Temperature Regimes Modulate Growth and Nutritional Quality of Three African Leaf Vegetables
Abstract
1. Introduction
2. Materials and Methods
2.1. Experimental Set-Up and Plant Materials
2.2. Experimental Design
2.3. Harvest, Plant Biomass, and Leaf Area Measurement
2.4. Gas Exchange Parameters Measurement
2.5. Mineral Nutrient Analyses
2.6. Carbohydrate (Soluble Sugars and Starch) Content Determination
2.7. Extraction of Plant Metabolites
2.8. Chlorophylls and Carotenoid Analysis
2.9. Total Phenolic Compounds
2.10. Total Flavonoids Determination
2.11. Free Amino Acid Determination
2.12. Antioxidant Capacity
2.13. Statistical Analysis
3. Results
3.1. Biomass and Leaf Area
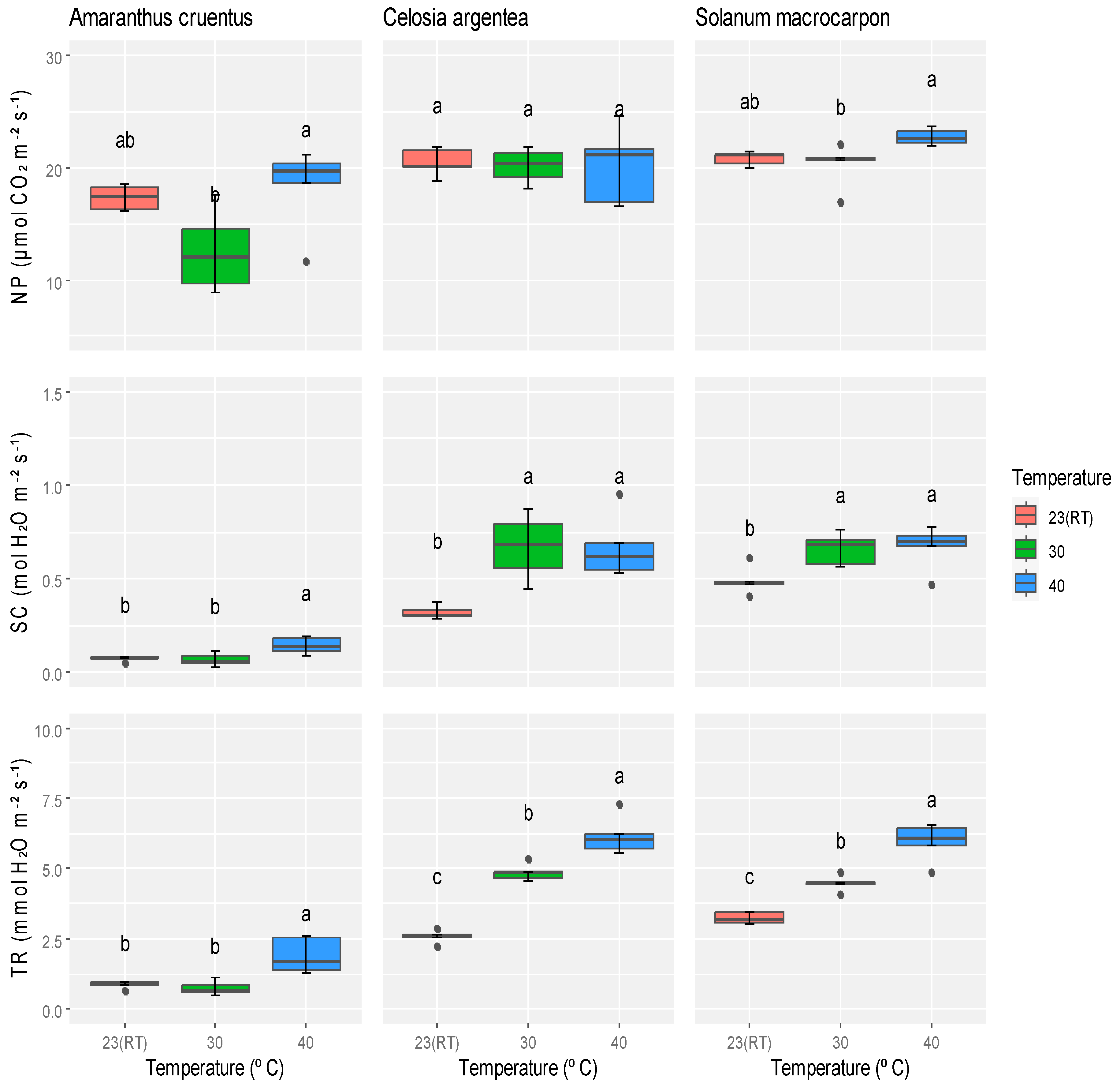
3.2. Gas Exchange Parameters Measurements
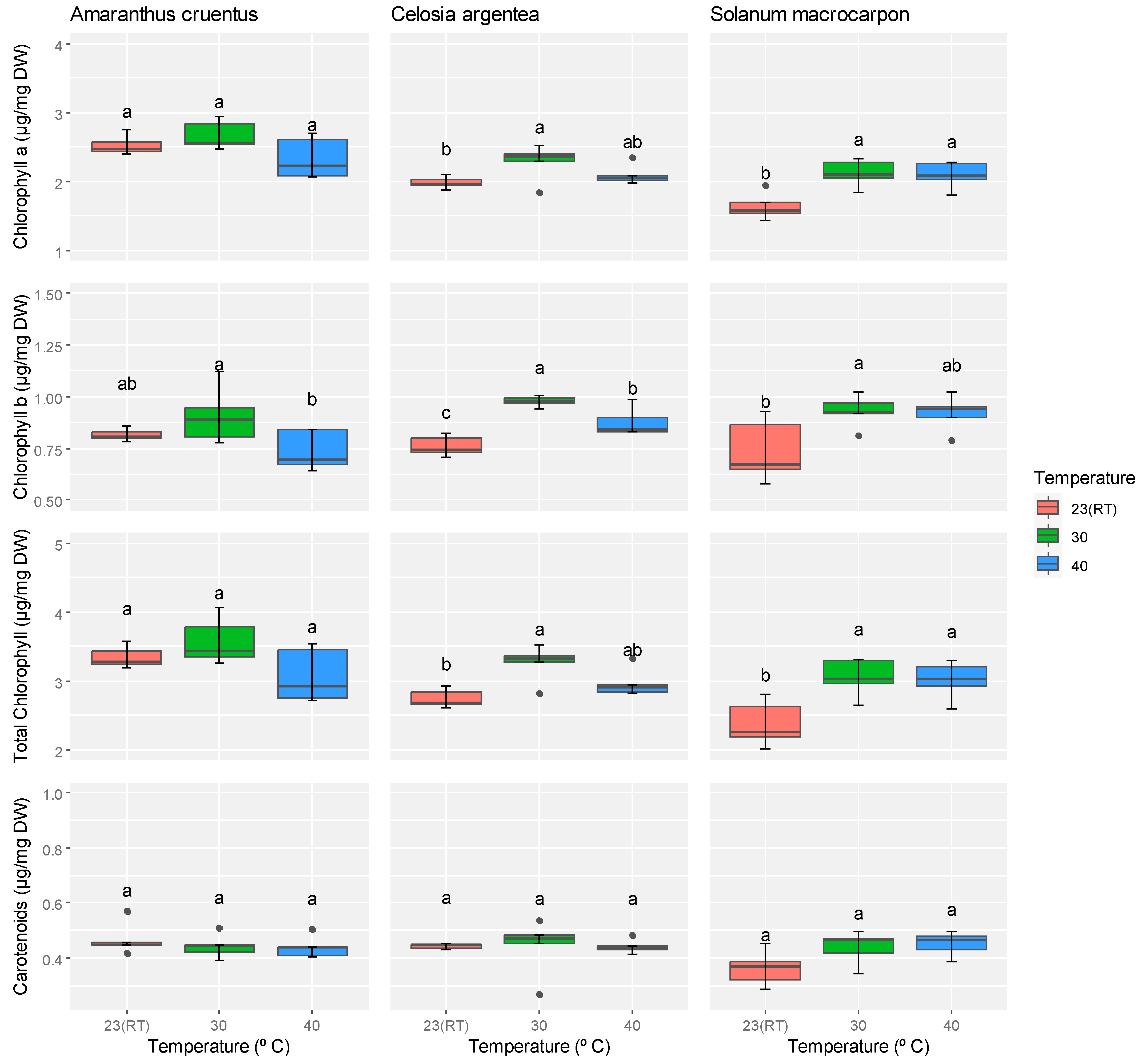
3.3. Chlorophylls and Carotenoids
3.4. Soluble Sugars and Starch (Carbohydrate)
3.5. Mineral Elements
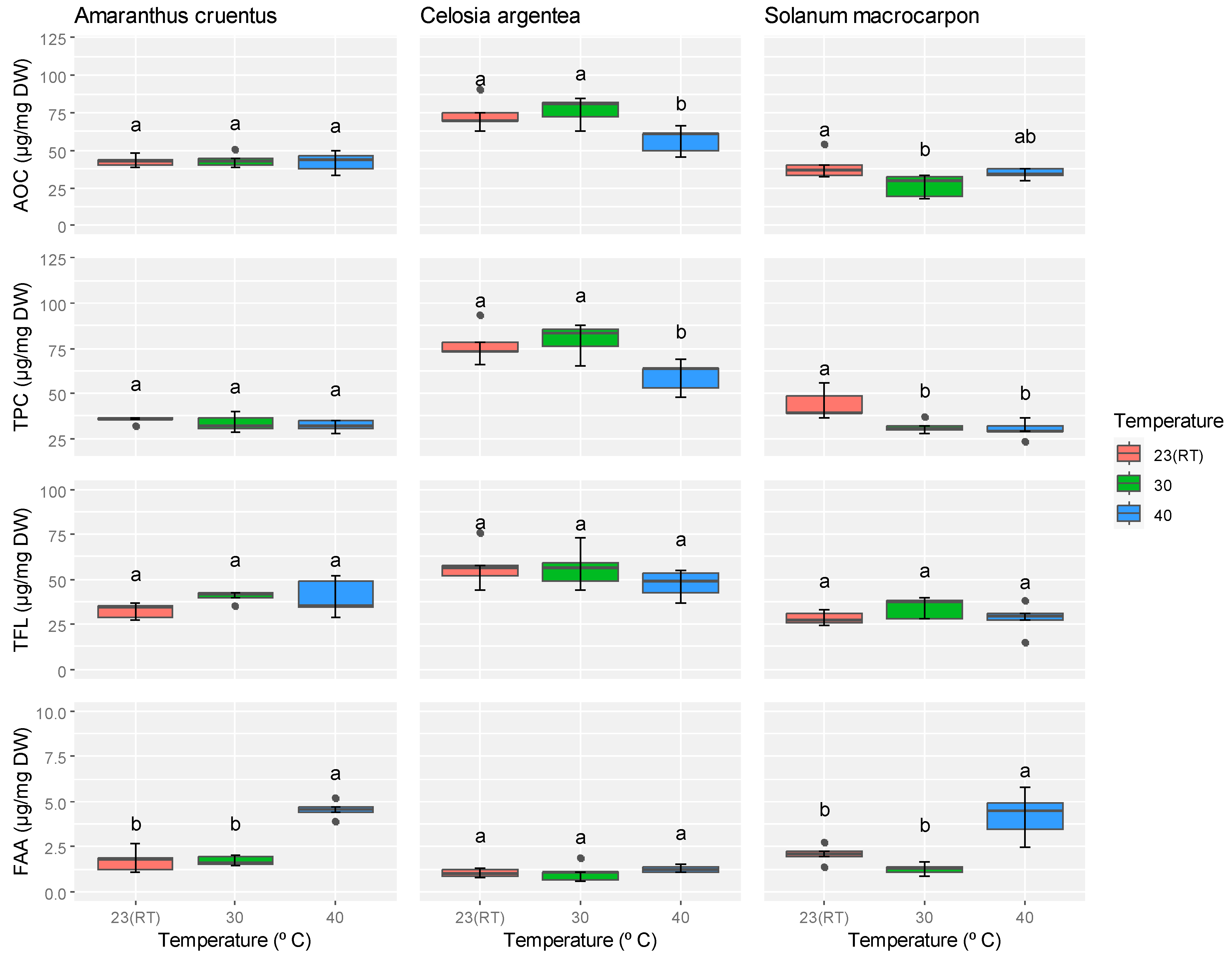
3.6. Antioxidant Capacity, Total Phenolic Compounds, Total Flavonoids, and Free Amino Acids
4. Discussion
5. Conclusions
Supplementary Materials
Author Contributions
Funding
Data Availability Statement
Acknowledgments
Conflicts of Interest
References
- Change, I.C. Mitigation of climate change. Contrib. Work. Group III Fifth Assess. Rep. Intergov. Panel Clim. Change 2014, 1454, 147. [Google Scholar] [CrossRef]
- Maino, M.R.; Emrullahu, D. Climate Change in Sub-Saharan Africa Fragile States: Evidence from Panel Estimations; International Monetary Fund: Washington, DC, USA, 2022. [Google Scholar]
- Ahmed, M.; Asim, M.; Ahmad, S.; Aslam, M. Climate change, agricultural productivity, and food security. In Global Agricultural Production: Resilience to Climate Change; Springer: Berlin/Heidelberg, Germany, 2023; pp. 31–72. [Google Scholar] [CrossRef]
- Abbass, K.; Qasim, M.Z.; Song, H.; Murshed, M.; Mahmood, H.; Younis, I. A review of the global climate change impacts, adaptation, and sustainable mitigation measures. Environ. Sci. Pollut. Res. 2022, 29, 42539–42559. [Google Scholar] [CrossRef] [PubMed]
- Naik, P.S.; Singh, M.; Ranjan, J. Impact of climate change on vegetable production and adaptation measures. In Abiotic Stress Management for Resilient Agriculture; Springer: Singapore, 2017; pp. 413–428. [Google Scholar] [CrossRef]
- Imathiu, S. Neglected and underutilized cultivated crops with respect to indigenous African leafy vegetables for food and nutrition security. J. Food Secur. 2021, 9, 115–125. [Google Scholar] [CrossRef]
- Sarker, U.; Oba, S. Protein, dietary fiber, minerals, antioxidant pigments and phytochemicals, and antioxidant activity in selected red morph Amaranthus leafy vegetable. PLoS ONE 2019, 14, e0222517. [Google Scholar] [CrossRef]
- Jiménez-Aguilar, D.M.; Grusak, M.A. Minerals, vitamin C, phenolics, flavonoids and antioxidant activity of Amaranthus leafy vegetables. J. Food Compos. Anal. 2017, 58, 33–39. [Google Scholar] [CrossRef]
- Sarker, U.; Hossain, M.M.; Oba, S. Nutritional and antioxidant components and antioxidant capacity in green morph Amaranthus leafy vegetable. Sci. Rep. 2020, 10, 1336. [Google Scholar] [CrossRef]
- Karamać, M.; Gai, F.; Longato, E.; Meineri, G.; Janiak, M.A.; Amarowicz, R.; Peiretti, P.G. Antioxidant activity and phenolic composition of amaranth (Amaranthus caudatus) during plant growth. Antioxidants 2019, 8, 173. [Google Scholar] [CrossRef]
- Ma, J.; Sun, G.; Shah, A.M.; Fan, X.; Li, S.; Yu, X. Effects of different growth stages of amaranth silage on the rumen degradation of dairy cows. Animals 2019, 9, 793. [Google Scholar] [CrossRef]
- Oluwole, S.O.; Ogun, M.L.; Adogba, N.P.; Fasuyi, D. Impacts of two different locations on the growth, proximate and mineral compositions of Celosia argentea L. and Amaranthus cruentus. Res. Anal. J. Appl. Res. 2020, 6, 2698–2705. [Google Scholar]
- Jimoh, M.; Okunlola, G.; Olatunji, O.; Olowolaju, E. Effects of Phosphorous Application on Growth Performance, Yield and Nutritional Value of Cockscomb (Celosia argentea L). J. Appl. Sci. Environ. Manag. 2020, 24, 1057–1061. [Google Scholar] [CrossRef]
- Ezechukwu, C.S.; Mbegbu, E.C.; Nwani, C.D.; Onoja, S.O.; Orji, E.A.; Ugwu, G.C.; Nnamonu, E.I.; Ugwu, G.N. Spermicidal and antioxidant potency of Solanum macrocarpon L. (African eggplant) leaf ethanol extract in albino rats. Comp. Clin. Pathol. 2024, 33, 367–377. [Google Scholar] [CrossRef]
- Khatoon, U.; Sharma, L.; Dubey, R. Assessment of bioactive compounds, antioxidative activity and quantification of phenols through HPLC in solanum species. Ethno Med 2018, 12, 87–95. [Google Scholar]
- Mcclung, C.R.; Lou, P.; Hermand, V.; Kim, J.A. The importance of ambient temperature to growth and the induction of flowering. Front. Plant Sci. 2016, 7, 1266. [Google Scholar] [CrossRef]
- Argosubekti, N. (Ed.) A review of heat stress signaling in plants. IOP Conf. Ser. Earth Environ. Sci. 2020, 484, 012041. Available online: https://iopscience.iop.org/article/10.1088/1755-1315/484/1/012041/pdf (accessed on 15 April 2025). [CrossRef]
- Aslam, M.A.; Ahmed, M.; Hassan, F.-U.; Afzal, O.; Mehmood, M.Z.; Qadir, G.; Asif, M.; Komal, S.; Hussain, T. Impact of temperature fluctuations on plant morphological and physiological traits. In Building Climate Resilience in Agriculture: Theory, Practice and Future Perspective; Springer: Cham, Switzerland, 2022; pp. 25–52. [Google Scholar] [CrossRef]
- Garcia-Caparros, P.; De Filippis, L.; Gul, A.; Hasanuzzaman, M.; Ozturk, M.; Altay, V.; Lao, M.T. Oxidative stress and antioxidant metabolism under adverse environmental conditions: A review. Bot. Rev. 2021, 87, 421–466. [Google Scholar] [CrossRef]
- Akbari, B.; Baghaei-Yazdi, N.; Bahmaie, M.; Mahdavi Abhari, F. The role of plant-derived natural antioxidants in reduction of oxidative stress. BioFactors 2022, 48, 611–633. [Google Scholar] [CrossRef]
- Giordano, M.; Petropoulos, S.A.; Rouphael, Y. Response and defence mechanisms of vegetable crops against drought, heat and salinity stress. Agriculture 2021, 11, 463. [Google Scholar] [CrossRef]
- Thuy, T.L.; Kenji, M. Effect of high temperature on fruit productivity and seed-set of sweet pepper (Capsicum annuum L.) in the field condition. J. Agric. Sci. Technol. A B Hue Univ. J. Sci. 2015, 5, 515–520. [Google Scholar] [CrossRef]
- Reyes-Rosales, A.; Cabrales-Orona, G.; Martínez-Gallardo, N.A.; Sánchez-Segura, L.; Padilla-Escamilla, J.P.; Palmeros-Suárez, P.A.; De´lano-Frier, J.P. Identification of genetic and biochemical mechanisms associated with heat shock and heat stress adaptation in grain amaranths. Front. Plant Sci. 2023, 14, 1101375. [Google Scholar] [CrossRef]
- Devasirvatham, V.; Gaur, P.; Raju, T.; Trethowan, R.; Tan, D. Field response of chickpea (Cicer arietinum L.) to high temperature. Field Crops Res. 2015, 172, 59–71. [Google Scholar] [CrossRef]
- Nevhulaudzi, T.; Ntushelo, K.; Kanu, S.A. Growth and nutritional responses of cowpea (cv. Soronko) to short-term elevated temperature. HortScience 2020, 55, 1495–1499. [Google Scholar] [CrossRef]
- Zanetta, C.U.; YRafii, M.; Jaafar, J.N.; Warkentin, T.D.; Waluyo, B.; Ramlee, S.I. Variability and assessment of interrelationships among yield and yield-related characters of pea accessions under the influence of high temperature. N. Z. J. Crop Hortic. Sci. 2023, 53, 870–888. [Google Scholar] [CrossRef]
- Bihter, O.; Bakal, H.; Gulluoglu, L.; Arioglu, H. The effects of high temperature at the growing period on yield and yield components of soybean [Glycine max (L.) Merr] varieties. Turk. J. Field Crops 2017, 22, 178–186. [Google Scholar] [CrossRef]
- Yuan, L.; Yuan, Y.; Liu, S.; Wang, J.; Zhu, S.; Chen, G.; Hou, J.; Wang, C. Influence of high temperature on photosynthesis, antioxidative capacity of chloroplast, and carbon assimilation among heat-tolerant and heat-susceptible genotypes of nonheading Chinese cabbage. HortScience 2017, 52, 1464–1470. [Google Scholar] [CrossRef]
- Hancock, R.D.; Morris, W.L.; Ducreux, L.J.; Morris, J.A.; Usman, M.; Verrall, S.R.; Fuller, J.; Simpson, C.G.; Zhang, R.; Hedley, P.E.; et al. Physiological, biochemical and molecular responses of the potato (Solanum tuberosum L.) plant to moderately elevated temperature. Plant Cell Environ. 2014, 37, 439–450. [Google Scholar] [CrossRef]
- Rykaczewska, K. The effect of high temperature occurring in subsequent stages of plant development on potato yield and tuber physiological defects. Am. J. Potato Res. 2015, 92, 339–349. [Google Scholar] [CrossRef]
- He, F.; Thiele, B.; Kraus, D.; Bouteyine, S.; Watt, M.; Kraska, T.; Schurr, U.; Kuhn, A.J. Effects of short-term root cooling before harvest on yield and food quality of Chinese broccoli (Brassica oleracea var. Alboglabra Bailey). Agronomy 2021, 11, 577. [Google Scholar] [CrossRef]
- Viola, R.; Davies, H. A microplate reader assay for rapid enzymatic quantification of sugars in potato tubers. Potato Res. 1992, 35, 55–58. [Google Scholar] [CrossRef]
- López-Hidalgo, C.; Meijón, M.; Lamelas, L.; Valledor, L. The Rainbow Protocol: A Sequential Method for Quantifying Pigments, Sugars, Free Amino Acids, Phenolics, Flavonoids, and MDA from a Small Amount of Sample; Wiley Online Library: Chichester, UK, 2021; Report No.: 0140-7791. [Google Scholar] [CrossRef]
- Lichtenthaler, H.K. Chlorophylls and carotenoids: Pigments of photosynthetic biomembranes. Methods Enzymol. 1987, 148, 350–382. [Google Scholar] [CrossRef]
- Ainsworth, E.A.; Gillespie, K.M. Estimation of total phenolic content and other oxidation substrates in plant tissues using Folin–Ciocalteu reagent. Nat. Protoc. 2007, 2, 875–877. [Google Scholar] [CrossRef]
- Huang, R.; Wu, W.; Shen, S.; Fan, J.; Chang, Y.; Chen, S.; Ye, X. Evaluation of colorimetric methods for quantification of citrus flavonoids to avoid misuse. Anal. Methods 2018, 10, 2575–2587. [Google Scholar] [CrossRef]
- Seracu, D.I. The study of UV and VIS absorption spectra of the complexes of amino acids with ninhydrin. Anal. Lett. 1987, 20, 1417–1428. [Google Scholar] [CrossRef]
- Moore, S.; Stein, W.H. A modified ninhydrin reagent for the photometric determination of amino acids and related compounds. J. Biol. Chem. 1954, 211, 907–913. [Google Scholar] [CrossRef]
- Apak, R.; Güçlü, K.; Özyürek, M.; Çelik, S.E. Mechanism of antioxidant capacity assays and the CUPRAC (cupric ion reducing antioxidant capacity) assay. Microchim. Acta 2008, 160, 413–419. [Google Scholar] [CrossRef]
- Bindi, M.; Fibbi, L.; Miglietta, F. Free Air CO2 Enrichment (FACE) of grapevine (Vitis vinifera L.): II. Growth and quality of grape and wine in response to elevated CO2 concentrations. Eur. J. Agron. 2001, 14, 145–155. [Google Scholar] [CrossRef]
- Siddiqui, M.H.; Al-Whaibi, M.H.; Firoz, M.; Al-Khaishany, M.Y. Role of nanoparticles in plants. In Nanotechnology and Plant Sciences: Nanoparticles and Their Impact on Plants; Springer: Cham, Switzerland, 2015; pp. 19–35. [Google Scholar] [CrossRef]
- Blum, A. Plant Breeding for Stress Environments; CRC Press: Boca Raton, FL, USA, 2018. [Google Scholar] [CrossRef]
- Jahan, M.S.; Guo, S.; Sun, J.; Shu, S.; Wang, Y.; Abou El-Yazied, A.; Alabdallah, N.M.; Hikal, M.; Mohammed, M.H.M.; Ibrahim, M.F.M.; et al. Melatonin-mediated photosynthetic performance of tomato seedlings under high-temperature stress. Plant Physiol. Biochem. 2021, 167, 309–320. [Google Scholar] [CrossRef] [PubMed]
- Djanaguiraman, M.; Boyle, D.; Welti, R.; Jagadish, S.; Prasad, P. Decreased photosynthetic rate under high temperature in wheat is due to lipid desaturation, oxidation, acylation, and damage of organelles. BMC Plant Biol. 2018, 18, 55. [Google Scholar] [CrossRef] [PubMed]
- Gill, S.S.; Tuteja, N. Reactive oxygen species and antioxidant machinery in abiotic stress tolerance in crop plants. Plant Physiol. Biochem. 2010, 48, 909–930. [Google Scholar] [CrossRef]
- Wang, X.; Altaf, M.A.; Hao, Y.; Wang, Z.; Zhu, G. Effect of heat stress on root architecture, photosynthesis, and antioxidant profile of water spinach (Ipomoea aquatica Forsk) seedlings. Horticulturae 2023, 9, 923. [Google Scholar] [CrossRef]
- Jahan, M.S.; Shu, S.; Wang, Y.; Chen, Z.; He, M.; Tao, M.; Sun, J.; Guo, S. Melatonin alleviates heat-induced damage of tomato seedlings by balancing redox homeostasis and modulating polyamine and nitric oxide biosynthesis. BMC Plant Biol. 2019, 19, 414. [Google Scholar] [CrossRef]
- Camejo, D.; Rodríguez, P.; Morales, M.A.; Dell’Amico, J.M.; Torrecillas, A.; Alarcón, J.J. High temperature effects on photosynthetic activity of two tomato cultivars with different heat susceptibility. J. Plant Physiol. 2005, 162, 281–289. [Google Scholar] [CrossRef]
- Pagamas, P.; Nawata, E. Sensitive stages of fruit and seed development of chili pepper (Capsicum annuum L. var. Shishito) exposed to high-temperature stress. Sci. Hortic. 2008, 117, 21–25. [Google Scholar] [CrossRef]
- Tang, R.; Niu, S.; Zhang, G.; Chen, G.; Haroon, M.; Yang, Q.; Rajora, O.P.; Qing, X. Physiological and growth responses of potato cultivars to heat stress. Botany 2018, 96, 897–912. [Google Scholar] [CrossRef]
- Heckathorn, S.A.; Giri, A.; Mishra, S.; Bista, D. Heat stress and roots. In Climate Change and Plant Abiotic Stress Tolerance; John Wiley & Sons Ltd.: Weinheim, Germany, 2013; pp. 109–136. [Google Scholar] [CrossRef]
- Khosa, Q.; uz Zaman, Q.; An, T.; Ashraf, K.; Abbasi, A.; Nazir, S.; Naz, R.; Chen, Y. Silicon-mediated improvement of biomass yield and physio-biochemical attributes in heat-stressed spinach (Spinacia oleracea). Crop Pasture Sci. 2022, 74, 230–243. [Google Scholar] [CrossRef]
- Nawaz, M.A.; Jiao, Y.; Chen, C.; Shireen, F.; Zheng, Z.; Imtiaz, M.; Bie, X.; Huang, Y. Melatonin pretreatment improves vanadium stress tolerance of watermelon seedlings by reducing vanadium concentration in the leaves and regulating melatonin biosynthesis and antioxidant-related gene expression. J. Plant Physiol. 2018, 220, 115–127. [Google Scholar] [CrossRef]
- Altaf, M.A.; Shu, H.; Hao, Y.; Mumtaz, M.A.; Lu, X.; Wang, Z. Melatonin affects the photosynthetic performance of pepper (Capsicum annuum L.) seedlings under cold stress. Antioxidants 2022, 11, 2414. [Google Scholar] [CrossRef] [PubMed]
- Koevoets, I.T.; Venema, J.H.; Elzenga, J.T.M.; Testerink, C. Roots withstanding their environment: Exploiting root system architecture responses to abiotic stress to improve crop tolerance. Front. Plant Sci. 2016, 7, 1335. [Google Scholar] [CrossRef]
- Mishra, S.; Spaccarotella, K.; Gido, J.; Samanta, I.; Chowdhary, G. Effects of heat stress on plant-nutrient relations: An update on nutrient uptake, transport, and assimilation. Int. J. Mol. Sci. 2023, 24, 15670. [Google Scholar] [CrossRef]
- Tao, M.-Q.; Jahan, M.S.; Hou, K.; Shu, S.; Wang, Y.; Sun, J.; Guo, S. Bitter melon (Momordica charantia L.) rootstock improves the heat tolerance of cucumber by regulating photosynthetic and antioxidant defense pathways. Plants 2020, 9, 692. [Google Scholar] [CrossRef]
- Körner, C. Significance of Temperature in Plant Life. In Plant Growth and Climate Change; Wiley-Blackwell: Weinheim, Germany, 2006; pp. 48–69. [Google Scholar] [CrossRef]
- Rashid, F.A.A.; Crisp, P.A.; Zhang, Y.; Berkowitz, O.; Pogson, B.J.; Day, D.A.; Masle, J.; Dewar, R.C.; Whelan, J.; Atkin, O.K.; et al. Molecular and physiological responses during thermal acclimation of leaf photosynthesis and respiration in rice. Plant Cell Environ. 2020, 43, 594–610. [Google Scholar] [CrossRef]
- Yamori, W.; Noguchi, K.; Hanba, Y.T.; Terashima, I. Effects of internal conductance on the temperature dependence of the photosynthetic rate in spinach leaves from contrasting growth temperatures. Plant Cell Physiol. 2006, 47, 1069–1080. [Google Scholar] [CrossRef] [PubMed]
- Wahid, A.; Farooq, M.; Hussain, I.; Rasheed, R.; Galani, S. Responses and management of heat stress in plants. In Environmental Adaptations and Stress Tolerance of Plants in the Era of Climate Change; Springer: New York, NY, USA, 2012; pp. 135–157. [Google Scholar] [CrossRef]
- Ahmad, P.; Prasad, M.N.V. Environmental Adaptations and Stress Tolerance of Plants in the Era of Climate Change; Springer: New York, NY, USA, 2011; Available online: https://link.springer.com/book/10.1007/978-1-4614-0815-4 (accessed on 22 April 2025).
- Haque, M.S.; Husna, M.T.; Uddin, M.N.; Hossain, M.A.; Sarwar, A.K.M.G.; Ali, O.M.; Abdel Latef, A.A.H.; Hossain, A. Heat stress at early reproductive stage differentially alters several physiological and biochemical traits of three tomato cultivars. Horticulturae 2021, 7, 330. [Google Scholar] [CrossRef]
- Wahid, A. Physiological implications of metabolite biosynthesis for net assimilation and heat-stress tolerance of sugarcane (Saccharum officinarum) sprouts. J. Plant Res. 2007, 120, 219–228. [Google Scholar] [CrossRef]
- Zhao, X.X.; Huang, L.K.; Zhang, X.Q.; Li, Z.; Peng, Y. Effects of heat acclimation on photosynthesis, antioxidant enzyme activities, and gene expression in orchardgrass under heat stress. Molecules 2014, 19, 13564–13576. [Google Scholar] [CrossRef]
- Lambers, H.; Oliveira, R.S.; Lambers, H.; Oliveira, R.S. Plant water relations. In Plant Physiological Ecology; Springer: Cham, Switzerland, 2019; pp. 187–263. [Google Scholar] [CrossRef]
- Hannachi, S.; Signore, A.; Adnan, M.; Mechi, L. Single and associated effects of drought and heat stresses on physiological, biochemical and antioxidant machinery of four eggplant cultivars. Plants 2022, 11, 2404. [Google Scholar] [CrossRef]
- Faiz, H.; Ayyub, C.M.; Khan, R.W.; Ahmad, R. Morphological, physiological and biochemical responses of eggplant (Solanum melongena L.) seedling to heat stress. Pak. J. Agric. Sci. 2020, 57, 371–380. Available online: http://bit.ly/4ewKIxw (accessed on 2 May 2025).
- Ahammed, G.J.; Xu, W.; Liu, A.; Chen, S. COMT1 silencing aggravates heat stress-induced reduction in photosynthesis by decreasing chlorophyll content, photosystem II activity, and electron transport efficiency in tomato. Front. Plant Sci. 2018, 9, 998. [Google Scholar] [CrossRef]
- Hu, S.; Ding, Y.; Zhu, C. Sensitivity and responses of chloroplasts to heat stress in plants. Front. Plant Sci. 2020, 11, 375. [Google Scholar] [CrossRef] [PubMed]
- Sun, A.-Z.; Guo, F.-Q. Chloroplast retrograde regulation of heat stress responses in plants. Front. Plant Sci. 2016, 7, 398. [Google Scholar] [CrossRef]
- Lal, M.K.; Tiwari, R.K.; Altaf, M.A.; Kumar, A.; Kumar, R. Abiotic and biotic stress in horticultural crops: Insight into recent advances in the underlying tolerance mechanism. Front. Plant Sci. 2023, 14, 1212982. [Google Scholar] [CrossRef]
- Mathur, S.; Agrawal, D.; Jajoo, A. Photosynthesis: Response to high temperature stress. J. Photochem. Photobiol. B: Biol. 2014, 137, 116–126. [Google Scholar] [CrossRef] [PubMed]
- Berry, J.; Bjorkman, O. Photosynthetic response and adaptation to temperature in higher plants. Annu. Rev. Plant Physiol. 1980, 31, 491–543. [Google Scholar] [CrossRef]
- Zhang, L.; Chang, Q.; Hou, X.; Wang, J.; Chen, S.; Zhang, Q.; Wang, Z.; Yin, Y.; Liu, J. The effect of high-temperature stress on the physiological indexes, chloroplast ultrastructure, and photosystems of two herbaceous peony cultivars. J. Plant Growth Regul. 2023, 42, 1631–1646. [Google Scholar] [CrossRef]
- Rysiak, A.; Dresler, S.; Hanaka, A.; Hawrylak-Nowak, B.; Strzemski, M.; Kováčik, J.; Sowa, I.; Latalski, M.; Wójciak, M. High temperature alters secondary metabolites and photosynthetic efficiency in Heracleum sosnowskyi. Int. J. Mol. Sci. 2021, 22, 4756. [Google Scholar] [CrossRef] [PubMed]
- Tafesse, E.G.; Warkentin, T.D.; Shirtliffe, S.; Noble, S.; Bueckert, R. Leaf pigments, surface wax and spectral vegetation indices for heat stress resistance in pea. Agronomy 2022, 12, 739. [Google Scholar] [CrossRef]
- Feng, B.; Liu, P.; Li, G.; Dong, S.; Wang, F.; Kong, L.; Zhang, J.W. Effect of heat stress on the photosynthetic characteristics in flag leaves at the grain-filling stage of different heat-resistant winter wheat varieties. J. Agron. Crop Sci. 2014, 200, 143–155. [Google Scholar] [CrossRef]
- Georgieva, K.; Lichtenthaler, H. Photosynthetic response of different pea cultivars to low and high temperature treatments. Photosynthetica 2006, 44, 569–578. [Google Scholar] [CrossRef]
- Yüzbaşıoğlu, E.; Dalyan, E.; Akpınar, I. Changes in photosynthetic pigments, anthocyanin content and antioxidant enzyme activities of maize (Zea mays L.) seedlings under high temperature stress conditions. Trak. Univ. J. Nat. Sci. 2017, 18, 97–104. Available online: https://dergipark.org.tr/en/download/article-file/328798 (accessed on 2 May 2025).
- Jahan, M.S.; Shu, S.; Wang, Y.; Hasan, M.M.; El-Yazied, A.A.; Alabdallah, N.M.; Hajjar, D.; Altaf, M.A.; Sun, J.; Guo, S. Melatonin pretreatment confers heat tolerance and repression of heat-induced senescence in tomato through the modulation of ABA-and GA-mediated pathways. Front. Plant Sci. 2021, 12, 650955. [Google Scholar] [CrossRef]
- Allakhverdiev, S.I.; Kreslavski, V.D.; Klimov, V.V.; Los, D.A.; Carpentier, R.; Mohanty, P. Heat stress: An overview of molecular responses in photosynthesis. Photosynth. Res. 2008, 98, 541–550. [Google Scholar] [CrossRef]
- Camejo, D.; Jiménez, A.; Alarcón, J.J.; Torres, W.; Gómez, J.M.; Sevilla, F. Changes in photosynthetic parameters and antioxidant activities following heat-shock treatment in tomato plants. Funct. Plant Biol. 2006, 33, 177–187. [Google Scholar] [CrossRef]
- Zhou, R.; Kjær, K.H.; Rosenqvist, E.; Yu, X.; Wu, Z.; Ottosen, C.O. Physiological response to heat stress during seedling and anthesis stage in tomato genotypes differing in heat tolerance. J. Agron. Crop Sci. 2017, 203, 68–80. [Google Scholar] [CrossRef]
- Bhattacharya, A. Effect of low temperature stress on photosynthesis and allied traits: A review. In Physiological Processes in Plants Under Low Temperature Stress; Springer: Singapore, 2022; pp. 199–297. [Google Scholar] [CrossRef]
- Murkowski, A. Heat stress and spermidine: Effect on chlorophyll fluorescence in tomato plants. Biol. Plant. 2001, 44, 53–57. [Google Scholar] [CrossRef]
- Jeon, M.-W.; Ali, M.B.; Hahn, E.-J.; Paek, K.-Y. Photosynthetic pigments, morphology and leaf gas exchange during ex vitro acclimatization of micropropagated CAM Doritaenopsis plantlets under relative humidity and air temperature. Environ. Exp. Bot. 2006, 55, 183–194. [Google Scholar] [CrossRef]
- Song, L.; Guanter, L.; Guan, K.; You, L.; Huete, A.; Ju, W.; Zhang, Y. Satellite sun-induced chlorophyll fluorescence detects early response of winter wheat to heat stress in the Indian Indo-Gangetic Plains. Glob. Change Biol. 2018, 24, 4023–4037. [Google Scholar] [CrossRef] [PubMed]
- Guo, R.; Wang, X.; Han, X.; Chen, X.; Wang-Pruski, G. Physiological and transcriptomic responses of water spinach (Ipomoea aquatica) to prolonged heat stress. BMC Genom. 2020, 21, 533. [Google Scholar] [CrossRef]
- Kaushal, N.; Awasthi, R.; Gupta, K.; Gaur, P.; Siddique, K.H.; Nayyar, H. Heat-stress-induced reproductive failures in chickpea (Cicer arietinum) are associated with impaired sucrose metabolism in leaves and anthers. Funct. Plant Biol. 2013, 40, 1334–1349. [Google Scholar] [CrossRef]
- Young, A.J. The photoprotective role of carotenoids in higher plants. Physiol. Plant. 1991, 83, 702–708. [Google Scholar] [CrossRef]
- Sandmann, G. Antioxidant protection from UV-and light-stress related to carotenoid structures. Antioxidants 2019, 8, 219. [Google Scholar] [CrossRef]
- Moradpour, M.; Abdullah, S.N.A.; Namasivayam, P. The impact of heat stress on morpho-physiological response and expression of specific genes in the heat stress-responsive transcriptional regulatory network in Brassica oleracea. Plants 2021, 10, 1064. [Google Scholar] [CrossRef] [PubMed]
- Zandalinas, S.I.; Balfagón, D.; Gómez-Cadenas, A.; Mittler, R. Plant responses to climate change: Metabolic changes under combined abiotic stresses. J. Exp. Bot. 2022, 73, 3339–3354. [Google Scholar] [CrossRef]
- Timlin, D.; Lutfor Rahman, S.; Baker, J.; Reddy, V.; Fleisher, D.; Quebedeaux, B. Whole plant photosynthesis, development, and carbon partitioning in potato as a function of temperature. Agron. J. 2006, 98, 1195–1203. [Google Scholar] [CrossRef]
- Vasseur, F.; Pantin, F.; Vile, D. Changes in light intensity reveal a major role for carbon balance in Arabidopsis responses to high temperature. Plant Cell Environ. 2011, 34, 1563–1576. [Google Scholar] [CrossRef] [PubMed]
- Harsh, A.; Sharma, Y.; Joshi, U.; Rampuria, S.; Singh, G.; Kumar, S.; Sharma, R. Effect of short-term heat stress on total sugars, proline and some antioxidant enzymes in moth bean (Vigna aconitifolia). Ann. Agric. Sci. 2016, 61, 57–64. [Google Scholar] [CrossRef]
- Raja, M.M.; Vijayalakshmi, G.; Naik, M.L.; Basha, P.O.; Sergeant, K.; Hausman, J.F.; Khan, P.S.S.V. Pollen development and function under heat stress: From effects to responses. Acta Physiol. Plant. 2019, 41, 47. [Google Scholar] [CrossRef]
- Mazzeo, M.F.; Cacace, G.; Iovieno, P.; Massarelli, I.; Grillo, S.; Siciliano, R.A. Response mechanisms induced by exposure to high temperature in anthers from thermo-tolerant and thermo-sensitive tomato plants: A proteomic perspective. PLoS ONE 2018, 13, e0201027. [Google Scholar] [CrossRef]
- Neocleous, D.; Vasilakakis, M. Antioxidant response of salt-treated strawberry plants to heat stress. Acta Hortic 2009, 838, 217–222. [Google Scholar] [CrossRef]
- Paupière, M.J.; Müller, F.; Li, H.; Rieu, I.; Tikunov, Y.M.; Visser, R.G.; Bovy, A.G. Untargeted metabolomic analysis of tomato pollen development and heat stress response. Plant Reprod. 2017, 30, 81–94. [Google Scholar] [CrossRef]
- Alhaithloul, H.A.; Soliman, M.H.; Ameta, K.L.; El-Esawi, M.A.; Elkelish, A. Changes in ecophysiology, osmolytes, and secondary metabolites of the medicinal plants of Mentha piperita and Catharanthus roseus subjected to drought and heat stress. Biomolecules 2019, 10, 43. [Google Scholar] [CrossRef]
- Li, J.; Xie, J.; Yu, J.; Lyv, J.; Zhang, J.; Ding, D.; Li, N.; Zhang, J.; Bakpa, E.P.; Yang, Y.; et al. Melatonin enhanced low-temperature combined with low-light tolerance of pepper (Capsicum annuum L.) seedlings by regulating root growth, antioxidant defense system, and osmotic adjustment. Front. Plant Sci. 2022, 13, 998293. [Google Scholar] [CrossRef] [PubMed]
- Rivero, R.M.; Mestre, T.C.; Mittler, R.; Rubio, F.; Garcia-Sanchez, F.; Martinez, V. The combined effect of salinity and heat reveals a specific physiological, biochemical and molecular response in tomato plants. Plant Cell Environ. 2014, 37, 1059–1073. [Google Scholar] [CrossRef] [PubMed]
- Zhao, Q.; Chen, W.; Bian, J.; Xie, H.; Li, Y.; Xu, C.; Ma, J.; Guo, S.; Chen, J.; Cai, X.; et al. Proteomics and phosphoproteomics of heat stress-responsive mechanisms in spinach. Front. Plant Sci. 2018, 9, 800. [Google Scholar] [CrossRef]
- Aydogan, C.; Turhan, E. Impact of heat stress on sucrose metabolism of watermelon. BIO Web Conf. 2024, 85, 01039. [Google Scholar] [CrossRef]
- Ding, X.; Jiang, Y.; Hao, T.; Jin, H.; Zhang, H.; He, L.; Zhou, Q.; Huang, D.; Hui, D.; Yu, J. Effects of heat shock on photosynthetic properties, antioxidant enzyme activity, and downy mildew of cucumber (Cucumis sativus L.). PLoS ONE 2016, 11, e0152429. [Google Scholar] [CrossRef]
- Liu, P.; Guo, W.; Jiang, Z.; Pu, H.; Feng, C.; Zhu, X.; Peng, Y.; Kuang, A.; Little, C.R. Effects of high temperature after anthesis on starch granules in grains of wheat (Triticum aestivum L.). J. Agric. Sci. 2011, 149, 159–169. [Google Scholar] [CrossRef]
- Netshimbupfe, M.H.; Berner, J.; Van Der Kooy, F.; Oladimeji, O.; Gouws, C. Influence of drought and heat stress on mineral content, antioxidant activity, and bioactive compound accumulation in four African Amaranthus species. Plants 2023, 12, 953. [Google Scholar] [CrossRef]
- El Haddad, N.; Sanchez-Garcia, M.; Visioni, A.; Jilal, A.; El Amil, R.; Sall, A.T.; Lagesse, W.; Kumar, S.; Bassi, F.M. Crop wild relatives crosses: Multi-location assessment in durum wheat, barley, and lentil. Agronomy 2021, 11, 2283. [Google Scholar] [CrossRef]
- Giri, A.; Heckathorn, S.; Mishra, S.; Krause, C. Heat stress decreases levels of nutrient-uptake and assimilation proteins in tomato roots. Plants 2017, 6, 6. [Google Scholar] [CrossRef]
- Du, Y.; Tachibana, S. Effect of supraoptimal root temperature on the growth, root respiration, and sugar content of cucumber plants. Sci. Hortic. 1994, 58, 289–301. [Google Scholar] [CrossRef]
- Hniličková, H.; Hnilička, F.; Orsák, M.; Hejnák, V. Effect of salt stress on growth, electrolyte leakage, Na+ and K+ content in selected plant species. Plant Soil Environ. 2019, 65, 90–96. Available online: https://www.agriculturejournals.cz/pdfs/pse/2019/02/06.pdf (accessed on 6 May 2025). [CrossRef]
- He, J.; See, X.E.; Qin, L.; Choong, T.W. Effects of root-zone temperature on photosynthesis, productivity, and nutritional quality of aeroponically grown salad rocket (Eruca sativa) vegetable. Am. J. Plant Sci. 2016, 7, 1993–2005. Available online: https://www.scirp.org/journal/paperinformation?paperid=71238 (accessed on 6 May 2025). [CrossRef]
- He, J.; Tan, C.; Qin, L. Root-zone heat priming effects on maximum quantum efficiency of PSII, productivity, root morphology and nutritional quality of two aeroponically grown leafy greens in a tropical greenhouse. Plants 2022, 11, 1684. [Google Scholar] [CrossRef] [PubMed]
- Zhou, R.; Kong, L.; Yu, X.; Ottosen, C.-O.; Zhao, T.; Jiang, F.; Wu, Z. Oxidative damage and antioxidant mechanism in tomatoes responding to drought and heat stress. Acta Physiol. Plant. 2019, 41, 20. [Google Scholar] [CrossRef]
- Bhattacharya, S.; Kundu, A. Sugars and sugar polyols in overcoming environmental stresses. In Protective Chemical Agents in the Amelioration of Plant Abiotic Stress: Biochemical and Molecular Perspectives; John Wiley & Sons Ltd.: Hoboken, NJ, USA, 2020; pp. 71–101. [Google Scholar] [CrossRef]
- Rivero, R.M.; Ruiz, J.M.; Garcıa, P.C.; Lopez-Lefebre, L.R.; Sánchez, E.; Romero, L. Resistance to cold and heat stress: Accumulation of phenolic compounds in tomato and watermelon plants. Plant Sci. 2001, 160, 315–321. [Google Scholar] [CrossRef]
- Balal, R.M.; Shahid, M.A.; Javaid, M.M.; Iqbal, Z.; Anjum, M.A.; Garcia-Sanchez, F.; Mattson, N.S. The role of selenium in amelioration of heat-induced oxidative damage in cucumber under high temperature stress. Acta Physiol. Plant. 2016, 38, 158. [Google Scholar] [CrossRef]
- Lee, S.G.; Choi, C.S.; Lee, H.J.; Jang, Y.A.; Lee, J.G. Effect of air temperature on growth and phytochemical content of beet and ssamchoo. Hortic. Sci. Technol. 2015, 33, 303–308. [Google Scholar] [CrossRef]
- Hasanuzzaman, M.; Nahar, K.; Alam, M.M.; Roychowdhury, R.; Fujita, M. Physiological, biochemical, and molecular mechanisms of heat stress tolerance in plants. Int. J. Mol. Sci. 2013, 14, 9643–9684. [Google Scholar] [CrossRef]
- Maghsoudlou, Y.; Asghari Ghajari, M.; Tavasoli, S. Effects of heat treatment on the phenolic compounds and antioxidant capacity of quince fruit and its tisane’s sensory properties. J. Food Sci. Technol. 2019, 56, 2365–2372. [Google Scholar] [CrossRef]
- Narra, F.; Piragine, E.; Benedetti, G.; Ceccanti, C.; Florio, M.; Spezzini, J.; Troisi, F.; Giovannoni, R.; Martelli, A.; Guidi, L. Impact of thermal processing on polyphenols, carotenoids, glucosinolates, and ascorbic acid in fruit and vegetables and their cardiovascular benefits. Compr. Rev. Food Sci. Food Saf. 2024, 23, e13426. [Google Scholar] [CrossRef]
- Trovato, M.; Funck, D.; Forlani, G.; Okumoto, S.; Amir, R. Amino acids in plants: Regulation and functions in development and stress defense. Front. Plant Sci. 2021, 12, 772810. [Google Scholar] [CrossRef]
- Tiwari, Y.K. Proline as a key player in heat stress tolerance: Insights from maize. Discov. Agric. 2024, 2, 121. [Google Scholar] [CrossRef]




| Treatments | RT (23) | 30 | 40 | p-Value | SL | |
|---|---|---|---|---|---|---|
| Leaf dry weight (g/plant) | 3.23 ± 0.50 a | 3.29 ± 0.82 a | 1.83 ± 0.55 b | 1.87 × 10−5 | *** | |
| Stem dry weight (g/plant) | 1.96 ± 0.24 a | 1.77 ± 0.49 a | 0.61 ± 0.19 b | 1.52 × 10−9 | *** | |
| A. cruentus | Shoot dry weight (g/plant) | 5.19 ± 0.70 a | 5.06 ± 1.24 a | 2.44 ± 0.72 b | 2.46 × 10−7 | *** |
| Root dry weight (g/plant) | 0.80 ± 0.18 a | 0.58 ± 0.19 b | 0.27 ± 0.10 c | 3.14 × 10−7 | *** | |
| Root/shoot | 0.20 ± 0.04 a | 0.14 ± 0.02 b | 0.13 ± 0.03 b | 1.21 × 10−4 | *** | |
| Leaf area (cm2) | 751.00 ± 56.50 b | 903.00 ± 14.00 a | 474.00 ± 167.00 c | 2.91 × 10−7 | *** | |
| C. argentea | Leaf dry weight (g/plant) | 4.64 ± 0.40 a | 4.59 ± 0.35 a | 2.77 ± 0.26 b | 3.88 × 10−13 | *** |
| Stem dry weight (g/plant) | 0.99 ± 0.20 b | 1.82 ± 0.28 a | 0.64 ± 0.15 c | 5.19 × 10−12 | *** | |
| Shoot dry weight (g/plant) | 5.63 ± 0.51 b | 6.42 ± 0.60 a | 3.41 ± 0.39 c | 6.16 × 10−13 | *** | |
| Root dry weight (g/plant) | 1.36 ± 0.15 b | 1.64 ± 0.36 a | 0.411 ± 0.12 c | 9.88 × 10−12 | *** | |
| Root/shoot | 0.29± 0.04 a | 0.29 ± 0.07 a | 0.21 ± 0.03 b | 9.66 × 10−8 | *** | |
| Leaf area (cm2) | 990.00 ± 83.50 b | 1352.00 ± 122.00 a | 829.00 ± 87.00 c | 1.22 × 10−11 | *** | |
| S. macrocarpon | Leaf dry weight (g/plant) | 2.98 ± 0.52 b | 4.66 ± 0.71 a | 3.00 ± 0.41 b | 1.73 × 10−7 | *** |
| Stem dry weight (g/plant) | 0.22 ± 0.07 c | 0.70 ± 0.15 a | 0.37 ± 0.071 b | 2.31 × 10−10 | *** | |
| Shoot dry weight(g/plant) | 3.19 + 0.58 b | 5.35 + 0.77 a | 3.37 + 0.42 b | 1.06 × 10−8 | *** | |
| Root dry weight (g/plant) | 0.60 ± 0.13 a | 0.76 ± 0.23 a | 0.41 ± 0.12 b | 3.25 × 10−4 | *** | |
| Root/shoot | 0.26 ± 0.06 a | 0.165 ± 0.04 b | 0.126 ± 0.03 b | 1.58 × 10−4 | *** | |
| Leaf area (cm2) | 600.00 ± 110.00 c | 1108.00 ± 165.00 a | 772.00 ± 110.00 b | 1.13 × 10−8 | *** |
| Treatments | RT (23) | 30 | 40 | p-Value | SL | |
|---|---|---|---|---|---|---|
| Glucose (mg/g FW) | 4.71 ± 1.00 a | 3.82 ± 2.77 a | 5.22 ± 4.19 a | 0.757 | ns | |
| Fructose (mg/g FW) | 2.09 ± 0.40 a | 2.15 ± 1.44 a | 3.96 ± 3.11 a | 0.28 | ns | |
| A. cruentus | Sucrose (mg/g FW) | 5.09 ± 1.49 a | 3.48 ± 1.70 a | 0.80 ± 0.88 b | 0.00139 | ** |
| Soluble sugar (mg/g FW) | 11.9 ± 2.58 a | 9.45 ± 5.80 a | 9.97 ± 6.91 a | 0.76 | ns | |
| Starch (mg/g FW) | 31.20 ± 20.30 a | 18.5 ± 19.90 a | 6.69 ± 4.51 a | 0.105 | ns | |
| Glucose (mg/g FW) | 20.70 ± 12.60 ab | 25.00 ± 15.00 a | 3.63 ± 3.35 b | 0.0283 | * | |
| Fructose (mg/g FW) | 7.23 ± 4.79 a | 8.88 ± 5.64 a | 1.82 ± 1.64 a | 0.061 | ns | |
| C. argentea | Sucrose (mg/g FW) | 5.05 ± 3.52 a | 6.63 ± 3.73 a | 2.20 ± 2.48 a | 0.14 | ns |
| Soluble sugar (mg/g FW) | 33.0 ± 20.00 ab | 40.50 ± 23.50 a | 7.65 ± 7.14 b | 0.0361 | * | |
| Starch (mg/g FW) | 13.30 ± 10.80 a | 18.70 ± 15.9 a | 3.07 ± 3.21 a | 0.124 | ns | |
| Glucose (mg/g FW) | 2.24 ± 1.52 a | 1.83 ± 1.80 a | 11.3 ± 22.20 a | 0.45 | ns | |
| Fructose (mg/g FW) | 1.60 ± 0.88 a | 2.16 ± 1.48 a | 3.34 ± 4.04 a | 0.559 | ns | |
| S. macrocarpon | Sucrose (mg/g FW) | 16.60 ± 6.65 a | 14.90 ± 9.73 a | 11.30 ± 6.16 a | 0.552 | ns |
| Soluble sugar (mg/g FW) | 20.40 ± 8.85 a | 18.90 ± 12.10 a | 25.90 ± 21.9 a | 0.757 | ns | |
| Starch (mg/g FW) | 16.20 ± 10.70 a | 3.33 ± 2.38 b | 3.88 ± 2.47 b | 0.0137 | * |
| Treatments | RT (23) | 30 | 40 | p-Value | SL | |
|---|---|---|---|---|---|---|
| C (%) | 38.40 ± 0.72 a | 39.00 ± 1.24 a | 38.10 ± 0.51 a | 0.304 | ns | |
| N (%) | 5.20 ± 0.17 b | 5.53 ± 0.25 b | 6.34 ± 0.22 a | 0.00000728 | *** | |
| S (%) | 0.58 ± 0.05 a | 0.58 ± 0.02 a | 0.59 ± 0.06 a | 0.929 | ns | |
| Mg (%) | 0.78± 0.07 a | 0.75 ± 0.08 a | 0.34 ± 0.05 b | 0.000000233 | *** | |
| Fe (%) | 0.01 ± 0.0009 ab | 0.02 ± 0.0012 a | 0.01 ± 0.0049 b | 0.0426 | * | |
| A. cruentus | Mn (%) | 0.02 ± 0.004 a | 0.02 ± 0.003 a | 0.01 ± 0.002 b | 0.000516 | *** |
| P (%) | 0.95 ± 0.10 b | 0.93 ± 0.05 b | 1.19 ± 0.08 a | 0.000413 | *** | |
| Zn (%) | 0.004 ± 0.0004 b | 0.004 ± 0.0004 b | 0.006 ± 0.0005 a | 0.0000136 | *** | |
| Na (%) | 0.03 ± 0.008 b | 0.05 ± 0.011 a | 0.06 ± 0.009 a | 0.00119 | ** | |
| Ca (%) | 3.80 ± 0.40 a | 3.40 ± 0.38 a | 1.99 ± 0.17 b | 0.000004 | *** | |
| K (%) | 4.29 ± 0.42 b | 4.20 ± 0.72 b | 6.70 ± 0.34 a | 0.00000703 | *** | |
| C (%) | 38.90 ± 0.78 ab | 39.70 ± 0.63 a | 37.80 ± 1.47 b | 0.048 | * | |
| N (%) | 4.21 ± 0.42 b | 4.57 ± 0.34 ab | 5.16 ± 0.29 a | 0.00385 | ** | |
| S (%) | 0.48 ± 0.12 a | 0.53 ± 0.11 a | 0.55 ± 0.07 a | 0.543 | ns | |
| Mg (%) | 0.81 ± 0.07 a | 0.80 ± 0.09 a | 0.90 ± 0.10 a | 0.205 | ns | |
| Fe (%) | 0.005 ± 0.003 b | 0.006 ± 0.001 b | 0.014 ± 0.005 a | 0.00412 | ** | |
| C. argentea | Mn (%) | 0.021 ± 0.008 a | 0.023 ± 0.007 a | 0.016 ± 0.003 a | 0.21 | ns |
| P (%) | 0.76 ± 0.05 b | 0.81 ± 0.10 ab | 0.91 ± 0.09 a | 0.0505 | ns | |
| Zn (%) | 0.007 ± 0.001 a | 0.007 ± 0.001 a | 0.019 ± 0.026 a | 0.39 | ns | |
| Na (%) | 0.025 ± 0.002 a | 0.020 ± 0.004 a | 0.014 ± 0.003 b | 0.00059 | *** | |
| Ca (%) | 3.77 ± 0.30 a | 3.45 ± 0.27 a | 2.86 ± 0.35 b | 0.00179 | ** | |
| K (%) | 3.56 ± 0.15 b | 3.19 ± 0.51 b | 5.39 ± 1.00 a | 0.000387 | *** | |
| C (%) | 38.60 ± 0.92 ab | 40.20 ± 0.43 a | 38.40 ± 1.38 b | 0.0246 | * | |
| N (%) | 5.39 ± 0.30 ab | 4.86 ± 0.51 b | 5.97 ± 0.55 a | 0.00929 | ** | |
| S (%) | 0.59 ± 0.04 b | 0.69 ± 0.06 a | 0.64 ± 0.07 ab | 0.057 | ns | |
| S. macrocarpon | Mg (%) | 0.30 ± 0.02 a | 0.33 ± 0.03 a | 0.30 ± 0.04 a | 0.294 | ns |
| Fe (%) | 0.011 ± 0.003 a | 0.013 ± 0.010 a | 0.016 ± 0.012 a | 0.708 | ns | |
| Mn (%) | 0.016 ± 0.001 ab | 0.017 ± 0.004 a | 0.011 ± 0.003 b | 0.0455 | * | |
| P (%) | 0.52 ± 0.04 b | 0.52 ± 0.04 b | 0.65 ± 0.05 a | 0.000349 | *** | |
| Zn (%) | 0.008 ± 0.001 a | 0.008 ± 0.001 a | 0.050 ± 0.093 a | 0.385 | ns | |
| Na (%) | 0.03 ± 0.01 a | 0.02 ± 0.001 a | 0.03± 0.001 a | 0.149 | ns | |
| Ca (%) | 2.66 ± 0.10 a | 2.87 ± 0.22 a | 1.85 ± 0.27 b | 0.0000121 | *** | |
| K (%) | 6.00 ± 0.67 a | 3.98 ± 0.37 b | 6.09 ± 1.02 a | 0.000962 | *** |
Disclaimer/Publisher’s Note: The statements, opinions and data contained in all publications are solely those of the individual author(s) and contributor(s) and not of MDPI and/or the editor(s). MDPI and/or the editor(s) disclaim responsibility for any injury to people or property resulting from any ideas, methods, instructions or products referred to in the content. |
© 2025 by the authors. Licensee MDPI, Basel, Switzerland. This article is an open access article distributed under the terms and conditions of the Creative Commons Attribution (CC BY) license (https://creativecommons.org/licenses/by/4.0/).
Share and Cite
Ibrahim, O.R.; He, F.; Thiele, B.; Kraska, T.; Adebooye, O.C.; Schurr, U.; Kuhn, A.J. Temperature Regimes Modulate Growth and Nutritional Quality of Three African Leaf Vegetables. Agronomy 2025, 15, 2057. https://doi.org/10.3390/agronomy15092057
Ibrahim OR, He F, Thiele B, Kraska T, Adebooye OC, Schurr U, Kuhn AJ. Temperature Regimes Modulate Growth and Nutritional Quality of Three African Leaf Vegetables. Agronomy. 2025; 15(9):2057. https://doi.org/10.3390/agronomy15092057
Chicago/Turabian StyleIbrahim, Omolara Rukayat, Fang He, Björn Thiele, Thorsten Kraska, Odunayo Clement Adebooye, Ulrich Schurr, and Arnd Jürgen Kuhn. 2025. "Temperature Regimes Modulate Growth and Nutritional Quality of Three African Leaf Vegetables" Agronomy 15, no. 9: 2057. https://doi.org/10.3390/agronomy15092057
APA StyleIbrahim, O. R., He, F., Thiele, B., Kraska, T., Adebooye, O. C., Schurr, U., & Kuhn, A. J. (2025). Temperature Regimes Modulate Growth and Nutritional Quality of Three African Leaf Vegetables. Agronomy, 15(9), 2057. https://doi.org/10.3390/agronomy15092057

