Advances in Targeting Growth Factor Signalling in Neuroblastoma and Overcoming Drug Resistance
Abstract
1. Introduction
2. Methods
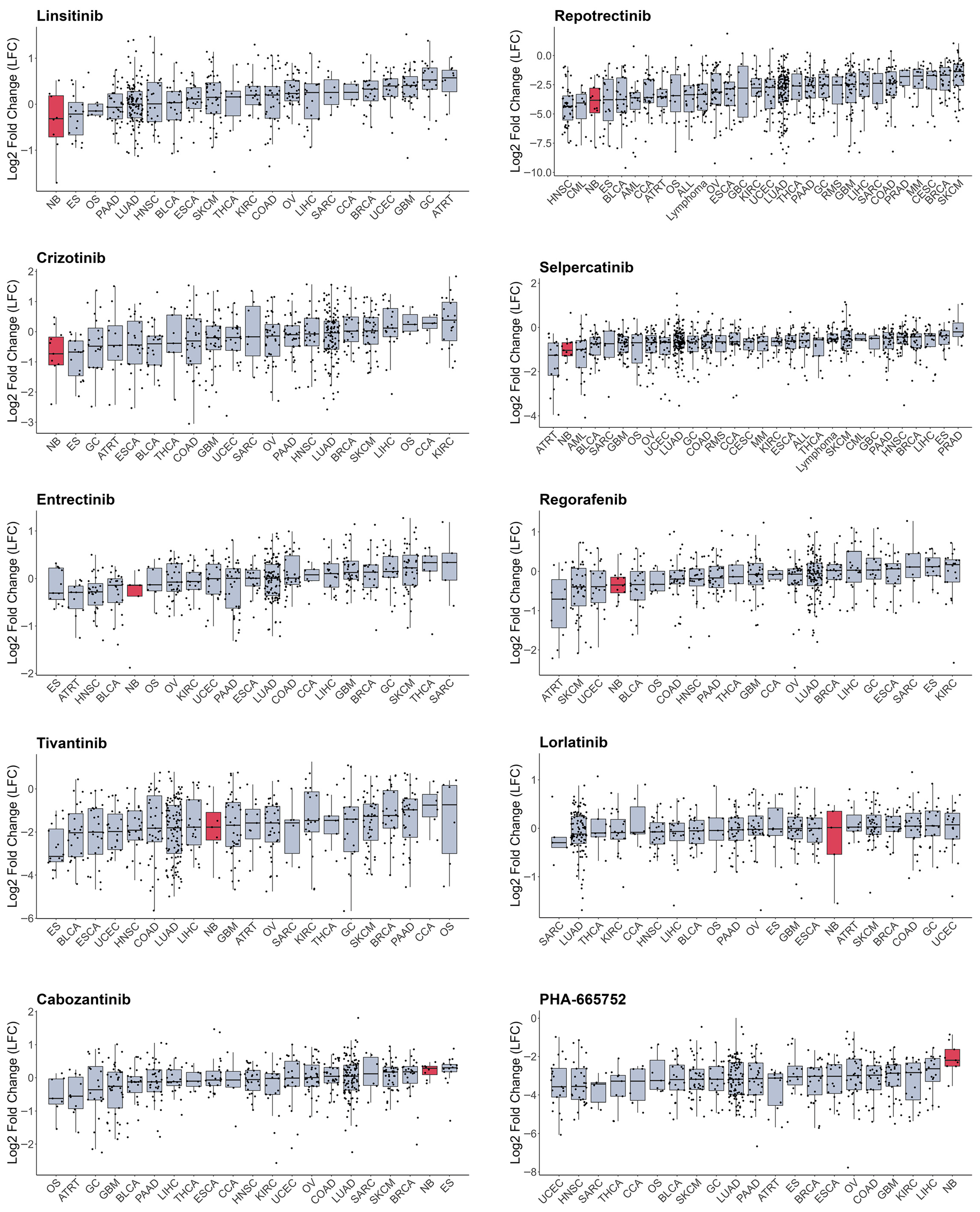
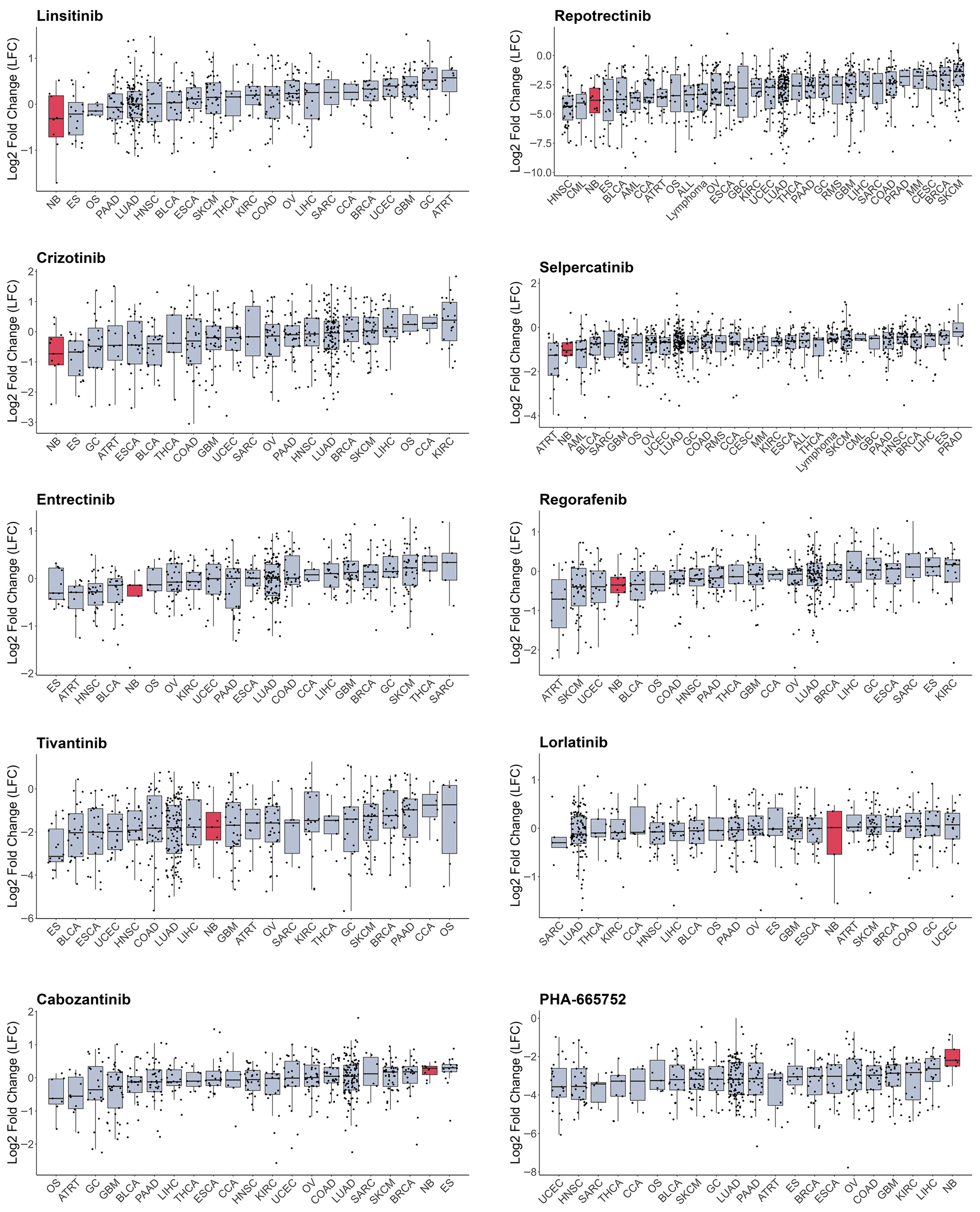
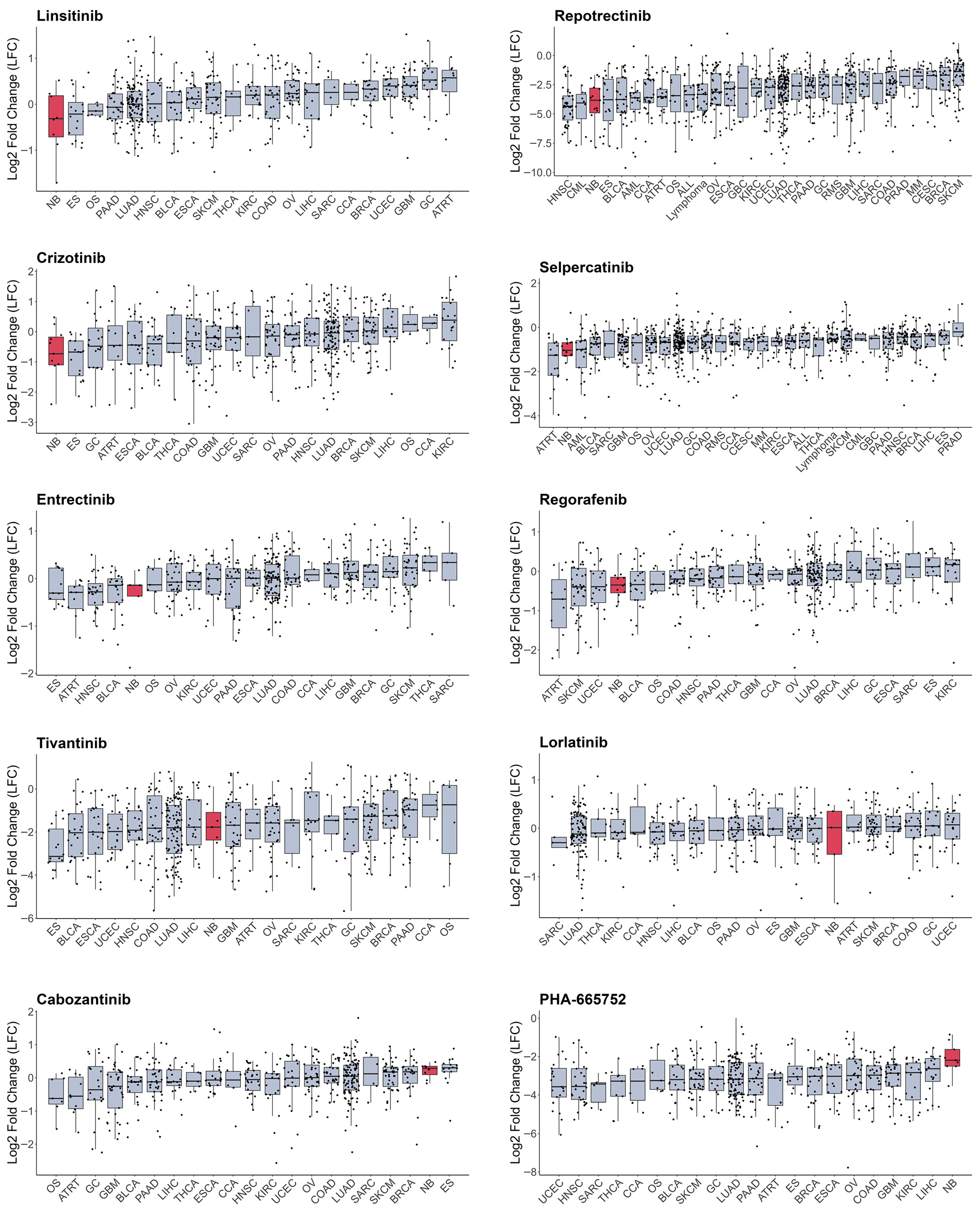
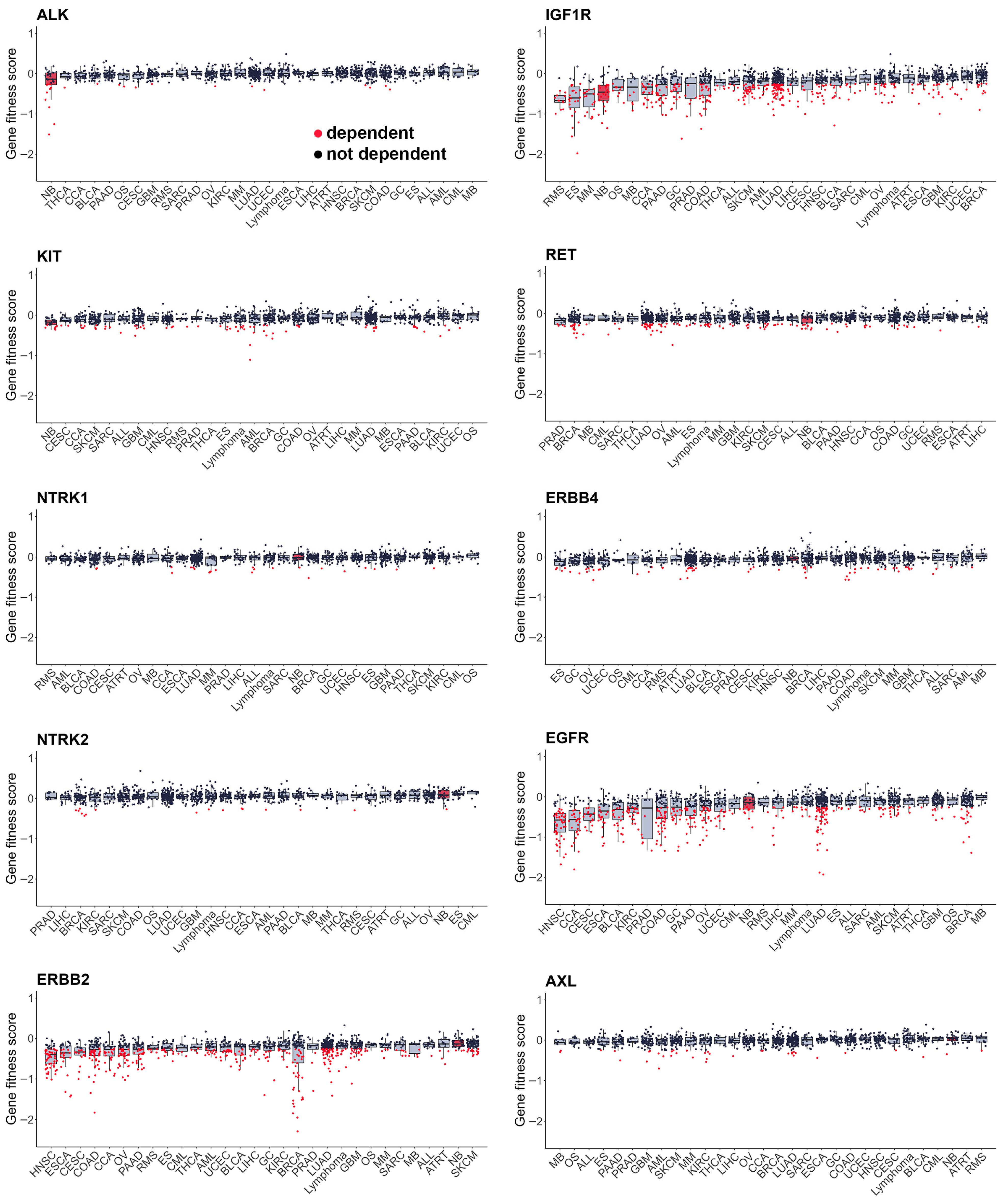
Analysis of Drug Screening and Gene Fitness Data
3. Growth Factors in Neural Crest Development
4. Growth Factors and Their Receptors in Neuroblastoma
4.1. ALK
4.2. TRK
4.3. ERBB Family
4.4. FGFRs
4.5. IGF-IR
4.6. PDFR
4.7. EPOR
4.8. KIT
4.9. RET
4.10. MET
4.11. AXL
4.12. VEGFR
5. Inhibition of Growth Factor Signalling for Neuroblastoma Treatment
5.1. ALK Inhibitors
5.2. TRK Inhibitors
5.3. EGFR Inhibitors
5.4. FGFR Inhibitors
5.5. IGF-IR Inhibitors
5.6. RET Inhibitors
5.7. MET Inhibitors
5.8. AXL Inhibitors
5.9. Multikinase Inhibitors
6. Targeting Resistance to RTK Inhibitors in Neuroblastoma
6.1. Bypass Signalling by Other Growth Factor Receptors
6.2. Targeting Intratumoural Heterogeneity
6.3. Antiapoptotic Signalling as Vulnerability in Neuroblastoma
7. Conclusions
Supplementary Materials
Author Contributions
Funding
Data Availability Statement
Conflicts of Interest
References
- Maris, J.M. Recent Advances in Neuroblastoma. N. Engl. J. Med. 2010, 362, 2202–2211. [Google Scholar] [CrossRef] [PubMed]
- Park, J.R.; Eggert, A.; Caron, H. Neuroblastoma: Biology, Prognosis, and Treatment. Hematol. Oncol. Clin. N. Am. 2010, 24, 65–86. [Google Scholar] [CrossRef] [PubMed]
- Bosse, K.R.; Maris, J.M. Advances in the Translational Genomics of Neuroblastoma: From Improving Risk Stratification and Revealing Novel Biology to Identifying Actionable Genomic Alterations. Cancer 2016, 122, 20–33. [Google Scholar] [CrossRef]
- Maris, J.M.; Hogarty, M.D.; Bagatell, R.; Cohn, S.L. Neuroblastoma. Lancet 2007, 369, 2106–2120. [Google Scholar] [CrossRef]
- Smith, M.A.; Seibel, N.L.; Altekruse, S.F.; Ries, L.A.G.; Melbert, D.L.; O’Leary, M.; Smith, F.O.; Reaman, G.H. Outcomes for Children and Adolescents with Cancer: Challenges for the Twenty-First Century. J. Clin. Oncol. 2010, 28, 2625–2634. [Google Scholar] [CrossRef]
- Evans, A.E.; Silber, J.H.; Shpilsky, A.; D’Angio, G.J. Successful Management of Low-Stage Neuroblastoma without Adjuvant Therapies: A Comparison of Two Decades, 1972 through 1981 and 1982 through 1992, in a Single Institution. J. Clin. Oncol. 1996, 14, 2504–2510. [Google Scholar] [CrossRef]
- Yu, A.L.; Gilman, A.L.; Ozkaynak, M.F.; London, W.B.; Kreissman, S.G.; Chen, H.X.; Smith, M.; Anderson, B.; Villablanca, J.G.; Matthay, K.K.; et al. Anti-GD2 Antibody with GM-CSF, Interleukin-2, and Isotretinoin for Neuroblastoma. N. Engl. J. Med. 2010, 363, 1324–1334. [Google Scholar] [CrossRef]
- Yalçin, B.; Kremer, L.C.; Caron, H.N.; van Dalen, E.C. High-Dose Chemotherapy and Autologous Haematopoietic Stem Cell Rescue for Children with High-Risk Neuroblastoma. Cochrane Database Syst. Rev. 2013, 8, CD006301. [Google Scholar] [CrossRef]
- Matthay, K.K.; Reynolds, C.P.; Seeger, R.C.; Shimada, H.; Adkins, E.S.; Haas-Kogan, D.; Gerbing, R.B.; London, W.B.; Villablanca, J.G. Long-Term Results for Children with High-Risk Neuroblastoma Treated on a Randomized Trial of Myeloablative Therapy Followed by 13-Cis-Retinoic Acid: A Children’s Oncology Group Study. J. Clin. Oncol. 2009, 27, 1007–1013. [Google Scholar] [CrossRef]
- Kushner, B.H.; Cheung, N.K.; LaQuaglia, M.P.; Ambros, P.F.; Ambros, I.M.; Bonilla, M.A.; Gerald, W.L.; Ladanyi, M.; Gilbert, F.; Rosenfield, N.S.; et al. Survival from Locally Invasive or Widespread Neuroblastoma without Cytotoxic Therapy. J. Clin. Oncol. 1996, 14, 373–381. [Google Scholar] [CrossRef] [PubMed]
- Rozen, E.J.; Shohet, J.M. Systematic Review of the Receptor Tyrosine Kinase Superfamily in Neuroblastoma Pathophysiology. Cancer Metastasis Rev. 2022, 41, 33–52. [Google Scholar] [CrossRef]
- Lebedev, T.D.; Vagapova, E.R.; Popenko, V.I.; Leonova, O.G.; Spirin, P.V.; Prassolov, V.S. Two Receptors, Two Isoforms, Two Cancers: Comprehensive Analysis of KIT and TrkA Expression in Neuroblastoma and Acute Myeloid Leukemia. Front. Oncol. 2019, 9, 1046. [Google Scholar] [CrossRef] [PubMed]
- Megison, M.L.; Gillory, L.A.; Beierle, E.A. Cell Survival Signaling in Neuroblastoma. Anticancer. Agents Med. Chem. 2013, 13, 563–575. [Google Scholar] [CrossRef] [PubMed]
- Tomuleasa, C.; Tigu, A.-B.; Munteanu, R.; Moldovan, C.-S.; Kegyes, D.; Onaciu, A.; Gulei, D.; Ghiaur, G.; Einsele, H.; Croce, C.M. Therapeutic Advances of Targeting Receptor Tyrosine Kinases in Cancer. Signal Transduct. Target. Ther. 2024, 9, 201. [Google Scholar] [CrossRef] [PubMed]
- Bedoya-Reina, O.C.; Li, W.; Arceo, M.; Plescher, M.; Bullova, P.; Pui, H.; Kaucka, M.; Kharchenko, P.; Martinsson, T.; Holmberg, J.; et al. Single-Nuclei Transcriptomes from Human Adrenal Gland Reveal Distinct Cellular Identities of Low and High-Risk Neuroblastoma Tumors. Nat. Commun. 2021, 12, 5309. [Google Scholar] [CrossRef]
- Ponzoni, M.; Bachetti, T.; Corrias, M.V.; Brignole, C.; Pastorino, F.; Calarco, E.; Bensa, V.; Giusto, E.; Ceccherini, I.; Perri, P. Recent Advances in the Developmental Origin of Neuroblastoma: An Overview. J. Exp. Clin. Cancer Res. 2022, 41, 92. [Google Scholar] [CrossRef]
- Kameneva, P.; Artemov, A.V.; Kastriti, M.E.; Faure, L.; Olsen, T.K.; Otte, J.; Erickson, A.; Semsch, B.; Andersson, E.R.; Ratz, M.; et al. Single-Cell Transcriptomics of Human Embryos Identifies Multiple Sympathoblast Lineages with Potential Implications for Neuroblastoma Origin. Nat. Genet. 2021, 53, 694–706. [Google Scholar] [CrossRef]
- Jansky, S.; Sharma, A.K.; Körber, V.; Quintero, A.; Toprak, U.H.; Wecht, E.M.; Gartlgruber, M.; Greco, A.; Chomsky, E.; Grünewald, T.G.P.; et al. Single-Cell Transcriptomic Analyses Provide Insights into the Developmental Origins of Neuroblastoma. Nat. Genet. 2021, 53, 683–693. [Google Scholar] [CrossRef]
- Arafeh, R.; Shibue, T.; Dempster, J.M.; Hahn, W.C.; Vazquez, F. The Present and Future of the Cancer Dependency Map. Nat. Rev. Cancer 2025, 25, 59–73. [Google Scholar] [CrossRef]
- Lebedev, T.; Buzdin, A.; Khabusheva, E.; Spirin, P.; Suntsova, M.; Sorokin, M.; Popenko, V.; Rubtsov, P.; Prassolov, V. Subtype of Neuroblastoma Cells with High KIT Expression Are Dependent on KIT and Its Knockdown Induces Compensatory Activation of Pro-Survival Signaling. Int. J. Mol. Sci. 2022, 23, 7724. [Google Scholar] [CrossRef]
- Tsherniak, A.; Vazquez, F.; Montgomery, P.G.; Weir, B.A.; Kryukov, G.; Cowley, G.S.; Gill, S.; Harrington, W.F.; Pantel, S.; Krill-Burger, J.M.; et al. Defining a Cancer Dependency Map. Cell 2017, 170, 564–576.e16. [Google Scholar] [CrossRef]
- Anderson, D.J. Molecular Control of Cell Fate in the Neural Crest: The Sympathoadrenal Lineage. Annu. Rev. Neurosci. 1993, 16, 129–158. [Google Scholar] [CrossRef]
- Anderson, D.J.; Axel, R. A Bipotential Neuroendocrine Precursor Whose Choice of Cell Fate Is Determined by NGF and Glucocorticoids. Cell 1986, 47, 1079–1090. [Google Scholar] [CrossRef]
- Prasad, M.S.; Charney, R.M.; García-Castro, M.I. Specification and Formation of the Neural Crest: Perspectives on Lineage Segregation. Genesis 2019, 57, e23276. [Google Scholar] [CrossRef] [PubMed]
- Newbern, J.M. Molecular Control of the Neural Crest and Peripheral Nervous System Development. Curr. Top. Dev. Biol. 2015, 111, 201–231. [Google Scholar] [CrossRef] [PubMed]
- Lee, G.; Kim, H.; Elkabetz, Y.; Al Shamy, G.; Panagiotakos, G.; Barberi, T.; Tabar, V.; Studer, L. Isolation and Directed Differentiation of Neural Crest Stem Cells Derived from Human Embryonic Stem Cells. Nat. Biotechnol. 2007, 25, 1468–1475. [Google Scholar] [CrossRef]
- Unsicker, K.; Huber, K.; Schober, A.; Kalcheim, C. Resolved and Open Issues in Chromaffin Cell Development. Mech. Dev. 2013, 130, 324–329. [Google Scholar] [CrossRef]
- Young, H.M.; Hearn, C.J.; Farlie, P.G.; Canty, A.J.; Thomas, P.Q.; Newgreen, D.F. GDNF Is a Chemoattractant for Enteric Neural Cells. Dev. Biol. 2001, 229, 503–516. [Google Scholar] [CrossRef]
- Vincent, E.; Chatterjee, S.; Cannon, G.H.; Auer, D.; Ross, H.; Chakravarti, A.; Goff, L.A. Ret Deficiency Decreases Neural Crest Progenitor Proliferation and Restricts Fate Potential during Enteric Nervous System Development. Proc. Natl. Acad. Sci. USA 2023, 120, e2211986120. [Google Scholar] [CrossRef] [PubMed]
- Sato, Y.; Heuckeroth, R.O. Retinoic Acid Regulates Murine Enteric Nervous System Precursor Proliferation, Enhances Neuronal Precursor Differentiation, and Reduces Neurite Growth in Vitro. Dev. Biol. 2008, 320, 185–198. [Google Scholar] [CrossRef]
- Schiltz, C.A.; Benjamin, J.; Epstein, M.L. Expression of the GDNF Receptors Ret and GFRalpha1 in the Developing Avian Enteric Nervous System. J. Comp. Neurol. 1999, 414, 193–211. [Google Scholar] [CrossRef]
- Goldstein, A.M.; Brewer, K.C.; Doyle, A.M.; Nagy, N.; Roberts, D.J. BMP Signaling Is Necessary for Neural Crest Cell Migration and Ganglion Formation in the Enteric Nervous System. Mech. Dev. 2005, 122, 821–833. [Google Scholar] [CrossRef]
- Sukegawa, A.; Narita, T.; Kameda, T.; Saitoh, K.; Nohno, T.; Iba, H.; Yasugi, S.; Fukuda, K. The Concentric Structure of the Developing Gut Is Regulated by Sonic Hedgehog Derived from Endodermal Epithelium. Development 2000, 127, 1971–1980. [Google Scholar] [CrossRef]
- Jiang, Y.; Liu, M.; Gershon, M.D. Netrins and DCC in the Guidance of Migrating Neural Crest-Derived Cells in the Developing Bowel and Pancreas. Dev. Biol. 2003, 258, 364–384. [Google Scholar] [CrossRef]
- Nagy, N.; Goldstein, A.M. Endothelin-3 Regulates Neural Crest Cell Proliferation and Differentiation in the Hindgut Enteric Nervous System. Dev. Biol. 2006, 293, 203–217. [Google Scholar] [CrossRef] [PubMed]
- Ikeya, M.; Lee, S.M.; Johnson, J.E.; McMahon, A.P.; Takada, S. Wnt Signalling Required for Expansion of Neural Crest and CNS Progenitors. Nature 1997, 389, 966–970. [Google Scholar] [CrossRef] [PubMed]
- Jin, E.J.; Erickson, C.A.; Takada, S.; Burrus, L.W. Wnt and BMP Signaling Govern Lineage Segregation of Melanocytes in the Avian Embryo. Dev. Biol. 2001, 233, 22–37. [Google Scholar] [CrossRef]
- Dorsky, R.I.; Raible, D.W.; Moon, R.T. Direct Regulation of Nacre, a Zebrafish MITF Homolog Required for Pigment Cell Formation, by the Wnt Pathway. Genes Dev. 2000, 14, 158–162. [Google Scholar] [CrossRef] [PubMed]
- Bilodeau, M.L.; Greulich, J.D.; Hullinger, R.L.; Bertolotto, C.; Ballotti, R.; Andrisani, O.M. BMP-2 Stimulates Tyrosinase Gene Expression and Melanogenesis in Differentiated Melanocytes. Pigment Cell Res. 2001, 14, 328–336. [Google Scholar] [CrossRef] [PubMed]
- Mackenzie, M.A.; Jordan, S.A.; Budd, P.S.; Jackson, I.J. Activation of the Receptor Tyrosine Kinase Kit Is Required for the Proliferation of Melanoblasts in the Mouse Embryo. Dev. Biol. 1997, 192, 99–107. [Google Scholar] [CrossRef]
- Lahav, R.; Lecoin, L.; Ziller, C.; Nataf, V.; Carnahan, J.F.; Martin, F.H.; Le Douarin, N.M. Effect of the Steel Gene Product on Melanogenesis in Avian Neural Crest Cell Cultures. Differentiation 1994, 58, 133–139. [Google Scholar] [CrossRef]
- Lahav, R.; Ziller, C.; Dupin, E.; Le Douarin, N.M. Endothelin 3 Promotes Neural Crest Cell Proliferation and Mediates a Vast Increase in Melanocyte Number in Culture. Proc. Natl. Acad. Sci. USA 1996, 93, 3892–3897. [Google Scholar] [CrossRef] [PubMed]
- Baynash, A.G.; Hosoda, K.; Giaid, A.; Richardson, J.A.; Emoto, N.; Hammer, R.E.; Yanagisawa, M. Interaction of Endothelin-3 with Endothelin-B Receptor Is Essential for Development of Epidermal Melanocytes and Enteric Neurons. Cell 1994, 79, 1277–1285. [Google Scholar] [CrossRef] [PubMed]
- Hosoda, K.; Hammer, R.E.; Richardson, J.A.; Baynash, A.G.; Cheung, J.C.; Giaid, A.; Yanagisawa, M. Targeted and Natural (Piebald-Lethal) Mutations of Endothelin-B Receptor Gene Produce Megacolon Associated with Spotted Coat Color in Mice. Cell 1994, 79, 1267–1276. [Google Scholar] [CrossRef]
- Garcez, R.C.; Teixeira, B.L.; dos Santos Schmitt, S.; Alvarez-Silva, M.; Trentin, A.G. Epidermal Growth Factor (EGF) Promotes the in Vitro Differentiation of Neural Crest Cells to Neurons and Melanocytes. Cell. Mol. Neurobiol. 2009, 29, 1087–1091. [Google Scholar] [CrossRef]
- Escot, S.; Blavet, C.; Härtle, S.; Duband, J.-L.; Fournier-Thibault, C. Misregulation of SDF1-CXCR4 Signaling Impairs Early Cardiac Neural Crest Cell Migration Leading to Conotruncal Defects. Circ. Res. 2013, 113, 505–516. [Google Scholar] [CrossRef]
- Hatzistergos, K.E.; Takeuchi, L.M.; Saur, D.; Seidler, B.; Dymecki, S.M.; Mai, J.J.; White, I.A.; Balkan, W.; Kanashiro-Takeuchi, R.M.; Schally, A.V.; et al. CKit+ Cardiac Progenitors of Neural Crest Origin. Proc. Natl. Acad. Sci. USA 2015, 112, 13051–13056. [Google Scholar] [CrossRef] [PubMed]
- Leimeroth, R.; Lobsiger, C.; Lüssi, A.; Taylor, V.; Suter, U.; Sommer, L. Membrane-Bound Neuregulin1 Type III Actively Promotes Schwann Cell Differentiation of Multipotent Progenitor Cells. Dev. Biol. 2002, 246, 245–258. [Google Scholar] [CrossRef]
- Meyer, D.; Yamaai, T.; Garratt, A.; Riethmacher-Sonnenberg, E.; Kane, D.; Theill, L.E.; Birchmeier, C. Isoform-Specific Expression and Function of Neuregulin. Development 1997, 124, 3575–3586. [Google Scholar] [CrossRef]
- Torii, T.; Miyamoto, Y.; Takada, S.; Tsumura, H.; Arai, M.; Nakamura, K.; Ohbuchi, K.; Yamamoto, M.; Tanoue, A.; Yamauchi, J. In Vivo Knockdown of ErbB3 in Mice Inhibits Schwann Cell Precursor Migration. Biochem. Biophys. Res. Commun. 2014, 452, 782–788. [Google Scholar] [CrossRef]
- Gavrilovic, J.; Brennan, A.; Mirsky, R.; Jessen, K.R. Fibroblast Growth Factors and Insulin Growth Factors Combine to Promote Survival of Rat Schwann Cell Precursors without Induction of DNA Synthesis. Eur. J. Neurosci. 1995, 7, 77–85. [Google Scholar] [CrossRef]
- Saito, D.; Takase, Y.; Murai, H.; Takahashi, Y. The Dorsal Aorta Initiates a Molecular Cascade That Instructs Sympatho-Adrenal Specification. Science 2012, 336, 1578–1581. [Google Scholar] [CrossRef]
- Murphy, M.; Reid, K.; Ford, M.; Furness, J.B.; Bartlett, P.F. FGF2 Regulates Proliferation of Neural Crest Cells, with Subsequent Neuronal Differentiation Regulated by LIF or Related Factors. Development 1994, 120, 3519–3528. [Google Scholar] [CrossRef] [PubMed]
- Kalcheim, C.; Carmeli, C.; Rosenthal, A. Neurotrophin 3 Is a Mitogen for Cultured Neural Crest Cells. Proc. Natl. Acad. Sci. USA 1992, 89, 1661–1665. [Google Scholar] [CrossRef]
- Nelson, B.R.; Claes, K.; Todd, V.; Chaverra, M.; Lefcort, F. NELL2 Promotes Motor and Sensory Neuron Differentiation and Stimulates Mitogenesis in DRG in Vivo. Dev. Biol. 2004, 270, 322–335. [Google Scholar] [CrossRef]
- Bothwell, M. Recent Advances in Understanding Neurotrophin Signaling. F1000Research 2016, 5, 1885. [Google Scholar] [CrossRef] [PubMed]
- Straub, J.A.; Sholler, G.L.S.; Nishi, R. Embryonic Sympathoblasts Transiently Express TrkB in Vivo and Proliferate in Response to Brain-Derived Neurotrophic Factor in Vitro. BMC Dev. Biol. 2007, 7, 10. [Google Scholar] [CrossRef]
- Wilson, Y.M.; Richards, K.L.; Ford-Perriss, M.L.; Panthier, J.-J.; Murphy, M. Neural Crest Cell Lineage Segregation in the Mouse Neural Tube. Development 2004, 131, 6153–6162. [Google Scholar] [CrossRef] [PubMed]
- Luo, R.; Gao, J.; Wehrle-Haller, B.; Henion, P.D. Molecular Identification of Distinct Neurogenic and Melanogenic Neural Crest Sublineages. Development 2003, 130, 321–330. [Google Scholar] [CrossRef]
- Motohashi, T.; Aoki, H.; Chiba, K.; Yoshimura, N.; Kunisada, T. Multipotent Cell Fate of Neural Crest-like Cells Derived from Embryonic Stem Cells. Stem Cells 2007, 25, 402–410. [Google Scholar] [CrossRef]
- Rogers, C.D.; Jayasena, C.S.; Nie, S.; Bronner, M.E. Neural Crest Specification: Tissues, Signals, and Transcription Factors. Wiley Interdiscip. Rev. Dev. Biol. 2012, 1, 52–68. [Google Scholar] [CrossRef]
- Uesaka, T.; Nagashimada, M.; Yonemura, S.; Enomoto, H. Diminished Ret Expression Compromises Neuronal Survival in the Colon and Causes Intestinal Aganglionosis in Mice. J. Clin. Investig. 2008, 118, 1890–1898. [Google Scholar] [CrossRef]
- Mulligan, L.M. RET Revisited: Expanding the Oncogenic Portfolio. Nat. Rev. Cancer 2014, 14, 173–186. [Google Scholar] [CrossRef]
- Kameneva, P.; Melnikova, V.I.; Kastriti, M.E.; Kurtova, A.; Kryukov, E.; Murtazina, A.; Faure, L.; Poverennaya, I.; Artemov, A.V.; Kalinina, T.S.; et al. Serotonin Limits Generation of Chromaffin Cells during Adrenal Organ Development. Nat. Commun. 2022, 13, 2901. [Google Scholar] [CrossRef] [PubMed]
- Miyauchi, J.; Kiyotani, C.; Shioda, Y.; Kumagai, M.; Honna, T.; Matsuoka, K.; Masaki, H.; Aiba, M.; Hata, J.; Tsunematsu, Y. Unusual Chromaffin Cell Differentiation of a Neuroblastoma after Chemotherapy and Radiotherapy: Report of an Autopsy Case with Immunohistochemical Evaluations. Am. J. Surg. Pathol. 2004, 28, 548–553. [Google Scholar] [CrossRef]
- Douma, S.; Van Laar, T.; Zevenhoven, J.; Meuwissen, R.; Van Garderen, E.; Peeper, D.S. Suppression of Anoikis and Induction of Metastasis by the Neurotrophic Receptor TrkB. Nature 2004, 430, 1034–1039. [Google Scholar] [CrossRef]
- Chen, B.; Liang, Y.; He, Z.; An, Y.; Zhao, W.; Wu, J. Autocrine Activity of BDNF Induced by the STAT3 Signaling Pathway Causes Prolonged TrkB Activation and Promotes Human Non-Small-Cell Lung Cancer Proliferation. Sci. Rep. 2016, 6, 30404. [Google Scholar] [CrossRef]
- Polacchini, A.; Albani, C.; Baj, G.; Colliva, A.; Carpinelli, P.; Tongiorgi, E. Combined Cisplatin and Aurora Inhibitor Treatment Increase Neuroblastoma Cell Death but Surviving Cells Overproduce BDNF. Biol. Open 2016, 5, 899–907. [Google Scholar] [CrossRef]
- Hecht, M.; Papoutsi, M.; Tran, H.D.; Wilting, J.; Schweigerer, L. Hepatocyte Growth Factor/c-Met Signaling Promotes the Progression of Experimental Human Neuroblastomas. Cancer Res. 2004, 64, 6109–6118. [Google Scholar] [CrossRef] [PubMed]
- Mossé, Y.P.; Laudenslager, M.; Longo, L.; Cole, K.A.; Wood, A.; Attiyeh, E.F.; Laquaglia, M.J.; Sennett, R.; Lynch, J.E.; Perri, P.; et al. Identification of ALK as a Major Familial Neuroblastoma Predisposition Gene. Nature 2008, 455, 930–935. [Google Scholar] [CrossRef] [PubMed]
- Higashi, M.; Sakai, K.; Fumino, S.; Aoi, S.; Furukawa, T.; Tajiri, T. The Roles Played by the MYCN, Trk, and ALK Genes in Neuroblastoma and Neural Development. Surg. Today 2019, 49, 721–727. [Google Scholar] [CrossRef]
- Fletcher, J.I.; Ziegler, D.S.; Trahair, T.N.; Marshall, G.M.; Haber, M.; Norris, M.D. Too Many Targets, Not Enough Patients: Rethinking Neuroblastoma Clinical Trials. Nat. Rev. Cancer 2018, 18, 389–400. [Google Scholar] [CrossRef]
- Vivancos Stalin, L.; Gualandi, M.; Schulte, J.H.; Renella, R.; Shakhova, O.; Mühlethaler-Mottet, A. Expression of the Neuroblastoma-Associated ALK-F1174L Activating Mutation During Embryogenesis Impairs the Differentiation of Neural Crest Progenitors in Sympathetic Ganglia. Front. Oncol. 2019, 9, 275. [Google Scholar] [CrossRef] [PubMed]
- Bresler, S.C.; Weiser, D.A.; Huwe, P.J.; Park, J.H.; Krytska, K.; Ryles, H.; Laudenslager, M.; Rappaport, E.F.; Wood, A.C.; McGrady, P.W.; et al. ALK Mutations Confer Differential Oncogenic Activation and Sensitivity to ALK Inhibition Therapy in Neuroblastoma. Cancer Cell 2014, 26, 682–694. [Google Scholar] [CrossRef]
- Trigg, R.M.; Turner, S.D. ALK in Neuroblastoma: Biological and Therapeutic Implications. Cancers 2018, 10, 113. [Google Scholar] [CrossRef] [PubMed]
- Rosswog, C.; Fassunke, J.; Ernst, A.; Schömig-Markiefka, B.; Merkelbach-Bruse, S.; Bartenhagen, C.; Cartolano, M.; Ackermann, S.; Theissen, J.; Blattner-Johnson, M.; et al. Genomic ALK Alterations in Primary and Relapsed Neuroblastoma. Br. J. Cancer 2023, 128, 1559–1571. [Google Scholar] [CrossRef] [PubMed]
- Cazes, A.; Louis-Brennetot, C.; Mazot, P.; Dingli, F.; Lombard, B.; Boeva, V.; Daveau, R.; Cappo, J.; Combaret, V.; Schleiermacher, G.; et al. Characterization of Rearrangements Involving the ALK Gene Reveals a Novel Truncated Form Associated with Tumor Aggressiveness in Neuroblastoma. Cancer Res. 2013, 73, 195–204. [Google Scholar] [CrossRef]
- Siaw, J.T.; Merseburger, P.; Borenäs, M.; Jansson, C.; Karlsson, J.; Claeys, A.; Jennische, E.; Lind, D.E.; Gisselsson Nord, D.; Palmer, R.H.; et al. Spatial Transcriptomics Exploration of the Primary Neuroblastoma Microenvironment in Archived FFPE Samples Unveils Novel Paracrine Interactions. J. Pathol. 2025, 267, 181–195. [Google Scholar] [CrossRef]
- Brodeur, G.M.; Minturn, J.E.; Ho, R.; Simpson, A.M.; Iyer, R.; Varela, C.R.; Light, J.E.; Kolla, V.; Evans, A.E. Trk Receptor Expression and Inhibition in Neuroblastomas. Clin. Cancer Res. 2009, 15, 3244–3250. [Google Scholar] [CrossRef]
- Chao, M.V. Neurotrophins and Their Receptors: A Convergence Point for Many Signalling Pathways. Nat. Rev. Neurosci. 2003, 4, 299–309. [Google Scholar] [CrossRef]
- Brodeur, G.M.; Bagatell, R. Mechanisms of Neuroblastoma Regression. Nat. Rev. Clin. Oncol. 2014, 11, 704–713. [Google Scholar] [CrossRef]
- Borriello, L.; Seeger, R.C.; Asgharzadeh, S.; DeClerck, Y.A. More than the Genes, the Tumor Microenvironment in Neuroblastoma. Cancer Lett. 2016, 380, 304–314. [Google Scholar] [CrossRef]
- Brodeur, G.M.; Nakagawara, A.; Yamashiro, D.J.; Ikegaki, N.; Liu, X.G.; Azar, C.G.; Lee, C.P.; Evans, A.E. Expression of TrkA, TrkB and TrkC in Human Neuroblastomas. J. Neurooncol. 1997, 31, 49–55. [Google Scholar] [CrossRef]
- Pajtler, K.W.; Rebmann, V.; Lindemann, M.; Schulte, J.H.; Schulte, S.; Stauder, M.; Leuschner, I.; Schmid, K.-W.; Köhl, U.; Schramm, A.; et al. Expression of NTRK1/TrkA Affects Immunogenicity of Neuroblastoma Cells. Int. J. Cancer 2013, 133, 908–919. [Google Scholar] [CrossRef] [PubMed]
- Tacconelli, A.; Farina, A.R.; Cappabianca, L.; Desantis, G.; Tessitore, A.; Vetuschi, A.; Sferra, R.; Rucci, N.; Argenti, B.; Screpanti, I.; et al. TrkA Alternative Splicing: A Regulated Tumor-Promoting Switch in Human Neuroblastoma. Cancer Cell 2004, 6, 347–360. [Google Scholar] [CrossRef]
- Farina, A.R.; Di Ianni, N.; Cappabianca, L.; Ruggeri, P.; Ragone, M.; Ianni, G.; Gulino, A.; Mackay, A.R. TrkAIII Promotes Microtubule Nucleation and Assembly at the Centrosome in SH-SY5Y Neuroblastoma Cells, Contributing to an Undifferentiated Anaplastic Phenotype. Biomed Res. Int. 2013, 2013, 740187. [Google Scholar] [CrossRef] [PubMed]
- Cappabianca, L.; Sebastiano, M.; Ruggieri, M.; Sbaffone, M.; Zelli, V.; Farina, A.R.; Mackay, A.R. Doxorubicin-Induced TrkAIII Activation: A Selection Mechanism for Resistant Dormant Neuroblastoma Cells. Int. J. Mol. Sci. 2022, 23, 10895. [Google Scholar] [CrossRef]
- Nakagawara, A.; Azar, C.G.; Scavarda, N.J.; Brodeur, G.M. Expression and Function of TRK-B and BDNF in Human Neuroblastomas. Mol. Cell. Biol. 1994, 14, 759–767. [Google Scholar] [CrossRef]
- Scott, A.L.; Zhang, M.; Nurse, C.A. Enhanced BDNF Signalling Following Chronic Hypoxia Potentiates Catecholamine Release from Cultured Rat Adrenal Chromaffin Cells. J. Physiol. 2015, 593, 3281–3299. [Google Scholar] [CrossRef] [PubMed]
- Bouzas-Rodriguez, J.; Cabrera, J.R.; Delloye-Bourgeois, C.; Ichim, G.; Delcros, J.-G.; Raquin, M.-A.; Rousseau, R.; Combaret, V.; Bénard, J.; Tauszig-Delamasure, S.; et al. Neurotrophin-3 Production Promotes Human Neuroblastoma Cell Survival by Inhibiting TrkC-Induced Apoptosis. J. Clin. Investig. 2010, 120, 850–858. [Google Scholar] [CrossRef]
- Schulte, J.H.; Pentek, F.; Hartmann, W.; Schramm, A.; Friedrichs, N.; Øra, I.; Koster, J.; Versteeg, R.; Kirfel, J.; Buettner, R.; et al. The Low-Affinity Neurotrophin Receptor, P75, Is Upregulated in Ganglioneuroblastoma/Ganglioneuroma and Reduces Tumorigenicity of Neuroblastoma Cells in Vivo. Int. J. Cancer 2009, 124, 2488–2494. [Google Scholar] [CrossRef]
- Zheng, C.; Shen, R.; Li, K.; Zheng, N.; Zong, Y.; Ye, D.; Wang, Q.; Wang, Z.; Chen, L.; Ma, Y. Epidermal Growth Factor Receptor Is Overexpressed in Neuroblastoma Tissues and Cells. Acta Biochim. Biophys. Sin. 2016, 48, 762–767. [Google Scholar] [CrossRef]
- Ho, R.; Minturn, J.E.; Hishiki, T.; Zhao, H.; Wang, Q.; Cnaan, A.; Maris, J.; Evans, A.E.; Brodeur, G.M. Proliferation of Human Neuroblastomas Mediated by the Epidermal Growth Factor Receptor. Cancer Res. 2005, 65, 9868–9875. [Google Scholar] [CrossRef]
- Mao, X.; Chen, Z.; Zhao, Y.; Yu, Y.; Guan, S.; Woodfield, S.E.; Vasudevan, S.A.; Tao, L.; Pang, J.C.; Lu, J.; et al. Novel Multi-Targeted ErbB Family Inhibitor Afatinib Blocks EGF-Induced Signaling and Induces Apoptosis in Neuroblastoma. Oncotarget 2017, 8, 1555–1568. [Google Scholar] [CrossRef] [PubMed]
- Richards, K.N.; Zweidler-McKay, P.A.; Van Roy, N.; Speleman, F.; Trevino, J.; Zage, P.E.; Hughes, D.P.M. Signaling of ERBB Receptor Tyrosine Kinases Promotes Neuroblastoma Growth in Vitro and in Vivo. Cancer 2010, 116, 3233–3243. [Google Scholar] [CrossRef] [PubMed]
- Hossain, S.; Takatori, A.; Nakamura, Y.; Suenaga, Y.; Kamijo, T.; Nakagawara, A. NLRR1 Enhances EGF-Mediated MYCN Induction in Neuroblastoma and Accelerates Tumor Growth in Vivo. Cancer Res. 2012, 72, 4587–4596. [Google Scholar] [CrossRef]
- Yu, W.; Biyik-Sit, R.; Uzun, Y.; Chen, C.-H.; Thadi, A.; Sussman, J.H.; Pang, M.; Wu, C.-Y.; Grossmann, L.D.; Gao, P.; et al. Longitudinal Single-Cell Multiomic Atlas of High-Risk Neuroblastoma Reveals Chemotherapy-Induced Tumor Microenvironment Rewiring. Nat. Genet. 2025, 57, 1142–1154. [Google Scholar] [CrossRef]
- Gaviglio, A.L.; Knelson, E.H.; Blobe, G.C. Heparin-Binding Epidermal Growth Factor-like Growth Factor Promotes Neuroblastoma Differentiation. FASEB J. Off. Publ. Fed. Am. Soc. Exp. Biol. 2017, 31, 1903–1915. [Google Scholar] [CrossRef]
- Kendsersky, N.M.; Odrobina, M.; Mabe, N.W.; Farrel, A.; Grossmann, L.; Tsang, M.; Groff, D.; Wolpaw, A.J.; Narch, A.; Zammarchi, F.; et al. Lineage Dependence of the Neuroblastoma Surfaceome Defines Tumor Cell State-Dependent and -Independent Immunotherapeutic Targets. Neuro. Oncol. 2025, 27, 1372–1384. [Google Scholar] [CrossRef] [PubMed]
- Patel, A.G.; Ashenberg, O.; Collins, N.B.; Segerstolpe, Å.; Jiang, S.; Slyper, M.; Huang, X.; Caraccio, C.; Jin, H.; Sheppard, H.; et al. A Spatial Cell Atlas of Neuroblastoma Reveals Developmental, Epigenetic and Spatial Axis of Tumor Heterogeneity. bioRxiv 2024. [Google Scholar] [CrossRef]
- Zeineldin, M.; Patel, A.G.; Dyer, M.A. Neuroblastoma: When Differentiation Goes Awry. Neuron 2022, 110, 2916–2928. [Google Scholar] [CrossRef]
- Villalard, B.; Boltjes, A.; Reynaud, F.; Imbaud, O.; Thoinet, K.; Timmerman, I.; Croze, S.; Theoulle, E.; Atzeni, G.; Lachuer, J.; et al. Neuroblastoma Plasticity during Metastatic Progression Stems from the Dynamics of an Early Sympathetic Transcriptomic Trajectory. Nat. Commun. 2024, 15, 9570. [Google Scholar] [CrossRef]
- Krook, M.A.; Reeser, J.W.; Ernst, G.; Barker, H.; Wilberding, M.; Li, G.; Chen, H.-Z.; Roychowdhury, S. Fibroblast Growth Factor Receptors in Cancer: Genetic Alterations, Diagnostics, Therapeutic Targets and Mechanisms of Resistance. Br. J. Cancer 2021, 124, 880–892. [Google Scholar] [CrossRef]
- Brady, S.W.; Liu, Y.; Ma, X.; Gout, A.M.; Hagiwara, K.; Zhou, X.; Wang, J.; Macias, M.; Chen, X.; Easton, J.; et al. Pan-Neuroblastoma Analysis Reveals Age- and Signature-Associated Driver Alterations. Nat. Commun. 2020, 11, 5183. [Google Scholar] [CrossRef]
- Cimmino, F.; Montella, A.; Tirelli, M.; Avitabile, M.; Lasorsa, V.A.; Visconte, F.; Cantalupo, S.; Maiorino, T.; De Angelis, B.; Morini, M.; et al. FGFR1 Is a Potential Therapeutic Target in Neuroblastoma. Cancer Cell Int. 2022, 22, 174. [Google Scholar] [CrossRef]
- Salm, F.; Cwiek, P.; Ghosal, A.; Lucia Buccarello, A.; Largey, F.; Wotzkow, C.; Höland, K.; Styp-Rekowska, B.; Djonov, V.; Zlobec, I.; et al. RNA Interference Screening Identifies a Novel Role for Autocrine Fibroblast Growth Factor Signaling in Neuroblastoma Chemoresistance. Oncogene 2013, 32, 3944–3953. [Google Scholar] [CrossRef]
- Pucci, P.; Barrett, C.; Trigg, R.; Jahangiri, L.; Matthews, J.D.; Mologni, L.; Burke, G.A.A.; Turner, S.D. Abstract LB226: FGFR2 Modulates ALK Inhibition Response in High-Risk Neuroblastoma. Cancer Res. 2023, 83, LB226. [Google Scholar] [CrossRef]
- Ando, K.; Ohira, M.; Takada, I.; Cázares-Ordoñez, V.; Suenaga, Y.; Nagase, H.; Kobayashi, S.; Koshinaga, T.; Kamijo, T.; Makishima, M.; et al. FGFR2 Loss Sensitizes MYCN-Amplified Neuroblastoma CHP134 Cells to CHK1 Inhibitor-Induced Apoptosis. Cancer Sci. 2022, 113, 587–596. [Google Scholar] [CrossRef] [PubMed]
- Kostopoulou, O.N.; Holzhauser, S.; Lange, B.K.A.; Ohmayer, A.; Andonova, T.; Bersani, C.; Wickström, M.; Dalianis, T. Analyses of FGFR3 and PIK3CA Mutations in Neuroblastomas and the Effects of the Corresponding Inhibitors on Neuroblastoma Cell Lines. Int. J. Oncol. 2019, 55, 1372–1384. [Google Scholar] [CrossRef]
- Whittle, S.B.; Reyes, S.; Du, M.; Gireud, M.; Zhang, L.; Woodfield, S.E.; Ittmann, M.; Scheurer, M.E.; Bean, A.J.; Zage, P.E. A Polymorphism in the FGFR4 Gene Is Associated With Risk of Neuroblastoma and Altered Receptor Degradation. J. Pediatr. Hematol. Oncol. 2016, 38, 131–138. [Google Scholar] [CrossRef] [PubMed]
- Lum, M.; Turbic, A.; Mitrovic, B.; Turnley, A.M. Fibroblast Growth Factor-9 Inhibits Astrocyte Differentiation of Adult Mouse Neural Progenitor Cells. J. Neurosci. Res. 2009, 87, 2201–2210. [Google Scholar] [CrossRef]
- Mattsson, M.E.; Enberg, G.; Ruusala, A.I.; Hall, K.; Påhlman, S. Mitogenic Response of Human SH-SY5Y Neuroblastoma Cells to Insulin-like Growth Factor I and II Is Dependent on the Stage of Differentiation. J. Cell Biol. 1986, 102, 1949–1954. [Google Scholar] [CrossRef]
- Guan, J.; Borenäs, M.; Xiong, J.; Lai, W.-Y.; Palmer, R.H.; Hallberg, B. IGF1R Contributes to Cell Proliferation in ALK-Mutated Neuroblastoma with Preference for Activating the PI3K-AKT Signaling Pathway. Cancers 2023, 15, 4252. [Google Scholar] [CrossRef]
- David Roodman, G. Role of Stromal-Derived Cytokines and Growth Factors in Bone Metastasis. Cancer 2003, 97, 733–738. [Google Scholar] [CrossRef]
- Wang, J.; Tang, Y.; Zhang, W.; Zhao, H.; Wang, R.; Yan, Y.; Xu, L.; Li, P. Insulin-like Growth Factor-1 Secreted by Brain Microvascular Endothelial Cells Attenuates Neuron Injury upon Ischemia. FEBS J. 2013, 280, 3658–3668. [Google Scholar] [CrossRef]
- Stip, M.C.; Teeuwen, L.; Dierselhuis, M.P.; Leusen, J.H.W.; Krijgsman, D. Targeting the Myeloid Microenvironment in Neuroblastoma. J. Exp. Clin. Cancer Res. 2023, 42, 337. [Google Scholar] [CrossRef] [PubMed]
- Boyce, B.F.; Yoneda, T.; Guise, T.A. Factors Regulating the Growth of Metastatic Cancer in Bone. Endocr. Relat. Cancer 1999, 6, 333–347. [Google Scholar] [CrossRef] [PubMed]
- Avnet, S.; Salerno, M.; Quacquaruccio, G.; Granchi, D.; Giunti, A.; Baldini, N. IGF2 Derived from SH-SY5Y Neuroblastoma Cells Induces the Osteoclastogenesis of Human Monocytic Precursors. Exp. Cell Res. 2011, 317, 2147–2158. [Google Scholar] [CrossRef]
- van Golen, C.M.; Schwab, T.S.; Kim, B.; Soules, M.E.; Su Oh, S.; Fung, K.; van Golen, K.L.; Feldman, E.L. Insulin-like Growth Factor-I Receptor Expression Regulates Neuroblastoma Metastasis to Bone. Cancer Res. 2006, 66, 6570–6578. [Google Scholar] [CrossRef]
- Chambéry, D.; Mohseni-Zadeh, S.; de Gallé, B.; Babajko, S. N-Myc Regulation of Type I Insulin-like Growth Factor Receptor in a Human Neuroblastoma Cell Line. Cancer Res. 1999, 59, 2898–2902. [Google Scholar] [PubMed]
- Misawa, A.; Hosoi, H.; Arimoto, A.; Shikata, T.; Akioka, S.; Matsumura, T.; Houghton, P.J.; Sawada, T. N-Myc Induction Stimulated by Insulin-like Growth Factor I through Mitogen-Activated Protein Kinase Signaling Pathway in Human Neuroblastoma Cells. Cancer Res. 2000, 60, 64–69. [Google Scholar]
- Coulter, D.W.; Wilkie, M.B.; Moats-Staats, B.M. Inhibition of IGF-I Receptor Signaling in Combination with Rapamycin or Temsirolimus Increases MYC-N Phosphorylation. Anticancer Res. 2009, 29, 1943–1949. [Google Scholar] [PubMed]
- Kim, C.J.; Matsuo, T.; Lee, K.H.; Thiele, C.J. Up-Regulation of Insulin-like Growth Factor-II Expression Is a Feature of TrkA but Not TrkB Activation in SH-SY5Y Neuroblastoma Cells. Am. J. Pathol. 1999, 155, 1661–1670. [Google Scholar] [CrossRef] [PubMed]
- Andrae, J.; Gallini, R.; Betsholtz, C. Role of Platelet-Derived Growth Factors in Physiology and Medicine. Genes Dev. 2008, 22, 1276–1312. [Google Scholar] [CrossRef]
- Påhlman, S.; Johansson, I.; Westermark, B.; Nistér, M. Platelet-Derived Growth Factor Potentiates Phorbol Ester-Induced Neuronal Differentiation of Human Neuroblastoma Cells. Cell Growth Differ. Mol. Biol. J. Am. Assoc. Cancer Res. 1992, 3, 783–790. [Google Scholar]
- Matsui, T.; Sano, K.; Tsukamoto, T.; Ito, M.; Takaishi, T.; Nakata, H.; Nakamura, H.; Chihara, K. Human Neuroblastoma Cells Express Alpha and Beta Platelet-Derived Growth Factor Receptors Coupling with Neurotrophic and Chemotactic Signaling. J. Clin. Investig. 1993, 92, 1153–1160. [Google Scholar] [CrossRef] [PubMed]
- Shimada, A.; Hirato, J.; Kuroiwa, M.; Kikuchi, A.; Hanada, R.; Wakai, K.; Hayashi, Y. Expression of KIT and PDGFR Is Associated with a Good Prognosis in Neuroblastoma. Pediatr. Blood Cancer 2008, 50, 213–217. [Google Scholar] [CrossRef]
- Abramsson, A.; Lindblom, P.; Betsholtz, C. Endothelial and Nonendothelial Sources of PDGF-B Regulate Pericyte Recruitment and Influence Vascular Pattern Formation in Tumors. J. Clin. Investig. 2003, 112, 1142–1151. [Google Scholar] [CrossRef]
- Xie, H.; Cui, Z.; Wang, L.; Xia, Z.; Hu, Y.; Xian, L.; Li, C.; Xie, L.; Crane, J.; Wan, M.; et al. PDGF-BB Secreted by Preosteoclasts Induces Angiogenesis during Coupling with Osteogenesis. Nat. Med. 2014, 20, 1270–1278. [Google Scholar] [CrossRef]
- Eggert, A.; Ikegaki, N.; Kwiatkowski, J.; Zhao, H.; Brodeur, G.M.; Himelstein, B.P. High-Level Expression of Angiogenic Factors Is Associated with Advanced Tumor Stage in Human Neuroblastomas. Clin. Cancer Res. 2000, 6, 1900–1908. [Google Scholar]
- Krantz, S.B. Erythropoietin. Blood 1991, 77, 419–434. [Google Scholar] [CrossRef]
- Hardee, M.E.; Arcasoy, M.O.; Blackwell, K.L.; Kirkpatrick, J.P.; Dewhirst, M.W. Erythropoietin Biology in Cancer. Clin. Cancer Res. 2006, 12, 332–339. [Google Scholar] [CrossRef] [PubMed]
- Suzuki, N.; Hirano, I.; Pan, X.; Minegishi, N.; Yamamoto, M. Erythropoietin Production in Neuroepithelial and Neural Crest Cells during Primitive Erythropoiesis. Nat. Commun. 2013, 4, 2902. [Google Scholar] [CrossRef] [PubMed]
- Brizi, V.; Buttò, S.; Cerullo, D.; Michele Lavecchia, A.; Rodrigues-Diez, R.; Novelli, R.; Corna, D.; Benigni, A.; Remuzzi, G.; Xinaris, C. Human IPSC-Derived Neural Crest Stem Cells Can Produce EPO and Induce Erythropoiesis in Anemic Mice. Stem Cell Res. 2021, 55, 102476. [Google Scholar] [CrossRef]
- Ribatti, D.; Poliani, P.L.; Longo, V.; Mangieri, D.; Nico, B.; Vacca, A. Erythropoietin/Erythropoietin Receptor System Is Involved in Angiogenesis in Human Neuroblastoma. Histopathology 2007, 50, 636–641. [Google Scholar] [CrossRef]
- Poniewierska-Baran, A.; Rajewska-Majchrzak, J.; Ratajczak, M.Z. Erythropoietin Enhances Migration of Human Neuroblastoma Cells: In Vitro Studies and Potential Therapeutic Implications. J. Cancer Stem Cell Res. 2017, 5, e1003. [Google Scholar]
- Rössler, J.; Stolze, I.; Frede, S.; Freitag, P.; Schweigerer, L.; Havers, W.; Fandrey, J. Hypoxia-Induced Erythropoietin Expression in Human Neuroblastoma Requires a Methylation Free HIF-1 Binding Site. J. Cell. Biochem. 2004, 93, 153–161. [Google Scholar] [CrossRef]
- Assandri, R.; Egger, M.; Gassmann, M.; Niggli, E.; Bauer, C.; Forster, I.; Gorlach, A. Erythropoietin Modulates Intracellular Calcium in a Human Neuroblastoma Cell Line. J. Physiol. 1999, 516, 343–352. [Google Scholar] [CrossRef] [PubMed]
- Lebedev, T.; Vagapova, E.; Spirin, P.; Rubtsov, P.; Astashkova, O.; Mikheeva, A.; Sorokin, M.; Vladimirova, U.; Suntsova, M.; Konovalov, D.; et al. Growth Factor Signaling Predicts Therapy Resistance Mechanisms and Defines Neuroblastoma Subtypes. Oncogene 2021, 40, 6258–6272. [Google Scholar] [CrossRef]
- Um, M.; Gross, A.W.; Lodish, H.F. A “Classical” Homodimeric Erythropoietin Receptor Is Essential for the Antiapoptotic Effects of Erythropoietin on Differentiated Neuroblastoma SH-SY5Y and Pheochromocytoma PC-12 Cells. Cell. Signal. 2007, 19, 634–645. [Google Scholar] [CrossRef]
- Vazquez-Mellado, M.J.; Aguilar, C.; Rocha-Zavaleta, L. Erythropoietin Protects Neuroblastoma Cells against Etoposide and Vincristine by Activating ERK and AKT Pathways but Has No Effect in Kidney Cells. Life Sci. 2015, 137, 142–149. [Google Scholar] [CrossRef]
- Uccini, S.; Mannarino, O.; McDowell, H.P.; Pauser, U.; Vitali, R.; Natali, P.G.; Altavista, P.; Andreano, T.; Coco, S.; Boldrini, R.; et al. Clinical and Molecular Evidence for C-Kit Receptor as a Therapeutic Target in Neuroblastic Tumors. Clin. Cancer Res. 2005, 11, 380–389. [Google Scholar] [CrossRef]
- Krams, M.; Parwaresch, R.; Sipos, B.; Heidorn, K.; Harms, D.; Rudolph, P. Expression of the C-Kit Receptor Characterizes a Subset of Neuroblastomas with Favorable Prognosis. Oncogene 2004, 23, 588–595. [Google Scholar] [CrossRef]
- Lau, S.-T.; Hansford, L.M.; Chan, W.-K.; Chan, G.C.-F.; Wan, T.S.-K.; Wong, K.K.-Y.; Kaplan, D.R.; Tam, P.K.-H.; Ngan, E.S.-W. Prokineticin Signaling Is Required for the Maintenance of a de Novo Population of C-KIT+ Cells to Sustain Neuroblastoma Progression. Oncogene 2015, 34, 1019–1034. [Google Scholar] [CrossRef]
- Borrello, M.G.; Bongarzone, I.; Pierotti, M.A.; Luksch, R.; Gasparini, M.; Collini, P.; Pilotti, S.; Rizzetti, M.G.; Mondellini, P.; De Bernardi, B. Trk and Ret Proto-Oncogene Expression in Human Neuroblastoma Specimens: High Frequency of Trk Expression in Non-Advanced Stages. Int. J. Cancer 1993, 54, 540–545. [Google Scholar] [CrossRef] [PubMed]
- Itoh, F.; Ishizaka, Y.; Tahira, T.; Yamamoto, M.; Miya, A.; Imai, K.; Yachi, A.; Takai, S.; Sugimura, T.; Nagao, M. Identification and Analysis of the Ret Proto-Oncogene Promoter Region in Neuroblastoma Cell Lines and Medullary Thyroid Carcinomas from MEN2A Patients. Oncogene 1992, 7, 1201–1206. [Google Scholar] [PubMed]
- Pugh, T.J.; Morozova, O.; Attiyeh, E.F.; Asgharzadeh, S.; Wei, J.S.; Auclair, D.; Carter, S.L.; Cibulskis, K.; Hanna, M.; Kiezun, A.; et al. The Genetic Landscape of High-Risk Neuroblastoma. Nat. Genet. 2013, 45, 279–284. [Google Scholar] [CrossRef] [PubMed]
- Peterson, S.; Bogenmann, E. The RET and TRKA Pathways Collaborate to Regulate Neuroblastoma Differentiation. Oncogene 2004, 23, 213–225. [Google Scholar] [CrossRef]
- Siaw, J.T.; Gabre, J.L.; Uçkun, E.; Vigny, M.; Zhang, W.; Van den Eynden, J.; Hallberg, B.; Palmer, R.H.; Guan, J. Loss of RET Promotes Mesenchymal Identity in Neuroblastoma Cells. Cancers 2021, 13, 1909. [Google Scholar] [CrossRef]
- Ishida, M.; Ichihara, M.; Mii, S.; Jijiwa, M.; Asai, N.; Enomoto, A.; Kato, T.; Majima, A.; Ping, J.; Murakumo, Y.; et al. Sprouty2 Regulates Growth and Differentiation of Human Neuroblastoma Cells through RET Tyrosine Kinase. Cancer Sci. 2007, 98, 815–821. [Google Scholar] [CrossRef]
- Futami, H.; Sakai, R. RET Protein Promotes Non-Adherent Growth of NB-39-Nu Neuroblastoma Cell Line. Cancer Sci. 2009, 100, 1034–1039. [Google Scholar] [CrossRef]
- Langenberg, K.P.S.; van Hooff, S.R.; Koopmans, B.; Strijker, J.G.M.; Kholosy, W.M.; Ober, K.; Zwijnenburg, D.A.; van der Hoek, J.J.F.; Keller, K.M.; Vernooij, L.; et al. Exploring High-Throughput Drug Sensitivity Testing in Neuroblastoma Cell Lines and Patient-Derived Tumor Organoids in the Era of Precision Medicine. Eur. J. Cancer 2025, 218, 115275. [Google Scholar] [CrossRef]
- Crosswell, H.E.; Dasgupta, A.; Alvarado, C.S.; Watt, T.; Christensen, J.G.; De, P.; Durden, D.L.; Findley, H.W. PHA665752, a Small-Molecule Inhibitor of c-Met, Inhibits Hepatocyte Growth Factor-Stimulated Migration and Proliferation of c-Met-Positive Neuroblastoma Cells. BMC Cancer 2009, 9, 411. [Google Scholar] [CrossRef]
- Yan, B.; Lim, M.; Zhou, L.; Kuick, C.H.; Leong, M.Y.; Yong, K.J.; Aung, L.; Salto-Tellez, M.; Chang, K.T.E. Identification of MET Genomic Amplification, Protein Expression and Alternative Splice Isoforms in Neuroblastomas. J. Clin. Pathol. 2013, 66, 985–991. [Google Scholar] [CrossRef]
- Chilamakuri, R.; Agarwal, S. Repurposing of C-MET Inhibitor Tivantinib Inhibits Pediatric Neuroblastoma Cellular Growth. Pharmaceuticals 2024, 17, 1350. [Google Scholar] [CrossRef]
- Duijkers, F.A.M.; Meijerink, J.P.P.; Pieters, R.; van Noesel, M.M. Downregulation of Axl in Non-MYCN Amplified Neuroblastoma Cell Lines Reduces Migration. Gene 2013, 521, 62–68. [Google Scholar] [CrossRef]
- Bi, S.; Wang, C.; Li, Y.; Zhang, W.; Zhang, J.; Lv, Z.; Wang, J. LncRNA-MALAT1-Mediated Axl Promotes Cell Invasion and Migration in Human Neuroblastoma. Tumour Biol. 2017, 39, 1010428317699796. [Google Scholar] [CrossRef] [PubMed]
- Yadav, M.; Sharma, A.; Patne, K.; Tabasum, S.; Suryavanshi, J.; Rawat, L.; Machaalani, M.; Eid, M.; Singh, R.P.; Choueiri, T.K.; et al. AXL Signaling in Cancer: From Molecular Insights to Targeted Therapies. Signal Transduct. Target. Ther. 2025, 10, 37. [Google Scholar] [CrossRef]
- Li, W.; Xiong, X.; Abdalla, A.; Alejo, S.; Zhu, L.; Lu, F.; Sun, H. HGF-Induced Formation of the MET-AXL-ELMO2-DOCK180 Complex Promotes RAC1 Activation, Receptor Clustering, and Cancer Cell Migration and Invasion. J. Biol. Chem. 2018, 293, 15397–15418. [Google Scholar] [CrossRef] [PubMed]
- Vouri, M.; Croucher, D.R.; Kennedy, S.P.; An, Q.; Pilkington, G.J.; Hafizi, S. Axl-EGFR Receptor Tyrosine Kinase Hetero-Interaction Provides EGFR with Access to pro-Invasive Signalling in Cancer Cells. Oncogenesis 2016, 5, e266. [Google Scholar] [CrossRef] [PubMed]
- Kanzaki, R.; Naito, H.; Kise, K.; Takara, K.; Eino, D.; Minami, M.; Shintani, Y.; Funaki, S.; Kawamura, T.; Kimura, T.; et al. Gas6 Derived from Cancer-Associated Fibroblasts Promotes Migration of Axl-Expressing Lung Cancer Cells during Chemotherapy. Sci. Rep. 2017, 7, 10613. [Google Scholar] [CrossRef]
- Loges, S.; Schmidt, T.; Tjwa, M.; van Geyte, K.; Lievens, D.; Lutgens, E.; Vanhoutte, D.; Borgel, D.; Plaisance, S.; Hoylaerts, M.; et al. Malignant Cells Fuel Tumor Growth by Educating Infiltrating Leukocytes to Produce the Mitogen Gas6. Blood 2010, 115, 2264–2273. [Google Scholar] [CrossRef]
- Senger, D.R.; Van De Water, L.; Brown, L.F.; Nagy, J.A.; Yeo, K.-T.; Yeo, T.-K.; Berse, B.; Jackman, R.W.; Dvorak, A.M.; Dvorak, H.F. Vascular Permeability Factor (VPF, VEGF) in Tumor Biology. Cancer Metastasis Rev. 1993, 12, 303–324. [Google Scholar] [CrossRef]
- Langer, I.; Vertongen, P.; Perret, J.; Fontaine, J.; Atassi, G.; Robberecht, P. Expression of Vascular Endothelial Growth Factor (VEGF) and VEGF Receptors in Human Neuroblastomas. Med. Pediatr. Oncol. 2000, 34, 386–393. [Google Scholar] [CrossRef]
- Rössler, J.; Monnet, Y.; Farace, F.; Opolon, P.; Daudigeos-Dubus, E.; Bourredjem, A.; Vassal, G.; Geoerger, B. The Selective VEGFR1-3 Inhibitor Axitinib (AG-013736) Shows Antitumor Activity in Human Neuroblastoma Xenografts. Int. J. Cancer 2011, 128, 2748–2758. [Google Scholar] [CrossRef]
- Beierle, E.A.; Dai, W.; Langham, M.R.J.; Copeland, E.M., 3rd; Chen, M.K. VEGF Receptors Are Differentially Expressed by Neuroblastoma Cells in Culture. J. Pediatr. Surg. 2003, 38, 514–521. [Google Scholar] [CrossRef]
- Carmeliet, P. VEGF as a Key Mediator of Angiogenesis in Cancer. Oncology 2005, 69, 4–10. [Google Scholar] [CrossRef]
- Peach, C.J.; Mignone, V.W.; Arruda, M.A.; Alcobia, D.C.; Hill, S.J.; Kilpatrick, L.E.; Woolard, J. Molecular Pharmacology of VEGF-A Isoforms: Binding and Signalling at VEGFR2. Int. J. Mol. Sci. 2018, 19, 1264. [Google Scholar] [CrossRef] [PubMed]
- Ribatti, D.; Vacca, A.; Nico, B.; De Falco, G.; Giuseppe Montaldo, P.; Ponzoni, M. Angiogenesis and Anti-Angiogenesis in Neuroblastoma. Eur. J. Cancer 2002, 38, 750–757. [Google Scholar] [CrossRef] [PubMed]
- Rössler, J.; Taylor, M.; Geoerger, B.; Farace, F.; Lagodny, J.; Peschka-Süss, R.; Niemeyer, C.M.; Vassal, G. Angiogenesis as a Target in Neuroblastoma. Eur. J. Cancer 2008, 44, 1645–1656. [Google Scholar] [CrossRef]
- Weng, W.-C.; Lin, K.-H.; Wu, P.-Y.; Ho, Y.-H.; Liu, Y.-L.; Wang, B.-J.; Chen, C.-C.; Lin, Y.-C.; Liao, Y.-F.; Lee, W.-T.; et al. VEGF Expression Correlates with Neuronal Differentiation and Predicts a Favorable Prognosis in Patients with Neuroblastoma. Sci. Rep. 2017, 7, 11212. [Google Scholar] [CrossRef] [PubMed]
- HaDuong, J.H.; Blavier, L.; Baniwal, S.K.; Frenkel, B.; Malvar, J.; Punj, V.; Sposto, R.; DeClerck, Y.A. Interaction between Bone Marrow Stromal Cells and Neuroblastoma Cells Leads to a VEGFA-Mediated Osteoblastogenesis. Int. J. Cancer 2015, 137, 797–809. [Google Scholar] [CrossRef] [PubMed]
- Blavier, L.; Yang, R.-M.; DeClerck, Y.A. The Tumor Microenvironment in Neuroblastoma: New Players, New Mechanisms of Interaction and New Perspectives. Cancers 2020, 12, 2912. [Google Scholar] [CrossRef]
- Mei, S.; Alchahin, A.M.; Embaie, B.T.; Gavriliuc, I.M.; Verhoeven, B.M.; Zhao, T.; Li, X.; Jeffries, N.E.; Pepich, A.; Sarkar, H.; et al. Single-Cell Analyses of Metastatic Bone Marrow in Human Neuroblastoma Reveals Microenvironmental Remodeling and Metastatic Signature. JCI Insight 2024, 9, e173337. [Google Scholar] [CrossRef]
- Stewart, J.E.; Ma, X.; Megison, M.; Nabers, H.; Cance, W.G.; Kurenova, E.V.; Beierle, E.A. Inhibition of FAK and VEGFR-3 Binding Decreases Tumorigenicity in Neuroblastoma. Mol. Carcinog. 2015, 54, 9–23. [Google Scholar] [CrossRef]
- Nowicki, M.; Konwerska, A.; Ostalska-Nowicka, D.; Derwich, K.; Miskowiak, B.; Kondraciuk, B.; Samulak, D.; Witt, M. Vascular Endothelial Growth Factor (VEGF)-C—A Potent Risk Factor in Children Diagnosed with Stadium 4 Neuroblastoma. Folia Histochem. Cytobiol. 2008, 46, 493–499. [Google Scholar] [CrossRef] [PubMed]
- Cangelosi, D.; Morini, M.; Zanardi, N.; Sementa, A.R.; Muselli, M.; Conte, M.; Garaventa, A.; Pfeffer, U.; Bosco, M.C.; Varesio, L.; et al. Hypoxia Predicts Poor Prognosis in Neuroblastoma Patients and Associates with Biological Mechanisms Involved in Telomerase Activation and Tumor Microenvironment Reprogramming. Cancers 2020, 12, 2343. [Google Scholar] [CrossRef] [PubMed]
- Foster, J.H.; Voss, S.D.; Hall, D.C.; Minard, C.G.; Balis, F.M.; Wilner, K.; Berg, S.L.; Fox, E.; Adamson, P.C.; Blaney, S.M.; et al. Activity of Crizotinib in Patients with ALK-Aberrant Relapsed/Refractory Neuroblastoma: A Children’s Oncology Group Study (ADVL0912). Clin. Cancer Res. 2021, 27, 3543–3548. [Google Scholar] [CrossRef]
- Pirker, R.; Filipits, M. From Crizotinib to Lorlatinib: Continuous Improvement in Precision Treatment of ALK-Positive Non-Small Cell Lung Cancer. ESMO Open 2019, 4, e000548. [Google Scholar] [CrossRef]
- Merino, M.; Kasamon, Y.; Li, H.; Ma, L.; Leong, R.; Zhou, J.; Reaman, G.; Chambers, W.; Richardson, N.; Theoret, M.; et al. FDA Approval Summary: Crizotinib for Pediatric and Young Adult Patients with Relapsed or Refractory Systemic Anaplastic Large Cell Lymphoma. Pediatr. Blood Cancer 2022, 69, e29602. [Google Scholar] [CrossRef]
- Goldsmith, K.C.; Park, J.R.; Kayser, K.; Malvar, J.; Chi, Y.-Y.; Groshen, S.G.; Villablanca, J.G.; Krytska, K.; Lai, L.M.; Acharya, P.T.; et al. Lorlatinib with or without Chemotherapy in ALK-Driven Refractory/Relapsed Neuroblastoma: Phase 1 Trial Results. Nat. Med. 2023, 29, 1092–1102. [Google Scholar] [CrossRef] [PubMed]
- Solomon, B.J.; Liu, G.; Felip, E.; Mok, T.S.K.; Soo, R.A.; Mazieres, J.; Shaw, A.T.; de Marinis, F.; Goto, Y.; Wu, Y.-L.; et al. Lorlatinib Versus Crizotinib in Patients With Advanced ALK-Positive Non-Small Cell Lung Cancer: 5-Year Outcomes From the Phase III CROWN Study. J. Clin. Oncol. Off. J. Am. Soc. Clin. Oncol. 2024, 42, 3400–3409. [Google Scholar] [CrossRef] [PubMed]
- Minturn, J.E.; Evans, A.E.; Villablanca, J.G.; Yanik, G.A.; Park, J.R.; Shusterman, S.; Groshen, S.; Hellriegel, E.T.; Bensen-Kennedy, D.; Matthay, K.K.; et al. Phase I Trial of Lestaurtinib for Children with Refractory Neuroblastoma: A New Approaches to Neuroblastoma Therapy Consortium Study. Cancer Chemother. Pharmacol. 2011, 68, 1057–1065. [Google Scholar] [CrossRef]
- Potter, N.; Jovanovic, J.; Ivey, A.; Othman, J.; Thomas, A.; Gilkes, A.; Runglall, M.; Kanda, A.; Thomas, I.; Johnson, S.; et al. Molecular Monitoring versus Standard Clinical Care in Younger Adults with Acute Myeloid Leukaemia: Results from the UK NCRI AML17 and AML19 Randomised, Controlled, Phase 3 Trials. Lancet Haematol. 2025, 12, e346–e356. [Google Scholar] [CrossRef]
- Furman, W.L.; McGregor, L.M.; McCarville, M.B.; Onciu, M.; Davidoff, A.M.; Kovach, S.; Hawkins, D.; McPherson, V.; Houghton, P.J.; Billups, C.A.; et al. A Single-Arm Pilot Phase II Study of Gefitinib and Irinotecan in Children with Newly Diagnosed High-Risk Neuroblastoma. Investig. New Drugs 2012, 30, 1660–1670. [Google Scholar] [CrossRef] [PubMed]
- Cohen, M.H.; Williams, G.A.; Sridhara, R.; Chen, G.; Pazdur, R. FDA Drug Approval Summary: Gefitinib (ZD1839) (Iressa) Tablets. Oncologist 2003, 8, 303–306. [Google Scholar] [CrossRef]
- Geller, J.I.; Perentesis, J.P.; Liu, X.; Minard, C.G.; Kudgus, R.A.; Reid, J.M.; Fox, E.; Blaney, S.M.; Weigel, B.J. A Phase 1 Study of the C-Met Inhibitor, Tivantinib (ARQ197) in Children with Relapsed or Refractory Solid Tumors: A Children’s Oncology Group Study Phase 1 and Pilot Consortium Trial (ADVL1111). Pediatr. Blood Cancer 2017, 64, 26565. [Google Scholar] [CrossRef]
- Kudo, M.; Morimoto, M.; Moriguchi, M.; Izumi, N.; Takayama, T.; Yoshiji, H.; Hino, K.; Oikawa, T.; Chiba, T.; Motomura, K.; et al. A Randomized, Double-Blind, Placebo-Controlled, Phase 3 Study of Tivantinib in Japanese Patients with MET-High Hepatocellular Carcinoma. Cancer Sci. 2020, 111, 3759–3769. [Google Scholar] [CrossRef]
- Perisa, M.P.; Storey, M.; Streby, K.A.; Ranalli, M.A.; Skeens, M.; Shah, N. Cabozantinib for Relapsed Neuroblastoma: Single Institution Case Series. Pediatr. Blood Cancer 2020, 67, e28317. [Google Scholar] [CrossRef]
- Okada, K.; Nakano, Y.; Yamasaki, K.; Nitani, C.; Fujisaki, H.; Hara, J. Sorafenib Treatment in Children with Relapsed and Refractory Neuroblastoma: An Experience of Four Cases. Cancer Med. 2016, 5, 1947–1949. [Google Scholar] [CrossRef]
- Yang, L.; Shi, L.; Fu, Q.; Xiong, H.; Zhang, M.; Yu, S. Efficacy and Safety of Sorafenib in Advanced Renal Cell Carcinoma Patients: Results from a Long-Term Study. Oncol. Lett. 2012, 3, 935–939. [Google Scholar] [CrossRef]
- Ben Mousa, A. Sorafenib in the Treatment of Advanced Hepatocellular Carcinoma. Saudi J. Gastroenterol. Off. J. Saudi Gastroenterol. Assoc. 2008, 14, 40–42. [Google Scholar] [CrossRef] [PubMed]
- Geoerger, B.; Morland, B.; Jiménez, I.; Frappaz, D.; Pearson, A.D.J.; Vassal, G.; Maeda, P.; Kincaide, J.; Mueller, U.; Schlief, S.; et al. Phase 1 Dose-Escalation and Pharmacokinetic Study of Regorafenib in Paediatric Patients with Recurrent or Refractory Solid Malignancies. Eur. J. Cancer 2021, 153, 142–152. [Google Scholar] [CrossRef] [PubMed]
- Casanova, M.; Bautista, F.; Campbell-Hewson, Q.; Makin, G.; Marshall, L.V.; Verschuur, A.C.; Cañete Nieto, A.; Corradini, N.; Ploeger, B.A.; Brennan, B.J.; et al. Regorafenib plus Vincristine and Irinotecan in Pediatric Patients with Recurrent/Refractory Solid Tumors: An Innovative Therapy for Children with Cancer Study. Clin. Cancer Res. 2023, 29, 4341–4351. [Google Scholar] [CrossRef]
- FDA Approves Regorafenib (Stivarga) for GIST. Oncology 2013, 27, 164.
- FDA Approves Regorafenib (Stivarga) for Metastatic Colorectal Cancer. Oncology 2012, 26, 896.
- Nguyen, D.T.; Shayahi, S. Pazopanib: Approval for Soft-Tissue Sarcoma. J. Adv. Pract. Oncol. 2013, 4, 53–57. [Google Scholar] [CrossRef] [PubMed]
- Cella, D.; Beaumont, J.L. Pazopanib in the Treatment of Advanced Renal Cell Carcinoma. Ther. Adv. Urol. 2016, 8, 61–69. [Google Scholar] [CrossRef]
- Marcus, L.; Donoghue, M.; Aungst, S.; Myers, C.E.; Helms, W.S.; Shen, G.; Zhao, H.; Stephens, O.; Keegan, P.; Pazdur, R. FDA Approval Summary: Entrectinib for the Treatment of NTRK Gene Fusion Solid Tumors. Clin. Cancer Res. An. Off. J. Am. Assoc. Cancer Res. 2021, 27, 928–932. [Google Scholar] [CrossRef]
- Li, Z.; Zhang, Y.; Tong, Y.; Tong, J.; Thiele, C.J. Trk Inhibitor Attenuates the BDNF/TrkB-Induced Protection of Neuroblastoma Cells from Etoposide in Vitro and in Vivo. Cancer Biol. Ther. 2015, 16, 477–483. [Google Scholar] [CrossRef]
- Cervantes-Madrid, D.; Szydzik, J.; Lind, D.E.; Borenäs, M.; Bemark, M.; Cui, J.; Palmer, R.H.; Hallberg, B. Repotrectinib (TPX-0005), Effectively Reduces Growth of ALK Driven Neuroblastoma Cells. Sci. Rep. 2019, 9, 19353. [Google Scholar] [CrossRef]
- Dhillon, S. Repotrectinib: First Approval. Drugs 2024, 84, 239–246. [Google Scholar] [CrossRef]
- Wu, Y.-L.; Cheng, Y.; Zhou, X.; Lee, K.H.; Nakagawa, K.; Niho, S.; Tsuji, F.; Linke, R.; Rosell, R.; Corral, J.; et al. Dacomitinib versus Gefitinib as First-Line Treatment for Patients with EGFR-Mutation-Positive Non-Small-Cell Lung Cancer (ARCHER 1050): A Randomised, Open-Label, Phase 3 Trial. Lancet Oncol. 2017, 18, 1454–1466. [Google Scholar] [CrossRef]
- Soria, J.-C.; Ohe, Y.; Vansteenkiste, J.; Reungwetwattana, T.; Chewaskulyong, B.; Lee, K.H.; Dechaphunkul, A.; Imamura, F.; Nogami, N.; Kurata, T.; et al. Osimertinib in Untreated EGFR-Mutated Advanced Non-Small-Cell Lung Cancer. N. Engl. J. Med. 2018, 378, 113–125. [Google Scholar] [CrossRef]
- Picca, A.; Di Stefano, A.L.; Savatovsky, J.; Ducray, F.; Chinot, O.; Moyal, E.C.-J.; Augereau, P.; Le Rhun, E.; Schmitt, Y.; Rousseaux, N.; et al. TARGET: A Phase I/II Open-Label Multicenter Study to Assess Safety and Efficacy of Fexagratinib in Patients with Relapsed/Refractory FGFR Fusion-Positive Glioma. Neuro-Oncol. Adv. 2024, 6, vdae068. [Google Scholar] [CrossRef]
- Fassnacht, M.; Berruti, A.; Baudin, E.; Demeure, M.J.; Gilbert, J.; Haak, H.; Kroiss, M.; Quinn, D.I.; Hesseltine, E.; Ronchi, C.L.; et al. Linsitinib (OSI-906) versus Placebo for Patients with Locally Advanced or Metastatic Adrenocortical Carcinoma: A Double-Blind, Randomised, Phase 3 Study. Lancet Oncol. 2015, 16, 426–435. [Google Scholar] [CrossRef] [PubMed]
- Wang, Y.; Wang, L.; Guan, S.; Cao, W.; Wang, H.; Chen, Z.; Zhao, Y.; Yu, Y.; Zhang, H.; Pang, J.C.; et al. Novel ALK Inhibitor AZD3463 Inhibits Neuroblastoma Growth by Overcoming Crizotinib Resistance and Inducing Apoptosis. Sci. Rep. 2016, 6, 19423. [Google Scholar] [CrossRef] [PubMed]
- Hu, G.-F.; Wang, C.; Hu, G.-X.; Wu, G.; Zhang, C.; Zhu, W.; Chen, C.; Gu, Y.; Zhang, H.; Yang, Z. AZD3463, an IGF-1R Inhibitor, Suppresses Breast Cancer Metastasis to Bone via Modulation of the PI3K-Akt Pathway. Ann. Transl. Med. 2020, 8, 336. [Google Scholar] [CrossRef]
- Goker Bagca, B.; Ozates, N.P.; Asik, A.; Caglar, H.O.; Gunduz, C.; Biray Avci, C. Temozolomide Treatment Combined with AZD3463 Shows Synergistic Effect in Glioblastoma Cells. Biochem. Biophys. Res. Commun. 2020, 533, 1497–1504. [Google Scholar] [CrossRef]
- Zhou, C.; Solomon, B.; Loong, H.H.; Park, K.; Pérol, M.; Arriola, E.; Novello, S.; Han, B.; Zhou, J.; Ardizzoni, A.; et al. First-Line Selpercatinib or Chemotherapy and Pembrolizumab in RET Fusion-Positive NSCLC. N. Engl. J. Med. 2023, 389, 1839–1850. [Google Scholar] [CrossRef]
- Subbiah, V.; Cassier, P.A.; Siena, S.; Garralda, E.; Paz-Ares, L.; Garrido, P.; Nadal, E.; Vuky, J.; Lopes, G.; Kalemkerian, G.P.; et al. Pan-Cancer Efficacy of Pralsetinib in Patients with RET Fusion-Positive Solid Tumors from the Phase 1/2 ARROW Trial. Nat. Med. 2022, 28, 1640–1645. [Google Scholar] [CrossRef] [PubMed]
- Bharathwaj, A.; Steen, E.; Sampaio, C.; Huo, Y.; Breeding, B.; Basilaia, M.; Gustafson, J.; Zage, P.E. Atropisomeric Pyrrolopyrimidine Inhibitor as a Targeted Approach for RET Tyrosine Kinase in Neuroblastoma. J. Clin. Oncol. 2025, 43, 3118. [Google Scholar] [CrossRef]
- Scorsone, K.; Zhang, L.; Woodfield, S.E.; Hicks, J.; Zage, P.E. The Novel Kinase Inhibitor EMD1214063 Is Effective against Neuroblastoma. Investig. New Drugs 2014, 32, 815–824. [Google Scholar] [CrossRef]
- Mathieu, L.N.; Larkins, E.; Akinboro, O.; Roy, P.; Amatya, A.K.; Fiero, M.H.; Mishra-Kalyani, P.S.; Helms, W.S.; Myers, C.E.; Skinner, A.M.; et al. FDA Approval Summary: Capmatinib and Tepotinib for the Treatment of Metastatic NSCLC Harboring MET Exon 14 Skipping Mutations or Alterations. Clin. Cancer Res. 2022, 28, 249–254. [Google Scholar] [CrossRef]
- Puri, N.; Khramtsov, A.; Ahmed, S.; Nallasura, V.; Hetzel, J.T.; Jagadeeswaran, R.; Karczmar, G.; Salgia, R. A Selective Small Molecule Inhibitor of C-Met, PHA665752, Inhibits Tumorigenicity and Angiogenesis in Mouse Lung Cancer Xenografts. Cancer Res. 2007, 67, 3529–3534. [Google Scholar] [CrossRef]
- Xu, F.; Li, H.; Sun, Y. Inhibition of Axl Improves the Targeted Therapy against ALK-Mutated Neuroblastoma. Biochem. Biophys. Res. Commun. 2014, 454, 566–571. [Google Scholar] [CrossRef]
- Bhalla, S.; Gerber, D.E. AXL Inhibitors: Status of Clinical Development. Curr. Oncol. Rep. 2023, 25, 521–529. [Google Scholar] [CrossRef]
- Tseng, T.-Y.; Kao, S.-H.; Yang, S.-F.; Lin, Y.-C.; Lin, C.-L.; Chen, J.-L.; Chen, C.-M.; Hsieh, Y.-H. AXL Tyrosine Kinase Inhibitor TP-0903 Induces ROS Trigger Neuroblastoma Cell Apoptosis via Targeting the MiR-335-3p/DKK1 Expression. Cell Death Discov. 2025, 11, 378. [Google Scholar] [CrossRef]
- Adjei, A.A.; Beg, M.; Melear, J.; Thompson, J.; Tsai, F.-C.; Baranda, J.C.; Bastos, B.; Spira, A.; Lou, Y.; Seetharam, M.; et al. 536MO A Phase I, First-in-Human, Safety, Pharmacokinetic, and Pharmacodynamic Study of Oral Dubermatinib (TP-0903) in Patients with Advanced Solid Tumours. Ann. Oncol. 2020, 31, S469. [Google Scholar] [CrossRef]
- Calero, R.; Morchon, E.; Johnsen, J.I.; Serrano, R. Sunitinib Suppress Neuroblastoma Growth through Degradation of MYCN and Inhibition of Angiogenesis. PLoS ONE 2014, 9, e95628. [Google Scholar] [CrossRef] [PubMed]
- Song, M.; Sun, Y.; Hu, Y.; Wang, C.; Jin, Y.; Liu, Y.; Da, Y.; Zhao, Q.; Zheng, R.; Li, L. Comprehensive Quantifications of Tumour Microenvironment to Predict the Responsiveness to Immunotherapy and Prognosis for Paediatric Neuroblastomas. Int. Immunopharmacol. 2024, 133, 112145. [Google Scholar] [CrossRef]
- Pastorino, F.; Capasso, M.; Brignole, C.; Lasorsa, V.A.; Bensa, V.; Perri, P.; Cantalupo, S.; Giglio, S.; Provenzi, M.; Rabusin, M.; et al. Therapeutic Targeting of ALK in Neuroblastoma: Experience of Italian Precision Medicine in Pediatric Oncology. Cancers 2023, 15, 560. [Google Scholar] [CrossRef] [PubMed]
- Drilon, A.; Siena, S.; Ou, S.-H.I.; Patel, M.; Ahn, M.J.; Lee, J.; Bauer, T.M.; Farago, A.F.; Wheler, J.J.; Liu, S.V.; et al. Safety and Antitumor Activity of the Multitargeted Pan-TRK, ROS1, and ALK Inhibitor Entrectinib: Combined Results from Two Phase I Trials (ALKA-372-001 and STARTRK-1). Cancer Discov. 2017, 7, 400–409. [Google Scholar] [CrossRef] [PubMed]
- Pallavicini, G.; Iegiani, G.; Parolisi, R.; Ferraro, A.; Garello, F.; Bitonto, V.; Terreno, E.; Gai, M.; Di Cunto, F. Lestaurtinib Inhibits Citron Kinase Activity and Medulloblastoma Growth through Induction of DNA Damage, Apoptosis and Cytokinesis Failure. Front. Oncol. 2023, 13, 1202585. [Google Scholar] [CrossRef] [PubMed]
- Jakacki, R.I.; Hamilton, M.; Gilbertson, R.J.; Blaney, S.M.; Tersak, J.; Krailo, M.D.; Ingle, A.M.; Voss, S.D.; Dancey, J.E.; Adamson, P.C. Pediatric Phase I and Pharmacokinetic Study of Erlotinib Followed by the Combination of Erlotinib and Temozolomide: A Children’s Oncology Group Phase I Consortium Study. J. Clin. Oncol. 2008, 26, 4921–4927. [Google Scholar] [CrossRef]
- Geoerger, B.; Marshall, L.V.; Nysom, K.; Makin, G.; Bouffet, E.; Defachelles, A.-S.; Amoroso, L.; Aerts, I.; Leblond, P.; Barahona, P.; et al. Afatinib in Paediatric Patients with Recurrent/Refractory ErbB-Dysregulated Tumours: Results of a Phase I/Expansion Trial. Eur. J. Cancer 2023, 188, 8–19. [Google Scholar] [CrossRef]
- Tan, D.S.W.; Kim, S.-W.; Ponce Aix, S.; Sequist, L.V.; Smit, E.F.; Yang, J.C.H.; Hida, T.; Toyozawa, R.; Felip, E.; Wolf, J.; et al. Nazartinib for Treatment-Naive EGFR-Mutant Non-Small Cell Lung Cancer: Results of a Phase 2, Single-Arm, Open-Label Study. Eur. J. Cancer 2022, 172, 276–286. [Google Scholar] [CrossRef]
- Chae, Y.K.; Hong, F.; Vaklavas, C.; Cheng, H.H.; Hammerman, P.; Mitchell, E.P.; Zwiebel, J.A.; Ivy, S.P.; Gray, R.J.; Li, S.; et al. Phase II Study of AZD4547 in Patients with Tumors Harboring Aberrations in the FGFR Pathway: Results From the NCI-MATCH Trial (EAY131) Subprotocol W. J. Clin. Oncol. 2020, 38, 2407–2417. [Google Scholar] [CrossRef]
- Lukoseviciute, M.; Need, E.; Holzhauser, S.; Dalianis, T.; Kostopoulou, O.N. Combined Targeted Therapy with PI3K and CDK4/6, or FGFR Inhibitors Show Synergistic Effects in a Neuroblastoma Spheroid Culture Model. Biomed. Pharmacother. 2024, 177, 116993. [Google Scholar] [CrossRef]
- Guven, D.C.; Ahmed, J.; Stephen, B.; Naing, A. IGF-1R Inhibitors in Cancer: A Review of Available Evidence and Future Outlook. Crit. Rev. Oncol. Hematol. 2025, 214, 104809. [Google Scholar] [CrossRef]
- Stauffer, S.; Roth, J.S.; Hernandez, E.R.; Kowalczyk, J.T.; Sealover, N.E.; Hebron, K.E.; James, A.; Isanogle, K.A.; Riffle, L.A.; Ileva, L.; et al. Preclinical Therapeutic Efficacy of RAF/MEK/ERK and IGF1R/AKT/MTOR Inhibition in Neuroblastoma. Cancers 2024, 16, 2320. [Google Scholar] [CrossRef]
- Wojtalla, A.; Salm, F.; Christiansen, D.G.; Cremona, T.; Cwiek, P.; Shalaby, T.; Gross, N.; Grotzer, M.A.; Arcaro, A. Novel Agents Targeting the IGF-1R/PI3K Pathway Impair Cell Proliferation and Survival in Subsets of Medulloblastoma and Neuroblastoma. PLoS ONE 2012, 7, e47109. [Google Scholar] [CrossRef]
- Accornero, P.; Lattanzio, G.; Mangano, T.; Chiarle, R.; Taulli, R.; Bersani, F.; Forni, P.E.; Miretti, S.; Scuoppo, C.; Dastrù, W.; et al. An In Vivo Model of Met-Driven Lymphoma as a Tool to Explore the Therapeutic Potential of Met Inhibitors. Clin. Cancer Res. 2008, 14, 2220–2226. [Google Scholar] [CrossRef]
- Loges, S.; Heuser, M.; Chromik, J.; Sutamtewagul, G.; Kapp-Schwoerer, S.; Crugnola, M.; Di Renzo, N.; Lemoli, R.; Mattei, D.; Fiedler, W.; et al. Bemcentinib as Monotherapy and in Combination with Low-Dose Cytarabine in Acute Myeloid Leukemia Patients Unfit for Intensive Chemotherapy: A Phase 1b/2a Trial. Nat. Commun. 2025, 16, 2846. [Google Scholar] [CrossRef]
- Li, Y.; Wang, X.; Bi, S.; Zhao, K.; Yu, C. Inhibition of Mer and Axl Receptor Tyrosine Kinases Leads to Increased Apoptosis and Improved Chemosensitivity in Human Neuroblastoma. Biochem. Biophys. Res. Commun. 2015, 457, 461–466. [Google Scholar] [CrossRef] [PubMed]
- Zhang, L.; Scorsone, K.; Woodfield, S.E.; Zage, P.E. Sensitivity of Neuroblastoma to the Novel Kinase Inhibitor Cabozantinib Is Mediated by ERK Inhibition. Cancer Chemother. Pharmacol. 2015, 76, 977–987. [Google Scholar] [CrossRef] [PubMed]
- Almeida, G.S.; King, P.; Hallsworth, A.; Webber, H.; Popov, S.; Miranda, S.; Yogev, O.; Pearson, A.D.J.; Chesler, L.; Jamin, Y.; et al. Response of GEM Models of Neuroblastoma to Cabozantinib Assessed by Multiparametric Magnetic Resonance Imaging. Neoplasia 2025, 65, 101170. [Google Scholar] [CrossRef]
- Kakodkar, N.C.; Peddinti, R.R.; Tian, Y.; Guerrero, L.J.; Chlenski, A.; Yang, Q.; Salwen, H.R.; Maitland, M.L.; Cohn, S.L. Sorafenib Inhibits Neuroblastoma Cell Proliferation and Signaling, Blocks Angiogenesis, and Impairs Tumor Growth. Pediatr. Blood Cancer 2012, 59, 642–647. [Google Scholar] [CrossRef]
- Chen, Z.; Zhao, Y.; Yu, Y.; Pang, J.C.; Woodfield, S.E.; Tao, L.; Guan, S.; Zhang, H.; Bieerkehazhi, S.; Shi, Y.; et al. Small Molecule Inhibitor Regorafenib Inhibits RET Signaling in Neuroblastoma Cells and Effectively Suppresses Tumor Growth in Vivo. Oncotarget 2017, 8, 104090–104103. [Google Scholar] [CrossRef]
- Subramonian, D.; Phanhthilath, N.; Rinehardt, H.; Flynn, S.; Huo, Y.; Zhang, J.; Messer, K.; Mo, Q.; Huang, S.; Lesperance, J.; et al. Regorafenib Is Effective against Neuroblastoma in Vitro and in Vivo and Inhibits the RAS/MAPK, PI3K/Akt/MTOR and Fos/Jun Pathways. Br. J. Cancer 2020, 123, 568–579. [Google Scholar] [CrossRef] [PubMed]
- Kumar, S.; Mokhtari, R.B.; Oliveira, I.D.; Islam, S.; Toledo, S.R.C.; Yeger, H.; Baruchel, S. Tumor Dynamics in Response to Antiangiogenic Therapy with Oral Metronomic Topotecan and Pazopanib in Neuroblastoma Xenografts. Transl. Oncol. 2013, 6, 493–503. [Google Scholar] [CrossRef]
- Filippone, A.; Mannino, D.; Casili, G.; Lanza, M.; Paterniti, I.; Cuzzocrea, S.; Capra, A.P.; Colarossi, L.; Giuffrida, D.; Lombardo, S.P.; et al. Protein Kinase Inhibitors as a New Target for Immune System Modulation and Brain Cancer Management. Int. J. Mol. Sci. 2022, 23, 15693. [Google Scholar] [CrossRef]
- Corsello, S.M.; Nagari, R.T.; Spangler, R.D.; Rossen, J.; Kocak, M.; Bryan, J.G.; Humeidi, R.; Peck, D.; Wu, X.; Tang, A.A.; et al. Discovering the Anti-Cancer Potential of Non-Oncology Drugs by Systematic Viability Profiling. Nat. Cancer 2020, 1, 235–248. [Google Scholar] [CrossRef]
- Ou, S.-H.I.; Kwak, E.L.; Siwak-Tapp, C.; Dy, J.; Bergethon, K.; Clark, J.W.; Camidge, D.R.; Solomon, B.J.; Maki, R.G.; Bang, Y.-J.; et al. Activity of Crizotinib (PF02341066), a Dual Mesenchymal-Epithelial Transition (MET) and Anaplastic Lymphoma Kinase (ALK) Inhibitor, in a Non-Small Cell Lung Cancer Patient with de Novo MET Amplification. J. Thorac. Oncol. 2011, 6, 942–946. [Google Scholar] [CrossRef]
- Berlak, M.; Tucker, E.; Dorel, M.; Winkler, A.; McGearey, A.; Rodriguez-Fos, E.; da Costa, B.M.; Barker, K.; Fyle, E.; Calton, E.; et al. Mutations in ALK Signaling Pathways Conferring Resistance to ALK Inhibitor Treatment Lead to Collateral Vulnerabilities in Neuroblastoma Cells. Mol. Cancer 2022, 21, 126. [Google Scholar] [CrossRef]
- Hölzel, M.; Huang, S.; Koster, J.; Ora, I.; Lakeman, A.; Caron, H.; Nijkamp, W.; Xie, J.; Callens, T.; Asgharzadeh, S.; et al. NF1 Is a Tumor Suppressor in Neuroblastoma That Determines Retinoic Acid Response and Disease Outcome. Cell 2010, 142, 218–229. [Google Scholar] [CrossRef]
- Ou, X.; Gao, G.; Habaz, I.A.; Wang, Y. Mechanisms of Resistance to Tyrosine Kinase Inhibitor-Targeted Therapy and Overcoming Strategies. MedComm 2024, 5, e694. [Google Scholar] [CrossRef] [PubMed]
- Kleczko, E.K.; Heasley, L.E. Mechanisms of Rapid Cancer Cell Reprogramming Initiated by Targeted Receptor Tyrosine Kinase Inhibitors and Inherent Therapeutic Vulnerabilities. Mol. Cancer 2018, 17, 60. [Google Scholar] [CrossRef]
- Reischmann, N.; Schmelas, C.; Molina-Vila, M.Á.; Jordana-Ariza, N.; Kuntze, D.; García-Roman, S.; Simard, M.A.; Musch, D.; Esdar, C.; Albers, J.; et al. Overcoming MET-Mediated Resistance in Oncogene-Driven NSCLC. iScience 2023, 26, 107006. [Google Scholar] [CrossRef] [PubMed]
- Coleman, N.; Hong, L.; Zhang, J.; Heymach, J.; Hong, D.; Le, X. Beyond Epidermal Growth Factor Receptor: MET Amplification as a General Resistance Driver to Targeted Therapy in Oncogene-Driven Non-Small-Cell Lung Cancer. ESMO Open 2021, 6, 100319. [Google Scholar] [CrossRef] [PubMed]
- MacFarland, S.P.; Naraparaju, K.; Iyer, R.; Guan, P.; Kolla, V.; Hu, Y.; Tan, K.; Brodeur, G.M. Mechanisms of Entrectinib Resistance in a Neuroblastoma Xenograft Model. Mol. Cancer Ther. 2020, 19, 920–926. [Google Scholar] [CrossRef]
- Redaelli, S.; Ceccon, M.; Zappa, M.; Sharma, G.G.; Mastini, C.; Mauri, M.; Nigoghossian, M.; Massimino, L.; Cordani, N.; Farina, F.; et al. Lorlatinib Treatment Elicits Multiple On- and Off-Target Mechanisms of Resistance in ALK-Driven Cancer. Cancer Res. 2018, 78, 6866–6880. [Google Scholar] [CrossRef]
- Katayama, Y.; Yamada, T.; Tanimura, K.; Tokuda, S.; Morimoto, K.; Hirai, S.; Matsui, Y.; Nakamura, R.; Ishida, M.; Kawachi, H.; et al. Adaptive Resistance to Lorlatinib via EGFR Signaling in ALK-Rearranged Lung Cancer. NPJ Precis. Oncol. 2023, 7, 12. [Google Scholar] [CrossRef]
- Fujimura, T.; Furugaki, K.; Mizuta, H.; Muraoka, S.; Nishio, M.; Adachi, J.; Uchibori, K.; Miyauchi, E.; Hayashi, H.; Katayama, R.; et al. Targeting ErbB and Tankyrase1/2 Prevent the Emergence of Drug-Tolerant Persister Cells in ALK-Positive Lung Cancer. NPJ Precis. Oncol. 2024, 8, 264. [Google Scholar] [CrossRef] [PubMed]
- Mañas, A.; Aaltonen, K.; Andersson, N.; Hansson, K.; Adamska, A.; Seger, A.; Yasui, H.; van den Bos, H.; Radke, K.; Esfandyari, J.; et al. Clinically Relevant Treatment of PDX Models Reveals Patterns of Neuroblastoma Chemoresistance. Sci. Adv. 2022, 8, eabq4617. [Google Scholar] [CrossRef]
- Valencia-Sama, I.; Kee, L.; Christopher, G.; Ohh, M.; Layeghifard, M.; Shlien, A.; Hayes, M.N.; Irwin, M.S. SHP2 Inhibition with TNO155 Increases Efficacy and Overcomes Resistance of ALK Inhibitors in Neuroblastoma. Cancer Res. Commun. 2023, 3, 2608–2622. [Google Scholar] [CrossRef]
- Yu, Y.; Zhao, Y.; Choi, J.; Shi, Z.; Guo, L.; Elizarraras, J.; Gu, A.; Cheng, F.; Pei, Y.; Lu, D.; et al. ERK Inhibitor Ulixertinib Inhibits High-Risk Neuroblastoma Growth In Vitro and In Vivo. Cancers 2022, 14, 5534. [Google Scholar] [CrossRef] [PubMed]
- Sullivan, R.J.; Infante, J.R.; Janku, F.; Wong, D.J.L.; Sosman, J.A.; Keedy, V.; Patel, M.R.; Shapiro, G.I.; Mier, J.W.; Tolcher, A.W.; et al. First-in-Class ERK1/2 Inhibitor Ulixertinib (BVD-523) in Patients with MAPK Mutant Advanced Solid Tumors: Results of a Phase I Dose-Escalation and Expansion Study. Cancer Discov. 2018, 8, 184–195. [Google Scholar] [CrossRef]
- Tang, Y.; Zang, H.; Wen, Q.; Fan, S. AXL in Cancer: A Modulator of Drug Resistance and Therapeutic Target. J. Exp. Clin. Cancer Res. 2023, 42, 148. [Google Scholar] [CrossRef] [PubMed]
- Debruyne, D.N.; Bhatnagar, N.; Sharma, B.; Luther, W.; Moore, N.F.; Cheung, N.-K.; Gray, N.S.; George, R.E. ALK Inhibitor Resistance in ALK(F1174L)-Driven Neuroblastoma Is Associated with AXL Activation and Induction of EMT. Oncogene 2016, 35, 3681–3691. [Google Scholar] [CrossRef]
- Boeva, V.; Louis-Brennetot, C.; Peltier, A.; Durand, S.; Pierre-Eugène, C.; Raynal, V.; Etchevers, H.C.; Thomas, S.; Lermine, A.; Daudigeos-Dubus, E.; et al. Heterogeneity of Neuroblastoma Cell Identity Defined by Transcriptional Circuitries. Nat. Genet. 2017, 49, 1408–1413. [Google Scholar] [CrossRef] [PubMed]
- van Groningen, T.; Koster, J.; Valentijn, L.J.; Zwijnenburg, D.A.; Akogul, N.; Hasselt, N.E.; Broekmans, M.; Haneveld, F.; Nowakowska, N.E.; Bras, J.; et al. Neuroblastoma Is Composed of Two Super-Enhancer-Associated Differentiation States. Nat. Genet. 2017, 49, 1261–1266. [Google Scholar] [CrossRef]
- Thirant, C.; Peltier, A.; Durand, S.; Kramdi, A.; Louis-Brennetot, C.; Pierre-Eugène, C.; Gautier, M.; Costa, A.; Grelier, A.; Zaïdi, S.; et al. Reversible Transitions between Noradrenergic and Mesenchymal Tumor Identities Define Cell Plasticity in Neuroblastoma. Nat. Commun. 2023, 14, 2575. [Google Scholar] [CrossRef] [PubMed]
- Westerhout, E.M.; Hamdi, M.; Stroeken, P.; Nowakowska, N.E.; Lakeman, A.; van Arkel, J.; Hasselt, N.E.; Bleijlevens, B.; Akogul, N.; Haneveld, F.; et al. Mesenchymal-Type Neuroblastoma Cells Escape ALK Inhibitors. Cancer Res. 2022, 82, 484–496. [Google Scholar] [CrossRef]
- Cid, C.; Regidor, I.; Poveda, P.D.; Alcazar, A. Expression of Heat Shock Protein 90 at the Cell Surface in Human Neuroblastoma Cells. Cell Stress Chaperones 2009, 14, 321–327. [Google Scholar] [CrossRef]
- Farina, A.R.; Tacconelli, A.; Cappabianca, L.; Cea, G.; Chioda, A.; Romanelli, A.; Pensato, S.; Pedone, C.; Gulino, A.; Mackay, A.R. The Neuroblastoma Tumour-Suppressor TrkAI and Its Oncogenic Alternative TrkAIII Splice Variant Exhibit Geldanamycin-Sensitive Interactions with Hsp90 in Human Neuroblastoma Cells. Oncogene 2009, 28, 4075–4094. [Google Scholar] [CrossRef]
- Martins, A.S.; Ordoñez, J.L.; García-Sánchez, A.; Herrero, D.; Sevillano, V.; Osuna, D.; Mackintosh, C.; Caballero, G.; Otero, A.P.; Poremba, C.; et al. A Pivotal Role for Heat Shock Protein 90 in Ewing Sarcoma Resistance to Anti-Insulin-like Growth Factor 1 Receptor Treatment: In Vitro and in Vivo Study. Cancer Res. 2008, 68, 6260–6270. [Google Scholar] [CrossRef]
- Jiao, Y.; Ou, W.; Meng, F.; Zhou, H.; Wang, A. Targeting HSP90 in Ovarian Cancers with Multiple Receptor Tyrosine Kinase Coactivation. Mol. Cancer 2011, 10, 125. [Google Scholar] [CrossRef]
- Rastogi, S.; Joshi, A.; Sato, N.; Lee, S.; Lee, M.-J.; Trepel, J.B.; Neckers, L. An Update on the Status of HSP90 Inhibitors in Cancer Clinical Trials. Cell Stress Chaperones 2024, 29, 519–539. [Google Scholar] [CrossRef]
- Sang, J.; Acquaviva, J.; Friedland, J.C.; Smith, D.L.; Sequeira, M.; Zhang, C.; Jiang, Q.; Xue, L.; Lovly, C.M.; Jimenez, J.-P.; et al. Targeted Inhibition of the Molecular Chaperone Hsp90 Overcomes ALK Inhibitor Resistance in Non-Small Cell Lung Cancer. Cancer Discov. 2013, 3, 430–443. [Google Scholar] [CrossRef] [PubMed]
- Kang, J.; Kamal, A.; Burrows, F.J.; Evers, B.M.; Chung, D.H. Inhibition of Neuroblastoma Xenograft Growth by Hsp90 Inhibitors. Anticancer Res. 2006, 26, 1903–1908. [Google Scholar]
- Lock, R.B.; Carol, H.; Maris, J.M.; Kang, M.H.; Reynolds, C.P.; Kolb, E.A.; Gorlick, R.; Keir, S.T.; Billups, C.A.; Kurmasheva, R.T.; et al. Initial Testing (Stage 1) of Ganetespib, an Hsp90 Inhibitor, by the Pediatric Preclinical Testing Program. Pediatr. Blood Cancer 2013, 60, E42–E45. [Google Scholar] [CrossRef]
- Bagatell, R.; Gore, L.; Egorin, M.J.; Ho, R.; Heller, G.; Boucher, N.; Zuhowski, E.G.; Whitlock, J.A.; Hunger, S.P.; Narendran, A.; et al. Phase I Pharmacokinetic and Pharmacodynamic Study of 17-N-Allylamino-17-Demethoxygeldanamycin in Pediatric Patients with Recurrent or Refractory Solid Tumors: A Pediatric Oncology Experimental Therapeutics Investigators Consortium Study. Clin. Cancer Res. 2007, 13, 1783–1788. [Google Scholar] [CrossRef]
- Jin, J.; Xiong, Y.; Cen, B. Bcl-2 and Bcl-XL Mediate Resistance to Receptor Tyrosine Kinase-Targeted Therapy in Lung and Gastric Cancer. Anticancer. Drugs 2017, 28, 1141–1149. [Google Scholar] [CrossRef]
- Martín, F.; Alcon, C.; Marín, E.; Morales-Sánchez, P.; Manzano-Muñoz, A.; Díaz, S.; García, M.; Samitier, J.; Lu, A.; Villanueva, A.; et al. Novel Selective Strategies Targeting the BCL-2 Family to Enhance Clinical Efficacy in ALK-Rearranged Non-Small Cell Lung Cancer. Cell Death Dis. 2025, 16, 194. [Google Scholar] [CrossRef] [PubMed]
- Cheong, H.T.; Xu, F.; Choy, C.T.; Hui, C.W.C.; Mok, T.S.K.; Wong, C.H. Upregulation of Bcl2 in NSCLC with Acquired Resistance to EGFR-TKI. Oncol. Lett. 2018, 15, 901–907. [Google Scholar] [CrossRef] [PubMed]
- Bierbrauer, A.; Jacob, M.; Vogler, M.; Fulda, S. A Direct Comparison of Selective BH3-Mimetics Reveals BCL-X(L), BCL-2 and MCL-1 as Promising Therapeutic Targets in Neuroblastoma. Br. J. Cancer 2020, 122, 1544–1551. [Google Scholar] [CrossRef] [PubMed]
- Jacob, M.; Wiedemann, S.; Brücher, D.; Pieper, N.M.; Birkhold, M.; Särchen, V.; Jeroch, J.; Demes, M.C.; Gretser, S.; Braun, Y.; et al. Increased MCL1 Dependency Leads to New Applications of BH3-Mimetics in Drug-Resistant Neuroblastoma. Br. J. Cancer 2023, 129, 1667–1678. [Google Scholar] [CrossRef]
- Klymenko, T.; Brandenburg, M.; Morrow, C.; Dive, C.; Makin, G. The Novel Bcl-2 Inhibitor ABT-737 Is More Effective in Hypoxia and Is Able to Reverse Hypoxia-Induced Drug Resistance in Neuroblastoma Cells. Mol. Cancer Ther. 2011, 10, 2373–2383. [Google Scholar] [CrossRef]
- Berry, T.; Luther, W.; Bhatnagar, N.; Jamin, Y.; Poon, E.; Sanda, T.; Pei, D.; Sharma, B.; Vetharoy, W.R.; Hallsworth, A.; et al. The ALK(F1174L) Mutation Potentiates the Oncogenic Activity of MYCN in Neuroblastoma. Cancer Cell 2012, 22, 117–130. [Google Scholar] [CrossRef]
- Zhang, L.-D.; Liu, Z.; Liu, H.; Ran, D.-M.; Guo, J.-H.; Jiang, B.; Wu, Y.-L.; Gao, F.-H. Oridonin Enhances the Anticancer Activity of NVP-BEZ235 against Neuroblastoma Cells in Vitro and in Vivo through Autophagy. Int. J. Oncol. 2016, 49, 657–665. [Google Scholar] [CrossRef]
- Zhang, Y.; Ishida, C.T.; Shu, C.; Kleiner, G.; Sanchez-Quintero, M.J.; Bianchetti, E.; Quinzii, C.M.; Westhoff, M.-A.; Karpel-Massler, G.; Siegelin, M.D. Inhibition of Bcl-2/Bcl-XL and c-MET Causes Synthetic Lethality in Model Systems of Glioblastoma. Sci. Rep. 2018, 8, 7373. [Google Scholar] [CrossRef]
- Wen, X.; Lu, Y.; Li, Y.; Qi, P.; Wu, Y.; Yu, J.; Zhang, R.; Huang, Q.; Huang, P.; Hou, B.; et al. Remission Rate, Toxicity and Pharmacokinetics of Venetoclax-Based Induction Regimens in Untreated Pediatric Acute Myeloid Leukemia. NPJ Precis. Oncol. 2024, 8, 248. [Google Scholar] [CrossRef]
- Chua, C.C.; Hsu, B.; Enjeti, A.K.; Bajel, A.; Marlton, P.; Fleming, S.; Hiwase, D.; Ma, C.K.K.; Browett, P.J.; Perera, T.; et al. A Phase II Randomized Trial Comparing Low-Dose Cytarabine and Venetoclax +/- Midostaurin in Non-Adverse Cytogenetic Risk Acute Myeloid Leukemia: The ALLG AMLM25 Intervene Trial. Blood 2024, 144, 217. [Google Scholar] [CrossRef]
- Place, A.E.; Pikman, Y.; Stevenson, K.E.; Harris, M.H.; Pauly, M.; Sulis, M.-L.; Hijiya, N.; Gore, L.; Cooper, T.M.; Loh, M.L.; et al. Phase I Trial of the MTOR Inhibitor Everolimus in Combination with Multi-Agent Chemotherapy in Relapsed Childhood Acute Lymphoblastic Leukemia. Pediatr. Blood Cancer 2018, 65, e27062. [Google Scholar] [CrossRef] [PubMed]
- Vo, K.T.; Karski, E.E.; Nasholm, N.M.; Allen, S.; Hollinger, F.; Gustafson, W.C.; Long-Boyle, J.R.; Shiboski, S.; Matthay, K.K.; DuBois, S.G. Phase 1 Study of Sirolimus in Combination with Oral Cyclophosphamide and Topotecan in Children and Young Adults with Relapsed and Refractory Solid Tumors. Oncotarget 2017, 8, 23851–23861. [Google Scholar] [CrossRef]
- Choudhury, R.; Bahadi, C.K.; Ray, I.P.; Dash, P.; Pattanaik, I.; Mishra, S.; Mohapatra, S.R.; Patnaik, S.; Nikhil, K. PIM1 Kinase and Its Diverse Substrate in Solid Tumors. Cell Commun. Signal. 2024, 22, 529. [Google Scholar] [CrossRef]
- Ara, T.; Nakata, R.; Sheard, M.A.; Shimada, H.; Buettner, R.; Groshen, S.G.; Ji, L.; Yu, H.; Jove, R.; Seeger, R.C.; et al. Critical Role of STAT3 in IL-6-Mediated Drug Resistance in Human Neuroblastoma. Cancer Res. 2013, 73, 3852–3864. [Google Scholar] [CrossRef]
- Balanis, N.; Carlin, C.R. Stress-Induced EGF Receptor Signaling through STAT3 and Tumor Progression in Triple-Negative Breast Cancer. Mol. Cell. Endocrinol. 2017, 451, 24–30. [Google Scholar] [CrossRef]
- Zhu, Y.; Zhang, H.; Han, X.; Wang, Z.; Cui, Y.; Tian, R.; Wang, Z.; Han, B.; Tian, J.; Zhang, F.; et al. STAT3 Mediated Upregulation of C-MET Signaling Acts as a Compensatory Survival Mechanism upon EGFR Family Inhibition in Chemoresistant Breast Cancer Cells. Cancer Lett. 2021, 519, 328–342. [Google Scholar] [CrossRef] [PubMed]
- Brunen, D.; de Vries, R.C.; Lieftink, C.; Beijersbergen, R.L.; Bernards, R. PIM Kinases Are a Potential Prognostic Biomarker and Therapeutic Target in Neuroblastoma. Mol. Cancer Ther. 2018, 17, 849–857. [Google Scholar] [CrossRef]
- Trigg, R.M.; Lee, L.C.; Prokoph, N.; Jahangiri, L.; Reynolds, C.P.; Amos Burke, G.A.; Probst, N.A.; Han, M.; Matthews, J.D.; Lim, H.K.; et al. The Targetable Kinase PIM1 Drives ALK Inhibitor Resistance in High-Risk Neuroblastoma Independent of MYCN Status. Nat. Commun. 2019, 10, 5428. [Google Scholar] [CrossRef]
- Attili, I.; Bonanno, L.; Karachaliou, N.; Bracht, J.W.P.; Berenguer, J.; Codony-Servat, C.; Codony-Servat, J.; Aldeguer, E.; Gimenez-Capitan, A.; Dal Maso, A.; et al. SRC and PIM1 as Potential Co-Targets to Overcome Resistance in MET Deregulated Non-Small Cell Lung Cancer. Transl. lung cancer Res. 2020, 9, 1810–1821. [Google Scholar] [CrossRef]
- Zhou, J.; Wang, X.; Li, Z.; Wang, F.; Cao, L.; Chen, X.; Huang, D.; Jiang, R. PIM1 Kinase Promotes EMT-Associated Osimertinib Resistance via Regulating GSK3β Signaling Pathway in EGFR-Mutant Non-Small Cell Lung Cancer. Cell Death Dis. 2024, 15, 644. [Google Scholar] [CrossRef]
- Raab, M.S.; Thomas, S.K.; Ocio, E.M.; Guenther, A.; Goh, Y.-T.; Talpaz, M.; Hohmann, N.; Zhao, S.; Xiang, F.; Simon, C.; et al. The First-in-Human Study of the Pan-PIM Kinase Inhibitor PIM447 in Patients with Relapsed and/or Refractory Multiple Myeloma. Leukemia 2019, 33, 2924–2933. [Google Scholar] [CrossRef]
- Gomez, R.L.; Ibragimova, S.; Ramachandran, R.; Philpott, A.; Ali, F.R. Tumoral Heterogeneity in Neuroblastoma. Biochim. Biophys. Acta Rev. Cancer 2022, 1877, 188805. [Google Scholar] [CrossRef]
- Xu, Y.; Lou, D.; Chen, P.; Li, G.; Usoskin, D.; Pan, J.; Li, F.; Huang, S.; Hess, C.; Tang, R.; et al. Single-Cell MultiOmics and Spatial Transcriptomics Demonstrate Neuroblastoma Developmental Plasticity. Dev. Cell 2025, 60, 2248–2263.e11. [Google Scholar] [CrossRef]
- Shendy, N.A.M.; Zimmerman, M.W.; Abraham, B.J.; Durbin, A.D. Intrinsic Transcriptional Heterogeneity in Neuroblastoma Guides Mechanistic and Therapeutic Insights. Cell Rep. Med. 2022, 3, 100632. [Google Scholar] [CrossRef] [PubMed]
- Bukkuri, A.; Andersson, S.; Mazariegos, M.S.; Brown, J.S.; Hammarlund, E.U.; Mohlin, S. Cell Types or Cell States? An Investigation of Adrenergic and Mesenchymal Cell Phenotypes in Neuroblastoma. iScience 2024, 27, 111433. [Google Scholar] [CrossRef] [PubMed]
- Schmelz, K.; Toedling, J.; Huska, M.; Cwikla, M.C.; Kruetzfeldt, L.-M.; Proba, J.; Ambros, P.F.; Ambros, I.M.; Boral, S.; Lodrini, M.; et al. Spatial and Temporal Intratumour Heterogeneity Has Potential Consequences for Single Biopsy-Based Neuroblastoma Treatment Decisions. Nat. Commun. 2021, 12, 6804. [Google Scholar] [CrossRef] [PubMed]






| Gene Name | Expression in MYCN-Amplified NB Cells | Prognosis | Role in NB Cells | Resistance to the Drugs |
|---|---|---|---|---|
| ALK | Higher | Unfavourable | One of the drivers of NB development and progression | Erdafitinib, GSK1904529A, linsitinib |
| NTRK1 | Lower | Favourable | Plays a role in NB regression and differentiation | Resistance via PI3K/Akt, MAPK/ERK pathways |
| NTRK2 | Higher | No association | Increases the survival of neuroblast cells and promote metastasis | Entrectinib |
| NTRK3 | Lower | No association | Inhibition leads to the induction of apoptosis and inhibition of xenograft tumour growth | Resistance via PI3K/Akt, MAPK/ERK pathways |
| NGFR | Lower | Favourable | Reduces the rate of cell proliferation and increases the number of apoptotic cells in vitro, and prevents tumour formation in vivo | Resistance via PI3K/Akt, MAPK/ERK pathways |
| EGFR | Lower | No association | Stimulates NB cell proliferation in vitro, and EGFR inhibition by gefitinib induces apoptosis in NB cell lines | Lorlatinib, dactomitinib, osimertinib |
| ERBB2 | Lower | No association | Highly expressed on NB cells with upregulated mesenchymal gene signature | Dactomitinib |
| ERBB4 | Higher | No association | Highly expressed on NB cells with upregulated mesenchymal gene signature and detected in NB cells migrating along nerves in avian embryo | Lorlatinib, dactomitinib |
| FGFR1 | NA | No association | High levels correlate with low relapse-free survival, silencing by shRNA inhibits cologenicity and invasion in SH-SY5Y and SK-N-BE2 cells, and overexpression of FGFR1N546K promotes cell invasion and colonigenicity | Resistance via PI3K/Akt, MAPK/ERK pathways |
| FGFR2 | Higher | Unfavourable | Silencing leads to sensitisation to cisplatin of cisplatin-resistant NB cells | Lorlatinib, cisplatin |
| FGFR3 | No data | No association | Expression is associated with a worse event-free and overall survival | Resistance via PI3K/Akt, MAPK/ERK pathways |
| FGFR4 | Lower | No association | Arg388 polymorphism is connected with high occurrence of NB | Resistance via PI3K/Akt, MAPK/ERK pathways |
| IGF1R | Lower | Favourable | Plays a significant role in proliferation of ALK-mutated NB cell lines via activation of PI3K-AKT and MAPK-ERK pathways | Cisplatin, entrectinib, lorlatinib |
| PDGFRA | Higher | Unfavourable | Stimulates the growth and migration of NB cells | Resistance via PI3K/Akt, MAPK/ERK pathways |
| PDGFRB | Lower | No association | Stimulates the growth and migration of NB cells, high expression is correlated with increased patient survival | Resistance via PI3K/Akt, MAPK/ERK pathways |
| EPOR | Lower | Unfavourable | Expression of the receptor and its ligand correlates with tumour angiogenesis, EPO has been shown to induce mobility and adhesion in NB cell lines | Etoposide, vincristine |
| KIT | Lower | Unfavourable | Knockdown in NB cell lines results in strong induction of apoptosis and induced mitotic catastrophe | Sorafenib, imatinib, pazopanib |
| RET | Higher | Unfavourable | Upregulated RET can induce differentiation in NB cells, knockdown induces transition of NB cells to a mesenchymal phenotype, may take part in NB proliferation and metastasis | Resistance via PI3K/Akt, MAPK/ERK pathways |
| MET | NA | Unfavourable | HGF stimulated NB tumour angiogenesis in chick embryos, MET controls tumour and 3D spheroid tumour growth, its expression is associated with tumour progression, relapse and elevated level of MYCN in patients | Sotorasib, poziotinib, entrectinib |
| AXL | Lower | Favourable | Contributes to increased cell migration, inhibition of AXL in NB cells decreases proliferation, induces apoptosis, expressed in tumour microenvironment | ALK inhibitors, cisplatin, vincristine, crizotinib |
| FLT1 | NA | No association | Involved in NB formation, metastasis and differentiation | Resistance via PI3K/Akt, MAPK/ERK pathways |
| KDR | Lower | Favourable | ||
| FLT4 | Lower | No association |
| Drug | Target | Stage of Research in Neuroblastoma | Stage of Research in Other Types of Cancer |
|---|---|---|---|
| Crizotinib | ALK, ROS1, c-MET | Phase II Study (NCT00939770) ORR was 15% [178] | Approved by FDA to treat ALK-positive NSCLC and ALCL [179,180] |
| Lorlatinib | ALK, ROS1 | Phase I Study Trial is completed, RP2D in children was 115 mg/m2, PR2D in adults was 150 mg; single-agent response rate for <18 years was 30%; for ≥18 years, 67%; and for chemotherapy combination in <18 years, 63% (NCT03107988) [181] Phase III Study Trial is active, patients have high-risk neuroblastoma (NCT03126916) | Approved in EU for NSCLC [179] Phase III CROWN Study Compared with crizotinib in patients with ALK-positive NSCLC (more effective) [182] |
| Lestauritinib | TRK, FLT3, JAK2 | Phase I Study Well tolerated in patients with refractory neuroblastoma; effective and RP2D was established (120 mg/M(2)/dose BID) [183] | Phase III Study for the treatment of FLT3-ITD AML [184] No beneficial results shown |
| Gefitinib | EGFR | Phase II Study No significant results shown [185] | Approved by FDA for the treatment of patients with locally advanced or metastatic NSCLC [186] |
| Tivantinib | MET, EGFR, PDGFR-A, FGFR1/4 | Phase I Study One NB patient had stable disease as best response RP2D is 240 mg/m2/dose, ORR not observed in this study [187] | Phase III Study for the treatment of adult patients with MET-high HCC No significant efficacy has been shown [188] |
| Cabozantinib | RET, c-MET, AXL, VEGFR2, FLT3, c-KIT | Case report: four NB patients 2/4 stable response, 2/4 stable disease; initiated doses ranged from 20 to 40 mg/m2/day [189] | Approved by FDA for the treatment of thyroid cancer, renal cell cancer, HCC and advanced neuroendocrine tumours [14], [https://www.targetedonc.com/view/fda-approves-cabozantinib-for-advanced-neuroendocrine-tumors (accessed on 10 October 2025)] |
| Sorafenib | VEGFR2-3, PDGFR-B, FLT3, c-KIT, RAF-1 | Case report: four NB patients 3/4 no effectiveness shown, 1/4 stable tumour size for first 4 weeks; dose escalation to 250 mg/m2 [190] Phase II PEDS-PLAN Trial Recruiting at the moment (NCT02559778) | Approved by FDA to treat RCC and advanced HCC [191,192] |
| Regorafenib | VEGFR, PDGFR-B, c-KIT, RET, RAF-1 | Phase I Study Efficacy shown in combination with vincristine and irinotecan with appropriate dose modifications; regorafenib RP2D is 82 mg/m2, ORR is 48% [193,194] | Approved by FDA for the treatment of HCC, GIST and metastatic colorectal cancer [https://www.fda.gov/drugs/resources-information-approved-drugs/regorafenib] [195,196] |
| Pazopanib | VEGFR1-3, PDGFR, FGFR1-2, c-KIT, CSF1R | Phase II Study No beneficial results shown pazopanib administered at 450 or 225 mg/m2 (NCT01956669) | Approved by FDA for the treatment of soft-tissue sarcoma and advanced RCC [197,198] |
| Drug | Target | Stage of Research in Neuroblastoma | Stage of Research in Other Types of Cancer |
|---|---|---|---|
| Entrectinib | TRK, ALK, ROS1 | Phase I Study Trial is active (NCT0265040) | Approved for the treatment of NTRK gene fusion solid tumours [199] |
| AZD6918 | TRK | CDX (in combination with etoposide) [200] | Phase I Study for the treatment of adult patients with refractory solid malignancies Terminated (NCT00733031) |
| Repotrectinib | TRK fusion, ALK, ROS1 | CDX [201] | Approved by FDA for the treatment of adult patients with locally advanced or metastatic ROS1-positive NSCLC [202] |
| Dacomitinib | EGFR, HER2, HER4 | No data | Phase III Study for the treatment of patients with EGFR-mutated NSCLC (ARCHER 1050) More effective than crizotinib [203] |
| Osimertinib | EGFR | No data | Phase III Study for the treatment of patients with EGFR-mutated advanced NSCLC More effective than gefitinib or erlotinib [204] |
| Fexagratinib | FGFR1-3, VEGFR2 | NB cell lines [109] | Phase I/II study for the treatment of FGFR fusion-positive glioma patients Has been beneficial, although additional investigation is required [205] |
| Erdafitinib | FGFR1-3, RET, CSF1R, PDGFR, FLT4, c-KIT, VEGFR2 | PDX [107] | Approved by FDA to treat locally advanced or metastatic urothelial carcinoma [https://www.fda.gov/drugs/resources-information-approved-drugs/fda-approves-erdafitinib-locally-advanced-or-metastatic-urothelial-carcinoma] |
| Linsitinib | IGF-IR | NB cell lines [113] | Phase III Study for the treatment of patients with locally advanced or metastatic adrenocortical carcinoma No increase in overall survival shown [206] |
| AZD3463 | IGF-IR, ALK | NB cell lines [207] | Breast cancer and glioblastoma cell lines [208,209] |
| Selpercatinib | RET | No data | Phase III Study for the treatment of patients with RET fusion-positive NSCLC Significantly prolonged progression-free survival [210] |
| Pralsetinib | RET | No data | Phase III ARROW Study for the treatment of patients with RET fusion-positive solid tumours Well tolerated treatment observed [211] |
| R-getretinib | RET | NB cell lines [212] | No data |
| Tepotinib | MET, TRKA, AXL, MER | CDX [213] | Approved by FDA to treat NSCLC harbouring MET alterations [214] |
| PHA665752 | MET | NB cell lines [153] | Lung cancer CDX [215] |
| Bemcentinib | AXL, MER, TYRO3 | NB cell lines [157,216] | Phase Ib/IIb Study for the treatment of patients with AML Bemcentinib alone and plus cytarabine are safe and well-tolerated [217] |
| Dubermatinib | AXL, TYRO3, MER, Aurora A, JAK2, ALK, ABL1, VEGFR2 | CDX [218] | Phase I Study for the treatment of patients with advanced solid tumours Well tolerated treatment observed [219] |
| Sunitinib | PDGFR-B, VEGFR2, FLT3, c-KIT | CDX [220] | Approved by FDA for the treatment of renal cell cancer, GIST and pancreatic neuroendocrine tumour [14] |
| Axitinib | VEGFR1-3, PDGFR, c-KIT | Mice xenografts [221] | Approved by FDA for the treatment of RCC [14] |
Disclaimer/Publisher’s Note: The statements, opinions and data contained in all publications are solely those of the individual author(s) and contributor(s) and not of MDPI and/or the editor(s). MDPI and/or the editor(s) disclaim responsibility for any injury to people or property resulting from any ideas, methods, instructions or products referred to in the content. |
© 2025 by the authors. Licensee MDPI, Basel, Switzerland. This article is an open access article distributed under the terms and conditions of the Creative Commons Attribution (CC BY) license.
Share and Cite
Ivanenko, K.; Shaymardanov, R.; Prassolov, V.; Lebedev, T. Advances in Targeting Growth Factor Signalling in Neuroblastoma and Overcoming Drug Resistance. Cells 2026, 15, 4. https://doi.org/10.3390/cells15010004
Ivanenko K, Shaymardanov R, Prassolov V, Lebedev T. Advances in Targeting Growth Factor Signalling in Neuroblastoma and Overcoming Drug Resistance. Cells. 2026; 15(1):4. https://doi.org/10.3390/cells15010004
Chicago/Turabian StyleIvanenko, Karina, Ruslan Shaymardanov, Vladimir Prassolov, and Timofey Lebedev. 2026. "Advances in Targeting Growth Factor Signalling in Neuroblastoma and Overcoming Drug Resistance" Cells 15, no. 1: 4. https://doi.org/10.3390/cells15010004
APA StyleIvanenko, K., Shaymardanov, R., Prassolov, V., & Lebedev, T. (2026). Advances in Targeting Growth Factor Signalling in Neuroblastoma and Overcoming Drug Resistance. Cells, 15(1), 4. https://doi.org/10.3390/cells15010004

