Correlation of Near-Inertial Wind Stress in Typhoon and Typhoon-Induced Oceanic Near-Inertial Kinetic Energy in the Upper South China Sea
Abstract
1. Introduction
2. Data and Processing Methodology
2.1. Typhoons and Meteorological Observation in the SCS
2.2. Typhoon Data and Atmospheric Forcing
2.3. Slab Model
2.4. Current Data
2.5. SLOSH Model
3. Results and Discussion
3.1. Observed NIWS and Oceanic Near-Inertial Current in Typhoon
3.2. Oceanic NIKE Induced by 12 Typhoons and the Corresponding NIWS
3.3. Relationship among NIKE, NIWS and Typhoon Parameters
3.4. Validation of Typhoon Model
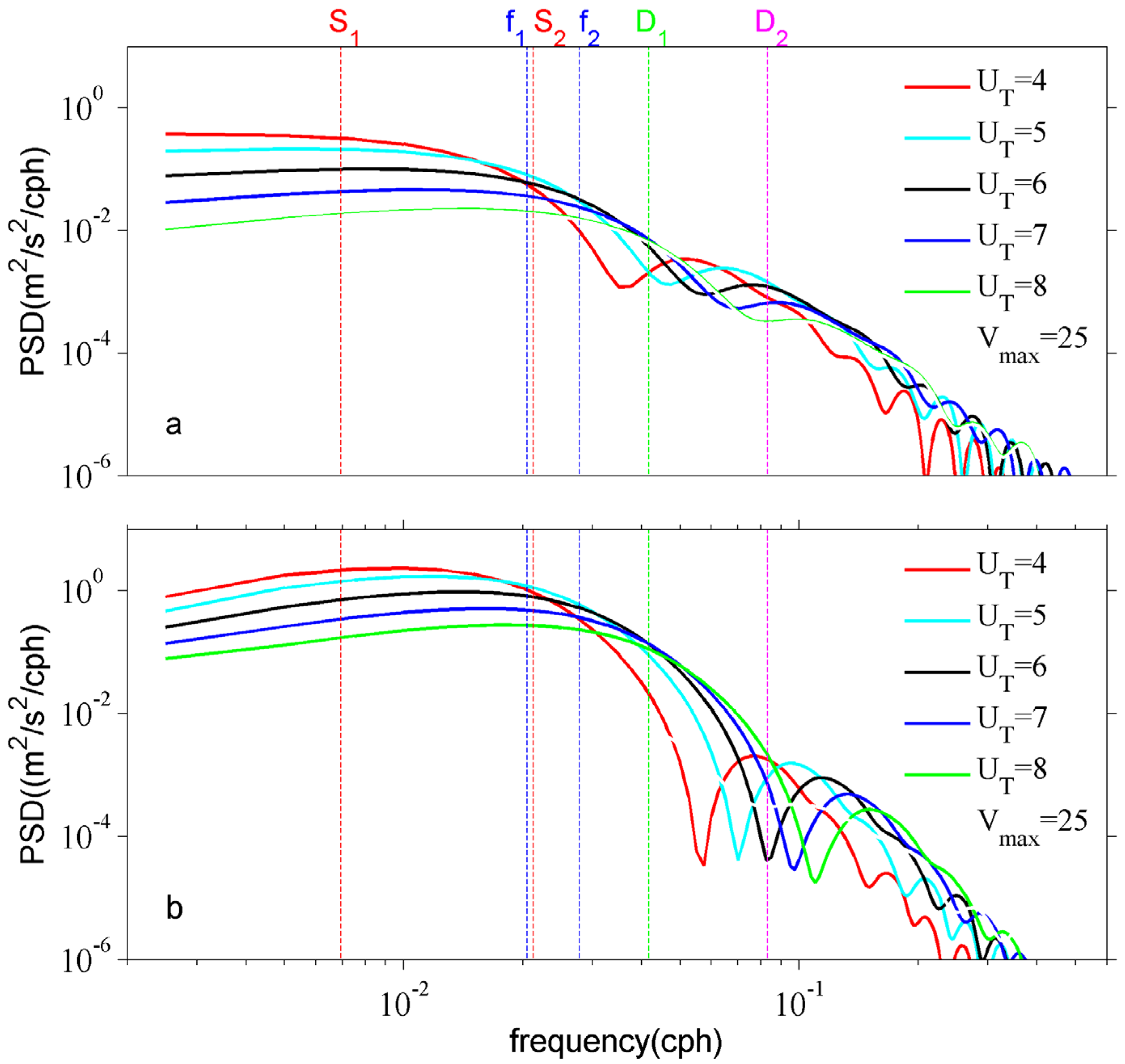
3.5. Sensitivity Experiments and Analysis
4. Conclusions
Author Contributions
Funding
Acknowledgments
Conflicts of Interest
References
- Wunsch, C. The work done by the wind on the oceanic general circulation. J. Phys. Oceanogr. 1998, 28, 2332–2340. [Google Scholar] [CrossRef]
 - Wunsch, C.; Ferrari, R. Vertical mixing, energy, and the general circulation of the oceans. Annu. Rev. Fluid Mech. 2004, 36, 281–314. [Google Scholar] [CrossRef]
 - Ferrari, R.; Wunsch, C. Ocean circulation kinetic energy: Reservoirs, sources, and sinks. Annu. Rev. Fluid Mech. 2009, 41, 253–282. [Google Scholar] [CrossRef]
 - Zhai, X.; Johnson, H.L.; Marshall, D.P.; Wunsch, C. On the wind power input to the ocean general circulation. J. Phys. Oceanogr. 2012, 42, 1357–1365. [Google Scholar] [CrossRef]
 - Gill, A.E. On the behavior of internal waves in the wakes of storms. J. Phys. Oceanogr. 1984, 14, 1129–1151. [Google Scholar] [CrossRef]
 - Munk, W.; Wunsch, C. Abyssal recipes II: Energetics of tidal and wind mixing. Deep Sea Res. Part I 1998, 45, 1977–2010. [Google Scholar] [CrossRef]
 - Zhai, X.; Greatbatch, R.J.; Eden, C.; Hibiya, T. On the loss of wind-induced near-inertial energy to turbulent mixing in the upper ocean. J. Phys. Oceanogr. 2009, 39, 3040–3045. [Google Scholar] [CrossRef]
 - Xu, Z.; Yin, B.; Hou, Y.; Xu, Y. Variability of internal tides and near-inertial waves on the continental slope of the northwestern South China Sea. J. Geophys. Res. 2013, 118, 197–211. [Google Scholar] [CrossRef]
 - Jordi, A.; Wang, D.P. Estimation of wind forcing and analysis of near-inertial motions generated by a storm in a submarine canyon with an ensemble Kalman filter. Cont. Shelf Res. 2015, 94, 17–27. [Google Scholar] [CrossRef]
 - Xiao, J.; Xie, Q.; Wang, D.; Yang, L.; Shu, Y.; Liu, C.; Chen, J.; Yao, J.; Chen, G. On the near-inertial variations of meridional overturning circulation in the South China Sea. Ocean Sci. 2016, 12, 335–344. [Google Scholar] [CrossRef]
 - Liu, L.L.; Wang, W.; Huang, R.X. The mechanical energy input to the ocean induced by tropical cyclones. J. Phys. Oceanogr. 2008, 38, 1253–1266. [Google Scholar] [CrossRef]
 - Ginis, I. Tropical cyclone-ocean interactions. Adv. Fluid Mech. 2002, 33, 83–114. [Google Scholar]
 - Price, J.F.; Sanford, T.B.; Forristall, G.Z. Forced stage response to a moving hurricane. J. Phys. Oceanogr. 1994, 24, 233–260. [Google Scholar] [CrossRef]
 - Frank, W.M. The structure and energetics of the tropical cyclone I. Storm structure. Mon. Weather Rev. 1977, 105, 1119–1135. [Google Scholar] [CrossRef]
 - Sun, Z.; Hu, J.; Zheng, Q.; Gan, J. Comparison of typhoon-induced near-inertial oscillations in shear flow in the northern South China Sea. Acta Oceanol. Sin. 2015, 34, 38–45. [Google Scholar] [CrossRef]
 - Xie, X.H.; Shang, X.D.; Chen, G.Y.; Sun, L. Variations of diurnal and inertial spectral peaks near the bi-diurnal critical latitude. Geophys. Res. Lett. 2009, 36. [Google Scholar] [CrossRef]
 - Nilsson, J. Energy flux from travelling hurricanes to the oceanic internal wave field. J. Phys. Oceanogr. 1995, 25, 558–573. [Google Scholar] [CrossRef]
 - Chen, S.; Polton, J.A.; Hu, J.; Xing, J. Local inertial oscillations in the surface ocean generated by time-varying winds. Ocean Dyn. 2005, 65, 1633–1641. [Google Scholar] [CrossRef]
 - Xie, L.; Liu, H.; Liu, B.; Bao, S. A numerical study of the effect of hurricane wind asymmetry on storm surge and inundation. Ocean Model. 2011, 36, 71–79. [Google Scholar] [CrossRef]
 - Chang, S.W.; Anthes, R.A. Numerical simulations of the ocean’s nonlinear, baroclinic response to translating hurricanes. J. Phys. Oceanogr. 1978, 8, 468–480. [Google Scholar] [CrossRef]
 - Shapiro, L. The asymmetric boundary layer flow under a translating hurricane. J. Atmos. Sci. 1983, 40, 1984–1998. [Google Scholar] [CrossRef]
 - Wang, Y.; Holland, G.J. Tropical cyclone motion and evolution in vertical shear. J. Atmos. Sci. 1996, 53, 3313–3332. [Google Scholar] [CrossRef]
 - Ross, R.J.; Kurihara, Y. A simplified scheme to simulate asymmetries due to the beta effect in barotropic vortices. J. Atmos. Sci. 1992, 49, 1620–1628. [Google Scholar] [CrossRef]
 - Chen, S.; Hu, J.; Polton, J.A. Features of near-inertial motions observed on the northern South China Sea shelf during the passage of two typhoons. Acta Oceanol. Sin. 2015, 34, 38–43. [Google Scholar] [CrossRef]
 - Price, J.F. Upper ocean response to a hurricane. J. Phys. Oceanogr. 1981, 11, 153–175. [Google Scholar] [CrossRef]
 - Sun, L.; Zheng, Q.; Wang, D.; Hu, J.; Tai, C.K.; Sun, Z. A case study of near-inertial oscillation in the South China Sea using mooring observations and satellite altimeter data. J. Oceanogr. 2011, 67, 677–687. [Google Scholar] [CrossRef]
 - Sun, L.; Zheng, Q.A.; Tang, T.Y.; Chuang, W.S.; Li, L.; Hu, J.; Wang, D. Upper ocean near-inertial response to 1998 Typhoon Faith in the South China Sea. Acta Oceanol. Sin. 2012, 31, 25–32. [Google Scholar] [CrossRef]
 - Chen, G.; Xue, H.; Wang, D.; Xie, Q. Observed near-inertial kinetic energy in the northwestern South China Sea. J. Geophys. Res. 2013, 118, 4965–4977. [Google Scholar] [CrossRef]
 - Lin, F.; Liang, C.; Hou, Y.; Liu, Y.; Liu, Z.; Hu, P. Observation of interactions between internal tides and near-inertial waves after typhoon passage in the northern South China Sea. Chin. J. Oceanol. Limnol. 2015, 33, 1279–1285. [Google Scholar] [CrossRef]
 - Ding, W.; Liang, C.; Liao, G.; Li, J.; Lin, F.; Jin, W.; Zhu, L. Propagation characteristics of near-inertial waves along the continental shelf in the wake of the 2008 Typhoon Hagupit in the northern South China Sea. Bull. Mar. Sci. 2018, 94, 1293–1311. [Google Scholar] [CrossRef]
 - Wu, R.; Zhang, H.; Chen, D.; Li, C.; Lin, J. Impact of Typhoon Kalmaegi (2014) on the South China Sea: Simulations using a fully coupled atmosphere-ocean-wave model. Ocean Model. 2018, 131, 132–151. [Google Scholar] [CrossRef]
 - Liu, J.; Cai, S.; Wang, S. Observations of strong near-bottom current after the passage of typhoon pabuk in the south china sea. J. Mar. Syst. 2011, 87, 102–108. [Google Scholar] [CrossRef]
 - Cao, A.; Guo, Z.; Song, J.; Lv, X.; He, H.; Fan, W. Near-Inertial Waves and Their Underlying Mechanisms Based on the South China Sea Internal Wave Experiment (2010–2011). J. Geophys. Res. 2018, 123, 5026–5040. [Google Scholar] [CrossRef]
 - Crawford, G.B.; Large, W.G. A numerical investigation of resonant inertial response of the ocean to wind forcing. J. Phys. Oceanogr. 1996, 26, 873–891. [Google Scholar] [CrossRef]
 - Zhai, X. Latitudinal dependence of wind-induced near-inertial energy. J. Phys. Oceanogr. 2015, 45, 3025–3032. [Google Scholar] [CrossRef]
 - Ying, M.; Zhang, W.; Yu, H.; Lu, X.; Feng, J.; Fan, Y.; Zhu, Y.; Chen, D. An overview of the China Meteorological Administration tropical cyclone database. J. Atmos. Ocean. Technol. 2014, 31, 287–301. [Google Scholar] [CrossRef]
 - Saha, S.; Moorthi, S.; Pan, H.L.; Wu, X.; Wang, J.; Nadiga, S.; Zou, C.-Z.; Liu, Q.; Chen, Y.; Liu, H.; et al. The NCEP climate forecast system reanalysis. Bull. Am. Meteorol. Soc. 2010, 91, 1015–1058. [Google Scholar] [CrossRef]
 - Oey, L.Y.; Ezer, T.; Wang, D.P.; Fan, S.J.; Yin, X.Q. Loop current warming by Hurricane Wilma. Geophys. Res. Lett. 2006, 33. [Google Scholar] [CrossRef]
 - Guan, S.; Zhao, W.; Huthnance, J.; Tian, J.; Wang, J. Observed upper ocean response to typhoon Megi (2010) in the Northern South China Sea. J. Geophys. Res. 2014, 119, 3134–3157. [Google Scholar] [CrossRef]
 - Large, W.G.; Pond, S. Open ocean momentum flux measurements in moderate to strong winds. J. Phys. Oceanogr. 1981, 11, 324–336. [Google Scholar] [CrossRef]
 - Powell, M.D.; Vickery, P.J.; Reinhold, T.A. Reduced drag coefficient for high wind speeds in tropical cyclones. Nature 2003, 422, 279. [Google Scholar] [CrossRef] [PubMed]
 - Dippe, T.; Zhai, X.; Greatbatch, R.J.; Rath, W. Interannual variability of wind power input to near-inertial motions in the North Atlantic. Ocean Dyn. 2015, 65, 859–875. [Google Scholar] [CrossRef]
 - Pollard, R.T.; Millard, R.C. Comparison between observed and simulated wind-generated inertial oscillations. Deep-Sea Res. Oceanogr. Abstr. 1970, 17, 813–816. [Google Scholar] [CrossRef]
 - Alford, M.H. Internal swell generation: The spatial distribution of energy flux from the wind to mixed layer near-inertial motions. J. Phys. Oceanogr. 2001, 31, 2359–2368. [Google Scholar] [CrossRef]
 - Monterey, G.; Levitus, S. Seasonal Variability of Mixed Layer Depth for the World Ocean; NOAA Atlas NESDIS 14; National Oceanic and Atmospheric Administration: Silver Spring, MD, USA, 1997; 100p.
 - Fox, D.N.; Teague, W.J.; Barron, C.N.; Carnes, M.R.; Lee, C.M. The modular ocean data assimilation system (MODAS). J. Atmos. Ocean. Technol. 2002, 19, 240–252. [Google Scholar] [CrossRef]
 - Cummings, J.A. Operational multivariate ocean data assimilation. Quart. J. R. Met. Soc. Part C 2005, 131, 3583–3604. [Google Scholar] [CrossRef]
 - Cummings, A.J.; Smedstad, O.M. Variational Data Assimilation for the Global Ocean. In Data Assimilation for Atmospheric, Oceanic and Hydrologic Applications; Springer: Berlin/Heidelberg, Germany, 2013; Volume II, Chapter 13; pp. 303–343. [Google Scholar]
 - D’Asaro, E.A. The energy flux from the wind to near-inertial motions in the surface mixed layer. J. Phys. Oceanogr. 1985, 15, 1043–1059. [Google Scholar] [CrossRef]
 - Jelesnianski, C.P. Numerical computation of storm surges without bottom stress. Mon. Weather Rev. 1966, 94, 374–379. [Google Scholar] [CrossRef]
 - Zhang, H.; Chen, D.; Zhou, L.; Liu, X.; Ding, T.; Zhou, B. Upper ocean response to typhoon Kalmaegi (2014). J. Geophys. Res. 2016, 121, 6520–6535. [Google Scholar] [CrossRef]
 - Powell, M.D.; Black, P.G. The relationship of hurricane reconnaissance flight-level wind measurements to winds measured by NOAA’s oceanic platforms. J. Wind Eng. Ind. Aerodyn. 1990, 36, 381–392. [Google Scholar] [CrossRef]
 - Krayer, W.R.; Marshall, R.D. Gust factors applied to hurricane winds. Bull. Am. Meteorol. Soc. 1992, 73, 613–618. [Google Scholar] [CrossRef]
 - Anderson, I.; Huyer, A.; Smith, R.L. Near-inertial motions off the Oregon coast. J. Geophys. Res. 1983, 88, 5960–5972. [Google Scholar] [CrossRef]
 - Chen, C.; Reid, R.O.; Nowlin, W.D., Jr. Near-inertial oscillations over the Texas-Louisiana shelf. J. Geophys. Res. 1996, 101, 3509–3524. [Google Scholar] [CrossRef]
 - Chen, S.; Chen, D.; Xing, J. A study on some basic features of inertial oscillations and near-inertial internal waves. Ocean Sci. 2017, 13, 829–836. [Google Scholar] [CrossRef]
 - Greatbatch, R.J. On the response of the ocean to a moving storm: Parameters and scales. J. Phys. Oceanogr. 1984, 14, 59–78. [Google Scholar] [CrossRef]
 - Rayson, M.D.; Ivey, G.N.; Jones, N.L.; Lowe, R.J.; Wake, G.W.; McConochie, J.D. Near-inertial ocean response to tropical cyclone forcing on the Australian North-West Shelf. J. Geophys. Res. 2015, 120, 7722–7751. [Google Scholar] [CrossRef]
 - Xu, J.; Huang, Y.; Chen, Z.; Liu, J.; Liu, T.; Li, J.; Cai, S.; Ning, D. Horizontal variations of typhoon-forced near-inertial oscillations in the south China sea simulated by a numerical model. Cont. Shelf Res. 2019, 39, 1318–1323. [Google Scholar] [CrossRef]
 












| Experiment | Case1 | Case2 | Case3 | Case4 | Case5 | Case6 | Case7 | Case8 | Case9 | 
|---|---|---|---|---|---|---|---|---|---|
| Vmax (m/s) | 25 | 15 | 20 | 30 | 35 | 25 | 25 | 25 | 25 | 
| UT (m/s) | 6 | 6 | 6 | 6 | 6 | 4 | 5 | 7 | 8 | 
© 2019 by the authors. Licensee MDPI, Basel, Switzerland. This article is an open access article distributed under the terms and conditions of the Creative Commons Attribution (CC BY) license (http://creativecommons.org/licenses/by/4.0/).
Share and Cite
Li, J.; Xu, J.; Liu, J.; He, Y.; Chen, Z.; Cai, S. Correlation of Near-Inertial Wind Stress in Typhoon and Typhoon-Induced Oceanic Near-Inertial Kinetic Energy in the Upper South China Sea. Atmosphere 2019, 10, 388. https://doi.org/10.3390/atmos10070388
Li J, Xu J, Liu J, He Y, Chen Z, Cai S. Correlation of Near-Inertial Wind Stress in Typhoon and Typhoon-Induced Oceanic Near-Inertial Kinetic Energy in the Upper South China Sea. Atmosphere. 2019; 10(7):388. https://doi.org/10.3390/atmos10070388
Chicago/Turabian StyleLi, Juan, Jiexin Xu, Junliang Liu, Yinghui He, Zhiwu Chen, and Shuqun Cai. 2019. "Correlation of Near-Inertial Wind Stress in Typhoon and Typhoon-Induced Oceanic Near-Inertial Kinetic Energy in the Upper South China Sea" Atmosphere 10, no. 7: 388. https://doi.org/10.3390/atmos10070388
APA StyleLi, J., Xu, J., Liu, J., He, Y., Chen, Z., & Cai, S. (2019). Correlation of Near-Inertial Wind Stress in Typhoon and Typhoon-Induced Oceanic Near-Inertial Kinetic Energy in the Upper South China Sea. Atmosphere, 10(7), 388. https://doi.org/10.3390/atmos10070388
        
