Next Article in Journal
Phenotypic and Genetic Heterogeneity of a Pakistani Cohort of 15 Consanguineous Families Segregating Variants in Leber Congenital Amaurosis-Associated Genes
Previous Article in Journal
New Axes of Interaction in Circ_0079593/miR-516b-5p Network in Melanoma Metastasis Cell Lines
Previous Article in Special Issue
Genetic Diversity and Population Structure Analysis of Soybean [Glycine max (L.) Merrill] Genotypes Using Agro-Morphological Traits and SNP Markers
 
 
Font Type:
Arial Georgia Verdana
Font Size:
Aa Aa Aa
Line Spacing:
Column Width:
Background:
Article

The Arabidopsis thaliana Double-Stranded RNA Binding Proteins DRB1 and DRB2 Are Required for miR160-Mediated Responses to Exogenous Auxin

by
Kim Zimmerman
1,
Joseph L. Pegler
1,
Jackson M. J. Oultram
1,
David A. Collings
1,2,
Ming-Bo Wang
3,
Christopher P. L. Grof
1,4 and
Andrew L. Eamens
5,*
1
Centre for Plant Science, School of Environmental and Life Sciences, College of Engineering, Science and Environment University of Newcastle, Callaghan, NSW 2308, Australia
2
Research School of Biology, Australian National University, Canberra, ACT 2601, Australia
3
CSIRO Agriculture and Food, Canberra, ACT 2601, Australia
4
School of Agriculture and Food Sustainability, The University of Queensland, St. Lucia, QLD 4072, Australia
5
Seaweed Research Group, School of Health, University of the Sunshine Coast, Maroochydore, QLD 4558, Australia
*
Author to whom correspondence should be addressed.
Genes 2024, 15(12), 1648; https://doi.org/10.3390/genes15121648
Submission received: 28 November 2024 / Revised: 17 December 2024 / Accepted: 18 December 2024 / Published: 21 December 2024
(This article belongs to the Special Issue Plant Genetic Diversity and Omics Research)

Abstract

DOUBLE-STRANDED RNA BINDING (DRB) proteins DRB1, DRB2, and DRB4 are essential for microRNA (miRNA) production in Arabidopsis thaliana (Arabidopsis) with miR160, and its target genes, AUXIN RESPONSE FACTOR10 (ARF10), ARF16, and ARF17, forming an auxin responsive miRNA expression module crucial for root development. Methods: Wild-type Arabidopsis plants (Columbia-0 (Col-0)) and the drb1, drb2, and drb12 mutants were treated with the synthetic auxin 2,4-dichlorophenoxyacetic acid (2,4-D), and the miR160-mediated response of these four Arabidopsis lines was phenotypically and molecularly characterized. Results: In 2,4-D-treated Col-0, drb1 and drb2 plants, altered miR160 abundance and ARF10, ARF16, and ARF17 gene expression were associated with altered root system development. However, miR160-directed molecular responses to treatment with 2,4-D was largely defective in the drb12 double mutant. In addition, via profiling of molecular components of the miR160 expression module in the roots of the drb4, drb14, and drb24 mutants, we uncovered a previously unknown role for DRB4 in regulating miR160 production. Conclusions: The miR160 expression module forms a central component of the molecular and phenotypic response of Arabidopsis plants to exogenous auxin treatment. Furthermore, DRB1, DRB2, and DRB4 are all required in Arabidopsis roots to control miR160 production, and subsequently, to appropriately regulate ARF10, ARF16, and ARF17 target gene expression.

1. Introduction

The AUXIN/INDOLE-3-ACETIC ACID (Aux/IAA), TRANSPORT INHIBITOR RESPONSE (TIR), and AUXIN RESPONSE FACTOR (ARF) gene families form the three main gene families that direct the molecular responses of Arabidopsis thaliana (Arabidopsis) to auxin signaling and the intracellular perception of auxin [1,2,3,4,5]. ARF function is repressed in the absence of auxin by their interaction with specific members of the Aux/IAA protein family [2,3,4]. The ARF protein family contains 23 members in Arabidopsis, of which five function as transcriptional activators, with the remaining 18 functioning as transcriptional repressors [2]. The transcription factor function of each ARF is determined by three regions of each protein, including the N-terminal DNA-binding domain (DBD), an activator (AD) or repressor domain (RD) positioned in the central region of the protein, and the dimerization domain (CTD) located at the C-terminal region [6,7]. The CTD facilitates the formation of ARF:Aux/IAA heterodimers, and directs the ARF:ARF dimerization required for the transcription factor function of each ARF [6,7,8]. The DBD mediates the interaction of ARF protein dimers with the promoter of each AUXIN RESPONSE GENE (ARG), where the AD or RD locate the cis-acting AUXIN RESPONSE ELEMENTs (AREs) to direct either ARG transcription activation or repression [6,7].
Through transcriptional control of ARG activity, ARFs play numerous and functionally diverse roles in plant development. For example, ARF5 and ARF7, both transcriptional activators, are major players in embryonic patterning [9]. Furthermore, ARF5, independent of ARF7, regulates primary root initiation [10]. This underlines the importance of ARFs from the earliest stages of plant development. In addition, ARF1 and ARF2 exemplify the importance of ARF-directed regulation of ARG expression throughout Arabidopsis development, as they function together to regulate leaf senescence and floral organ abscission [11], processes important for the later stages of vegetative development, and ultimately, the final stage of the Arabidopsis life cycle, reproduction. Given their importance in Arabidopsis development, it is unsurprising that several ARF gene family members are themselves under additional regulation at the molecular level. Specifically, (1) microRNA160 (miR160) post-transcriptionally regulates ARF10, ARF16, and ARF17 expression [12,13]; (2) miR167 controls ARF6 and ARF8 transcript abundance [14,15]; and (3) ARF2, ARF3, and ARF4 are regulated at the posttranscriptional level by tasiARF, a trans-acting small-interfering RNA (tasiRNA) [16]. The small RNA (sRNA)-regulated ARF genes in each of the regulated subclades show a close phylogenetic relationship and those within each subclade have closely related functions. For example, ARF2, ARF3, and ARF4 all function to determine the polarity of leaves or other organs [11,17]. The two miR167 targets, ARF6 and ARF8, have an even closer relationship, functioning redundantly in regulating flower maturation [14,17,18]. The miR160-regulated family members, ARF10, ARF16, and ARF17, play a role in regulating root cap development, lateral root primordia formation, and root growth [12,13]. The ARF10 and ARF16 proteins function either in concert with each other or redundantly, to control root development [13]. ARF17 encodes a protein that is truncated at its C-terminus [2], which likely accounts for its functional divergence from ARF10 and ARF16.
Like miR160 and miR167, numerous other miRNAs play central roles in regulating the expression of developmentally important genes in Arabidopsis [19,20,21]. Each miRNA is processed from a stem-loop structured double-stranded RNA (dsRNA) precursor by the RNase III-like endonuclease DICER-LIKE1 (DCL1) in conjunction with a dsRNA BINDING (DRB) protein. Arabidopsis encodes five DRBs, of which DRB1 functions with DCL1 to produce most Arabidopsis miRNAs [22,23,24]. Specifically, DRB1 positions DCL1 on the stem-loop of the miRNA precursor to ensure accurate processing [25,26,27]. miRNA production via the DRB1/DCL1 functional partnership occurs via a two-step process: (1) DCL1 cleaves off the unpaired 5′ and 3′ regions of the primary-miRNA (pri-miRNA) to leave only the stem-loop structured region termed the precursor-miRNA (pre-miRNA); and (2) DCL1 next removes the loop and part of the stem arms of the pre-miRNA to liberate the miRNA/miRNA* duplex [23,25,26,27]. DRB1 then orientates the miRNA/miRNA* duplex for its directional loading into the ARGONAUTE1 (AGO1) endonuclease for AGO1-catalyzed cleavage of the miRNA* passenger strand [28]. AGO1 retains the miRNA guide strand to form the miRNA-induced silencing complex (miRISC), which directs the expression regulation of target gene transcripts that have high sequence complementarity to the loaded miRNA [29,30,31,32].
While DRB1 is the primary DRB protein involved in miRNA production in Arabidopsis, two other DRB proteins, DRB2 and DRB4, also play roles in miRNA production [33,34,35,36]. DRB4 interacts with DCL4 to process the non-conserved (or newly evolved) subclass of Arabidopsis miRNAs from highly structured stem-loop precursors which have extensive dsRNA base-pairing between the two stem arms and minimal loop regions, structural features recognized by DRB4 [28,33,34]. Like DRB1 and DCL1, DRB4 accurately positions DCL4 on these specifically structured precursors to ensure efficient processing of the non-conserved miRNA subclass [33,34]. Unlike DRB1 and DRB4, which interact exclusively with DCL1 and DCL4, respectively, DRB2 appears to be able to functionally interact with both DCL endonucleases, with this DRB2 interaction likely disrupting the canonical DRB1/DCL1 and DRB4/DCL4 functional partnerships [28,34,35,36,37]. However, the involvement of DRB2 in miRNA production in Arabidopsis is limited to specific miRNA subsets due to the expression of DRB2 being restricted to developmentally important tissues [35,36,37,38].
In this study, we investigated the roles of DRB proteins in the miR160/ARF10/ARF16/ARF17 expression module in Arabidopsis root system development following the application of the synthetic auxin 2,4-dichlorophenoxyacetic acid (2,4-D). We first examined the phenotypic changes of wild-type Arabidopsis plants (ecotype Columbia-0 (Col-0)) and the drb1, drb2, and drb12 mutants, and studied the expression profiles of the various components in the miR160 expression module after 2,4-D treatment. These experiments revealed altered miR160 accumulation and ARF10, ARF16, and ARF17 gene expression in Col-0, drb1, and drb2 plants after 2,4-D treatment, molecular changes which were associated with the altered root system development observed in these three Arabidopsis lines. However, such molecular and phenotypic responses to 2,4-D were largely defective in the drb12 double mutant. In addition, molecular profiling of all components of the miR160 expression module in the drb4, drb14, and drb24 mutant backgrounds revealed a previously unknown role for DRB4 in supplying an additional layer of regulatory complexity to the miR160 expression module. Together, our results show that DRB1, DRB2, and DRB4 all play a role in regulating miR160 production to subsequently ensure tight control of miR160-directed regulation of ARF10, ARF16, and ARF17 expression, and to thus guarantee normal development of the Arabidopsis root system.

2. Materials and Methods

2.1. Plant Lines, Growth Conditions, and Phenotypic Assessments

The Arabidopsis thaliana (Arabidopsis) ecotype Columbia-0 (Col-0) was used as the wild-type control for all experiments and the drb single mutants, drb1-1 (drb1; SALK_064863), drb2-1 (drb2; GABI_348A09), and drb4-1 (drb4; SALK_000736), which harbor a T-DNA insertion mutation in the DRB1 (AT1G09700), DRB2 (AT2G28380), and DRB4 (AT3G62800) locus, respectively, are also in the Col-0 background, and have been described previously [28,34,38]. The double mutant lines used in this study, specifically the drb1-1 drb4-1 (drb14), and drb2-1 drb4-1 (drb24) double mutants, were generated via standard genetic crossing [34,35,37,38]. Seed sterilization, stratification, and germination, and subsequent plant growth were exactly as described in our previous study [39]. At day 10, healthy Col-0, drb1, drb2, and drb12 seedlings were transferred to fresh MS growth medium which had been supplemented with either 0.0 (untreated controls), 0.1, or 1.0 micromolar (μM) of 2,4-D (Sigma Aldrich, Melbourne, Australia). Post seedling transfer, medium plates were resealed with gas permeable tape and returned to the temperature-controlled growth cabinet for 24 h. The 0.0, 0.1, and 1.0 μM 2,4-D treated seedlings were next transferred to fresh MS medium plates which contained standard plant growth medium; the plates were sealed with gas permeable tape, and then returned to the temperature-controlled growth cabinet. For this third period of cultivation, the plates were orientated vertically for a 10-day period under standard Arabidopsis growth conditions [39]. To investigate the potential regulatory involvement of DRB4 in the miR160 expression module, Col-0, drb4, drb14, and drb24 seeds were sterilized, stratified, and cultivated on horizontally-orientated medium plates for a 10-day period, as outlined above for the other lines. At day 10, healthy seedlings were selected for transferal to fresh MS medium plates; the plates were sealed with gas permeable tape, and then returned to the temperature-controlled growth cabinet where they were orientated vertically for a further 11-day cultivation period under standard Arabidopsis growth conditions, as outlined in [39]. This additional day of cultivation post seedling transfer was included so that all the phenotypic and molecular analyses performed in this study were conducted on 21-day-old plants. At day 21, images of each of the seven Arabidopsis lines under assessment were captured and processed exactly as outlined in our previous study [39].

2.2. RNA Extraction, Complementary DNA Synthesis, and Gene Expression Analysis

For the molecular assessments, total RNA was extracted from three biological replicates of pooled root material sampled from six 21-day-old vertically grown seedlings of the plant lines Col-0, drb1, drb2, drb4, drb12, drb14, and drb24, using TRIzolTM Reagent according to the protocol of the manufacturer (Thermo Fisher Scientific, Sydney, Australia). The synthesis of a miR160-specific complementary DNA (cDNA), or the synthesis of a high molecular weight cDNA library, was performed exactly as outlined in our previous study [39]. The quantification of miR160 abundance or the expression of each assessed gene was also conducted exactly as outlined in our previous study [39]. miR160 abundance and gene transcript expression were quantified using the 2−∆∆CT method with the small nucleolar RNA, snoR101, and ELONGATION FACTOR-1α (EF-1α; AT5G60390) used as the respective internal controls to normalize the relative abundance of miR160 or the level of expression of each assessed gene. For all RT-qPCR experiments reported here, three biological replicates consisting of pools of six individual plants were used per sample, and three technical replicates were performed per biological replicate. The sequence of each DNA oligonucleotide used in this study, either for the synthesis of a miR160-specific cDNA, or to quantify gene transcript abundance via RT-qPCR, is provided in Table S1.

2.3. Statistical Analysis

The data generated for statistical analysis in this study were obtained from three biological replicates of each analyzed plant line and each biological replicate consisted of a pool of six individual 21-day-old plants. Statistical analysis was performed using a standard two-tailed t-test. Different degrees of statistical significance are represented in Figure 1, Figure 2, Figure 3, Figure 4 and Figure 5 via the use of an asterisk (*), where * p ≤ 0.05, ** p ≤ 0.01, and *** p ≤ 0.001. The absence of an asterisk above a column in the graphs presented in Figure 1, Figure 2, Figure 3 and Figure 4 indicates that there was no statistically significance difference between the control sample (0.0 μM 2,4-D) and 0.1 and 1.0 μM 2,4-D treated samples. Similarly, in Figure 5, the lack of an asterisk above a column in the presented graphs shows no statistically significant difference between Col-0 plants and the drb4, drb14, and drb24 mutants.

3. Results

3.1. Phenotypic and Molecular Analysis of Wild-Type Arabidopsis Plants Treated with the Synthetic Auxin 2,4-Dichlorophenoxyacetic Acid

The miR160/ARF10/ARF16/ARF17 expression module provides an excellent system to study the complex interaction between miRNA-mediated regulation of ARF gene expression and Arabidopsis root development. Two concentrations of the synthetic auxin 2,4-dichlorophenoxyacetic acid (2,4-D) were applied to wild-type Arabidopsis (Col-0) plants, and to the drb1, drb2, and drb12 mutants via direct root contact. The period of exposure to 2,4-D was limited to 24 h, and the phenotypic changes and molecular alterations stemming from treatment with the two assessed synthetic auxin concentrations in Col-0, drb1, drb2, and drb12 plants were observed 10 days later to uncover the relationship between modification of the auxin signaling pathway and miR160-directed regulation of ARF10, ARF16, and ARF17 expression.
Figure 1A shows that at the whole plant level, the application of 1.0 μM 2,4-D impacted the development of Col-0 seedlings to a much greater degree than 0.1 μM 2,4-D and, considering that primary root growth is one of the major developmental processes regulated by auxin [40], this formed the first phenotypic metric assessed. The average length of the primary root of a 21-day-old Col-0 seedling was 38 millimeters (mm) (Figure 1B). The primary root length of 0.1 μM treated Col-0 (Col-0/0.1 μM) seedlings was significantly elevated by 18.4% to 45 mm and elevated to a lesser degree (10.5%) in 1.0 μM Col-0 (Col-0/1.0 μM) plants to 42 mm (Figure 1B). Lateral and adventitious root development has also been shown to be influenced by exogenous auxin application [39,41,42,43], or via molecular modification of components of the miR160 expression module [12,39]; therefore, these two phenotypic metrics were also quantified. Untreated 21-day-old Col-0 plants developed an average of 12 lateral and 1.5 adventitious roots (Figure 1C,D). In 0.1 μM and 1.0 μM 2,4-D treated Col-0 plants, lateral root development was significantly promoted by 83.3% and 200.8% with an average of 22 and 37 lateral roots forming in Col-0/0.1 μM and Col-0/1.0 μM plants, respectively (Figure 1C). In Col-0/0.1 μM plants, adventitious root development was only mildly enhanced by 20.0% with an average of 1.8 adventitious roots forming per plant (Figure 1D). However, adventitious root development was significantly enhanced by 193.3% in Col-0/1.0 μM plants with an average of 4.4 adventitious roots forming after treatment with the higher concentration of 2,4-D (Figure 1D). The phenotypic properties displayed by the rosette and other aerial tissues of an Arabidopsis plant also form excellent indicators of overall plant health, and the communication status between root and shoot tissues in response to the external environment [44,45,46]. The total surface area of the rosette of Col-0 plants treated with 0.1 μM 2,4-D was only mildly increased by 3.7% to 28 mm squared (mm2) from an average rosette surface area of 27 mm2 for Col-0/0.0 μM plants (Figure 1E). In contrast, the application of 1.0 μM 2,4-D had a negative impact on Col-0 aerial tissue development, with the total surface area of the rosette of Col-0/1.0 μM plants significantly reduced by 24.7% to 20.5 mm2 (Figure 1E).
At the molecular level, the miR160 expression module forms a highly complex module in Arabidopsis with the miR160 sRNA processed from three precursor transcripts transcribed from three MIR genes at distinct genome positions, specifically loci MIR160A (AT2G39175), MIR160B (AT4G17788), and MIR160C (AT5G46845). Furthermore, post its processing from the PRE-MIR160A, PRE-MIR160B, and PRE-MIR160C precursors via either DRB1-dependent or DRB2-dependent mechanisms [25,28,39], the abundance of miR160 is further regulated in a spatiotemporal manner by two endogenous target mimics (eTMs), eTM160-1 and eTM160-2 [47,48], which together, fine tune the degree of miR160-directed regulation of ARF10, ARF16, and ARF17 gene expression [12,13,39].
Figure 1. Phenotypic and molecular analysis of Col-0 plants treated with 2,4-D. (A) Representative phenotypes displayed by three individual 21-day-old untreated Col-0 plants or following the treatment of Col-0 plants with 0.1 μM and 1.0 μM 2,4-D. Scale bar = 1.0 cm. (BE) Quantification of primary root length (B), lateral root number (C), adventitious root number (D), and rosette leaf surface area (E) of 21-day-old untreated Col-0 plants or following the treatment of Col-0 plants with 0.1 μM and 1.0 μM 2,4-D. (FQ) Molecular analysis of all components of the miR160 expression module in the roots of 21-day-old untreated Col-0 plants or following the treatment of Col-0 plants with 0.1 μM and 1.0 μM 2,4-D, including profiling the expression of PRE-MIR160A (F), PRE-MIR160B (G), PRE-MIR160C (H), miR160 (I), eTM160-1 (J), eTM160-2 (K), ARF10 (L), ARF16 (M), ARF17 (N), DRB1 (O), DRB2 (P), and DRB4 (Q). (BQ) All phenotypic and molecular analyses relied on the use of three biological replicates and each replicate consisted of a pool of six plants. Altered development (BE) or changed transcript abundance (FQ) was determined via comparison of the Col-0/0.1 μM and Col-0/1.0 μM treated samples to the values obtained for the untreated Col-0/0.0 μM sample by a standard two-tailed t-test. Error bars represent the standard error of the mean (SEM) and an asterisk (*) shows * p ≤ 0.05, ** p ≤ 0.01, *** p ≤ 0.001.
Figure 1. Phenotypic and molecular analysis of Col-0 plants treated with 2,4-D. (A) Representative phenotypes displayed by three individual 21-day-old untreated Col-0 plants or following the treatment of Col-0 plants with 0.1 μM and 1.0 μM 2,4-D. Scale bar = 1.0 cm. (BE) Quantification of primary root length (B), lateral root number (C), adventitious root number (D), and rosette leaf surface area (E) of 21-day-old untreated Col-0 plants or following the treatment of Col-0 plants with 0.1 μM and 1.0 μM 2,4-D. (FQ) Molecular analysis of all components of the miR160 expression module in the roots of 21-day-old untreated Col-0 plants or following the treatment of Col-0 plants with 0.1 μM and 1.0 μM 2,4-D, including profiling the expression of PRE-MIR160A (F), PRE-MIR160B (G), PRE-MIR160C (H), miR160 (I), eTM160-1 (J), eTM160-2 (K), ARF10 (L), ARF16 (M), ARF17 (N), DRB1 (O), DRB2 (P), and DRB4 (Q). (BQ) All phenotypic and molecular analyses relied on the use of three biological replicates and each replicate consisted of a pool of six plants. Altered development (BE) or changed transcript abundance (FQ) was determined via comparison of the Col-0/0.1 μM and Col-0/1.0 μM treated samples to the values obtained for the untreated Col-0/0.0 μM sample by a standard two-tailed t-test. Error bars represent the standard error of the mean (SEM) and an asterisk (*) shows * p ≤ 0.05, ** p ≤ 0.01, *** p ≤ 0.001.
Genes 15 01648 g001
Compared to the roots of Col-0/0.0 μM plants, PRE-MIR160A, PRI-MIR160B, and PRE-MIR160C transcript abundance was reduced by 1.8-, 1.3-, and 2.0-fold in the roots of Col-0/0.1 μM plants (Figure 1F–H). In Col-0/1.0 μM roots, PRE-MIR160A transcript abundance remained unchanged (Figure 1F), while the level of expression of PRE-MIR160B and PRE-MIR160C was elevated by 1.9-fold (Figure 1G) and reduced by 1.4-fold, respectively (Figure 1H). Decreased precursor transcript abundance in Col-0/0.1 μM roots suggested that these three precursors were more efficiently processed following treatment of Col-0 plants with 0.1 μM 2,4-D, which was in turn, expected to result in higher levels of miR160 accumulation. However, the abundance of miR160 was greatly reduced by 10.0-fold in Col-0/0.1 μM roots (Figure 1I), and not elevated as expected. Considering that PRE-MIR160A abundance remained unchanged, PRE-MIR160B levels were significantly elevated, and that PRE-MIR160C abundance was moderately reduced in Col-0 roots following treatment with 1.0 μM 2,4-D (Figure 1F–H), a more tempered alteration to miR160 abundance was expected. Accordingly, miR160 levels were reduced by 2.0-fold in Col-0/1.0 μM roots (Figure 1I). RT-qPCR next revealed that eTM160-1 and eTM160-2 transcript abundance was mildly decreased by 1.3-fold and 1.1-fold, respectively (Figure 1J,K), in response to the significant decrease in the level of their regulated miR160 in Col-0/0.1 μM roots (Figure 1I). In contrast, the abundance of the eTM160-1 transcript was significantly elevated by 6.8-fold (Figure 1J), and the level of eTM160-2 remained unchanged in Col-0/1.0 μM roots (Figure 1K), compared to their levels in Col-0/0.0 μM roots.
In response to significantly reduced miR160 accumulation in Col-0/0.1 μM roots, ARF10 expression was mildly reduced by 1.1-fold (Figure 1L), ARF16 expression was significantly elevated by 5.0-fold (Figure 1M), and ARF17 expression was mildly increased by 1.1-fold (Figure 1N). Taken together, these target gene expression trends indicated that only the ARF16 target gene was responsive to altered miR160 abundance in 0.1 μM 2,4-D treated Col-0 roots. In Col-0/1.0 μM roots where miR160 accumulation was reduced by 2.0-fold (Figure 1I), ARF10 and ARF17 gene expression was also mildly reduced by 1.1- and 1.3-fold, respectively (Figure 1L,N), and ARF16 expression was elevated by 1.4-fold (Figure 1M). Again, these target gene expression trends indicated that of the three miR160 targets assessed, only ARF16 was responsive to altered miR160 accumulation in the roots of Col-0 plants after treatment with exogenous auxin. To attempt to provide further insight into the transcript abundance trends documented for some components of the miR160 expression module in the roots of 21-day-old Col-0 plants treated with 2,4-D, the level of expression of the three nucleus-localized DRB proteins assigned functional roles in miRNA production in Arabidopsis, including DRB1, DRB2, and DRB4, was also assessed via RT-qPCR. In Col-0/0.1 μM roots, DRB1, DRB2 and DRB4 expression was reduced by 1.2-, 1.1-, and 1.6-fold, respectively (Figure 1O–Q). In Col-0/1.0 μM roots, DRB1 expression was mildly increased by 1.3-fold (Figure 1O), and the expression of DRB2 and DRB4 was significantly reduced by 2.2- and 1.6-fold, respectively (Figure 1P,Q).
Molecular profiling of components at each stage of the miR160 expression module failed to identify expected abundance trends for a number of the components assessed via RT-qPCR in Col-0 roots following their treatment with 2,4-D. Taking the findings made in Col-0/0.1 μM roots as an example, the transcript abundance of PRE-MIR160A, PRE-MIR160B, PRE-MIR160C, miR160, eTM160-1, eTM160-2, ARF10, and ARF17 were all reduced. However, reduced precursor transcript abundance was expected to result in elevated miR160 abundance due to enhanced precursor transcript processing efficiency, and similarly, reduced miR160 abundance was expected to increase ARF target gene expression due to relaxation of miR160-directed expression regulation. However, the RT-qPCR analyses presented in Figure 1 did not identify these expected transcript abundance trends. Therefore, we next applied a bioinformatic approach to profile the promoter landscapes of the encoding loci of the individual components of the miR160 expression module, which were assessed by RT-qPCR in Col-0 roots to obtain a more thorough understanding of the influence which exogenous auxin application may have had on the transcriptional activity of each analyzed component of the miR160 expression module. The nucleotide sequences of known AREs in Arabidopsis gene promoters, including TGTCTC, GAGACA, AGAAACAT, AGAAACAA, and NGATT (where ‘N’ represents any nucleotide) were aligned to the putative promoter regions (two kilobases (2 kb) of the genomic DNA sequence immediately upstream of the transcription start site of each gene) of each gene encoding a component of the miR160 expression module using three different online programs, including PlantCARE [49], PLACE [50], and AtcisDB [51].
Table 1. Bioinformatic assessment of the cis-acting element landscape of the promoter regions of miR160 expression module genes to determine the presence of AREs.
Table 1. Bioinformatic assessment of the cis-acting element landscape of the promoter regions of miR160 expression module genes to determine the presence of AREs.
Gene NamePlantCARE [49]PLACE [50]AtcisDB [51]
MIR160A×N/A
MIR160BN/A
MIR160C×N/A
eTM160-1×N/A
eTM160-2×N/A
ARF10
ARF16×
ARF17×
DRB1××
DRB2××
DRB4×
Confirmation of the presence of an ARE in the promoter region of a miR160 expression module gene is denoted by the check mark (✔) symbol, whereas the failure to identify an ARE in a promoter region of a miR160 expression module gene by the three online programs is denoted by a cross (×) symbol.
Three different programs were used for this analysis as each program uses a unique set of parameters to determine the presence or absence of cis-acting elements in gene promoters. Therefore, utilizing this program combination was considered the best strategy to obtain a comprehensive overview of the ARE cis-acting element landscape of each miR160 expression module gene. Table 1 shows that ARF10 was the only gene identified by all three programs to harbor an ARE in its promoter region. Loci MIR160B, ARF16, and ARF17, as well as DRB4, which was included in this analysis due to its known role in tasiARF production [52], were identified by two of the three programs to harbor an ARE(s) in their promoter regions. A higher level of confidence in ARE identification in the promoter regions of the 11 assessed genes could not be achieved via the applied bioinformatic approach as the AtcisDB program is not capable of assessing the promoter region cis-acting element landscapes of non-coding genes in addition to its ability to interrogate the cis-acting element landscapes of protein-coding gene promoters. However, at least one of the three programs used did confirm the presence of an ARE in the promoter regions of the six remaining miR160 module genes also included in this in silico analysis, including ARE identification in the promoter regions of the MIR160A, MIR160C, ETM160-1, ETM160-2, DRB1, and DRB2 genes (Table 1). When the Table 1 data are considered together with the transcript abundance trends presented in Figure 1, these findings (1) identify all analyzed miR160 expression module genes as ARGs due to the presence of ARE cis-acting elements in their promoter regions, and (2) suggest that at least some of the unexpected abundance trends identified by RT-qPCR are the result of the influence of the exogenously applied 2,4-D at the transcriptional level, in addition to the multilayered regulatory complexity of various components of the miR160 expression module at the posttranscriptional level.

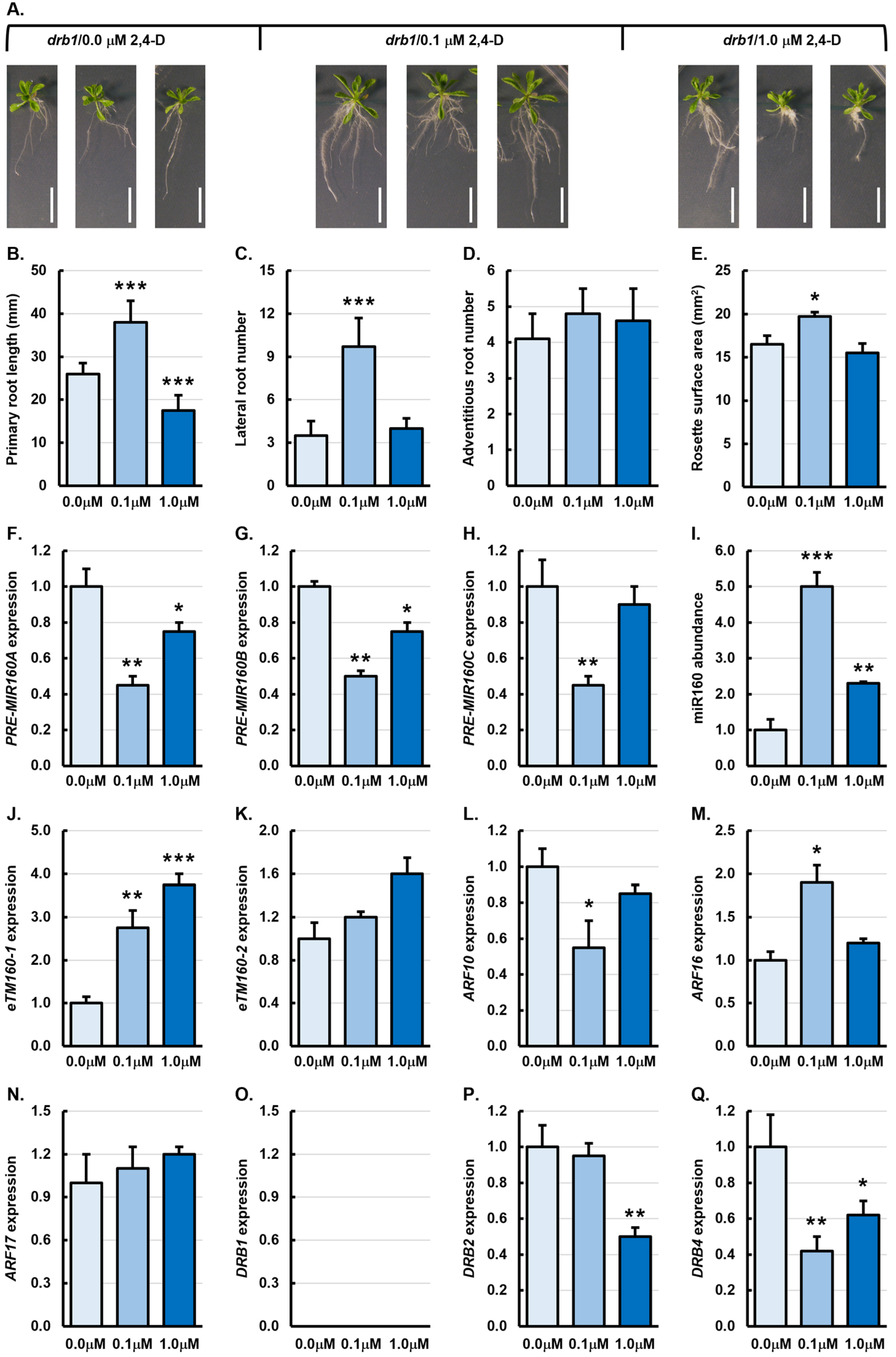
3.2. Phenotypic and Molecular Analysis of the drb1 Single Mutant Treated with the Synthetic Auxin 2,4-Dichlorophenoxyacetic Acid

Figure 2A shows the severely impeded development of the drb1 mutant, a phenotype which has been described in detail previously [22,28,38] and which is the result of defective production of most Arabidopsis miRNAs in the absence of DRB1 forming a functional partnership with DCL1 [23,24,25,26,27,28]. Figure 2A also readily shows that treatment of drb1 plants with 0.1 μM 2,4-D (drb1/0.1 μM plants) enhanced the development of both aerial structures and the root system of drb1/0.1 μM plants, while treatment of drb1 plants with 1.0 μM 2,4-D (drb1/1.0 μM plants) appeared to only impact primary root development. Promotion of phenotypic properties of the aerial and root tissues of drb1 plants following treatment with 0.1 μM 2,4-D was confirmed via quantification of primary root length, lateral and adventitious root number, and rosette surface area (Figure 2B–E). More specifically, the primary root length of drb1/0.1 μM plants was significantly increased by 46.2% to 38 mm from 26 mm for untreated drb1 control plants (drb1/0.0 μM plants) (Figure 2B). Similarly, lateral root formation was also significantly enhanced in drb1/0.1 μM plants, increased by 177.1% with drb1/0.1 μM plants forming an average of 9.7 lateral roots, compared to the average lateral root number of 3.5 for drb1/0.0 μM plants (Figure 2C). Although not to the same degree as determined for primary root length and lateral root number in drb1/0.1 μM plants, adventitious root number and rosette surface area were also enhanced in drb1 mutant plants treated with the lower concentration of 2,4-D (Figure 2D,E). Moreover, the drb1 control plants formed an average of 4.1 adventitious roots and developed a rosette with an average surface area of 16.5 mm2, whereas the adventitious root number was increased by 17.1% to 4.8 (Figure 2D), and the rosette surface area was increased by 19.4% to 19.7 mm2 (Figure 2E) in drb1/0.1 μM plants. In direct contrast to the promotion of primary root length in drb1/0.1 μM plants, primary root length was significantly reduced by 32.7% to 17.5 mm in drb1/1.0 μM plants (Figure 2B). The phenotypic metrics of the lateral root number, adventitious root number, and rosette surface area all showed mild alterations in drb1/1.0 μM plants compared to drb1/0.0 μM plants. Namely, lateral and adventitious root numbers were increased by 14.3% and 12.2% to 4.0 and 4.6 lateral and adventitious roots, respectively (Figure 2C,D), and rosette surface area was reduced by 6.1% to 15.5 mm2 (Figure 2E).
The level of PRE-MIR160A, PRE-MIR160B, and PRE-MIR160C expression was significantly reduced by 2.2-, 2.0-, and 2.2-fold, respectively, in drb1/0.1 μM roots compared to the level of expression of the three miR160 precursor transcripts in drb1/0.0 μM roots (Figure 2F–H). Accordingly, miR160 abundance was found to be significantly elevated by 5.0-fold in drb1/0.1 μM roots compared to its level in drb1/0.0 μM roots (Figure 2I), a finding which indicated that elevated miR160 abundance was the result of enhanced precursor transcript processing efficiency in the roots of the drb1 mutant after its treatment with 0.1 μM 2,4-D (Figure 2F–I). The level of both eTMs was also increased in drb1/0.1 μM roots, with eTM160-1 levels increased by 2.8-fold (Figure 2J) and eTM160-2 transcript abundance elevated by 1.2-fold (Figure 2K), expression trends that indicated that both eTMs were scaling in abundance according to the level of their regulated miRNA (Figure 2I). In response to elevated miR160 abundance in drb1/0.1 μM roots, ARF10 expression was reduced by 1.8-fold (Figure 2L), and the expression of the ARF16 and ARF17 target genes was elevated by 1.9- and 1.1-fold, respectively (Figure 2M,N).
Figure 2. Phenotypic and molecular analysis of 21-day-old drb1 plants treated with 2,4-D. (A) Representative phenotypes displayed by three individual 21-day-old untreated drb1 control plants or following treatment of drb1 plants with 0.1 μM and 1.0 μM 2,4-D. Scale bar = 1.0 cm. (BE) Quantification of primary root length (B), lateral root number (C), adventitious root number (D), and rosette leaf surface area (E) of 21-day-old untreated drb1 control plants or following the treatment of drb1 plants with 0.1 μM and 1.0 μM 2,4-D. (FQ) Molecular analysis of all components of the miR160 expression module in the roots of 21-day-old untreated drb1 plants or following treatment of drb1 plants with 0.1 μM and 1.0 μM 2,4-D, including profiling of the expression of PRE-MIR160A (F), PRE-MIR160B (G), PRE-MIR160C (H), miR160 (I), eTM160-1 (J), eTM160-2 (K), ARF10 (L), ARF16 (M), ARF17 (N), DRB1 (O), DRB2 (P), and DRB4 (Q). (BQ) All phenotypic and molecular analyses relied on the use of three biological replicates with each biological replicate consisting of a pool of six plants. Altered development (BE) or a change in transcript abundance (FQ) was determined via comparison of the drb1/0.1 μM and drb1/1.0 μM treated samples to the values obtained for the untreated drb1/0.0 μM control sample by a standard two-tailed t-test. Error bars represent the standard error of the mean (SEM) and an asterisk (*) shows * p ≤ 0.05, ** p ≤ 0.01, *** p ≤ 0.001.
Figure 2. Phenotypic and molecular analysis of 21-day-old drb1 plants treated with 2,4-D. (A) Representative phenotypes displayed by three individual 21-day-old untreated drb1 control plants or following treatment of drb1 plants with 0.1 μM and 1.0 μM 2,4-D. Scale bar = 1.0 cm. (BE) Quantification of primary root length (B), lateral root number (C), adventitious root number (D), and rosette leaf surface area (E) of 21-day-old untreated drb1 control plants or following the treatment of drb1 plants with 0.1 μM and 1.0 μM 2,4-D. (FQ) Molecular analysis of all components of the miR160 expression module in the roots of 21-day-old untreated drb1 plants or following treatment of drb1 plants with 0.1 μM and 1.0 μM 2,4-D, including profiling of the expression of PRE-MIR160A (F), PRE-MIR160B (G), PRE-MIR160C (H), miR160 (I), eTM160-1 (J), eTM160-2 (K), ARF10 (L), ARF16 (M), ARF17 (N), DRB1 (O), DRB2 (P), and DRB4 (Q). (BQ) All phenotypic and molecular analyses relied on the use of three biological replicates with each biological replicate consisting of a pool of six plants. Altered development (BE) or a change in transcript abundance (FQ) was determined via comparison of the drb1/0.1 μM and drb1/1.0 μM treated samples to the values obtained for the untreated drb1/0.0 μM control sample by a standard two-tailed t-test. Error bars represent the standard error of the mean (SEM) and an asterisk (*) shows * p ≤ 0.05, ** p ≤ 0.01, *** p ≤ 0.001.
Genes 15 01648 g002
Accordingly, RT-qPCR failed to detect the expression of DRB1 in the roots of drb1/0.1 μM plants (Figure 2O) but showed that the expression of DRB2 was mildly reduced by 1.1-fold (Figure 2P) and that DRB4 expression was significantly decreased by 2.4-fold in drb1 roots following treatment with 0.1 μM 2,4-D (Figure 2Q). When considered together, the DRB expression trends suggested that, in the absence of DRB1 expression, highly reduced DRB4 expression, and therefore the removal of DRB4 protein antagonism of DRB2 protein function [34,37,38], likely allowed for enhanced miR160 precursor transcript efficiency via DRB2 forming a functional partnership with DCL1, leading to elevated miR160 abundance in drb1/0.1 μM roots.
In drb1/1.0 μM roots, compared to the root tissues of drb1/0.0 μM plants, PRE-MIR160A, PRE-MIR160B, and PRE-MIR160C expression was only mildly reduced by 1.3-, 1.3- and 1.1-fold, respectively (Figure 2F–H). Decreased miR160 precursor abundance in drb1/1.0 μM plants was again determined to be the result of enhanced precursor transcript processing efficiency, with miR160 accumulation elevated by 2.3-fold in the root tissues of drb1 plants following their treatment with 1.0 μM 2,4-D. The abundance of eTM160-1 and eTM160-2 were elevated by 2.8- and 1.6-fold, respectively (Figure 2J,K). These eTM abundance trends suggested that (1) both transcripts were scaling in abundance along with that of their regulated miRNA, miR160, and (2) increased eTM160 levels may have masked the actual degree of miR160 accumulation upregulation in drb1/1.0 μM roots. The ARF target gene expression trends documented in drb1/1.0 μM roots closely matched those obtained for the roots of drb1/0.1 μM plants (Figure 2L–N). Specifically, ARF10 expression was reduced by 1.2-fold, and the expression of both ARF16 and ARF17 was elevated by 1.2-fold in drb1/1.0 μM roots. DRB2 and DRB4 expression trends in drb1/1.0 μM roots also closely aligned with those determined for drb1/0.1 μM roots, with DRB2 and DRB4 expression decreased by 2.0- and 1.6-fold in the root tissues of drb1 plants treated with 1.0 μM 2,4-D (Figure 2P,Q). This result again suggested that, in the absence of DRB1 function, reduced DRB4 expression and thereby the removal of DRB4 antagonism of DRB2 function, likely led to the enhanced efficiency of miR160 precursor transcript processing via the DRB2 protein forming a functional interaction with DCL1.

3.3. Phenotypic and Molecular Analysis of the drb2 Single Mutant Treated with the Synthetic Auxin 2,4-Dichlorophenoxyacetic Acid

Treatment of the drb2 single mutant with either 0.1 or 1.0 μM 2,4-D had an inhibitory effect on the elongation of the primary root of drb2/0.1 μM and drb2/1.0 μM plants, while both 2,4-D concentrations promoted lateral root formation (Figure 3A). These observations were confirmed via quantification of the phenotypic metrics, primary root length, lateral and adventitious root number, and rosette surface area (Figure 2B–E). The average primary root length of untreated drb2 control plants was 82 mm, with the average primary root length of drb2/0.1 μM and drb2/1.0 μM plants reduced by 12.2% and 35.4% to 72 mm and 53 mm, respectively (Figure 2B). The average number of lateral and adventitious roots formed by drb2/0.0 μM plants was 20.5 and 2.3, respectively (Figure 2C,D). In drb2/0.1 μM plants, the lateral root number was increased by 65.9% to 34 lateral roots per plant, and in drb2/1.0 μM plants, lateral root development was further promoted by 129.3% to an average of 47 lateral roots per plant (Figure 2C). Adventitious root formation was affected differently in the drb2 mutant following its treatment with the two 2,4-D concentrations, with the adventitious root number mildly decreased by 9.1% to 2.1 adventitious roots per drb2/0.1 μM plant, and significantly increased by 139.1% to an average of 5.5 adventitious roots forming per drb2/1.0 μM plant (Figure 2D). The average rosette surface area for drb2/0.0 μM plants is 40.5 mm2, with the rosette surface area only mildly decreased by 1.3% to 40 mm2 in drb2/0.1 μM plants, whereas the rosette surface area of a drb2/1.0 μM plant was significantly decreased by 23.5% to 31.5 mm2 (Figure 2E).
Figure 3. Phenotypic and molecular analysis of 21-day-old drb2 plants treated with 2,4-D. (A) Representative phenotypes displayed by 21-day-old drb2 control plants or following their treatment with 0.1 μM and 1.0 μM 2,4-D. Scale bar = 1.0 cm. (BE) Quantification of primary root length (B), lateral root number (C), adventitious root number (D), and rosette leaf surface area (E) of 21-day-old drb2 control plants or following treatment of drb2 plants with 0.1 μM and 1.0 μM 2,4-D. (FQ) Molecular analysis of all components of the miR160 expression module in the roots of drb2/0.0 μM, drb2/0.1 μM and drb2/1.0 μM plants, including assessment of the expression of PRE-MIR160A (F), PRE-MIR160B (G), PRE-MIR160C (H), miR160 (I), eTM160-1 (J), eTM160-2 (K), ARF10 (L), ARF16 (M), ARF17 (N), DRB1 (O), DRB2 (P), and DRB4 (Q). (BQ) All phenotypic and molecular analyses relied on the use of three biological replicates and each replicate consisted of a pool of six plants. Altered development (BE) or a change in transcript abundance (FQ) was determined via comparison of the drb2/0.1 μM and drb2/1.0 μM treated samples to the values obtained for the drb2/0.0 μM control sample by a standard two-tailed t-test. Error bars represent the standard error of the mean (SEM) and an asterisk (*) shows * p ≤ 0.05, ** p ≤ 0.01, *** p ≤ 0.001.
Figure 3. Phenotypic and molecular analysis of 21-day-old drb2 plants treated with 2,4-D. (A) Representative phenotypes displayed by 21-day-old drb2 control plants or following their treatment with 0.1 μM and 1.0 μM 2,4-D. Scale bar = 1.0 cm. (BE) Quantification of primary root length (B), lateral root number (C), adventitious root number (D), and rosette leaf surface area (E) of 21-day-old drb2 control plants or following treatment of drb2 plants with 0.1 μM and 1.0 μM 2,4-D. (FQ) Molecular analysis of all components of the miR160 expression module in the roots of drb2/0.0 μM, drb2/0.1 μM and drb2/1.0 μM plants, including assessment of the expression of PRE-MIR160A (F), PRE-MIR160B (G), PRE-MIR160C (H), miR160 (I), eTM160-1 (J), eTM160-2 (K), ARF10 (L), ARF16 (M), ARF17 (N), DRB1 (O), DRB2 (P), and DRB4 (Q). (BQ) All phenotypic and molecular analyses relied on the use of three biological replicates and each replicate consisted of a pool of six plants. Altered development (BE) or a change in transcript abundance (FQ) was determined via comparison of the drb2/0.1 μM and drb2/1.0 μM treated samples to the values obtained for the drb2/0.0 μM control sample by a standard two-tailed t-test. Error bars represent the standard error of the mean (SEM) and an asterisk (*) shows * p ≤ 0.05, ** p ≤ 0.01, *** p ≤ 0.001.
Genes 15 01648 g003
Compared to their level of expression in drb2/0.0 μM roots, PRE-MIR160A was significantly reduced by 2.9-fold (Figure 3F), and the abundance of both PRE-MIR160B and PRE-MIR160C was mildly reduced by 1.3-fold in the roots of drb2/0.1 μM plants (Figure 3G,H). The accumulation level of miR160 was significantly increased by 3.8-fold in drb2/0.1 μM roots (Figure 3I), indicating that reduced precursor transcript abundance was the result of enhanced processing efficiency of the three miR160 precursors in the roots of drb2 plants after the application of 0.1 μM 2,4-D. The level of the PRE-MIR160A transcript was also reduced in drb2/1.0 μM roots (down 2.1-fold). However, the level of the PRE-MIR160B and PRE-MIR160C transcripts was elevated by 1.1- and 1.6-fold, respectively, in drb2 roots following treatment with 1.0 μM 2,4-D. Compared to its level of abundance in the roots of untreated drb2 control plants, miR160 accumulation was elevated by 1.9-fold in drb2/1.0 μM roots (Figure 3I). This miRNA abundance trend was likely the result of increased efficiency in the processing of the PRE-MIR160A precursor (Figure 3F). In the roots of drb2/0.1 μM and drb2/1.0 μM plants, the abundance of both the eTM160-1 and eTM160-2 transcripts was increased to a similar degree (Figure 3J,K), a finding that once again indicated that the eTM transcripts were scaling in abundance in accordance to the level of their regulated miRNA.
In response to the 3.8-fold elevation in miR160 abundance in drb2/0.1 μM roots, ARF10 and ARF16 expression was increased by 1.4-fold, and ARF17 expression was reduced by 1.2-fold (Figure 3L–N). A similar target gene expression trend was determined by RT-qPCR in drb2/1.0 μM roots, with ARF10 and ARF16 expression elevated by 1.4- and 1.2-fold, respectively (Figure 3L,M), and ARF17 decreased by 1.3-fold (Figure 3N). The target gene expression trends for the roots of drb2 plants treated with 0.1 and 1.0 μM 2,4-D suggest the either (1) only the ARF17 target gene is responsive to the 2,4-D-induced alteration of miR160 abundance, or (2) translational repression forms the predominant mode of RNA silencing directed by miR160 to regulate the transcript abundance of its target genes, ARF10 and ARF16 (Figure 3I,L–N). Compared to drb2/0.0 μM roots, DRB1 expression was elevated by 1.8- and 1.4-fold in the roots of drb2/0.1 μM and drb2/1.0 μM plants, respectively (Figure 3O), while the expression of DRB4 was significantly reduced by 4.0- and 5.0-fold in these two 2,4-D treated samples (Figure 3Q). Elevated DRB1 expression, and therefore increased DRB1 protein abundance, supports the suggestion that the processing efficiency of all three miR160 precursors was enhanced in drb2/0.1 μM roots (Figure 3F–H), as well as for the PRE-MIR160A precursor in drb2/1.0 μM roots (Figure 3F), resulting in the elevated abundance of miR160 in these two drb2 samples following their treatment with 2,4-D (Figure 3I).

3.4. Phenotypic and Molecular Analysis of the drb12 Double Mutant Treated with the Synthetic Auxin 2,4-Dichlorophenoxyacetic Acid

Figure 4A shows that of the four Arabidopsis lines treated with 2,4-D, and when compared to untreated control plants (drb12/0.0 μM plants), the drb12 double mutant appeared to be the least responsive to synthetic auxin treatment. The lack of response of drb12 plants to 2,4-D treatment may in part stem from the already severely impeded development of this Arabidopsis line, a phenotypic consequence which results from loss of both DRB1 and DRB2 function as part of miRNA production [35,37,38]. The average primary root length of 21-day-old drb12 control plants is 14 mm. In drb12/0.1 μM plants, the primary root length was increased by 7.1% to 15 mm, whereas the primary root length of drb12/1.0 μM plants was reduced by 17.9% to 11.5 mm (Figure 4B). The average number of lateral and adventitious roots of drb12/0.0 μM plants was 2.0 and 4.8 roots, respectively (Figure 4C,D). In drb12/0.1 μM plants, the lateral root number was promoted by 25% to 2.5 lateral roots, whereas the adventitious root number remained largely unchanged (down by 2.5%), with drb12/0.1 μM plants forming on average, 4.7 adventitious roots (Figure 4C,D). Compared to drb12/0.0 μM plants, both root phenotypic metrics were promoted in the drb12 double mutant following its treatment with 1.0 μM 2,4-D, with drb12/1.0 μM plants developing an average of 2.3 and 7.8 lateral and adventitious roots, representing 15.0% and 62.5% increases, respectively (Figure 4C,D). Aerial tissue development was impeded in both the drb12/0.1 μM and drb12/1.0 μM samples, compared to the rosette surface area of 11 mm2 for drb12/0.0 μM plants. Specifically, the average rosette surface area of drb12/0.1 μM plants was reduced by 9.1% to 10 mm2 and the average rosette surface area of drb12/1.0 μM plants was reduced by 31.9% to 7.5 mm2 (Figure 4E).
The abundance of PRE-MIR160A, PRE-MIR160B, and PRE-MIR160C was reduced by 2.8-, 1.8-, and 1.4-fold, respectively, in drb12/0.1 μM roots, compared to drb12/0.0 μM roots (Figure 4F–H). The accumulation level of miR160 was significantly reduced by 12.5-fold in drb12/0.1 μM roots (Figure 4I). This accumulation trend indicated that reduced miR160 precursor transcript abundance was the result of decreased MIR160A, MIR160B, and MIR160C gene activity in drb12/0.1 μM roots after synthetic auxin treatment (Figure 4F–I). The abundance of the PRE-MIR160A and PRE-MIR160B transcripts were also reduced by 2.7- and 1.2-fold in the roots of the drb12 double mutant following its treatment with 1.0 μM 2,4-D (Figure 4F,G). However, PRE-MIR160C abundance was mildly elevated by 1.2-fold in drb12/1.0 μM roots (Figure 4H). Considering that miR160 abundance was significantly reduced by 3.1-fold in drb12/1.0 μM roots, the expression trends documented for PRE-MIR160A and PRE-MIR160B again suggest that the transcriptional activity of the MIR160A and MIR160B loci are repressed by 2,4-D application. Furthermore, a decreased level of miR160 accumulation in drb12/1.0 μM roots additionally indicated that elevated PRE-MIR160C abundance could not compensate for the reduced levels of the PRE-MIR160A and PRE-MIR160B precursors in the absence of DRB1 and DRB2 function. The abundance of the eTM160-1 and eTM160-2 transcripts was decreased by 2.0- and 1.7-fold in drb12/0.1 μM roots, indicating that the levels of both eTMs were scaling in abundance according to the level of their regulated miRNA, miR160 (Figure J,K). The level of eTM106-2 was also reduced in the roots of drb12 plants following treatment with 1.0 μM 2,4-D (Figure 4K). This once again indicated that the level of this miR160-regulating eTM was scaling in accordance with the level of abundance of miR160 (Figure 4I). In contrast, eTM160-1 levels were increased by 1.7-fold in drb12/1.0 μM roots (Figure 4J), a finding which suggested that the regulatory ability of eTM160-1 to respond to altered miR160 abundance became defective in the roots of drb12 plants following their treatment with the higher concentration of 2,4-D. Alternatively, this finding could indicate that the transcriptional activity of the eTM160-1 encoding locus was promoted by the application of the higher 2,4-D concentration.
Figure 4. Phenotypic and molecular analysis of 21-day-old drb12 plants treated with 2,4-D. (A) Phenotypes displayed by 21-day-old drb12 control plants or following their treatment with 0.1 μM and 1.0 μM 2,4-D. Scale bar = 1.0 cm. (BE) Quantification of primary root length (B), lateral root number (C), adventitious root number (D), and rosette leaf surface area (E) of 21-day-old drb12/0.0 μM, drb12/0.1 μM and drb12/μM plants. (FQ) Molecular analysis of all miR160 expression module components in the roots of 21-day-old drb12/0.0 μM, drb12/0.1 μM and drb12/μM plants, including assessing PRE-MIR160A (F), PRE-MIR160B (G), PRE-MIR160C (H), miR160 (I), eTM160-1 (J), eTM160-2 (K), ARF10 (L), ARF16 (M), ARF17 (N), DRB1 (O), DRB2 (P), and DRB4 (Q) expression. (BQ) All phenotypic and molecular analyses relied on the use of three biological replicates and each replicate consisted of a pool of six plants. Altered development (BE) or a change in transcript abundance (FQ) was determined via comparison of the drb12/0.1 μM and drb12/1.0 μM samples to the values obtained for the drb12/0.0 μM control sample by a standard two-tailed t-test. Error bars represent the standard error of the mean (SEM) and an asterisk (*) shows * p ≤ 0.05, ** p ≤ 0.01, *** p ≤ 0.001.
Figure 4. Phenotypic and molecular analysis of 21-day-old drb12 plants treated with 2,4-D. (A) Phenotypes displayed by 21-day-old drb12 control plants or following their treatment with 0.1 μM and 1.0 μM 2,4-D. Scale bar = 1.0 cm. (BE) Quantification of primary root length (B), lateral root number (C), adventitious root number (D), and rosette leaf surface area (E) of 21-day-old drb12/0.0 μM, drb12/0.1 μM and drb12/μM plants. (FQ) Molecular analysis of all miR160 expression module components in the roots of 21-day-old drb12/0.0 μM, drb12/0.1 μM and drb12/μM plants, including assessing PRE-MIR160A (F), PRE-MIR160B (G), PRE-MIR160C (H), miR160 (I), eTM160-1 (J), eTM160-2 (K), ARF10 (L), ARF16 (M), ARF17 (N), DRB1 (O), DRB2 (P), and DRB4 (Q) expression. (BQ) All phenotypic and molecular analyses relied on the use of three biological replicates and each replicate consisted of a pool of six plants. Altered development (BE) or a change in transcript abundance (FQ) was determined via comparison of the drb12/0.1 μM and drb12/1.0 μM samples to the values obtained for the drb12/0.0 μM control sample by a standard two-tailed t-test. Error bars represent the standard error of the mean (SEM) and an asterisk (*) shows * p ≤ 0.05, ** p ≤ 0.01, *** p ≤ 0.001.
Genes 15 01648 g004
The expression level of ARF10 was significantly elevated by 5.0-fold in drb12/0.1 μM roots and by 2.0-fold in drb12/1.0 μM roots (Figure 4L). The ARF10 expression trend indicated that miR160-directed regulation of ARF10 expression was released in the roots of the drb12 double mutant following its treatment with 2,4-D. In drb12/0.1 μM roots, the level of expression of ARF16 and ARF17 was mildly elevated by 1.2-fold and remained unchanged, respectively (Figure 4M,N). Similarly, the expression of both ARF16 and ARF17 was only mildly elevated by 1.1-fold in drb12/1.0 μM roots (Figure 4M,N). When the ARF16 and ARF17 expression trends are considered together with the level of miR160 accumulation in the roots of drb12/0.1 μM and drb12/1.0 μM plants, the transcript abundance trends indicated that, in the absence of DRB1 and DRB2 function, the ARF16 and ARF17 target transcripts lose their ability to appropriately respond to the level of their regulating miRNA, miR160 (Figure 4I,M,N). As expected, RT-qPCR failed to detect the expression of DRB1 and DRB2 in the roots of the drb12 double mutant regardless of the 2,4-D treatment status of this Arabidopsis line (Figure 4O,P). Therefore, considering that in the roots of drb12 plants, neither the DRB1 nor the DRB2 protein is present to antagonize the function of the DRB4 protein, it was unexpected to see the level of DRB4 gene activity reduced to such a significant degree, down by 11.1- and 6.3-fold in drb12/0.1 μM and drb12/1.0 μM roots, respectively (Figure 4Q). However, this highly reduced level of DRB4 expression, and therefore DRB4 protein abundance, may to a small degree, contribute to the considerable reduction to the level of miR160 accumulation in the roots of drb12 plants after treatment with 2,4-D. This result also potentially uncovered a previously unknown role for DRB4 to provide an additional layer of regulatory complexity to the miR160 expression module.

3.5. Phenotypic and Molecular Analysis of the drb4, drb14, and drb24 to Establish a Regulatory Role for DRB4 in the miR160 Expression Module

Although the involvement of DRB4 in sRNA production in Arabidopsis has been shown to be restricted to siRNA production [34,38], including tasiARF production [52,53], and the production of the non-conserved subclass of miRNAs [28,33,34,38], the expression of DRB4 was repressed to differing degrees in the roots of 21-day-old Col-0 (Figure 1Q), drb1 (Figure 2Q), drb2 (Figure 3Q), and drb12 (Figure 4Q) seedlings following the treatment of these four Arabidopsis lines with 0.1 μM and 1.0 μM 2,4-D. Therefore, the miR160 expression module was next molecularly profiled in the roots of the drb4 single mutant and the drb14 and drb24 double mutants to determine the contribution of DRB4 in the regulation of the miR160 expression module. Compared to the primary root length of Col-0 plants (38 mm), the primary root length of drb4 plants was increased by 10.5% to 42 mm, decreased by 31.6% to 26 mm in drb14 plants, and elevated by 7.9% to 41 mm in the drb24 double mutant (Figure 5B). The average number of lateral roots for 21-day-old Col-0 plants was 12, with lateral root development significantly promoted by 41.7% (n = 17) and 58.3% (n = 19) in the drb4 and drb24 mutant backgrounds, respectively (Figure 5C). In contrast, lateral root development was mildly repressed by 12.5%, with drb14 plants forming an average of 10.5 lateral roots. Adventitious root formation was promoted 100.0%, 239.2%, and 71.4%, with drb4, drb14, and drb24 plants developing an average of 2.8, 4.8, and 2.4 adventitious roots, respectively, compared to Col-0 plants, which formed an average of 1.4 adventitious roots (Figure 5D). The rosette surface area of 21-day-old Col-0 plants was 26.5 mm2 (Figure 5E). In contrast, the rosette surface area of drb4 and drb24 plants was increased by 12.5% and 60.4% to 29.8 and 42.5 mm2, respectively, and reduced by 9.4% to 24.0 mm2 in the drb14 double mutant (Figure 5E). Quantification of the phenotypic metrics displayed by the drb14 and drb24 double mutants (Figure 5B–E), and comparison of these to those quantified for the drb1 (Figure 2B–E) and drb2 single mutants (Figure 3B–E) revealed that the drb4 phenotype was additive to the more developmentally severe phenotypes displayed by drb1 and drb2 plants.
Figure 5. Molecular characterization of the miR160 expression module in the roots of 21-day-old Col-0, drb4, drb14, and drb24 plants. (A) Representative phenotypes displayed by 21-day-old Col-0, drb4, drb14, and drb24 plants. Scale bar = 1.0 cm. (BE) Quantification of primary root length (B), lateral root number (C), adventitious root number (D), and rosette leaf surface area (E) of 21-day-old Col-0, drb4, drb14, and drb24 plants. (FQ) Molecular analysis of all components of the miR160 expression module in the roots of 21-day-old Col-0, drb4, drb14, and drb24 plants, including profiling the expression of PRE-MIR160A (F), PRE-MIR160B (G), PRE-MIR160C (H), miR160 (I), eTM160-1 (J), eTM160-2 (K), ARF10 (L), ARF16 (M), ARF17 (N), DRB1 (O), DRB2 (P), and DRB4 (Q). (BQ) All phenotypic and molecular analyses relied on the use of three biological replicates with each replicate consisting of a pool of six plants. Altered development (BE) or a change in transcript abundance (FQ) was determined via comparison of the drb4, drb14, and drb24 samples to the values obtained for Col-0 plants by a standard two-tailed t-test. Error bars represent the standard error of the mean (SEM) and an asterisk (*) shows * p ≤ 0.05, ** p ≤ 0.01, *** p ≤ 0.001.
Figure 5. Molecular characterization of the miR160 expression module in the roots of 21-day-old Col-0, drb4, drb14, and drb24 plants. (A) Representative phenotypes displayed by 21-day-old Col-0, drb4, drb14, and drb24 plants. Scale bar = 1.0 cm. (BE) Quantification of primary root length (B), lateral root number (C), adventitious root number (D), and rosette leaf surface area (E) of 21-day-old Col-0, drb4, drb14, and drb24 plants. (FQ) Molecular analysis of all components of the miR160 expression module in the roots of 21-day-old Col-0, drb4, drb14, and drb24 plants, including profiling the expression of PRE-MIR160A (F), PRE-MIR160B (G), PRE-MIR160C (H), miR160 (I), eTM160-1 (J), eTM160-2 (K), ARF10 (L), ARF16 (M), ARF17 (N), DRB1 (O), DRB2 (P), and DRB4 (Q). (BQ) All phenotypic and molecular analyses relied on the use of three biological replicates with each replicate consisting of a pool of six plants. Altered development (BE) or a change in transcript abundance (FQ) was determined via comparison of the drb4, drb14, and drb24 samples to the values obtained for Col-0 plants by a standard two-tailed t-test. Error bars represent the standard error of the mean (SEM) and an asterisk (*) shows * p ≤ 0.05, ** p ≤ 0.01, *** p ≤ 0.001.
Genes 15 01648 g005
The level of PRE-MIR160A and PRE-MIR160C transcript abundance was significantly elevated by 27.0- and 10.5-fold in drb14 roots, respectively (Figure 5F,H), indicating that, in the absence of DRB1 and DRB4 function, miR160 production from these two miR160 precursor transcripts is largely defective. By comparison, PRE-MIR160B abundance was only mildly elevated by 2.8-fold in the roots of the drb14 double mutant (Figure 5G), a transcript abundance trend which suggested that miR160 processing from this precursor remains somewhat functional in drb14 roots, likely via the action of DRB2. In drb4 and drb24 roots, PRE-MIR160A levels were reduced by 1.7-fold and 3.3-fold, respectively (Figure 5F), suggesting that both DRB4 and DRB2 are antagonistic to DRB1 function in miR160 processing from this precursor. The PRE-MIR160B precursor was mildly reduced in abundance by 1.2-fold in drb4 and drb24 roots, and the PRE-MIR160C precursor was elevated by a similar degree (1.2 to 1.3-fold) in the root systems of these two drb mutant backgrounds when compared to Col-0 roots (Figure 5G,H). These transcript abundance trends again identify secondary roles for DRB2 and DRB4 in regulating the rate of miR160 production from these two precursors. In drb4 and drb24 roots, miR160 levels were significantly elevated by 2.8- and 5.7-fold, respectively (Figure 5I). When considered together with PRE-MIR160 transcript abundance, the observed increase in miR160 levels in drb4 and drb24 roots (Figure 5I) most likely resulted from enhanced processing efficiency of PRE-MIR160A and PRE-MIR160B by the DRB1/DCL1 partnership (Figure 5F,G), in the absence of DRB2 or DRB4 antagonism of DRB1 function. Considering that PRE-MIR160A, PRE-MIR160B, and PRE-MIR160C levels were all significantly elevated in drb14 roots, which suggested highly inefficient or even completely defective precursor transcript processing, it was unexpected that miR160 accumulation was elevated by 1.4-fold, and not reduced. However, this unexpected result does indicate that DRB2 can, to a minor degree, compensate for the loss of DRB1 function (and/or DRB4 function), to ensure that a reduced level of miR160 continues to accumulate in the roots of this double mutant plant.
In drb4 roots, compared to Col-0 roots, eTM160-1 abundance was reduced by 2.0-fold (Figure 5J). In contrast, eTM160-1 levels were elevated by 1.6- and 2.8-fold in drb14 and drb24 roots, respectively. The level of eTM160-2 did not differ greatly from its wild-type levels in the roots of drb4, drb14, and drb24 plants. Moreover, eTM160-2 levels were mildly reduced by 1.1-fold in drb4 roots, unchanged in drb14 roots, and elevated by 1.5-fold in drb24 roots (Figure 5K). In response to elevated miR160 accumulation in drb4, drb14, and drb24 roots (Figure 5I), ARF10 expression was also elevated by 1.1-, 1.7-, and 1.1-fold in the roots of the three assessed drb mutants (Figure 5L). The expression of ARF16 only returned an expected expression trend in drb14 roots, with ARF16 expression reduced by 1.7-fold (Figure 5M) in response to the 1.4-fold increase in miR160 levels (Figure 5I). In contrast, ARF16 expression was elevated by 1.8-fold in drb4 roots and remained unchanged from its wild-type level of expression in the roots of drb24 plants (Figure 5M). The level of ARF17 expression remained at wild-type levels in drb4 roots and was elevated by 3.4- and 1.4-fold in the roots of drb14 and drb24 plants, respectively (Figure 5N). When considered together, the lack of transcript abundance response of the miR160 target genes ARF10, ARF16, and ARF17 (Figure 5L–N), with respect to the level of alteration to miR160 accumulation (Figure 5I), indicated that, in the absence of DRB4 gene expression (Figure 5Q), and hence when DRB4 protein function is defective, the ability of miR160 to appropriately regulate the expression of its three ARF target genes is compromised. Furthermore, the ARF target gene expression trends, like the miR160 precursor transcript abundance trends in drb4, drb14, and drb24 roots (Figure 5F–H), adds further weight to our proposal that DRB4 does indeed play an important role in adding to the regulatory complexity of the miR160 expression module in Arabidopsis roots. The altered expression of DRB1 in drb4 and drb24 roots (Figure 5O), and of DRB2 in the roots of drb4 and drb14 plants (Figure 5P), also likely contributed to the molecular defects documented by RT-qPCR; these defects would have rendered miR160-directed regulation of ARF10, ARF16, and ARF17 expression largely defective in the roots of Arabidopsis lines harboring knockout mutations in the loci that encode the DRB1, DRB2, and DRB4 proteins.

4. Discussion

4.1. Synthetic Auxin Application Altered Col-0 Root Development Due to Molecular Alteration of the miR160 Expression Module

As for most Arabidopsis miRNAs [22,23,24,25], the DRB1/DCL1 functional partnership acts as the primary mediator of miR160 production in Arabidopsis [25]. However, we have recently shown that in Arabidopsis roots, DRB2 also plays an essential functional role in (1) fine tuning the efficiency of miR160 processing from its precursor transcripts, and subsequently (2) mediating the mode of miR160-directed expression regulation of its ARF10, ARF16, and ARF17 target genes [39]. Here, using exogenous application of the synthetic auxin, 2,4-D, we further characterized the regulatory roles played by DRB1 and DRB2 in the miR160 expression module as part of root development. In addition, we performed a bioinformatic assessment of the cis-regulatory elements in the putative promoter regions of the loci encoding the molecular components of the miR160 module (Table 1), which showed that the miR160 expression module is an ideal system for molecular analysis of the effect of exogenous auxin application on Arabidopsis root system development.
The application of 0.1 μM 2,4-D promoted the development of both the root system and arial tissues of Col-0 plants, indicating that root to shoot auxin signaling was not compromised in Col-0/0.1 μM plants (Figure 1A–E). However, the treatment of Col-0 with 1.0 μM 2,4-D, while enhancing the primary root length and increasing the lateral and adventitious root number, resulted in a significant decrease in the rosette surface area, suggesting that root to shoot auxin signaling was inhibited at the higher 2,4-D concentration. In the roots of Col-0/0.1 μM plants, the expression of PRE-MIR160A, PRE-MIR160B, and PRE-MIR160C was reduced in all cases, as was the expression of DRB1 (Figure 1F–H,O). In addition, miR160 accumulation was significantly reduced by 10-fold in Col-0/0.1 μM roots (Figure 1I). Thus, the reduced miR160 abundance in Col-0/0.1 μM roots was the result of the combined effect of repressed MIR160A, MIR160B, and MIR160C expression and reduced DRB1-mediated processing of the three miR160 precursors. Of the three miR160 target genes assessed by RT-qPCR (Figure 1L–M), only ARF16 was significantly upregulated (5.0-fold) in Col-0/0.1 μM roots, which correlated with the decreased abundance of miR160 (Figure 1I,M). ARF16, either on its own or in concert with ARF10, has been shown to promote, or at least maintain, primary root growth in the presence of auxin [12,13,54]. A role for ARF16 in primary root length promotion in Col-0 plants was further confirmed by the phenotypes of Col-0 plants molecularly modified to express a miR160-resistant version of ARF16 (mARF16) [13,39,54]. These previous findings, together with our results shown in Figure 1, suggest that elongation of the primary root in Col-0/0.1 μM plants results from relaxation of miR160-directed regulation of ARF16 expression.
Compared to Col-0/0.1 μM plants, the higher concentration of 2,4-D had a much greater positive influence on lateral and adventitious root development (Figure 1A,C,D). At the molecular level, application of 1.0 μM 2,4-D only altered PRE-MIR160B and PRE-MIR160C transcript abundance, with the level of the PRE-MIR160A transcript remaining largely unchanged in Col-0/1.0 μM roots, compared to Col-0/0.0 μM roots (Figure 1F–H). These changes in precursor abundance correspond to an overall 2.0-fold decrease in miR160 accumulation in Col-0/1.0 μM roots (Figure 1G–I). Reduced miR160 abundance in Col-0/1.0 μM roots could not be explained by the reduced DRB2 expression and increased DRB1 expression (Figure 1O). Reduced DRB2 expression would minimize its antagonism on DRB1 function to enhance miR160 production [28,35,43], and increased DRB1 expression would further enhance miR160 processing, both resulting in increased miR160 accumulation. Therefore, the reduced accumulation of miR160 in Col-0/1.0 μM roots is more likely to have resulted from the highly elevated level of abundance of eTM160-1 (Figure 1J), with this eTM sequestering miR160 levels in specific Arabidopsis tissues to fine tune the degree of miR160-directed regulation of its ARF target genes [47,48].
Of the three miR160 target genes assessed by RT-qPCR in Col-0/1.0 μM roots, altered target gene expression was only observed for ARF16 and ARF17 (Figure 1L–N), with ARF16 expression mildly elevated by 1.4-fold and ARF17 levels reduced by a similar degree (1.3-fold). In Arabidopsis, ARF17 acts as a transcriptional repressor to downregulate the expression of its ARGs [12], with GLYCOSIDE HYDROLASE3-like (GH3-like) genes forming one group of ARGs whose expression is negatively regulated by ARF17 [55,56]. GH3-like proteins are responsive to auxin and play a positive regulatory role in primary root elongation and the establishment of lateral root initials, and subsequently, to drive lateral root elongation post their formation [55,56]. Therefore, the mild reduction of ARF17 gene expression may have released the repressive effect of ARF17 on GH3-like gene expression, which in turn directs GH3-like protein-mediated promotion of lateral root formation in Col-0 plants treated with 1.0 μM 2,4-D. It is also important to note here that the correct function of all three miR160-targeted ARFs, including ARF10, ARF16, and ARF17, forms an essential requirement for normal primary and lateral root development in Arabidopsis [39,57], with abnormally perceived auxin concentrations leading to defective root system development [39,57,58]. In addition, in Col-0/mARF16 plants, the primary root length, lateral root number, and lateral root length were all promoted in this Arabidopsis transformant line, where the miR160-resistant transgene version of the ARF16 transcript over-accumulated [39]. Therefore, increased ARF16 expression, together with decreased ARF17 expression, likely caused the promotion of lateral root development in Col-0/1.0 μM plants. Of the three ARF genes targeted by miR160 in Arabidopsis, only ARF17 has a documented role in adventitious root formation [12,54]. Therefore, although only a mild 1.3-fold reduction was observed for ARF17 expression in Col-0/1.0 μM roots, this reduction to ARF17/ARF17 levels most likely caused the increase in adventitious root number in this sample as ARF17 has been previously demonstrated to repress adventitious root formation in Arabidopsis [12,54]. The Col-0/0.1 μM data also support this suggestion, with the adventitious root number only slightly increased in Col-0/0.1 μM plants (n = 1.8), compared to untreated control Col-0 plants (n = 1.5), in response to the very marginal alteration to ARF17 expression observed in this sample (Figure 1D,N).

4.2. Synthetic Auxin Application Altered drb1 Root Development Due to Molecular Alteration of the miR160 Expression Module

In the drb1 mutant background, following its treatment with the lower concentration of synthetic auxin, all four of the assessed phenotypic metrics were promoted (Figure 2A–E). In contrast, only the primary root length was altered in drb1/1.0 μM plants. When considered together, these findings indicate that root to shoot auxin signaling remained functional in drb1/0.1 μM plants, but became compromised in drb1 plants following their treatment with 1.0 μM 2,4-D. PRE-MIR160A, PRE-MIR160B, and PRE-MIR160C abundance was significantly reduced in drb1/0.1 μM roots, and accordingly, miR160 accumulation was significantly elevated by 5.0-fold (Figure 2F–I). In addition, DRB4 expression was also reduced in drb1/0.1 μM roots, while the level of expression of DRB2 remained largely unchanged (Figure 2P,Q). Together, these transcript abundance trends indicated that in drb1/0.1 μM roots, a reduction in DRB4 antagonism of DRB2 function [34] led to more efficient processing of the three miR160 precursor transcripts by DRB2, together with DCL1, in the absence of DRB1 [28,35,36]. In response to increased miR160 abundance, ARF10 expression was decreased and ARF16 transcript abundance was increased in drb1/0.1 μM roots (Figure 2L,M). Considering that both ARF10 and ARF16 have been assigned roles in regulating primary root development [12,13,54], the ARF10 and ARF16 expression trends suggest that elevated ARF16/ARF16 abundance could compensate for reduced ARF10/ARF10 abundance, which led to the promotion of primary root development in drb1/0.1 μM plants. Alteration of the ARF10 to ARF16 abundance ratio may have also directed the promotion of lateral root formation in drb1/0.1 μM roots (Figure 2C,L,M) with the appropriate function of all three miR160 targeted ARFs demonstrated to be essential for normal root system development in Arabidopsis [39,57,58]. Essential regulatory roles for ARF10 and ARF16 in primary and lateral root development in the drb1 mutant background have been confirmed recently via the in planta expression of the mARF10 and mARF16 transgenes in drb1 plants [39]. Moreover, elevation of the abundance of either the ARF10 or the ARF16 transcript in either the drb1/mARF10 or drb1/mARF16 transformant line was shown to have a positive influence on both primary root length and lateral root formation [39].
The expression of all three miR160 precursors was also reduced in drb1/1.0 μM roots (Figure 2F–H). However, the level of reduction of precursor transcript abundance was less in drb1/1.0 μM roots than it was in drb1/0.1 μM roots, and accordingly, the level of miR160 over-accumulation was to a lower degree in the roots of drb1/1.0 μM plants (Figure 2I). This lower degree of miR160 accumulation enhancement in drb1/1.0 μM roots was also likely to be the combined result of (1) reduced DRB2 expression (Figure 2P), and therefore a reduction in the level of DRB2 protein available to form a functional interaction with DCL1 for miR160 precursor transcript processing [28,35,36], and (2) elevated eTM160-1 and eTM160-2 transcript abundance (Figure 2J,K), which would have tightened the posttranscriptional regulation of miR160 accumulation in drb1/1.0 μM roots [47,48]. In addition, ARF10, ARF16, and ARF17 expression was only mildly altered in drb1/1.0 μM roots (Figure 2L–N), indicating that miR160-directed regulation of its target genes became defective in the drb1 mutant following its treatment with 1.0 μM 2,4-D. Furthermore, this lack of target gene response to altered miR160 abundance was also the likely cause of the lack phenotypic alteration of the drb1 mutant following its treatment with the higher concentration of synthetic auxin. For example, lateral root formation was highly promoted in drb1/0.1 μM plants where the expression of ARF10 and ARF16 were both significantly altered (Figure 2C,L,M). However, lateral root development was comparable between the drb1/0.0 μM and drb1/1.0 μM samples (Figure 2C) where ARF10, ARF16, and ARF17 target gene expression was only mildly altered (Figure 2L–N).

4.3. Synthetic Auxin Application Altered drb2 Root Development Due to Molecular Alteration of the miR160 Expression Module

The abundance of PRE-MIR160A, PRE-MIR160B, and PRE-MIR160C was reduced in the roots of drb2/0.1 μM plants and the abundance of miR160 was significantly elevated (Figure 3F–I). Further, DRB1 expression was elevated in drb2/0.1 μM roots (Figure 3O), indicating that, in the absence of DRB2 antagonism of the DRB1 function, elevated miR160 accumulation was due to enhanced precursor transcript processing efficiency [35,36,37]. In response to elevated miR160 accumulation, ARF10 and ARF16 expression was mildly increased by 1.4-fold, and ARF17 expression was mildly reduced by 1.3-fold (Figure 3L–N). The mildly repressive effect on primary root development in the drb2/0.1 μM sample was expected as we have previously shown that molecular modification of the drb2 mutant via the introduction of the miR160-resistant mARF10 and mARF16 transgenes had little influence on primary root length [39]. Interestingly, when these previous findings are considered together with the findings reported here in Figure 3, they suggest that, although ARF10 and ARF16 expression was increased in drb2/0.1 μM roots, the ability of the ARF10 and ARF16 proteins to direct their known roles in primary root development [12,13,54] is largely lost in the absence of DRB2 function. In contrast to primary root development in drb2/0.1 μM plants, lateral root formation was highly promoted (Figure 3A,C). Considering that both ARF10 and ARF16 have previously been assigned positive roles in lateral root development [13,55,56], an elevated level of expression of both ARF10 and ARF16 in drb2/0.1 μM roots (Figure 3L,M) likely accounted for this phenotypic change (Figure 3A,C).
Lateral root development was promoted to a further extent in the roots of drb2/1.0 μM plants (Figure 3A,C). Interestingly, this further promotion of lateral root development occurred in drb2/1.0 μM plants even though many of the molecular components of the miR160 expression module were altered to a lesser degree than they were in the roots of drb2/0.1 μM plants. More specifically, elevated DRB1 expression (Figure 3O), and therefore elevated DRB1 protein abundance, only resulted in enhanced processing efficiency of the PRE-MIR160A precursor (Figure 3F). In contrast, elevated PRE-MIR160B and PRE-MIR160C abundance suggested that both precursors were less efficiently processed in the roots of drb2/1.0 μM plants (Figure 3G,H). However, although miR160 accumulation was elevated to a lesser extent in drb2/1.0 μM roots than in drb2/0.1 μM roots (Figure 3I), ARF10 expression was slightly higher, and ARF17 expression further reduced in the root system of drb2/1.0 μM plants (Figure 3L,N). Interestingly, the higher level of promotion to lateral root development in drb2/1.0 μM plants was restricted to the upper region of the root system (Figure 3A). Considering that both ARF10 and ARF16 direct positive regulatory roles in lateral root development in Arabidopsis [12,13,54], and that ARF10 expression was increased to a higher level in the roots of drb2/1.0 μM plants than it was in drb2/0.1 μM roots, the unique phenotypic response of drb2 plants to treatment with 1.0 μM 2,4-D may indicate that the positive regulatory role directed by ARF10 in lateral root development in Arabidopsis is restricted to the upper region of the root system. As outlined above, of the three ARF genes under miR160-directed expression regulation, only ARF17 has been shown to play a role in adventitious root development in Arabidopsis [12,54]. Specifically, lateral root formation was repressed in Arabidopsis transformants molecularly modified to overexpress ARF17 via the introduction and in planta expression of the miR160-resistant transgene, mARF17 [12]. As described for the Col-0/1.0 μM sample (Figure 1A,D,N), and stemming from its known role in adventitious root development [12,54], the mild reduction in ARF17 expression (Figure 3N), and therefore ARF17 protein abundance, most likely caused the significant promotion of adventitious root development in drb2 plants (Figure 3A,D) following the treatment of this mutant background with the higher concentration of synthetic auxin.

4.4. The drb12 Double Mutant Is Largely Defective in Its Ability to Mount a miR160-Directed Response to Treatment with Synthetic Auxin

Of the three root phenotypic measurements assessed in the drb12 double mutant following its treatment with either 0.1 or 1.0 μM 2,4-D, only adventitious root development was significantly impacted in drb12/1.0 μM plants (Figure 4A–D). A lack of phenotypic response by drb12 plants to treatment with synthetic auxin is somewhat expected as the activity of both DRB1 and DRB2 are required to produce most Arabidopsis miRNAs [23,24,25,35,36,37,38], with defective miRNA activity shown to severely impact Arabidopsis development [19,20,21,22,31]. Therefore, in addition to defective miR160 production, and miR160-directed regulation of the expression of its target genes, the molecular profile of most Arabidopsis miRNA expression modules would be altered in the double mutant [23,24,25,35,36,37,38], which would in turn render drb12 plants defective in their ability to mount an appropriate miRNA-mediated response to treatment with synthetic auxin. In drb12/0.1 μM roots, the PRE-MIR160A, PRE-MIR160B, and PRE-MIR160C transcripts were all reduced in abundance (Figure 4F–H), and the level of miR160 accumulation was also significantly decreased (Figure 4I). In addition, the expression of DRB4 was also significantly reduced in the roots of drb12/0.1 μM plants (Figure 4Q). Considering that our bioinformatic assessment of the cis-acting element landscapes of the promotor regions of genes encoding the individual components of the miR160 expression module identified the presence of AREs in the MIR160A, MIR160B, MIR160C, and DRB4 gene promoter regions, the significantly reduced level of miR160 accumulation in drb12/0.1 μM roots was the combined result of (1) repressed MIR160A, MIR160B, and MIR160C gene expression, and (2) the inability of the reduced level of DRB4/DRB4 to compensate for the loss of DRB1 and DRB2 function. In response to the significantly reduced abundance of miR160 in drb12/0.1 μM roots (Figure 4I), ARF10 expression was highly increased by 5.0-fold (Figure 5I), and since both ARF10 and ARF16 have been shown to promote primary root development in Arabidopsis [12,13,54], elevated ARF10/ARF10 abundance was the most likely cause of the slight promotion of primary root length in drb12/0.1 μM plants (Figure 4A,B). The significant increase in ARF10 expression was also the likely cause of increased lateral root numbers in drb12 plants following their treatment with 0.1 μM 2,4-D, with ARF10 also previously demonstrated to mediate a positive role in lateral root development in Arabidopsis [40,43,57,58].
In the roots of drb12 plants treated with 1.0 μM 2,4-D, and as described for drb12/0.1 μM roots, the significant reduction in miR160 accumulation (Figure 4I) was likely the result of repressed MIR160A and MIR160B gene activity at the transcriptional level (Figure 4F,G), combined with the inability of the significantly reduced level of DRB4/DRB4 to compensate for the loss of DRB1 and DRB2 function at the posttranscriptional level (Figure 4Q). In response to reduced miR160 accumulation in drb12/1.0 μM roots, ARF10 expression was significantly elevated and the expression of ARF16 and ARF17 mildly increased (Figure 4L–N). Interestingly, although ARF target gene expression responded appropriately to reduced miR160 accumulation, the elevated abundance of the ARF10, ARF16, and ARF17 target transcripts could not account for the phenotypic response displayed by the root system of the drb12 double mutant following its treatment with 1.0 μM 2,4-D (Figure 4A–D). For example, ARF10 and ARF16 have both been shown to promote primary root development [12,13,54]. However, although the expression of both miR160 target genes was elevated in drb12/1.0 μM roots, the primary root length was reduced. Similarly, ARF17 is the only miR160 target associated with adventitious root development, mediating a repressive role in this context via acting as a transcriptional repressor of the expression of its regulated ARGs [12,55,56]. Therefore, considering this documented role for ARF17, the elevated abundance of ARF17, albeit mild, would be expected to repress adventitious root formation in drb12/1.0 μM plants (Figure 4D,N). However, the average number of adventitious roots per drb12 plant was significantly increased by the treatment of the drb12 double mutant with the higher concentration of synthetic auxin (Figure 4A,D). These unexpected findings suggest that, in the absence of DRB1 and DRB2 function, miR160 loses its regulatory ability to appropriately control the expression of its ARF target genes for ARF10, ARF16, and ARF17 to continue to mediate their normal functional roles in Arabidopsis root system development. Furthermore, considering that most miRNA expression modules would be molecularly altered in the drb12 double mutant, the phenotypic response displayed by the root system of drb12 plants following their treatment with 1.0 μM 2,4-D could be the result of molecular alterations to other miRNA expression modules, such as the miR156 and miR167 expression modules, which have been associated with regulating adventitious root development [59,60], and the miR390 and miR847 expression modules involved in regulating lateral root development in Arabidopsis [61,62].

4.5. In Addition to DRB1 and DRB2, DRB4 Adds an Additional Layer of Regulatory Complexity to the miR160 Expression Module in Arabidopsis Roots

Altered DRB4 expression in the roots of Col-0 (Figure 1Q), drb1 (Figure 2Q), drb2 (Figure 3Q), and drb12 (Figure 4Q) plants following the treatment of these four Arabidopsis lines with synthetic auxin inferred that, in addition to its known requirement for the production of the non-conserved subclass of miRNAs [28,33,34,38], and of tasiARF [52,53], DRB4 is also required to fine tune the rate of production of the conserved miRNA, miR160, in Arabidopsis roots. More specifically, in drb4 and drb24 roots, PRE-MIR160A and PRE-MIR160B abundance was reduced and the accumulation of miR160 was significantly elevated (Figure 5F,G,I). This showed that like the documented role played by DRB2 in regulating the rate of production of specific miRNA subsets in Arabidopsis [35,36,37,38], DRB4 also plays a secondary role in regulating the rate of miR160 production, and that this occurs via DRB4 antagonism of DRB1 function in the DCL1/DRB1 partnership to influence the efficiency of miR160 precursor transcript processing. In addition, DRB4 has previously been shown to be antagonistic towards the role of DRB2 in the production of the non-conserved subclass of miRNAs and other subspecies of siRNAs in Arabidopsis [34,38]. Here, the significantly elevated abundance of PRE-MIR160A, PRE-MIR160B, and PRE-MIR160C in the roots of drb14 plants (Figure 5F–H), together with elevated miR160 accumulation in the roots of this double mutant (Figure 5I), revealed that DRB4 is also antagonistic towards the secondary role played by DRB2 to fine tune the rate of miR160 production in Arabidopsis roots. Furthermore, DRB4 antagonism of DRB1 and DRB2 function in miR160 production appears to occur at the transcriptional level, as evidenced by the elevated level of DRB1 expression in drb24 roots, and increased DRB2 expression in drb4 and drb14 roots (Figure 5O,P). In drb14 roots, the expression levels of ARF10, ARF16, and ARF17 were all significantly elevated (Figure 5L–N). Considering the known roles of ARF10, ARF16, and ARF17 in regulating primary, lateral, and adventitious root development in Arabidopsis [12,13,40,44,54,55,56,57,58], these miR160 target gene expression trends would be expected to promote primary and lateral root development and to repress adventitious root development in the drb14 double mutant, respectively. However, opposing and therefore unexpected root phenotypes were observed for drb14 plants. Moreover, the primary root length was reduced, the lateral root number was mildly repressed, and adventitious root formation was highly promoted in the drb14 double mutant (Figure 4A–D). When considered together, these results suggest that the functional roles played by the ARGs in root development which are under the transcriptional control of ARF10, ARF16, and ARF17 become defective in the absence of DRB1 and DRB4 function in miR160 production. This suggestion is further supported by comparison of the ARF10, ARF16, and ARF17 expression trends in drb24 roots (Figure 5L–N) and the root phenotypes displayed by this double mutant background (Figure 5A–D). More specifically, this comparison again suggests that the ability of the ARGs under the transcriptional control of ARF10, ARF16, and ARF17 to direct their functional roles in controlling Arabidopsis root development is lost in the absence of the involvement of DRB2 and DRB4 in miR160 production.

5. Conclusions

In this study, we molecularly profiled the miR160 expression module in the roots of Col-0, drb1, drb2, and drb12 plants following the treatment of these four Arabidopsis lines with 2,4-D. In the roots of 0.1 μM 2,4-D treated Col-0, drb1, and drb2 plants, the root phenotype alterations displayed by these three Arabidopsis lines were associated with the altered accumulation level of miR160, and the changes in the level of expression of its target genes, ARF10, ARF16, and ARF17. More specifically, altered ARF10 and/or ARF16 expression was associated with promoted primary and lateral root development in Col-0, drb1, and drb2 plants following their treatment with 0.1 μM 2,4-D, and, similarly, altered ARF17 expression was associated with promoted adventitious root development in Col-0/0.1 μM, drb1/0.1 μM, and drb2/0.1 μM plants. In contrast, such an association could not be established for the drb12 double mutant following its treatment with either 0.1 or 1.0 μM 2,4-D, nor could such a relationship be established in Col-0, drb1, and drb2 plants following their treatment with the higher concentration of 2,4-D. In addition, by performing the same molecular profiling exercise of the miR160 expression module in the root systems of drb4, drb14, and drb24 plants, we identified a previously unknown role for DRB4 in regulating miR160 production in Arabidopsis. Taken together, the molecular data presented here show that the correct function of DRB1, DRB2, and DRB4 is required to control miR160 production, and subsequently, to appropriately regulate ARF10, ARF16, and ARF17 target gene expression, for normal root system development in Arabidopsis.

Supplementary Materials

The following supporting information can be downloaded at: https://www.mdpi.com/article/10.3390/genes15121648/s1, Table S1: Sequences of the DNA oligonucleotides used in this study.

Author Contributions

K.Z. and A.L.E. proposed the research. K.Z., J.L.P. and J.M.J.O. performed the experiments. K.Z. analyzed the data. D.A.C., M.-B.W., C.P.L.G. and A.L.E. supervised the project. K.Z. and A.L.E. drafted the manuscript. J.L.P., J.M.J.O., D.A.C., M.-B.W., C.P.L.G. and A.L.E. revised the manuscript. All authors have read and agreed to the published version of the manuscript.

Funding

This study received no external funding.

Institutional Review Board Statement

Not applicable.

Informed Consent Statement

Not applicable.

Data Availability Statement

The original contributions presented in the study are included in the article/Supplementary Material, further inquiries can be directed to the corresponding author.

Acknowledgments

The authors would like to thank the fellow members of the Centre for Plant Science at the University of Newcastle for their guidance and advice on the growth and care of Arabidopsis thaliana plants.

Conflicts of Interest

The authors declare no conflicts of interest.

References

  1. Ruegger, M.; Dewey, E.; Gray, W.M.; Hobbie, L.; Turner, J.; Estelle, M. The TIR1 protein of Arabidopsis functions in auxin response and is related to human SKP2 and yeast grr1p. Genes 1998, 12, 198–207. [Google Scholar] [CrossRef] [PubMed]
  2. Guilfoyle, T.J.; Hagen, G. Auxin response factors. Curr. Opin. Plant Biol. 2007, 10, 453–460. [Google Scholar] [CrossRef] [PubMed]
  3. Kepinski, S.; Leyser, O. Auxin-induced SCFTIR1-Aux/IAA interaction involves stable modification of the SCFTIR1 complex. Proc. Natl. Acad. Sci. USA 2004, 101, 12381–12386. [Google Scholar] [CrossRef]
  4. Reed, J.W. Roles and activities of Aux/IAA proteins in Arabidopsis. Trends Plant Sci. 2001, 6, 420–425. [Google Scholar] [CrossRef]
  5. Luo, J.; Zhou, J.J.; Zhang, J.Z. Aux/IAA Gene Family in Plants: Molecular Structure, Regulation, and Function. Int. J. Mol. Sci. 2018, 19, 259. [Google Scholar] [CrossRef]
  6. Guilfoyle, T.J.; Hagen, G. Auxin response factors. J. Plant Growth Reg. 2001, 10, 281–291. [Google Scholar] [CrossRef]
  7. Tiwari, S.B.; Hagen, G.; Guilfoyle, T.J. The roles of auxin response factor domains in auxin-responsive transcription. Plant Cell 2003, 15, 533–543. [Google Scholar] [CrossRef]
  8. Boer, D.R.; Freire-Rios, A.; van den Berg, W.A.; Saaki, T.; Manfield, I.W.; Kepinski, S.; Lopez-Vidrieo, I.; Franco-Zorrilla, J.M.; de Vries, S.C.; Solano, R.; et al. Structural basis for DNA binding specificity by the auxin-dependent ARF transcription factors. Cell 2014, 156, 577–589. [Google Scholar] [CrossRef]
  9. Hardtke, C.S.; Berleth, T. The Arabidopsis gene MONOPTEROS encodes a transcription factor mediating embryo axis formation and vascular development. EMBO J. 1998, 17, 1405–1411. [Google Scholar] [CrossRef] [PubMed]
  10. Hamann, T.; Benkova, E.; Baurle, I.; Kientz, M.; Jurgens, G. The Arabidopsis BODENLOS gene encodes an auxin response protein inhibiting MONOPTEROS-mediated embryo patterning. Genes Dev. 2002, 16, 1610–1615. [Google Scholar] [CrossRef] [PubMed]
  11. Ellis, C.M.; Nagpal, P.; Young, J.C.; Hagen, G.; Guilfoyle, T.J.; Reed, J.W. AUXIN RESPONSE FACTOR1 and AUXIN RESPONSE FACTOR2 regulate senescence and floral organ abscission in Arabidopsis thaliana. Development 2005, 132, 4563–4574. [Google Scholar] [CrossRef]
  12. Mallory, A.C.; Bartel, D.P.; Bartel, B. MicroRNA-directed regulation of Arabidopsis AUXIN RESPONSE FACTOR17 is essential for proper development and modulates expression of early auxin response genes. Plant Cell 2005, 17, 1360–1375. [Google Scholar] [CrossRef] [PubMed]
  13. Wang, J.W.; Wang, L.J.; Mao, Y.B.; Cai, W.J.; Xue, H.W.; Chen, X.Y. Control of root cap formation by microRNA-targeted auxin response factors in Arabidopsis. Plant Cell 2005, 17, 2204–2216. [Google Scholar] [CrossRef] [PubMed]
  14. Ru, P.; Xu, L.; Ma, H.; Huang, H. Plant fertility defects induced by the enhanced expression of microRNA167. Cell Res. 2006, 16, 457–465. [Google Scholar] [CrossRef] [PubMed]
  15. Wu, M.F.; Tian, Q.; Reed, J.W. Arabidopsis microRNA167 controls patterns of ARF6 and ARF8 expression, and regulates both female and male reproduction. Development 2006, 133, 4211–4218. [Google Scholar] [CrossRef] [PubMed]
  16. Williams, L.; Carles, C.C.; Osmont, K.S.; Fletcher, J.C. A database analysis method identifies an endogenous trans-acting short-interfering RNA that targets the Arabidopsis ARF2, ARF3, and ARF4 genes. Proc. Natl. Acad. Sci. USA 2005, 102, 9703–9708. [Google Scholar] [CrossRef]
  17. Hunter, C.; Willmann, M.R.; Wu, G.; Yoshikawa, M.; de la Luz Gutierrez-Nava, M.; Poethig, S.R. Trans-acting siRNA-mediated repression of ETTIN and ARF4 regulates heteroblasty in Arabidopsis. Development 2005, 133, 2973–2981. [Google Scholar] [CrossRef]
  18. Finet, C.; Fourquin, C.; Vinauger, M.; Berne-Dedieu, A.; Chambrier, P.; Paindavoine, S.; Scutt, C.P. Parallel structural evolution of auxin response factors in the angiosperms. Plant J. 2010, 63, 952–959. [Google Scholar] [CrossRef]
  19. Vidal, E.A.; Araus, V.; Lu, C.; Parry, G.; Green, P.J.; Coruzzi, G.M.; Gutierrez, R.A. Nitrate-responsive miR393/AFB3 regulatory module controls root system architecture in Arabidopsis thaliana. Proc. Natl. Acad. Sci. USA 2010, 107, 4477–4482. [Google Scholar] [CrossRef] [PubMed]
  20. Liu, D.; Song, Y.; Chen, Z.; Yu, D. Ectopic expression of miR396 suppresses GRF target gene expression and alters leaf growth in Arabidopsis. Physiol. Plant 2009, 136, 223–236. [Google Scholar] [CrossRef]
  21. Song, J.B.; Huang, S.Q.; Dalmay, T.; Yang, Z.M. Regulation of leaf morphology by microRNA394 and its target LEAF CURLING RESPONSIVENESS. Plant Cell Physiol. 2012, 53, 1283–1294. [Google Scholar] [CrossRef]
  22. Vazquez, F.; Gasciolli, V.; Crété, P.; Vaucheret, H. The nuclear dsRNA binding protein HYL1 is required for microRNA accumulation and plant development, but not posttranscriptional transgene silencing. Curr. Biol. 2004, 14, 346–351. [Google Scholar] [CrossRef]
  23. Kurihara, Y.; Takashi, Y.; Watanabe, Y. The interaction between DCL1 and HYL1 is important for efficient and precise processing of pri-miRNA in plant microRNA biogenesis. RNA 2006, 12, 206–212. [Google Scholar] [CrossRef]
  24. Song, L.; Han, M.H.; Lesicka, J.; Fedoroff, N. Arabidopsis primary microRNA processing proteins HYL1 and DCL1 define a nuclear body distinct from the Cajal body. Proc. Natl. Acad. Sci. USA 2007, 104, 5437–5442. [Google Scholar] [CrossRef]
  25. Han, M.H.; Goud, S.; Song, L.; Fedoroff, N. The Arabidopsis double-stranded RNA-binding protein HYL1 plays a role in microRNA-mediated gene regulation. Proc. Natl. Acad. Sci. USA 2004, 101, 1093–1098. [Google Scholar] [CrossRef] [PubMed]
  26. Fang, Y.; Spector, D.L. Identification of nuclear dicing bodies containing proteins for microRNA biogenesis in living Arabidopsis plants. Curr. Biol. 2007, 17, 818–823. [Google Scholar] [CrossRef] [PubMed]
  27. Fujioka, Y.; Utsumi, M.; Ohba, Y.; Watanabe, Y. Location of a possible miRNA processing site in SmD3/SmB nuclear bodies in Arabidopsis. Plant Cell Physiol. 2007, 48, 1243–1453. [Google Scholar] [CrossRef] [PubMed]
  28. Eamens, A.L.; Smith, N.A.; Curtin, S.J.; Wang, M.B.; Waterhouse, P.M. The Arabidopsis thaliana double-stranded RNA binding protein DRB1 directs guide strand selection from microRNA duplexes. RNA 2009, 15, 2219–2235. [Google Scholar] [CrossRef] [PubMed]
  29. Fagard, M.; Boutet, S.; Morel, J.B.; Bellini, C.; Vaucheret, H. AGO1, QDE-2, and RDE-1 are related proteins required for posttranscriptional gene silencing in plants, quelling in fungi, and RNA interference in animals. Proc. Natl. Acad. Sci. USA 2000, 97, 11650–11654. [Google Scholar] [CrossRef] [PubMed]
  30. Morel, J.B.; Godon, C.; Mourrain, P.; Béclin, C.; Boutet, S.; Feuerbach, F.; Proux, F.; Vaucheret, H. Fertile hypomorphic ARGONAUTE1 (ago1) mutants impaired in post-transcriptional gene silencing and virus resistance. Plant Cell 2002, 14, 629–639. [Google Scholar] [CrossRef]
  31. Vaucheret, H.; Vazquez, F.; Crété, P.; Bartel, D.P. The action of ARGONAUTE1 in the miRNA pathway and its regulation by the miRNA pathway are crucial for plant development. Genes Dev. 2004, 18, 1187–1197. [Google Scholar] [CrossRef]
  32. Baumberger, N.; Baulcombe, D.C. Arabidopsis ARGONAUTE1 is an RNA Slicer that selectively recruits microRNAs and short interfering RNAs. Proc. Natl. Acad. Sci. USA 2005, 102, 11928–11933. [Google Scholar] [CrossRef] [PubMed]
  33. Rajagopalan, R.; Vaucheret, H.; Trejo, J.; Bartel, D.P. A diverse and evolutionarily fluid set of microRNAs in Arabidopsis thaliana. Genes Dev. 2006, 20, 3407–3425. [Google Scholar] [CrossRef]
  34. Pélissier, T.; Clavel, M.; Chaparro, C.; Pouch-Pélissier, M.N.; Vaucheret, H.; Deragon, J.M. Double-stranded RNA binding proteins DRB2 and DRB4 have an antagonistic impact on polymerase IV-dependent siRNA levels in Arabidopsis. RNA 2011, 17, 1502–1510. [Google Scholar] [CrossRef] [PubMed]
  35. Eamens, A.L.; Kim, K.W.; Curtin, S.J.; Waterhouse, P.M. DRB2 is required for microRNA biogenesis in Arabidopsis thaliana. PLoS ONE 2012, 7, e35933. [Google Scholar] [CrossRef]
  36. Eamens, A.L.; Kim, K.W.; Waterhouse, P.M. DRB2, DRB3 and DRB5 function in a non-canonical microRNA pathway in Arabidopsis thaliana. Plant Signal. Behav. 2012, 7, 1224–1229. [Google Scholar] [CrossRef]
  37. Reis, R.S.; Hart-Smith, G.; Eamens, A.L.; Wilkins, M.R.; Waterhouse, P.M. Gene regulation by translational inhibition is determined by Dicer partnering proteins. Nat. Plants 2015, 1, 14027. [Google Scholar] [CrossRef]
  38. Curtin, S.J.; Watson, J.M.; Smith, N.A.; Eamens, A.L.; Blanchard, C.L.; Waterhouse, P.M. The roles of plant dsRNA-binding proteins in RNAi-like pathways. FEBS Lett. 2008, 582, 2753–2760. [Google Scholar] [CrossRef]
  39. Zimmerman, K.; Pegler, J.L.; Oultram, J.M.J.; Collings, D.A.; Wang, M.B.; Grof, C.P.L.; Eamens, A.L. Molecular manipulation of the miR160/AUXIN RESPONSE FACTOR expression module impacts root development in Arabidopsis thaliana. Genes 2024, 15, 1042. [Google Scholar] [CrossRef] [PubMed]
  40. Overvoorde, P.; Fukaki, H.; Beeckman, T. Auxin control of root development. Cold Spring Harb. Perspect. Biol. 2010, 2, a001537. [Google Scholar] [CrossRef]
  41. Oono, Y.; Ooura, C.; Rahman, A.; Aspuria, E.T.; Hayashi, K.; Tanaka, A.; Uchimiya, H. p-Chlorophenoxyisobutyric acid impairs auxin response in Arabidopsis root. Plant Physiol. 2003, 133, 1135–1147. [Google Scholar] [CrossRef]
  42. Poupart, J.; Waddell, C.S. The rib1 mutant is resistant to indole-3-butyric acid, an endogenous auxin in Arabidopsis. Plant Physiol. 2000, 124, 1739–1751. [Google Scholar] [CrossRef] [PubMed]
  43. Rahman, A.; Nakasone, A.; Chhun, T.; Ooura, C.; Biswas, K.K.; Uchimiya, H.; Tsurumi, S.; Baskin, T.I.; Tanaka, A.; Oono, Y. A small acidic protein 1 (SMAP1) mediates responses of the Arabidopsis root to the synthetic auxin 2,4-dichlorophenoxyacetic acid. Plant J. 2006, 47, 788–801. [Google Scholar] [CrossRef]
  44. de Reuille, P.B.; Bohn-Courseau, I.; Ljung, K.; Morin, H.; Carraro, N.; Godin, C.; Traas, J. Computer simulations reveal properties of the cell-cell signaling network at the shoot apex in Arabidopsis. Proc. Natl. Acad. Sci. USA 2006, 103, 1627–1632. [Google Scholar] [CrossRef]
  45. García, M.J.; Romera, F.J.; Stacey, M.G.; Stacey, G.; Villar, E.; Alcántara, E.; Pérez-Vicente, R. Shoot to root communication is necessary to control the expression of iron-acquisition genes in Strategy I plants. Planta 2013, 237, 65–75. [Google Scholar] [CrossRef]
  46. Taylor-Teeples, M.; Lanctot, A.; Nemhauser, J.L. As above, so below: Auxin’s role in lateral organ development. Dev. Biol. 2016, 419, 156–164. [Google Scholar] [CrossRef] [PubMed]
  47. Wu, H.J.; Wang, Z.M.; Wang, M.; Wang, X.J. Widespread long noncoding RNAs as endogenous target mimics for microRNAs in plants. Plant Physiol. 2013, 161, 1875–1884. [Google Scholar] [CrossRef] [PubMed]
  48. Wang, M.; Wu, H.J.; Fang, J.; Chu, C.; Wang, X.J. A long noncoding RNA involved in rice reproductive development by negatively regulating osa-miR160. Sci. Bull. 2017, 62, 470–475. [Google Scholar] [CrossRef] [PubMed]
  49. Lescot, M.; Déhais, P.; Thijs, G.; Marchal, K.; Moreau, Y.; Van de Peer, Y.; Rouzé, P.; Rombauts, S. PlantCARE, a database of plant cis-acting regulatory elements and a portal to tools for in silico analysis of promoter sequences. Nucleic Acids Res. 2002, 30, 325–327. [Google Scholar] [CrossRef]
  50. Higo, K.; Ugawa, Y.; Iwamoto, M.; Korenaga, T. Plant cis-acting regulatory DNA elements (PLACE) database: 1999. Nucleic Acids Res. 1999, 27, 297–300. [Google Scholar] [CrossRef]
  51. Davuluri, R.V.; Sun, H.; Palaniswamy, S.K.; Matthews, N.; Molina, C.; Kurtz, M.; Grotewold, E. AGRIS: Arabidopsis gene regulatory information server, an information resource of Arabidopsis cis-regulatory elements and transcription factors. BMC Bioinform. 2003, 4, 25. [Google Scholar] [CrossRef] [PubMed]
  52. Nakazawa, Y.; Hiraguri, A.; Moriyama, H.; Fukuhara, T. The dsRNA-binding protein DRB4 interacts with the Dicer-like protein DCL4 in vivo and functions in the trans-acting siRNA pathway. Plant Mol. Biol. 2007, 63, 777–785. [Google Scholar] [CrossRef] [PubMed]
  53. Adenot, X.; Elmayan, T.; Lauressergues, D.; Boutet, S.; Bouché, N.; Gasciolli, V.; Vaucheret, H. DRB4-dependent TAS3 trans-acting siRNAs control leaf morphology through AGO7. Curr. Biol. 2006, 16, 927–932. [Google Scholar] [CrossRef]
  54. Couzigou, J.M.; Combier, J.P. Plant microRNAs: Key regulators of root architecture and biotic interactions. New Phytol. 2016, 212, 22–35. [Google Scholar] [CrossRef]
  55. Nakazawa, M.; Yabe, N.; Ichikawa, T.; Yamamoto, Y.Y.; Yoshizumi, T.; Hasunuma, K.; Matsui, M. DFL1, an auxin-responsive GH3 gene homologue, negatively regulates shoot cell elongation and lateral root formation, and positively regulates the light response of hypocotyl length. Plant J. 2001, 25, 213–221. [Google Scholar]
  56. Takase, T.; Nakazawa, M.; Ishikawa, A.; Kawashima, M.; Ichikawa, T.; Takahashi, N.; Shimada, H.; Manabe, K.; Matsui, M. ydk1-D, an auxin-responsive GH3 mutant that is involved in hypocotyl and root elongation. Plant J. 2004, 37, 471–483. [Google Scholar] [CrossRef] [PubMed]
  57. Zhao, Y. Auxin biosynthesis and its role in plant development. Ann. Rev. Plant Biol. 2010, 61, 49–64. [Google Scholar] [CrossRef]
  58. Leyser, O. Molecular genetics of auxin signaling. Ann. Rev. Plant Biol. 2002, 53, 377–398. [Google Scholar] [CrossRef] [PubMed]
  59. Gutierrez, L.; Bussell, J.D.; Pacurar, D.I.; Schwambach, J.; Pacurar, M.; Bellini, C. Phenotypic plasticity of adventitious rooting in Arabidopsis is controlled by complex regulation of AUXIN RESPONSE FACTOR transcripts and microRNA abundance. Plant Cell 2009, 21, 3119–3132. [Google Scholar] [CrossRef]
  60. Xu, M.; Hu, T.; Zhao, J.; Park, M.Y.; Earley, K.W.; Wu, G.; Yang, L.; Poethig, R.S. Developmental Functions of miR156-Regulated SQUAMOSA PROMOTER BINDING PROTEIN-LIKE (SPL) Genes in Arabidopsis thaliana. PLoS Genet. 2016, 12, e1006263. [Google Scholar] [CrossRef] [PubMed]
  61. Yoon, E.K.; Yang, J.H.; Lim, J.; Kim, S.H.; Kim, S.K.; Lee, W.S. Auxin regulation of the microRNA390-dependent transacting small interfering RNA pathway in Arabidopsis lateral root development. Nucleic Acids Res. 2010, 38, 1382–1391. [Google Scholar] [CrossRef] [PubMed]
  62. Wang, J.J.; Guo, H.S. Cleavage of INDOLE-3-ACETIC ACID INDUCIBLE28 mRNA by microRNA847 upregulates auxin signaling to modulate cell proliferation and lateral organ growth in Arabidopsis. Plant Cell 2015, 27, 574–590. [Google Scholar] [CrossRef] [PubMed]
Disclaimer/Publisher’s Note: The statements, opinions and data contained in all publications are solely those of the individual author(s) and contributor(s) and not of MDPI and/or the editor(s). MDPI and/or the editor(s) disclaim responsibility for any injury to people or property resulting from any ideas, methods, instructions or products referred to in the content.

Share and Cite

MDPI and ACS Style

Zimmerman, K.; Pegler, J.L.; Oultram, J.M.J.; Collings, D.A.; Wang, M.-B.; Grof, C.P.L.; Eamens, A.L. The Arabidopsis thaliana Double-Stranded RNA Binding Proteins DRB1 and DRB2 Are Required for miR160-Mediated Responses to Exogenous Auxin. Genes 2024, 15, 1648. https://doi.org/10.3390/genes15121648

AMA Style

Zimmerman K, Pegler JL, Oultram JMJ, Collings DA, Wang M-B, Grof CPL, Eamens AL. The Arabidopsis thaliana Double-Stranded RNA Binding Proteins DRB1 and DRB2 Are Required for miR160-Mediated Responses to Exogenous Auxin. Genes. 2024; 15(12):1648. https://doi.org/10.3390/genes15121648

Chicago/Turabian Style

Zimmerman, Kim, Joseph L. Pegler, Jackson M. J. Oultram, David A. Collings, Ming-Bo Wang, Christopher P. L. Grof, and Andrew L. Eamens. 2024. "The Arabidopsis thaliana Double-Stranded RNA Binding Proteins DRB1 and DRB2 Are Required for miR160-Mediated Responses to Exogenous Auxin" Genes 15, no. 12: 1648. https://doi.org/10.3390/genes15121648

APA Style

Zimmerman, K., Pegler, J. L., Oultram, J. M. J., Collings, D. A., Wang, M.-B., Grof, C. P. L., & Eamens, A. L. (2024). The Arabidopsis thaliana Double-Stranded RNA Binding Proteins DRB1 and DRB2 Are Required for miR160-Mediated Responses to Exogenous Auxin. Genes, 15(12), 1648. https://doi.org/10.3390/genes15121648

Note that from the first issue of 2016, this journal uses article numbers instead of page numbers. See further details here.

Article Metrics

Back to TopTop