]
- Si, H. Understanding Chinese Torreya by Pictures; Zhejiang University Press: Hangzhou, China, 2018. (In Chinese) [Google Scholar]
- Rabasa, S.G.; Granda, E.; Benavides, R.; Kunstler, G.; Espelta, J.M.; Ogaya, R.; Peñuelas, J.; Scherer-Lorenzen, M.; Gil, W.; Grodzki, W.; et al. Disparity in elevational shifts of European trees in response to recent climate warming. Glob. Chang. Biol. 2013, 19, 2490–2499. [Google Scholar] [CrossRef]
- Schwörer, C.; Henne, P.D.; Tinner, W. A model-data comparison of Holocene timberline changes in the Swiss Alps reveals past and future drivers of mountain forest dynamics. Glob. Chang. Biol. 2014, 20, 1512–1526. [Google Scholar] [CrossRef]








| Location and Province | Latitude Longitude |
|---|---|
| Shexuan, Anhui | 29°52′ N 118°56′ E |
| Qianshan, Jiangxi | 28°22′ N 117°44′ E |
| Wuyishan, Fujian | 27°52′ N 118°02′ E |
| Rongshan, Hunan | 29°30′ N 109°30′ E |
| Songtao, Guizhou | 28°10′ N 109°08′ E |
| Zhuji, Zhejiang | 29°41′ N 120°19′ E |
| Anhui | Jiangxi | Fujian | Hunan | Guizhou | |
|---|---|---|---|---|---|
| Monthly air temperature | 0.9988 * | 0.9978 * | 0.9964 * | 0.9906 * | 0.9910 * |
| Monthly precipitation | 0.8823 * | 0.6994 * | 0.6884 * | 0.3836 | 0.3824 |
© 2020 by the authors. Licensee MDPI, Basel, Switzerland. This article is an open access article distributed under the terms and conditions of the Creative Commons Attribution (CC BY) license (http://creativecommons.org/licenses/by/4.0/).
Share and Cite
Chen, X.; Niu, J. Evaluating the Adaptation of Chinese Torreya Plantations to Climate Change. Atmosphere 2020, 11, 176. https://doi.org/10.3390/atmos11020176
Chen X, Niu J. Evaluating the Adaptation of Chinese Torreya Plantations to Climate Change. Atmosphere. 2020; 11(2):176. https://doi.org/10.3390/atmos11020176
Chicago/Turabian StyleChen, Xiongwen, and Jianzhi Niu. 2020. "Evaluating the Adaptation of Chinese Torreya Plantations to Climate Change" Atmosphere 11, no. 2: 176. https://doi.org/10.3390/atmos11020176
APA StyleChen, X., & Niu, J. (2020). Evaluating the Adaptation of Chinese Torreya Plantations to Climate Change. Atmosphere, 11(2), 176. https://doi.org/10.3390/atmos11020176

