Soil-Improving Effect of Sesbania–Sorghum Rotation in a Heavily Saline–Alkaline Coastal Region
Abstract
1. Introduction
2. Materials and Methods
2.1. Study Area Description
2.2. Experimental Design
2.3. Sample Parameters Determination
2.4. Data Analysis
3. Results
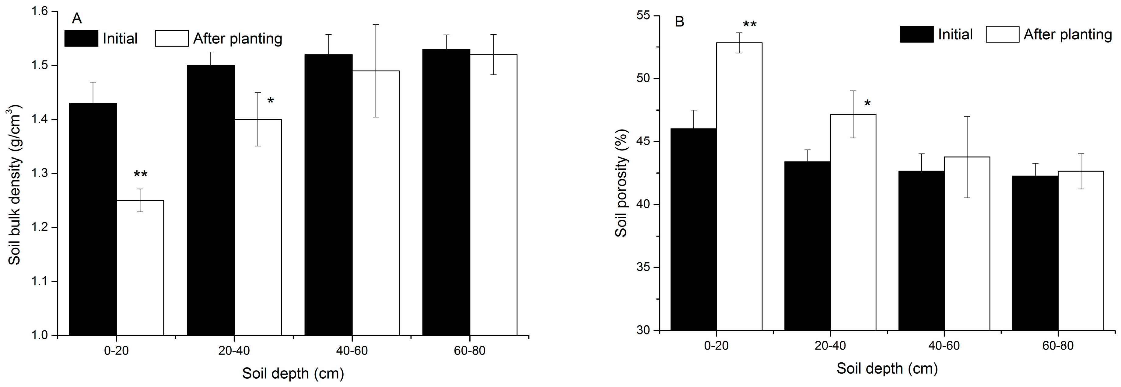
3.1. Effects of Sesbania–Sorghum Growth on Soil Structure of Coastal Saline Soils
3.2. Effects of Sesbania–Sorghum Growth on Water Infiltration in Coastal Saline Soils
3.3. Effects of Sesbania–Sorghum Growth on Soil Salt in Coastal Saline Soils
3.4. Effects of Sesbania–Sorghum Growth on Desalting and Soil Quality
3.5. Effects of Sesbania–Sorghum Growth on Soil Microorganisms
4. Discussion
4.1. Soil Property Improvement Promotes Soil Water–Salt Transport and Desalination
4.2. Environmental Factors and Agronomic Measures Affecting Salt Reduction in Soil
4.3. Growth of Salt-Tolerant Plant Affecting Desalination and Soil Quality
4.4. Soil Microorganisms Affecting Desalination and Soil Quality
5. Conclusions
Supplementary Materials
Author Contributions
Funding
Data Availability Statement
Acknowledgments
Conflicts of Interest
References
- Wang, X.; Xue, Z.; Lu, X.; Liu, Y.; Liu, G.; Wu, Z. Salt leaching of heavy coastal saline silty soil by controlling the soil matric potential. Soil Water Res. 2019, 3, 132–137. [Google Scholar] [CrossRef]
- Liu, L.; Wang, B. Protection of Halophytes and Their Uses for Cultivation of Saline-Alkali Soil in China. Biology 2021, 10, 353. [Google Scholar] [CrossRef] [PubMed]
- Zhang, B.; Wang, N. Study on the harm of saline alkali land and its improvement technology in China. IOP Conf. Ser. Earth Environ. Sci. 2020, 692, 042053. [Google Scholar] [CrossRef]
- Sun, J.; Xia, J.; Zhao, X.; Gao, F.; Zhao, W.; Xing, X.; Dong, M.; Chu, J. Enrichment of soil nutrients and salt ions with different salinities under Tamarix chinensis shrubs in the Yellow River Delta. Catena 2023, 232, 107433. [Google Scholar] [CrossRef]
- Yu, C.; Wang, G.; Liu, X.; Zhang, H.; Ma, Q.; Liu, H.; Zhang, Y.; Li, H. Effect of Sesbania and Triticale Rotation on Plant Characteristics and Soil Quality in Coastal Saline-alkaline Land: A Two-Year Field Experiment. BioResources 2023, 18, 7109. [Google Scholar] [CrossRef]
- Zhang, M.; Liu, Y.; Liu, Y.; Zhao, Y.; Yuan, F.; Chen, M. Rotation of triticale and sweet sorghum improves saline-alkali soil and increases productivity in a saline soil. Commun. Soil Sci. Plant Anal. 2023, 54, 910–925. [Google Scholar] [CrossRef]
- Farooq, M.; Ullah, N.; Nadeem, F.; Nawaz, A.; Siddique, K.H.M. Sesbania brown manuring improves soil health, productivity, and profitability of post-rice bread wheat and chickpea. Exp. Agric. 2021, 57, 145–162. [Google Scholar] [CrossRef]
- Brahim Mahamat, O.; Younes, S.; Otchom, B.B.; Franzel, S.; Ouchar Mahamat Hidjazi, A.-D.; Soumaya, E.i. A Review on Medicinal and Ethnomedicinal Uses, Biological Features, and Phytochemical Constituents of Sesbania sesban L. Merr., A Nitrogen-Fixing Plant Native to the Republic of Chad. Sci. World J. 2024, 2024, 1225999. [Google Scholar] [CrossRef] [PubMed]
- An, X.; Sun, M.; Ren, K.; Xu, M.; Wang, Z.; Li, Y.; Liu, H.; Lian, B. Effect and mechanism of the improvement of coastal silt soil by application of organic fertilizer and gravel combined with Sesbania cannabina cultivation. Front. Plant Sci. 2022, 13, 1092089. [Google Scholar] [CrossRef]
- Irin, I.; Biswas, P.; Ullah, M.; Roy, T.; Khan, M. Influence of green manuring crops on dry matter production and soil health improvement. Bangladesh Agron. J. 2019, 22, 39–45. [Google Scholar] [CrossRef]
- Zheng, Y.; Cao, X.; Zhou, Y.; Li, Z.; Yang, Y.; Zhao, D.; Li, Y.; Xu, Z.; Zhang, C.-S. Effect of planting salt-tolerant legumes on coastal saline soil nutrient availability and microbial communities. J. Environ. Manag. 2023, 345, 118574. [Google Scholar] [CrossRef] [PubMed]
- Zhang, L.; Zhou, W.; Wang, Y.; Liu, Y.; Chen, J.; Li, B.; Su, B.; Song, H. Overestimation of microbial community respiration caused by nitrification, and the identification of keystone groups associated with respiration. Front. Mar. Sci. 2024, 10, 1331680. [Google Scholar] [CrossRef]
- Demergasso, C.; Neilson, J.W.; Tebes-Cayo, C.; Véliz, R.; Ayma, D.; Laubitz, D.; Barberán, A.; Chong-Díaz, G.; Maier, R.M. Hyperarid soil microbial community response to simulated rainfall. Front. Microbiol. 2023, 14, 1202266. [Google Scholar] [CrossRef] [PubMed]
- Wang, S.; Fu, T.; Gao, H.; Han, L.; Ni, S.; Liang, H.; Liu, J. Assessment of yield, agronomic traits and nutritive value of sorghum varieties grown on highly saline-alkali soil. Pak. J. Bot. 2023, 55, 45–53. [Google Scholar] [CrossRef] [PubMed]
- Mansour, M.M.F.; Emam, M.M.; Salama, K.H.A.; Morsy, A.A. Sorghum under saline conditions: Responses, tolerance mechanisms, and management strategies. Planta 2021, 254, 24. [Google Scholar] [CrossRef]
- Guo, Z.; Zhou, H. A review of saline-alkali land resources and improvement measures. Sci. J. Humanit. Soc. Sci 2022, 4, 258–262. [Google Scholar]
- Liu, A.; Qu, Z.; Nachshon, U. On the potential impact of root system size and density on salt distribution in the root zone. Agric. Water Manag. 2020, 234, 106118. [Google Scholar] [CrossRef]
- Shaygan, M.; Baumgartl, T. Reclamation of salt-affected land: A review. Soil Syst. 2022, 6, 61. [Google Scholar] [CrossRef]
- Liu, Y.; Guo, L.; Huang, Z.; López-Vicente, M.; Wu, G.-L. Root morphological characteristics and soil water infiltration capacity in semi-arid artificial grassland soils. Agric. Water Manag. 2020, 235, 106153. [Google Scholar] [CrossRef]
- Topa, D.; Cara, I.G.; Jităreanu, G. Long term impact of different tillage systems on carbon pools and stocks, soil bulk density, aggregation and nutrients: A field meta-analysis. Catena 2021, 199, 105102. [Google Scholar] [CrossRef]
- Ren, J.; Xie, R.; Zhu, H.; Zhao, Y.; Zhang, Z. Comparative study on the abilities of different crack parameters to estimate the salinity of soda saline-alkali soil in Songnen Plain, China. Catena 2022, 213, 106221. [Google Scholar] [CrossRef]
- Karakouzian, M.; Pitchford, A.; Leonard, M.; Johnson, B. Measurements of soluble salt content of soils from arid and semi-arid regions. Geotech. Test. J. 1996, 19, 364–372. [Google Scholar] [CrossRef]
- Sarwar, A.G.; Tinne, F.J.; Islam, N.; Islam, M.M.; Haque, M.S. Effects of Salt Stress on Growth and Accumulation of Na+, K+ and Ca2+ Ions in Different Accessions of Sesbania. Bangladesh J. Bot. 2022, 51, 157–167. [Google Scholar] [CrossRef]
- Irakoze, W.; Prodjinoto, H.; Nijimbere, S.; Bizimana, J.B.; Bigirimana, J.; Rufyikiri, G.; Lutts, S. NaCl-and Na2SO4-induced salinity differentially affect clay soil chemical properties and yield components of two rice cultivars (Oryza sativa L.) in Burundi. Agronomy 2021, 11, 571. [Google Scholar] [CrossRef]
- Asad, M.; Zuhra, N.; Murtaza, G.; Shahzad, F.; Akhtar, T.; Naghman, N.; Shahbaz, U. Influence of Salinity with Different Cl−: SO42−Ratios on Wheat (Triticum aestivum L.) Growth. Int. J. Plant Soil Sci. 2022, 34, 126–139. [Google Scholar] [CrossRef]
- NY/T 85-1988; Method for Determination of Soil Organic Matter. Ministry of Agriculture and Rural Affairs of the People’s Republic of China: Beijing, China, 1989.
- Xiao, M.; Chen, C.; Yao, R.; Wang, X.; Liu, G. Response of Soil Fungal Community in Coastal Saline Soil to Short-Term Water Management Combined with Bio-Organic Fertilizer. Agronomy 2024, 14, 1441. [Google Scholar] [CrossRef]
- Du, X.-J.; Yan, B.-W.; Xu, K.; Wang, S.-Y.; Gao, Z.-D.; Ren, X.-Q.; Hu, S.-W.; Yun, W.-J. Research progress on water-salt transport theories and models in saline-alkali soil. Chin. J. Soil Sci. 2021, 52, 713–721. [Google Scholar]
- Wang, S.; Gao, P.; Zhang, Q.; Shi, Y.; Guo, X.; Lv, Q.; Wu, W.; Zhang, X.; Li, M.; Meng, Q. Biochar improves soil quality and wheat yield in saline-alkali soils beyond organic fertilizer in a 3-year field trial. Environ. Sci. Pollut. Res. 2023, 30, 19097–19110. [Google Scholar] [CrossRef] [PubMed]
- Sun, J.; Yang, R.; Li, W.; Pan, Y.; Zheng, M.; Zhang, Z. Effect of biochar amendment on water infiltration in a coastal saline soil. J. Soils Sediments 2018, 18, 3271–3279. [Google Scholar] [CrossRef]
- Basset, C.; Abou Najm, M.; Ghezzehei, T.; Hao, X.; Daccache, A. How does soil structure affect water infiltration? A meta-data systematic review. Soil Tillage Res. 2023, 226, 105577. [Google Scholar] [CrossRef]
- Zhang, K.; Miao, C.C.; Xu, Y.Y.; Hua, X.F.; Han, H.L.; Yang, J.M.; SM, R.; Zhang, H.; Huang, Z.D.; Jin, W.B. Process fundamentals and field demonstration of wheat straw enhanced salt leaching of petroleum contaminated farmland. Environ. Sci. 2009, 30, 231. [Google Scholar]
- Miksch, S.; Meiners, M.; Meyerdierks, A.; Probandt, D.; Wegener, G.; Titschack, J.; Jensen, M.A.; Ellrott, A.; Amann, R.; Knittel, K. Bacterial communities in temperate and polar coastal sands are seasonally stable. ISME Commun. 2021, 1, 29. [Google Scholar] [CrossRef] [PubMed]
- Aldeguer-Riquelme, B.; Antón, J.; Santos, F. Distribution, abundance, and ecogenomics of the Palauibacterales, a new cosmopolitan thiamine-producing order within the Gemmatimonadota phylum. Msystems 2023, 8, e00215-23. [Google Scholar] [CrossRef] [PubMed]
- Wenhao, H.; Nianzhao, W.; Jihuai, H.; Kun, Y.; Fengyun, M.; Huimei, T.; Yanping, W. The rhizosphere soil properties and bacteria community of poplar are affected by magnetic field under salt condition. Rhizosphere 2023, 27, 100747. [Google Scholar] [CrossRef]
- Wang, M.-M.; Yang, S.-Y.; Li, Q.; Zheng, Y.; Ma, H.-H.; Tu, Y.-H.; Li, W.; Cai, L. Microascaceae from the marine environment, with descriptions of six new species. J. Fungi 2024, 10, 45. [Google Scholar] [CrossRef]
- Barelli, L.; Waller, A.S.; Behie, S.W.; Bidochka, M.J. Plant microbiome analysis after Metarhizium amendment reveals increases in abundance of plant growth-promoting organisms and maintenance of disease-suppressive soil. PLoS ONE 2020, 15, e0231150. [Google Scholar] [CrossRef]
- Tuesta-Popolizio, D.A.; Velázquez-Fernández, J.B.; Rodriguez-Campos, J.; Contreras-Ramos, S.M. Thalassobacillus, a genus of extreme to moderate environmental halophiles with biotechnological potential. World J. Microbiol. Biotechnol. 2021, 37, 147. [Google Scholar] [CrossRef]
- Bai, L.; Zhang, X.; Li, B.; Sun, F.; Zhao, X.; Wang, Y.; Lu, Z.; Zhang, D.; Fang, J. Fungal communities are more sensitive to nitrogen fertilization than bacteria in different spatial structures of silage maize under short-term nitrogen fertilization. Appl. Soil Ecol. 2022, 170, 104275. [Google Scholar] [CrossRef]







| Depth | 0–20 (cm) | 20–40 (cm) | 40–60 (cm) | 60–80 (cm) | ||||
|---|---|---|---|---|---|---|---|---|
| Before | After | Before | After | Before | After | Before | After | |
| D(10) (μm) | 2.93 ± 0.1 | 4.7 ± 0.5 ** | 2.86 ± 0.2 | 4.7 ± 0.5 ** | 2.61 ± 0.1 | 3.3 ± 0.7 | 2.67 ± 0.1 | 2.6 ± 0.1 |
| D(50) (μm) | 39.1 ± 1.3 | 48.1 ± 0.8 ** | 36.6 ± 1.2 | 38.1 ± 2.2 | 35.6 ± 1.3 | 35.3 ± 3.5 | 35.2 ± 0.8 | 35.6 ± 1.3 |
| D(90) (μm) | 101.4 ± 3.9 | 110 ± 5.2 * | 96.6 ± 1.6 | 107.7 ± 1.2 * | 98.2 ± 2.7 | 99.3 ± 1.4 | 98.4 ± 2.2 | 99.8 ± 1.1 |
| Sesbania (g/kg) | Sorghum (g/kg) | Total Removal (kg/ha) * | |
|---|---|---|---|
| Ca2+ | 1.27 | 1.58 | 42.2 |
| Mg2+ | 0.11 | 0.15 | 3.8 |
| K+ | 0.03 | 0.02 | 0.8 |
| Na+ | 7.30 | 14.22 | 281.1 |
| Cl− | 11.27 | 17.02 | 396.3 |
| SO42− | 1.08 | 2.98 | 48.3 |
| HCO3− | 0.14 | 0.13 | 4.3 |
| In total | 21.22 | 36.10 | 776.9 |
Disclaimer/Publisher’s Note: The statements, opinions and data contained in all publications are solely those of the individual author(s) and contributor(s) and not of MDPI and/or the editor(s). MDPI and/or the editor(s) disclaim responsibility for any injury to people or property resulting from any ideas, methods, instructions or products referred to in the content. |
© 2024 by the authors. Licensee MDPI, Basel, Switzerland. This article is an open access article distributed under the terms and conditions of the Creative Commons Attribution (CC BY) license (https://creativecommons.org/licenses/by/4.0/).
Share and Cite
Wu, Z.; Meng, R.; Feng, W.; Li, Z.; Lu, X.; Chen, Y.; Deng, X.; Chen, T.; Xue, Z.; Wang, X. Soil-Improving Effect of Sesbania–Sorghum Rotation in a Heavily Saline–Alkaline Coastal Region. Agronomy 2024, 14, 2139. https://doi.org/10.3390/agronomy14092139
Wu Z, Meng R, Feng W, Li Z, Lu X, Chen Y, Deng X, Chen T, Xue Z, Wang X. Soil-Improving Effect of Sesbania–Sorghum Rotation in a Heavily Saline–Alkaline Coastal Region. Agronomy. 2024; 14(9):2139. https://doi.org/10.3390/agronomy14092139
Chicago/Turabian StyleWu, Zhe, Ran Meng, Wei Feng, Zhaojia Li, Xuelin Lu, Yue Chen, Xian Deng, Tiecheng Chen, Zhizhong Xue, and Xiuping Wang. 2024. "Soil-Improving Effect of Sesbania–Sorghum Rotation in a Heavily Saline–Alkaline Coastal Region" Agronomy 14, no. 9: 2139. https://doi.org/10.3390/agronomy14092139
APA StyleWu, Z., Meng, R., Feng, W., Li, Z., Lu, X., Chen, Y., Deng, X., Chen, T., Xue, Z., & Wang, X. (2024). Soil-Improving Effect of Sesbania–Sorghum Rotation in a Heavily Saline–Alkaline Coastal Region. Agronomy, 14(9), 2139. https://doi.org/10.3390/agronomy14092139
