Boron Toxicity Alters Yield, Mineral Nutrition and Metabolism in Tomato Plants: Limited Mitigation by a Laminaria digitata-Derived Biostimulant
Abstract
1. Introduction
2. Materials and Methods
2.1. Plant Material and Cultivation Conditions
2.2. Treatment with Boron and Application of Products with an Extract from the Brown Alga Laminaria digitata
2.3. Agronomic and Chemical Evaluation of Tomato Plant Fruits
2.4. Sampling of Leaves and Fruits from Tomato Plants
2.5. Mineral Analysis of Leaves and Fruits from Tomato Plants
2.6. Metabolomic Analysis of Tomato Plant Leaves and Fruits
2.7. Statistical Analysis
2.8. Generative Artificial Intelligence Statement
3. Results
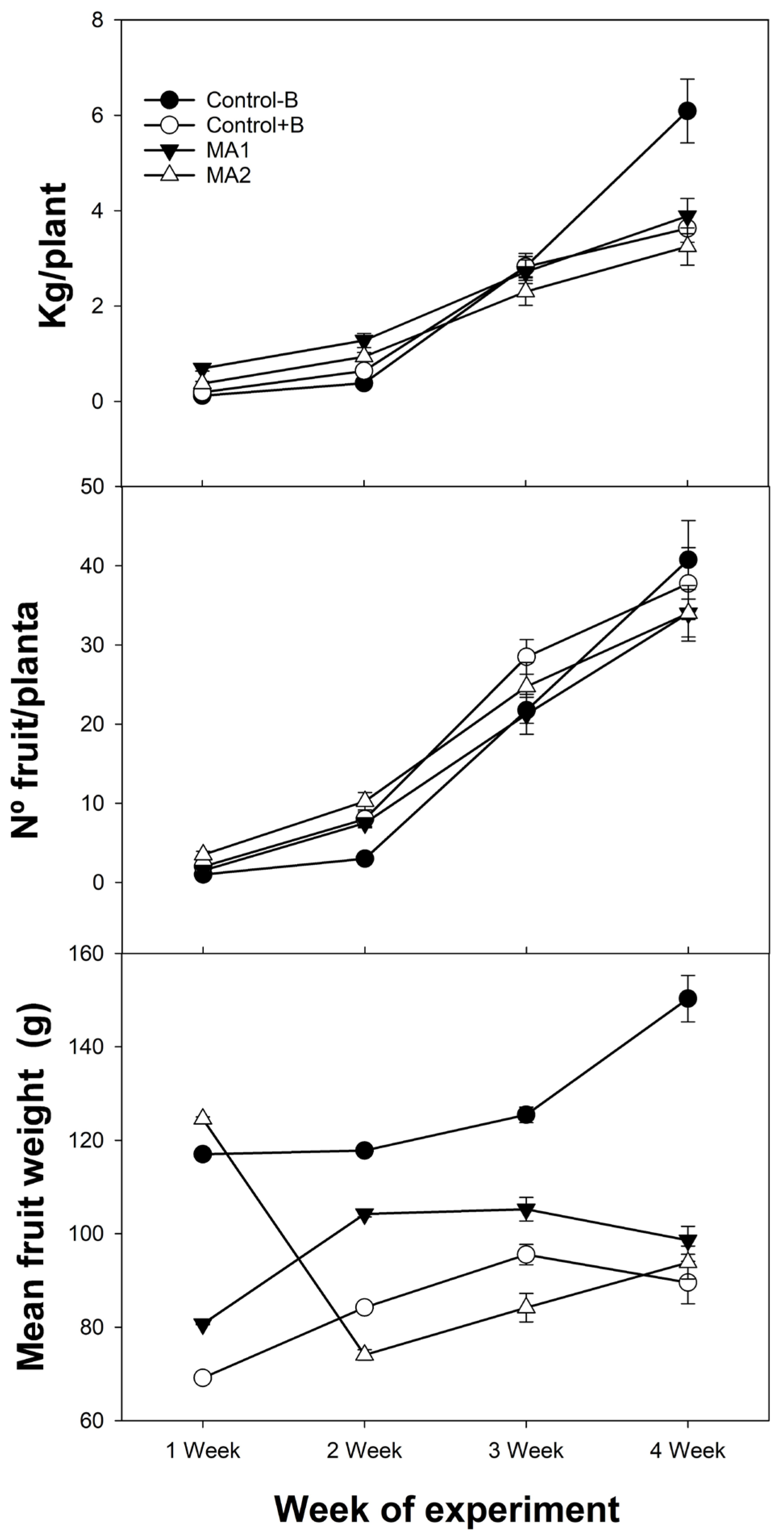
3.1. Agronomic and Chemical Evaluation of Tomato Fruits
3.2. Mineral Analysis in Leaves and Fruits of Tomato Plants
3.3. Metabolomic Study of Tomato Plant Leaves and Fruits
4. Discussion
4.1. Effects of Boron Excess on Tomato Yield and Productivity
4.2. Impact of Boron Toxicity on Fruit Quality Attributes
4.3. Boron-Induced Nutritional Imbalances and Their Physiological Implications
4.4. Boron Accumulation and Mechanistic Basis of Toxicity
4.5. Metabolic Disturbances Associated with Boron Toxicity
4.6. Role of Laminaria digitata-Based Biostimulants Under Boron Stress
5. Conclusions
Author Contributions
Funding
Data Availability Statement
Acknowledgments
Conflicts of Interest
References
- Raiola, A.; Rigano, M.M.; Calafiore, R.; Frusciante, L.; Barone, A. Enhancing the health-promoting effects of tomato fruit for biofortified food. Mediat. Inflamm. 2014, 2014, 139873. [Google Scholar] [CrossRef]
- Krishna, R.; Karkute, S.G.; Ansari, W.A.; Jaiswal, D.K.; Verma, J.P.; Singh, M. Transgenic tomatoes for abiotic stress tolerance: Status and way ahead. 3 Biotech 2019, 9, 143. [Google Scholar] [CrossRef] [PubMed]
- Nable, R.O.; Bañuelos, G.S.; Paull, J.G. Boron toxicity. Plant Soil 1997, 193, 181–198. [Google Scholar] [CrossRef]
- Cervilla, L.M.; Blasco, B.; Ríos, J.J.; Romero, L.; Ruiz, J.M. Oxidative stress and antioxidants in tomato (Solanum lycopersicum) plants subjected to boron toxicity. Ann. Bot. 2007, 100, 747–756. [Google Scholar] [CrossRef]
- Abreu-Junior, C.H.; Santos, E.F.; Alleoni, L.R.F.; Rocha, K.F.; Lavres, J. Boron dynamics in tropical agricultural systems: Availability, mobility, and interactions at the plant–soil interface. Sci. Agric. 2025, 82, e20230294. [Google Scholar] [CrossRef]
- Kaya, C.; Sarıoğlu, A.; Ashraf, M.; Alyemeni, M.N.; Ahmad, P. Gibberellic acid-induced generation of hydrogen sulfide alleviates boron toxicity in tomato (Solanum lycopersicum L.) plants. Plant Physiol. Biochem. 2020, 153, 53–63. [Google Scholar] [CrossRef]
- Chen, C.-Y.; Wang, S.-W.; Kim, H.; Pan, S.-Y.; Fan, C.; Lin, Y.J. Non-conventional water reuse in agriculture: A circular water economy. Water Res. 2021, 199, 117193. [Google Scholar] [CrossRef]
- Du Jardin, P. Plant biostimulants: Definition, concept, main categories and regulation. Sci. Hortic. 2015, 196, 3–14. [Google Scholar] [CrossRef]
- Rouphael, Y.; Colla, G. Synergistic biostimulatory action: Designing the next generation of plant biostimulants for sustainable agriculture. Front. Plant Sci. 2018, 9, 1655. [Google Scholar] [CrossRef]
- Khan, W.; Rayirath, U.P.; Subramanian, S.; Jithesh, M.N.; Rayorath, P.; Hodges, D.M.; Critchley, A.T.; Craigie, J.S.; Norrie, J.; Prithiviraj, B. Seaweed extracts as biostimulants of plant growth and development. J. Plant Growth Regul. 2009, 28, 386–399. [Google Scholar] [CrossRef]
- Stengel, D.B.; Connan, S.; Popper, Z.A. Algal chemodiversity and bioactivity: Sources of natural variability and implications for commercial application. Biotechnol. Adv. 2011, 29, 483–501. [Google Scholar] [CrossRef]
- Schiener, P.; Black, K.D.; Stanley, M.S.; Green, D.H. The seasonal variation in the chemical composition of the kelp species Laminaria digitata, Laminaria hyperborea, Saccharina latissima and Alaria esculenta. J. Appl. Phycol. 2015, 27, 363–373. [Google Scholar] [CrossRef]
- Nelson, N. A photometric adaptation of the Somogyi method for the determination of glucose. J. Biol. Chem. 1944, 153, 375–380. [Google Scholar] [CrossRef]
- Somogyi, M. Notes on sugar determination. J. Biol. Chem. 1952, 195, 19–23. [Google Scholar] [CrossRef]
- Singleton, V.L.; Orthofer, R.; Lamuela-Raventós, R.M. Analysis of total phenols and other oxidation substrates and antioxidants by means of Folin–Ciocalteu reagent. Methods Enzymol. 1999, 299, 152–178. [Google Scholar]
- Brand-Williams, W.; Cuvelier, M.E.; Berset, C. Use of a free radical method to evaluate antioxidant activity. LWT–Food Sci. Technol. 1995, 28, 25–30. [Google Scholar] [CrossRef]
- Wolf, B. Improvements in the azomethine-H method for the determination of boron. Commun. Soil Sci. Plant Anal. 1974, 5, 39–44. [Google Scholar] [CrossRef]
- van der Sar, S.; Kim, H.K.; Meissner, A.; Verpoorte, R.; Choi, Y.H. Nuclear magnetic resonance spectroscopy for plant metabolite profiling. In The Handbook of Plant Metabolomics; Wiley: New York, NY, USA, 2013; pp. 57–76. [Google Scholar]
- Alfosea-Simón, M.; Simón-Grao, S.; Zavala-Gonzalez, E.A.; Cámara-Zapata, J.M.; Simón, I.; Martínez-Nicolás, J.J.; Lidón, V.; García-Sánchez, F. Physiological, nutritional and metabolomic responses of tomato plants after the foliar application of amino acids aspartic acid, glutamic acid and alanine. Front. Plant Sci. 2021, 11, 581234. [Google Scholar] [CrossRef]
- Kaya, C.; Tuna, A.L.; Dikilitas, M.; Ashraf, M.; Koskeroglu, S.; Guneri, M. Supplementary phosphorus can alleviate boron toxicity in tomato. Sci. Hortic. 2009, 121, 284–288. [Google Scholar] [CrossRef]
- Yermiyahu, U.; Ben-Gal, A.; Sarig, P. Boron toxicity in grapevine. HortScience 2006, 41, 1698–1703. [Google Scholar] [CrossRef]
- Brown, P.H.; Shelp, B.J. Boron mobility in plants. Plant Soil 1997, 193, 85–101. [Google Scholar] [CrossRef]
- Camacho-Cristóbal, J.J.; Rexach, J.; González-Fontes, A. Boron in plants: Deficiency and toxicity. J. Integr. Plant Biol. 2008, 50, 1247–1255. [Google Scholar] [CrossRef]
- Smit, J.N.; Combrink, N.J.J. The effect of boron levels in nutrient solutions on fruit production and quality of greenhouse tomatoes. S. Afr. J. Plant Soil 2004, 21, 188–191. [Google Scholar] [CrossRef][Green Version]
- Rengel, Z.; Cakmak, I.; White, P.J. (Eds.) Marschner’s Mineral Nutrition of Plants, 4th ed.; Academic Press: London, UK, 2022. [Google Scholar] [CrossRef]
- Hernández-Pérez, O.I.; Valdez-Aguilar, L.A.; Alia-Tejacal, I.; Cartmill, A.D.; Cartmill, D.L. Tomato fruit yield, quality, and nutrient status in response to potassium: Calcium balance and electrical conductivity in the nutrient solution. J. Soil Sci. Plant Nutr. 2020, 20, 484–492. [Google Scholar] [CrossRef]
- Karantzi, A.D.; Papadakis, I.E.; Psychoyou, M.; Ioannou, D. Nutrient status of the banana cultivar ‘FHIA-01’ as affected by boron excess. Acta Hortic. 2016, 1139, 399–404. [Google Scholar] [CrossRef]
- Luo, Z.; Zhang, L.; Hu, W.; Wang, Y.; Tao, J.; Jia, Y.; Miao, R.; Chen, L.-S.; Guo, J. Excessive boron fertilization-induced toxicity is related to boron transport in field-grown pomelo trees. Front. Plant Sci. 2024, 15, 1438664. [Google Scholar] [CrossRef]
- Markiewicz, B.; Muzolf-Panek, M.; Kaczmarek, A. Effect of deficit and over-standard boron content in nutrient solution on the biological value of tomato fruit. J. Elem. 2019, 24, 961–976. [Google Scholar] [CrossRef]
- Reid, R. Can we really increase yields by making crop plants tolerant to boron toxicity? Plant Sci. 2010, 178, 9–11. [Google Scholar] [CrossRef]
- Cervilla, L.M.; Blasco, B.; Ríos, J.J.; Rosales, M.A.; Rubio-Wilhelmi, M.M.; Sánchez-Rodríguez, E.; Romero, L.; Ruiz, J.M. Response of nitrogen metabolism to boron toxicity in tomato plants. Plant Biol. 2009, 11, 671–677. [Google Scholar] [CrossRef]
- Eraslan, F.; Inal, A.; Gunes, A.; Alpaslan, M. Boron toxicity alters nitrate reductase activity, proline accumulation, membrane permeability, and mineral constituents of tomato and pepper plants. J. Plant Nutr. 2007, 30, 981–994. [Google Scholar] [CrossRef]
- Riaz, M.; Kamran, M.; El-Esawi, M.A.; Hussain, S.; Wang, X. Boron-toxicity induced changes in cell wall components, boron forms, and antioxidant defense system in rice seedlings. Ecotoxicol. Environ. Saf. 2021, 216, 112192. [Google Scholar] [CrossRef]
- Zhang, Q.; Ackah, M.; Wang, M.; Amoako, F.K.; Shi, Y.; Wang, L.; Dari, L.; Li, J.; Jin, X.; Jiang, Z.; et al. The impact of boron nutrient supply in mulberry (Morus alba) response to metabolomics, enzyme activities, and physiological parameters. Plant Physiol. Biochem. 2023, 200, 107649. [Google Scholar] [CrossRef]
- Sang, W.; Huang, Z.-R.; Qi, Y.-P.; Yang, L.-T.; Guo, P.; Chen, L.-S. An investigation of boron-toxicity in leaves of two citrus species differing in boron-tolerance using comparative proteomics. J. Proteom. 2015, 123, 128–146. [Google Scholar] [CrossRef] [PubMed]
- Chen, L.; Xia, F.; Wang, M.; Wang, W.; Mao, P. Metabolomic analyses of alfalfa (Medicago sativa L. cv. ‘Aohan’) reproductive organs under boron deficiency and surplus conditions. Ecotoxicol. Environ. Saf. 2020, 202, 111011. [Google Scholar] [CrossRef] [PubMed]
- Michailidis, M.; Bazakos, C.; Kollaros, M.; Adamakis, I.S.; Ganopoulos, I.; Molassiotis, A.; Tanou, G. Boron stimulates fruit formation and reprograms developmental metabolism in sweet cherry. Physiol. Plant. 2023, 175, e13946. [Google Scholar] [CrossRef] [PubMed]
- Zhao, S.; Huq, M.E.; Fahad, S.; Kamran, M.; Riaz, M. Boron toxicity in plants: Understanding mechanisms and developing coping strategies; a review. Plant Cell Rep. 2024, 43, 238. [Google Scholar] [CrossRef]
- Thorsen, M.K.; Woodward, S.; McKenzie, B.M. Kelp (Laminaria digitata) increases germination and affects rooting and plant vigour in crops and native plants from an arable grassland in the Outer Hebrides, Scotland. J. Coast. Conserv. 2010, 14, 239–247. [Google Scholar] [CrossRef]
- Shenker, M.; Plessner, O.E.; Tel-Or, E. Manganese nutrition effects on tomato growth, chlorophyll concentration, and superoxide dismutase activity. J. Plant Physiol. 2004, 161, 197–202. [Google Scholar] [CrossRef]
- Alloway, B.J. Zinc in Soils and Crop Nutrition; IZA and IFA: Paris, France, 2008. [Google Scholar]
- Miwa, K.; Fujiwara, T. Boron transport in plants: Co-ordinated regulation of transporters. Ann. Bot. 2010, 105, 1103–1108. [Google Scholar] [CrossRef]
- Borella, M.; Baghdadi, A.; Bertoldo, G.; Della Lucia, M.C.; Chiodi, C.; Celletti, S.; Deb, S.; Baglieri, A.; Zegada-Lizarazu, W.; Pagani, E.; et al. Transcriptomic and physiological approaches to decipher cold stress mitigation exerted by brown-seaweed extract application in tomato. Front. Plant Sci. 2023, 14, 1232421. [Google Scholar] [CrossRef]
- Di Stasio, E.; Van Oosten, M.J.; Silletti, S.; Raimondi, G.; dell’Aversana, E.; Carillo, P.; Maggio, A. Ascophyllum nodosum-based algal extracts act as enhancers of growth, fruit quality, and adaptation to stress in salinized tomato plants. J. Appl. Phycol. 2018, 30, 2675–2686. [Google Scholar] [CrossRef]


| Treatment | Production (kg Plant−1) | Average Fruit Weight (g) | Fruits (Number Plant−1) |
|---|---|---|---|
| Control −B | 6.12 * | 152.7 * | 41 |
| Control +B | 3.36 | 97.3 | 35 |
| MA1+B | 3.18 | 97.7 | 33 |
| MA2+B | 3.00 | 95.6 | 32 |
| ANOVA | ns | ns | ns |
| Treatment | Equatorial diameter (mm) | Longitudinal diameter (mm) | Firmness (kg) |
| Control −B | 66.7 * | 55.1 * | 79.9 * |
| Control +B | 58.1 | 47.1 | 73.1 |
| MA1+B | 58.8 | 46.9 | 70.4 |
| MA2+B | 76.9 | 50.6 | 74.5 |
| ANOVA | ns | ns | ns |
| Treatment | pH | EC (mS cm−1) | TSS (°Brix) | Acidity |
|---|---|---|---|---|
| Control −B | 4.29 | 4.58 | 5.40 | 5.12 |
| Control +B | 4.21 | 4.79 | 4.70 | 5.46 |
| MA1+B | 4.21 | 4.86 | 4.90 | 5.29 |
| MA2+B | 4.12 | 4.73 | 4.80 | 5.54 |
| ANOVA | ns | ns | ns | ns |
| Treatment | Reducing sugars (mg g−1 dw) | Total phenols (mg g−1 dw) | Antioxidant activity (% inhibition) | Boron (mg L−1) |
| Control −B | 41.6 | 0.24 | 2 | 3.23 * |
| Control +B | 34.4 | 0.24 | 1 | 7.62 |
| MA1+B | 34.8 | 0.27 | 1 | 9.54 |
| MA2+B | 34.7 | 0.27 | 1 | 9.04 |
| ANOVA | ns | ns | ns | ns |
| Mg | K | Ca | P | |
|---|---|---|---|---|
| Treatment | g 100 g−1 dw | |||
| Control −B | 1.24 * | 2.31 | 4.46 * | 0.29 * |
| Control +B | 0.72 | 2.48 b | 2.71 | 0.54 |
| MA1+B | 0.64 | 2.42 b | 2.87 | 0.52 |
| MA2+B | 0.64 | 3.09 a | 2.79 | 0.54 |
| ANOVA | ns | ** | ns | ns |
| Mn | Fe | Zn | ||
| Treatment | mg kg−1 dw | |||
| Control −B | 142.7 | 137.6 | 11.7 * | |
| Control +B | 140.0 b | 149.2 | 20.8 b | |
| MA1+B | 364.4 a | 145.1 | 387.7 a | |
| MA2+B | 483.1 a | 160.2 | 551.4 a | |
| ANOVA | *** | ns | *** | |
| GABA | Ala | Asn | Asp | Glu | Gln | Ile | |
|---|---|---|---|---|---|---|---|
| Treatment | mg g−1 dw | ||||||
| Control −B | 0.75 * | 0.33 * | 12.5 * | 0.85 | 1.55 * | 7.14 * | 0.40 |
| Control +B | 1.19 | 0.64 b | 4.06 a | 1.19 | 2.85 | 3.37 a | 0.22 |
| MA1+B | 0.97 | 0.77 b | 0.88 b | 1.11 | 3.18 | 2.06 b | 0.23 |
| MA2+B | 1.32 | 1.02 a | 0.92 b | 1.17 | 2.92 | 2.18 b | 0.20 |
| ANOVA | ns | ** | *** | ns | ns | * | ns |
| Leu | Phe | Pro | Thr | Trp | Tyr | Val | |
| Treatment | mg g−1 dw | ||||||
| Control −B | 0.25 | 0.40 | 0.61* | 0.35 | 0.44 | 1.06 | 0.27 |
| Control +B | 0.25 | 0.28 | 2.41 | 0.43 | 0.32 | 1.22 b | 0.22 |
| MA1+B | 0.24 | 0.28 | 2.99 | 0.37 | 0.29 | 1.44 b | 0.22 |
| MA2+B | 0.27 | 0.31 | 3.30 | 0.37 | 0.31 | 1.98 a | 0.27 |
| ANOVA | ns | ns | ns | ns | ns | * | ns |
| Cit | Fer | For | Mal | ||
|---|---|---|---|---|---|
| Treatment | mg g−1 dw | ||||
| Control −B | 12.0 * | 1.49 * | 0.02 * | 11.2 | |
| Control +B | 23.7 | 0.26 | 0.03 b | 16.2 | |
| MA1+B | 18.9 | 0.001 | 0.03 b | 12.5 | |
| MA2+B | 20.7 | 0.001 | 0.09 a | 15.7 | |
| ANOVA | ns | ns | *** | ns | |
| Fru | Glc | MI | Sac | UG | |
| Treatment | mg g−1 dw | ||||
| Control −B | 45.9 * | 30.4 * | 7.51 | 26.9 | 0.46 * |
| Control +B | 14.1 | 13.3 | 7.29 | 22.7 | 0.93 a |
| MA1+B | 10.7 | 11.8 | 6.76 | 21.3 | 0.67 b |
| MA2+B | 11.5 | 17.5 | 7.29 | 21.3 | 0.74 b |
| ANOVA | ns | ns | ns | ns | ** |
| Chl | Cho | Tri | |||
| Treatment | mg g−1 dw | ||||
| Control −B | 0.76 | 0.49 | 0.85 | ||
| Control +B | 2.24 b | 1.47 | 1.54 | ||
| MA1+B | 2.84 b | 1.27 | 1.40 | ||
| MA2+B | 4.83 a | 1.11 | 1.75 | ||
| ANOVA | * | ns | ns | ||
| GABA | Ala | Asn | Asp | Glu | Gln | Ile | |
|---|---|---|---|---|---|---|---|
| Treatment | mg g−1 dw | ||||||
| Control −B | 9.10 | 0.72 | 6.59 * | 9.21 * | 18.0 | 30.5 * | 0.54 * |
| Control +B | 10.6 | 0.71 | 10.9 | 13.5 | 27.8 | 48.5 | 1.04 |
| MA1+B | 11.6 | 0.84 | 10.2 | 13.6 | 27.7 | 45.9 | 0.91 |
| MA2+B | 9.26 | 0.70 | 9.09 | 13.5 | 24.1 | 41.8 | 0.75 |
| ANOVA | ns | ns | ns | ns | ns | ns | ns |
| Leu | Phe | Pro | Thr | Trp | Tyr | Val | |
| Treatment | mg g−1 dw | ||||||
| Control −B | 0.46 * | 1.44 | 0.36 | 1.30 * | 0.26 * | 0.18 | 0.41 |
| Control +B | 0.79 | 1.65 | 0.43 a | 1.94 | 0.47 | 0.20 | 0.48 |
| MA1+B | 0.70 | 1.66 | 0.24 b | 1.65 | 0.57 | 0.19 | 0.42 |
| MA2+B | 0.55 | 1.52 | 0.15 b | 1.56 | 0.37 | 0.18 | 0.32 |
| ANOVA | ns | ns | *** | ns | ns | ns | ns |
| Fru | Glc | Sac | Cit | Mal | |||
| Treatment | mg g−1 dw | ||||||
| Control −B | 383.9 | 293.9 | 9.32 * | 87.1 * | 10.2 * | ||
| Control +B | 345.7 | 284.7 | 1.94 | 121.7 | 16.2 | ||
| MA1+B | 348.4 | 284.8 | 2.16 | 110.8 | 14.4 | ||
| MA2+B | 365.8 | 305.2 | 5.44 | 95.3 | 13.6 | ||
| ANOVA | ns | ns | ns | ns | ns | ||
| ADP | Chl | Cho | Tri | ||||
| Treatment | mg g−1 dw | ||||||
| Control −B | 1.39 * | 0.60 | 1.22 * | 0.35 * | |||
| Control +B | 3.20 | 0.74 | 1.80 | 1.00 | |||
| MA1+B | 3.33 | 0.70 | 1.66 | 0.96 | |||
| MA2+B | 2.73 | 0.72 | 2.29 | 0.71 | |||
| ANOVA | ns | ns | ns | ns | |||
Disclaimer/Publisher’s Note: The statements, opinions and data contained in all publications are solely those of the individual author(s) and contributor(s) and not of MDPI and/or the editor(s). MDPI and/or the editor(s) disclaim responsibility for any injury to people or property resulting from any ideas, methods, instructions or products referred to in the content. |
© 2026 by the authors. Licensee MDPI, Basel, Switzerland. This article is an open access article distributed under the terms and conditions of the Creative Commons Attribution (CC BY) license.
Share and Cite
Navarro-Perez, V.; Fernandez-Martinez, E.; García-Sánchez, F.; Simón-Grao, S.; Gimeno-Nieves, V. Boron Toxicity Alters Yield, Mineral Nutrition and Metabolism in Tomato Plants: Limited Mitigation by a Laminaria digitata-Derived Biostimulant. Agronomy 2026, 16, 247. https://doi.org/10.3390/agronomy16020247
Navarro-Perez V, Fernandez-Martinez E, García-Sánchez F, Simón-Grao S, Gimeno-Nieves V. Boron Toxicity Alters Yield, Mineral Nutrition and Metabolism in Tomato Plants: Limited Mitigation by a Laminaria digitata-Derived Biostimulant. Agronomy. 2026; 16(2):247. https://doi.org/10.3390/agronomy16020247
Chicago/Turabian StyleNavarro-Perez, Valeria, Erika Fernandez-Martinez, Francisco García-Sánchez, Silvia Simón-Grao, and Vicente Gimeno-Nieves. 2026. "Boron Toxicity Alters Yield, Mineral Nutrition and Metabolism in Tomato Plants: Limited Mitigation by a Laminaria digitata-Derived Biostimulant" Agronomy 16, no. 2: 247. https://doi.org/10.3390/agronomy16020247
APA StyleNavarro-Perez, V., Fernandez-Martinez, E., García-Sánchez, F., Simón-Grao, S., & Gimeno-Nieves, V. (2026). Boron Toxicity Alters Yield, Mineral Nutrition and Metabolism in Tomato Plants: Limited Mitigation by a Laminaria digitata-Derived Biostimulant. Agronomy, 16(2), 247. https://doi.org/10.3390/agronomy16020247

