Genome-Wide Analysis of the Rad21/REC8 Gene Family in Cotton (Gossypium spp.)
Abstract
1. Introduction
2. Materials and Methods
2.1. Identification of REC8 Gene Family Members in Gossypium Species
2.2. Phylogenetic Analysis
2.3. Chromosomal Locations and Collinearity Analysis of Cotton REC8 Genes
2.4. Calculation of Selection Pressure for Duplicated Gene Pairs
2.5. Gene Structure, Motif, and Domain Analysis
2.6. Analysis of Cis-Acting Elements in REC8 Promoters
2.7. Expression Profile of REC8 Genes under Different Tissues and Stress
2.8. Plant Materials and Treatments
2.9. RNA Extraction and qRT-PRC Analysis
3. Results
3.1. Identification of REC8 Genes in Cotton
3.2. Phylogenetic Analysis of the Cotton REC8 Gene Family
3.3. Chromosomal Distribution and Synthesis Analysis of REC8 Genes in Cotton
3.4. Structure Analysis of Cotton REC8 Genes
3.5. Analysis of Cis-Acting Elements of the REC8 Genes in Cotton Species
3.6. GhREC8 Gene Profiles in Different Tissues of Upland Cotton
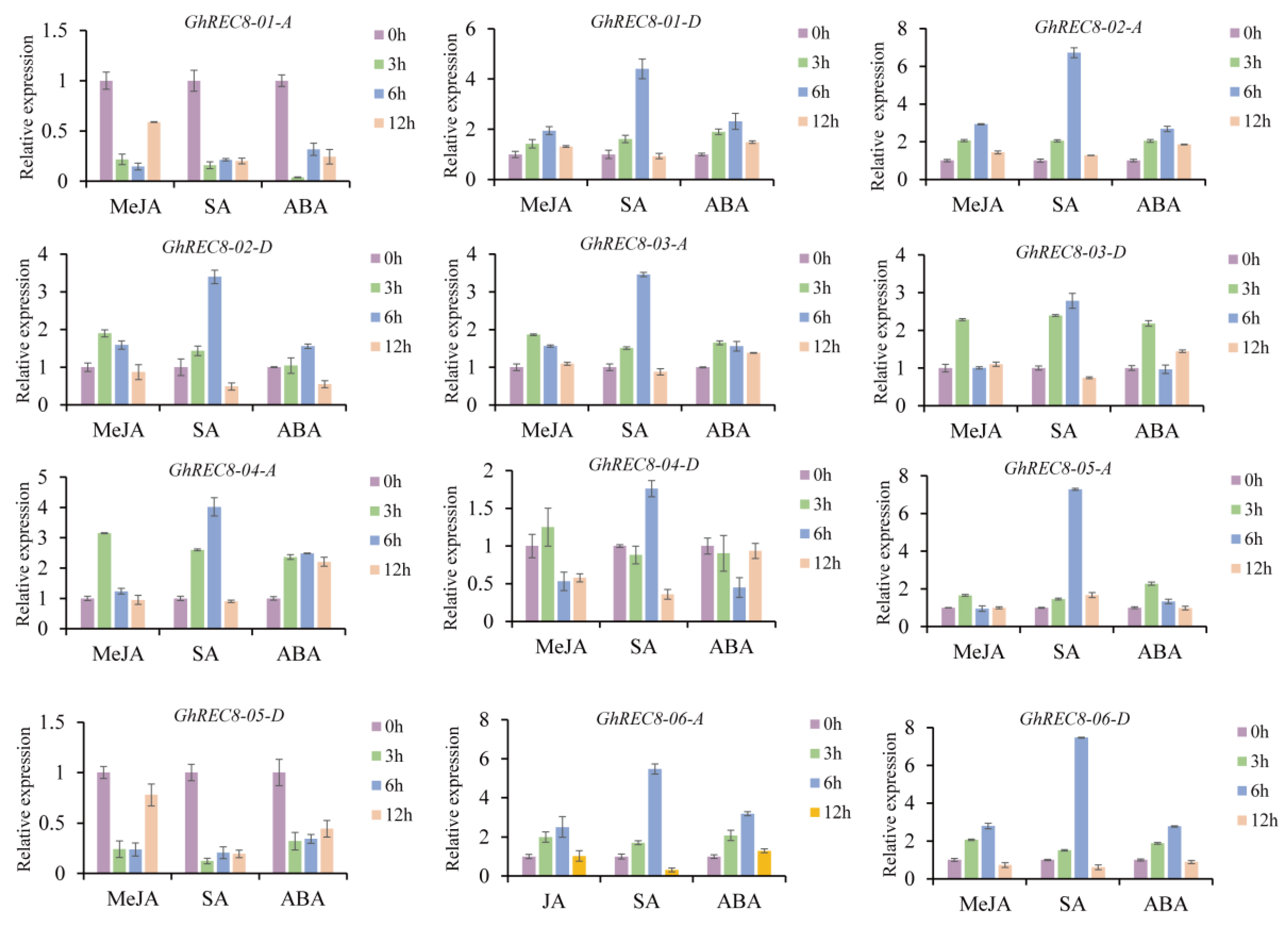
3.7. Expression Patterns of GhREC8 Genes under Abiotic Stress and Hormone Treatments
4. Discussion
5. Conclusions
Supplementary Materials
Author Contributions
Funding
Institutional Review Board Statement
Informed Consent Statement
Conflicts of Interest
References
- Zhang, L.R.; Tao, J.Y.; Wang, S.X.; Chong, K.; Wang, T. The rice OsRad21-4, an orthologue of yeast Rec8 protein, is required for efficient meiosis. Plant Mol. Biol. 2006, 60, 533–554. [Google Scholar] [CrossRef] [PubMed]
- Jing, J.L.; Zhang, T.; Kao, Y.H.; Huang, T.H.; Wang, C.; He, Y. ZmMTOPVIB enables DNA double-strand break formation and bipolar spindle assembly during maize meiosis. Plant Physiol. 2020, 184, 1811–1822. [Google Scholar] [CrossRef] [PubMed]
- Zhang, F.; Shen, Y.; Miao, C.; Cao, Y.; Shi, W.; Du, G.; Tang, D.; Li, Y.; Luo, Q.; Cheng, Z. OsRAD51D promotes homologous pairing and recombination by preventing nonhomologous interactions in rice meiosis. New Phytol. 2020, 227, 824–839. [Google Scholar] [CrossRef] [PubMed]
- Dorn, A.; Puchta, H. Analyzing somatic DNA repair in Arabidopsis meiotic mutants. Methods Mol. Biol. 2020, 2061, 359–366. [Google Scholar]
- Franz, K.; Peter, M.; Marta, G.; Buonomo, S.B.; Michaelis, C.; Nairz, K.; Nasmyth, K. A central role for cohesins in sister chromatid cohesion formation of axial elements, and recombination during yeast meiosis. Cell 1999, 98, 91–103. [Google Scholar]
- Parisi, S.; Mckay, M.J.; Molnar, M.; Thompson, M.A.; Kohli, J. Rec8p, a meiotic recombination and sister chromatid cohesion phosphoprotein of the Rad21p family conserved from fission yeast to humans. Mol. Cell. Biol. 1999, 19, 3515–3528. [Google Scholar] [CrossRef]
- Watanabe, Y.; Nurse, P. Cohesin Rec8 is required for reductional chromosome segregation at meiosis. Nature 1999, 400, 461–464. [Google Scholar] [CrossRef]
- Nasmyth, K. Disseminating the genome: Joining, resolving, and separating sister chromatids during mitosis and meiosis. Annu. Rev. Genet. 2001, 35, 673–745. [Google Scholar] [CrossRef]
- Kitajima, T.S.; Yokobayashi, S.; Yamamoto, M.; Watanabe, Y. Distinct cohesin complexes organize meiotic chromosome domains. Science 2003, 300, 1152–1155. [Google Scholar] [CrossRef]
- Darwiche, N.; Freeman, L.A.; Strunnikov, A. Characterization of the components of the putative mammalian sister chromatid cohesion complex. Gene 1999, 233, 39–47. [Google Scholar] [CrossRef]
- Pasierbek, P.; Jantsch, M.; Melcher, M.; Schleiffer, A.; Schweizer, D.; Loidl, J. A Caenorhabditis elegans cohesion protein with functions in meiotic chromosome pairing and disjunction. Genes Dev. 2001, 15, 1349–1360. [Google Scholar] [CrossRef] [PubMed]
- Dong, F.; Cai, X.; Makaroff, C.A. Cloning and characterization of two Arabidopsis genes that belong to the RAD21/REC8 family of chromosome cohesin proteins. Gene 2001, 271, 99–108. [Google Scholar] [CrossRef]
- Bai, X.; Peirson, B.N.; Dong, F.; Xue, C.; Makaroff, C.A. Isolation and characterization of SYN1, a RAD21-like gene essential for meiosis in Arabidopsis. Plant Cell 1999, 11, 417–430. [Google Scholar] [CrossRef] [PubMed]
- Golubovskaya, I.N.; Hamant, O.; Timofejeva, L.; Wang, C.J.; Braun, D.; Meeley, R.; Cande, W.Z. Alleles of afd1 dissect REC8 functions during meiotic prophase I. J. Cell Sci. 2006, 119, 3306–3315. [Google Scholar] [CrossRef]
- Warren, W.D.; Lin, E.; Nheu, T.V.; Hime, G.R.; McKay, M.J. Drad21, a Drosophila rad21 homologue expressed in S-phase cells. Gene 2000, 250, 77–84. [Google Scholar] [CrossRef] [PubMed]
- Losada, A.; Hirano, M.; Hirano, T. Identification of Xenopus SMC protein complexes required for sister chromatid cohesion. Genes Dev. 1998, 12, 1986–1997. [Google Scholar] [CrossRef] [PubMed]
- Zhang, L.R.; Tao, J.Y.; Wang, T. Molecular characterization of OsRAD21-1, a rice homologue of yeast RAD21 essential for mitotic chromosome cohesion. J. Exp. Bot. 2004, 55, 1149–1152. [Google Scholar] [CrossRef]
- Cao, L.; Li, C.; Li, H.; Wang, Z.; Jiang, Y.; Guo, Y.; Sun, P.; Chen, X.; Li, Q.; Tian, H. Disruption of REC8 in Meiosis I led to watermelon seedless. Plant Sci. 2022, 323, 111394. [Google Scholar] [CrossRef]
- Bhatt, A.M.; Lister, C.; Page, T.; Fransz, P.; Findlay, K.; Jones, G.H.; Dickinson, H.G.; Dean, C. The DIF1 gene of Arabidopsis is required for meiotic chromosome segregation and belongs to the REC8/RAD21 cohesin gene family. Plant J. 1999, 19, 463–472. [Google Scholar] [CrossRef]
- Cai, X.; Dong, F.; Edelmann, R.E.; Makaroff, C.A. The Arabidopsis SYN1 cohesin protein is required for sister chromatid arm cohesion and homologous chromosome pairing. J. Cell Sci. 2003, 116, 2999–3007. [Google Scholar] [CrossRef]
- Birkenbihl, R.P.; Subramani, S. Cloning and characterization of rad21 an essential gene of Schizosaccharomyces pombe involved in DNA double-strand-break repair. Nucleic Acids Res. 1992, 20, 6605–6611. [Google Scholar] [CrossRef] [PubMed]
- Hou, H.; Kyriacou, E.; Thadani, R.; Klutstein, M.; Chapman, J.H.; Cooper, J.P. Centromeres are dismantled by foundational meiotic proteins Spo11 and Rec8. Nature 2021, 591, 671–676. [Google Scholar] [CrossRef] [PubMed]
- Xu, H.; Beasley, M.D.; Warren, W.D.; Horst, G.T.; McKay, M.J. Absence of mouse REC8 cohesin promotes synapsis of sister chromatids in meiosis. Dev. Cell 2005, 8, 949–961. [Google Scholar] [CrossRef] [PubMed]
- Yoon, S.W.; Lee, M.S.; Xaver, M.; Zhang, L.; Hong, S.G.; Kong, Y.J.; Cho, H.R.; Kleckner, N.; Kim, K.P. Meiotic prophase roles of Rec8 in crossover recombination and chromosome structure. Nucleic Acids Res. 2016, 44, 9296–9314. [Google Scholar] [CrossRef] [PubMed]
- Shahid, S. The rules of attachment: REC8 cohesin connects chromatin architecture and recombination machinery in meiosis. Plant Cell 2020, 32, 808–809. [Google Scholar] [CrossRef]
- Lambing, C.; Tock, A.J.; Topp, S.D.; Choi, K.; Kuo, P.C.; Zhao, X.; Osman, K.; Higgins, J.D.; Franklin, F.C.H.; Henderson, I.R. Interacting genomic landscapes of REC8-Cohesin, chromatin, and meiotic recombination in Arabidopsis. Plant Cell 2020, 32, 1218–1239. [Google Scholar] [CrossRef]
- Qi, L.; Friebe, B.; Zhang, P.; Gill, B.S. Homoeologous recombination, chromosome engineering and crop improvement. Chromosome Res. 2007, 15, 3–19. [Google Scholar] [CrossRef]
- Kumar, S.; Stecher, G.; Tamura, K. MEGA7: Molecular Evolutionary Genetics Analysis Version 7.0 for bigger datasets. Mol. Biol. Evol. 2016, 33, 1870–1874. [Google Scholar] [CrossRef]
- Chen, C.; Chen, H.; Zhang, Y.; Thomas, H.R.; Frank, M.H.; He, Y.; Xia, R. TBtools: An integrative toolkit developed for interactive analyses of big biological data. Mol. Plant 2020, 13, 1194–1202. [Google Scholar] [CrossRef]
- Hu, Y.; Chen, J.; Fang, L.; Zhang, Z.; Ma, W.; Niu, Y.; Ju, L.; Deng, J.; Zhao, T.; Lian, J. Gossypium barbadense and Gossypium hirsutum genomes provide insights into the origin and evolution of allotetraploid cotton. Nat. Genet. 2019, 51, 739–748. [Google Scholar] [CrossRef]
- Livak, K.J.; Schmittgen, T.D. Analysis of relative gene expression data using real-time quantitative PCR and the 2(-Delta Delta C(T)) method. Methods 2013, 25, 402–408. [Google Scholar] [CrossRef] [PubMed]
- José, A.; Capito, C.; Kozak, J.; Costa-Nunes, P. The AtRAD21.1 and AtRAD21.3 Arabidopsis cohesins play a synergistic role in somatic DNA double strand break damage repair. BMC Plant Biol. 2014, 14, 402–432. [Google Scholar]
- Chelysheva, L. AtREC8 and AtSCC3 are essential to the monopolar orientation of the kinetochores during meiosis. J. Cell Sci. 2005, 118, 4621. [Google Scholar] [CrossRef] [PubMed]
- Schubert, V.; Weißleder, A.; Ali, H.; Fuchs, J.; Lermontova, I.; Meister, A.; Schubert, I. Cohesin gene defects may impair sister chromatid alignment and genome stability in Arabidopsis thaliana. Chromosoma 2009, 118, 591–605. [Google Scholar] [CrossRef]
- Bauerschmidt, C.; Arrichiello, C.; Burdak-Rothkamm, S.; Woodcock, M.; Hill, M.A.; Stevens, D.L.; Rothkamm, K. Cohesin promotes the repair of ionizing radiation-induced DNA double-strand breaks in replicated chromatin. Nucleic Acids Res. 2010, 38, 477–487. [Google Scholar] [CrossRef]
- Yuan, L.; Yang, X.; Auman, D.; Makaroff, C.A. Expression of epitope-tagged SYN3 cohesin proteins can disrupt meiosis in Arabidopsis. J. Genet. Genom. 2014, 41, 153–164. [Google Scholar] [CrossRef]
- Peirson, B.N.; Owen, H.A.; Feldmann, K.A.; Makaroff, C.A. Characterization of three male-sterile mutants of Arabidopsis thaliana exhibiting alterations in meiosis. Sex. Plant Reprod. 1996, 9, 1–16. [Google Scholar] [CrossRef]
- Shao, T.; Tang, D.; Wang, K.; Wang, M.; Che, L.; Qin, B.; Yu, H.; Li, M.; Gu, M.; Cheng, Z. OsREC8 is essential for chromatid cohesion and metaphase I monopolar orientation in rice meiosis. Plant Physiol. 2011, 156, 1386–1396. [Google Scholar] [CrossRef] [PubMed]
- Mieulet, D.; Jolivet, S.; Rivard, M.; Cromer, L.; Vernet, A.; Mayonove, P.; Pereira, L.; Droc, G.; Courtois, B.; Guiderdoni, E.; et al. Turning meiosis into mitosis. PLoS Biol. 2009, 7, e1000124. [Google Scholar]
- Mieulet, D.; Jolivet, S.; Rivard, M.; Cromer, L.; Vernet, A.; Mayonove, P.; Pereira, L.; Droc, G.; Courtois, B.; Guiderdoni, E.; et al. Turning rice meiosis into mitosis. Cell Res. 2016, 26, 1242–1254. [Google Scholar]
- Nasmyth, K. Segregating sister genomes: The molecular biology of chromosome separation. Science 2002, 297, 559–565. [Google Scholar] [CrossRef] [PubMed]
- Gruber, S.; Haering, C.H.; Nasmyth, K. Chromosomal cohesin forms a ring. Cell 2003, 112, 765–777. [Google Scholar] [CrossRef] [PubMed]
- Ku, Y.S.; Sintaha, M.; Cheung, M.Y.; Lam, H.M. Plant hormone signaling crosstalks between biotic and abiotic stress responses. Int. J. Mol. Sci. 2018, 19, 3206. [Google Scholar] [CrossRef]
- Yan, Y.; Huang, P.C.; Borrego, E.; Kolomiets, M. New perspectives into jasmonate roles in maize. Plant Signal. Behav. 2014, 9, e970442. [Google Scholar] [CrossRef] [PubMed]








| Disclaimer/Publisher’s Note: The statements, opinions and data contained in all publications are solely those of the individual author(s) and contributor(s) and not of MDPI and/or the editor(s). MDPI and/or the editor(s) disclaim responsibility for any injury to people or property resulting from any ideas, methods, instructions or products referred to in the content. | 
© 2023 by the authors. Licensee MDPI, Basel, Switzerland. This article is an open access article distributed under the terms and conditions of the Creative Commons Attribution (CC BY) license (https://creativecommons.org/licenses/by/4.0/).
Share and Cite
Wang, Y.; Zhou, L.; Guo, H.; Cheng, H. Genome-Wide Analysis of the Rad21/REC8 Gene Family in Cotton (Gossypium spp.). Genes 2023, 14, 993. https://doi.org/10.3390/genes14050993
Wang Y, Zhou L, Guo H, Cheng H. Genome-Wide Analysis of the Rad21/REC8 Gene Family in Cotton (Gossypium spp.). Genes. 2023; 14(5):993. https://doi.org/10.3390/genes14050993
Chicago/Turabian StyleWang, Yali, Lili Zhou, Huiming Guo, and Hongmei Cheng. 2023. "Genome-Wide Analysis of the Rad21/REC8 Gene Family in Cotton (Gossypium spp.)" Genes 14, no. 5: 993. https://doi.org/10.3390/genes14050993
APA StyleWang, Y., Zhou, L., Guo, H., & Cheng, H. (2023). Genome-Wide Analysis of the Rad21/REC8 Gene Family in Cotton (Gossypium spp.). Genes, 14(5), 993. https://doi.org/10.3390/genes14050993
 
        


