Significant Synergy Effects of Biochar Combined with Topdressing Silicon on Cd Reduction and Yield Increase of Rice in Cd-Contaminated Paddy Soil
Abstract
1. Introduction
2. Materials and Methods
2.1. Experiment Site and Materials
2.2. Experiment Design
2.3. Analyses of Rice Plant and Soil Samples
2.4. Statistical Analyses
3. Results
3.1. Concentrations of Cd in Rice Tissues
3.2. Total and Available Cd in Soil
3.3. Enrichment and Transfer Capacity of Cd by Rice Tissues
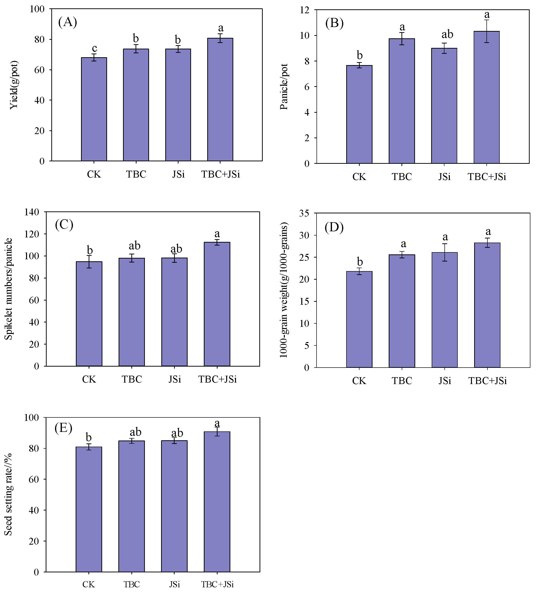
3.4. Rice Yield and Its Components
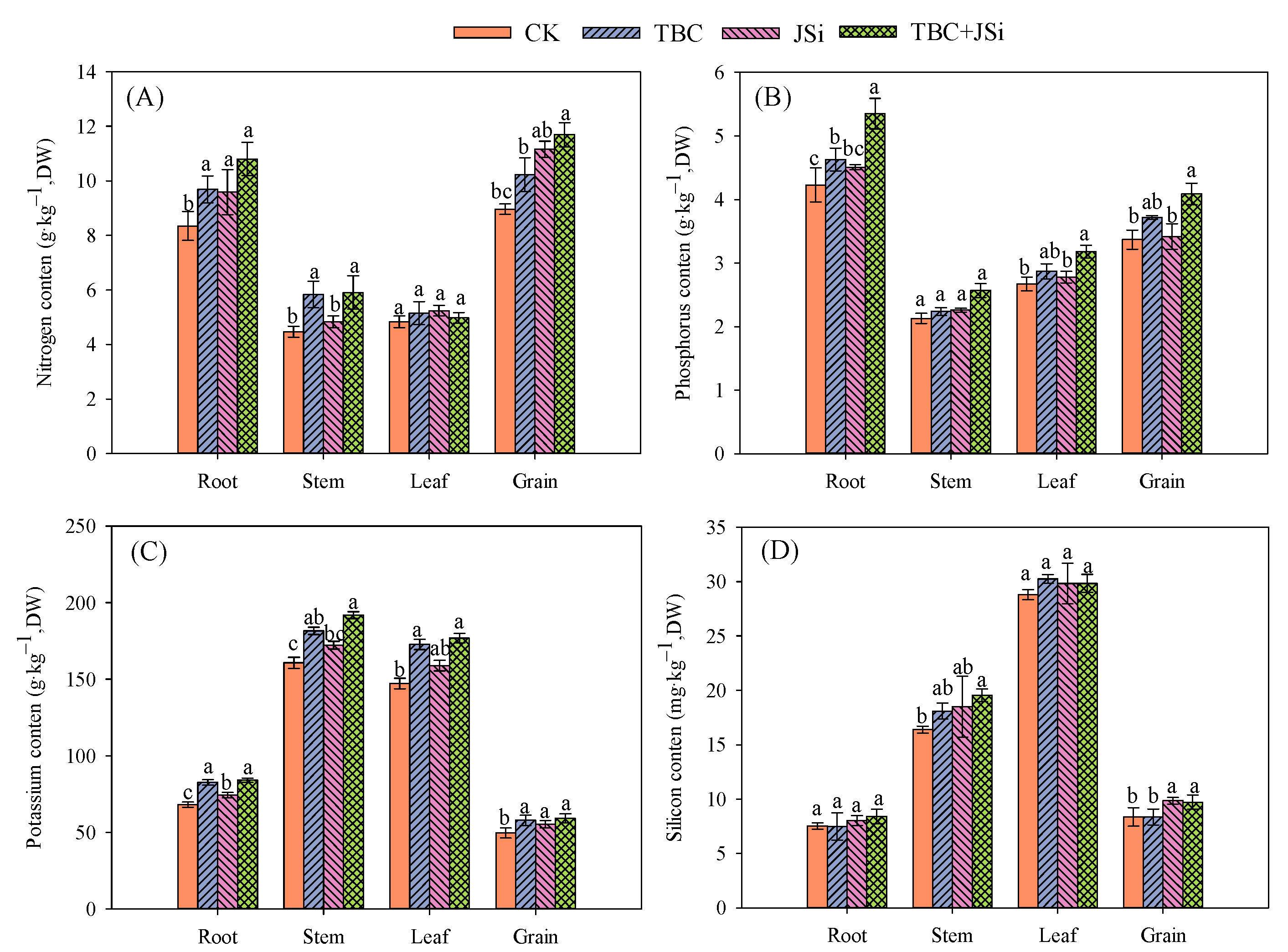
3.5. Nutrient Content in Soil and Rice Plant
3.6. Correlation Analysis of Cd in Milled Rice with Nutrients in Soil and Cd in Rice Tissues
4. Discussion
4.1. Combined Application of Biochar with Topdressing Silicon Significantly Reduced Cd Concentration in Milled Rice
4.2. Combined Application of Biochar with Topdressing Silicon Had Synergistic Effect on Rice Yield in Cd-Contaminated Soil
4.3. Combined Application of Biochar with Topdressing Silicon Improved Soil Fertility and Plant Nutrition
5. Conclusions
Supplementary Materials
Author Contributions
Funding
Data Availability Statement
Acknowledgments
Conflicts of Interest
References
- Wang, P.; Chen, H.; Kopittke, P.; Zhao, F. Cadmium contamination in agricultural soils of China and the impact on food safety. Environ. Pollut. 2019, 249, 1038–1048. [Google Scholar] [CrossRef]
- Li, Y.; Chen, W.; Yang, Y.; Wang, T.; Dai, Y. Quantifying source-specific intake risks of wheat cadmium by associating source contributions of soil cadmium with human health risk. Ecotox. Environ. Safe 2021, 228, 112982. [Google Scholar] [CrossRef]
- Yang, J.; Wang, J.; Liao, X.; Tao, H.; Li, Y. Chain modeling for the biogeochemical nexus of cadmium in soil-rice-human health system. Environ. Int. 2022, 167, 107424. [Google Scholar] [CrossRef]
- Gao, Y.; Duan, Z.; Zhang, L.; Sun, D.; Li, X. The Status and Research Progress of Cadmium Pollution in Rice- (Oryza sativa L.) and Wheat- (Triticum aestivum L.) Cropping Systems in China: A Critical Review. Toxics 2022, 10, 794. [Google Scholar] [CrossRef]
- Bouida, L.; Rafatullah, M.; Hussein, A.; Kerrouche, A.; Qutob, M.; Alosaimi, A.; Alorfi, H.; Hussein, M. A Review on Cadmium and Lead Contamination: Sources, Fate, Mechanism, Health Effects and Remediation Methods. Water 2022, 14, 3432. [Google Scholar] [CrossRef]
- Barregard, L.; Sallsten, G.; Lundh, T.; Molne, N. Low-level exposure to lead, cadmium and mercury, and histopathological findings in kidney biopsies. Environ. Res. 2022, 211, 113119. [Google Scholar] [CrossRef]
- Luo, H.; Gu, R.; Ouyang, H.; Wang, L.; Shi, S.; Ji, Y.; Bao, B.; Liao, G.; Xu, B. Cadmium exposure induces osteoporosis through cellular senescence, associated with activation of NF-kappa B pathway and mitochondrial dysfunction. Environ. Pollut. 2021, 290, 118043. [Google Scholar] [CrossRef] [PubMed]
- Ajeng, A.; Abdullah, R.; Ling, T.; Ismail, S.; Lau, B.; Ong, H.; Chew, K.; Show, P.; Chang, J. Bioformulation of biochar as a potential inoculant carrier for sustainable agriculture. Environ. Technol. Innov. 2020, 20, 101168. [Google Scholar] [CrossRef]
- Ni, N.; Kong, D.; Wu, W.; He, J.; Shan, Z.; Li, J.; Dou, Y.; Zhang, Y.; Song, Y.; Jiang, X. The Role of Biochar in Reducing the Bioavailability and Migration of Persistent Organic Pollutants in Soil–Plant Systems: A Review. Bull. Environ. Contam. Toxicol. 2020, 2, 157–165. [Google Scholar] [CrossRef] [PubMed]
- Amen, R.; Bashir, H.; Bibi, I.; Shaheen, S.; Niazi, N.; Shahid, M.; Hussain, M.; Antoniadis, V.; Shakoor, M.; Al-Solaimani, S.; et al. A critical review on arsenic removal from water using biochar-based sorbents: The significance of modification and redox reactions. Chem. Eng. J. 2020, 396, 125195. [Google Scholar] [CrossRef]
- Liu, M.; Linna, C.; Ma, S.; Ma, Q.; Guo, J.; Wang, F.; Wang, L. Effects of Biochar With Inorganic and Organic Fertilizers on Agronomic Traits and Nutrient Absorption of Soybean and Fertility and Microbes in Purple Soil. Front. Plant Sci. 2022, 13, 871021. [Google Scholar] [CrossRef]
- Zhang, S.; Gu, W.; Bai, J.; Dong, B.; Zhao, J.; Zhuang, X. Fate and health risk assessment of heavy metals in Brassica chinensis L. (pak-choi) and soil amended by sludge-based biochar. Environ. Sci. Pollut. Res. 2022, 30, 5621–5633. [Google Scholar] [CrossRef]
- Huang, H.; Luo, L.; Huang, L.; Zhang, J.; Gikas, P.; Zhou, Y. Effect of Manure Compost on Distribution of Cu and Zn in Rhizosphere Soil and Heavy Metal Accumulation by Brassica juncea. Water Air Soil Pollut. 2020, 231, 195. [Google Scholar] [CrossRef]
- Li, S.; Wang, M.; Zhao, Z.; Li, X.; Chen, S. Use of soil amendments to reduce cadmium accumulation in rice by changing Cd distribution in soil aggregates. Environ. Sci. Pollut. Res. 2019, 20, 20929–20938. [Google Scholar] [CrossRef] [PubMed]
- Zhang, M.; Shan, S.; Chen, Y.; Wang, F.; Yang, D.; Ren, J.; Lu, H.; Ping, L.; Chai, Y.J. Biochar reduces cadmium accumulation in rice grains in a tungsten mining area-field experiment: Effects of biochar type and dosage, rice variety, and pollution level. Environ. Geochem. Health 2019, 11, 43–52. [Google Scholar] [CrossRef] [PubMed]
- Ali, L.; Manzoor, N.; Li, X.; Naveed, M.; Nadeem, S.; Waqas, M.; Khalid, M.; Abbas, A.; Ahmed, T.; Li, B.; et al. Impact of Corn Cob-Derived Biochar in Altering Soil Quality, Biochemical Status and Improving Maize Growth under Drought Stress. Agronomy 2021, 11, 2300. [Google Scholar] [CrossRef]
- Liao, M.; Liang, Z.; Huang, Y.; Huang, X.; Yang, X.; Chen, S.; Xie, X.; Xu, C.; Guo, J. Effects of supplying silicon nutrient on utilization rate of nitrogen and phosphorus nutrients by rice and its soil ecological mechanism in a hybrid rice double-cropping system. J. Zhejiang Univ.-Sci. B 2020, 6, 474–484. [Google Scholar] [CrossRef] [PubMed]
- Gong, D.; Zhang, X.; Yao, J.; Dai, G.; Yu, G.; Zhu, Q.; Gao, Q.; Zheng, W. Synergistic effects of bast fiber seedling film and nano-silicon fertilizer to increase the lodging resistance and yield of rice. Sci. Rep. 2021, 11, 12788. [Google Scholar] [CrossRef] [PubMed]
- Pan, B.; Liu, B.; Cai, K.; Wang, W.; Tian, J.; Lv, W.; Cai, Y. Effects of silicon staged application on photosynthetic characteristics and matter accumulation in Cd-contaminated rice. Acta Ecol. Sin. 2022, 14, 5934–5944. [Google Scholar] [CrossRef]
- Liu, Q.; Ma, H.; Sun, Z.; Lin, X.; Zhou, X. Translocation efficiencies and allocation of nitrogen, phosphorous and potassium in rice as affected by silicon fertilizer under high daytime. J. Agron. Crop. Sci. 2019, 2, 188–201. [Google Scholar] [CrossRef]
- Kim, Y.; Khan, A.; Kim, D.; Lee, S.; Kim, K.; Waqas, M.; Jung, H.; Shin, J.; Kim, J.; Lee, I. Silicon mitigates heavy metal stress by regulating P-type heavy metal ATPases, Oryza sativa low silicon genes, and endogenous. BMC Plant Biol. 2014, 14, 13. [Google Scholar] [CrossRef] [PubMed]
- Chen, D.; Chen, D.; Xue, R.; Long, J.; Lin, X.; Lin, Y.; Jia, L.; Zeng, R.; Song, Y. Effects of boron, silicon and their interactions on cadmium accumulation and toxicity in rice plants. J. Hazard. Mater. 2019, 367, 447–455. [Google Scholar] [CrossRef]
- Babu, T.; Nagabovanalli, P. Effect of silicon amendment on soil-cadmium availability and uptake in rice grown in different moisture regimes. J. Plant Nutr. 2017, 40, 2440–2457. [Google Scholar] [CrossRef]
- Cai, Y.; Pan, B.; Liu, B.; Cai, K.; Tian, J.; Wang, W. The Cd sequestration effects of rice roots affected by different Si management in Cd-contaminated paddy soil. Sci. Total Environ. 2022, 849, 157718. [Google Scholar] [CrossRef] [PubMed]
- Pan, B.; Cai, Y.; Liu, B.; Cai, K.; Lv, W.; Tian, J.; Wang, W. Abatement of Cd in rice grain and toxic risks to human health by the split application of silicon at transplanting and jointing period. J. Environ. Manag. 2022, 302, 114039. [Google Scholar] [CrossRef] [PubMed]
- Huang, F.; Gao, L.; Wu, R.; Wang, H.; Xiao, R. Qualitative and quantitative characterization of adsorption mechanisms for Cd2+ by silicon-rich biochar. Sci. Total Environ. 2020, 731, 139163. [Google Scholar] [CrossRef] [PubMed]
- Liu, L.; Yang, X.; Ahmad, S.; Li, X.; Ri, C.; Tang, J.; Ellam, R.; Song, Z. Silicon (Si) modification of biochars from different Si-bearing precursors improves cadmium remediation Afrikaan. Chem. Eng. J. 2023, 457, 141194. [Google Scholar] [CrossRef]
- Wang, G.; Du, W.; Xu, M.; Ai, F.; Yin, Y.; Guo, H. Integrated Assessment of Cd-contaminated Paddy Soil with Application of Combined Ameliorants: A Three-Year Field Study. Bull. Environ. Contam. Toxicol. 2021, 6, 1236–1242. [Google Scholar] [CrossRef] [PubMed]
- GB 15618-2018; Soil Environmental Quality–Risk Control Standard for Soil Contamination of Agricultural Land. Chinese National Standard Agency: Beijing, China, 2018. (In Chinese)
- Cai, Y.; Zhang, S.; Cai, K.; Huang, F.; Pan, B.; Wang, W. Cd accumulation, biomass and yield of rice are varied with silicon application at different growth phases under high concentration cadmium-contaminated soil. Chemosphere 2022, 242, 125128. [Google Scholar] [CrossRef]
- Bao, S. Soil Agricultural Chemical Analysis, 3rd ed.; Agriculture Press: Beijing, China, 2000. [Google Scholar]
- Lindsay, W.; Norvell, W. Development of a DTPA soil test for zinc, iron, manganese, and copper. Soil Sci. Soc. Am. J. 1978, 42, 421–428. [Google Scholar] [CrossRef]
- Pueyo, M.; Mateu, J.; Rigol, A.; Vidal, M.; López-Sánchez, J.; Rauret, G. Use of the modified BCR three-step sequential extraction procedure for the study of trace element dynamics in contaminated soils. Environ. Pollut. 2008, 2, 330–341. [Google Scholar] [CrossRef]
- Fan, J.; Jiang, J.; Zhang, L.; Li, Y.; Zhan, Y.; Lan, Y.; Sun, S.; Fan, X. Response of alkaline functional fertilizer on Cd absorption and transportation in soil-rice system. Ecol. Indic. 2022, 145, 109584. [Google Scholar] [CrossRef]
- Zhang, J.; Tan, Z.; Huang, Q. Study on principles and mechanisms of new biochar passivation of cadmium in soil. Biochar 2021, 3, 61–173. [Google Scholar] [CrossRef]
- Lv, G.; Yang, T.; Chen, Y.; Hou, H.; Liu, X.; Li, J.; Wei, L.; Li, J. Biochar-based fertilizer enhanced Cd immobilization and soil quality in soil-rice system. Ecol. Eng. 2021, 171, 106396. [Google Scholar] [CrossRef]
- Gartler, J.; Robinson, B.; Burton, K.; Clucas, L. Carbonaceous soil amendments to biofortify crop plants with zinc. Sci. Total Environ. 2013, 465, 308–313. [Google Scholar] [CrossRef]
- Chen, R.; Zhang, C.; Zhao, Y.; Huang, Y.; Liu, Z. Foliar application with nano-silicon reduced cadmium accumulation in grains by inhibiting cadmium translocation in rice plants. Environ. Sci. Pollut. Res. 2018, 25, 2361–2368. [Google Scholar] [CrossRef]
- Luo, W.; Ma, J.; Khan, M.; Liao, S.; Ruan, Z.; Liu, H.; Zhong, B.; Zhu, Y.; Duan, L.; Fu, L.; et al. Cadmium accumulation in rice and its bioavailability in paddy soil with application of silicon fertilizer under different water management regimes. Soil Use Manag. 2021, 2, 299–306. [Google Scholar] [CrossRef]
- GB 2762-2017; China Food and Drug Administration. National Health and Family Planning Commission: Beijing, China, 2017. (In Chinese)
- Sui, F.; Wang, J.; Zuo, J.; Joseph, S.; Munroe, P.; Drosos, M.; Li, L.; Pan, G. Effect of amendment of biochar supplemented with Si on Cd mobility and rice uptake over three rice growing seasons in an acidic Cd-tainted paddy from central South China. Sci. Total Environ. 2020, 709, 136101. [Google Scholar] [CrossRef] [PubMed]
- Wang, Y.; Zhang, K.; Lu, L.; Xiao, X.; Chen, B. Novel insights into effects of silicon-rich biochar (Sichar) amendment on cadmium uptake, translocation and accumulation in rice plants. Environ. Pollut. 2020, 265, 114772. [Google Scholar] [CrossRef]
- Wei, W.; Peng, H.; Xie, Y.; Wang, X.; Huang, R.; Chen, H.; Ji, X. The role of silicon in cadmium alleviation by rice root cell wall retention and vacuole compartmentalization under different durations of Cd exposure. Ecotox. Environ. Saf. 2021, 226, 112810. [Google Scholar] [CrossRef]
- Nepal, J.; Ahmad, W.; Munsif, F.; Khan, A.; Zou, Z. Advances and prospects of biochar in improving soil fertility, biochemical quality, and environmental applications. Front. Environ. Sci. 2023, 11, 1114752. [Google Scholar] [CrossRef]
- Zhang, A.; Bian, R.; Li, L.; Wang, X.; Zhao, Y.; Hussain, Q.; Pan, G. Enhanced rice production but greatly reduced carbon emission following biochar amendment in a metal-polluted rice paddy. Environ. Sci. Pollut. Res. 2015, 23, 18977–18986. [Google Scholar] [CrossRef]
- Nan, Q.; Wang, C.; Wang, H.; Yi, Q.; Liang, B.; Xu, J.; Wu, W. Biochar drives microbially-mediated rice production by increasing soil carbon. J. Hazard. Mater. 2020, 387, 121680. [Google Scholar] [CrossRef]
- Chaiwong, N.; Pusadee, T.; Jamjod, S.; Prom-U-Thai, C. Silicon Application Promotes Productivity, Silicon Accumulation and Upregulates Silicon Transporter Gene Expression in Rice. Plants 2022, 11, 989. [Google Scholar] [CrossRef]
- Sattar, A.; Sher, A.; Abourehab, M.; Ijaz, M.; Nawaz, M.; Ul-Allah, S.; Abbas, T.; Shah, A.; Imam, M.; Abdelsalam, N.; et al. Application of silicon and biochar alleviates the adversities of arsenic stress in maize by triggering the morpho-physiological and antioxidant defense mechanisms. Front. Environ. Sci. 2022, 11, 979049. [Google Scholar] [CrossRef]
- Prendergast-Miller, M.; Duvall, M.; Sohi, S. Biochar-root interactions are mediated by biochar nutrient content and impacts on soil nutrient availability. Eur. J. Soil Sci. 2014, 1, 173–185. [Google Scholar] [CrossRef]
- Ding, Y.; Liu, Y.; Liu, S.; Li, Z.; Tan, X.; Huang, X.; Zeng, G.; Zhou, L.; Zheng, B. Biochar to improve soil fertility. A review. Agron. Sustain. Dev. 2016, 36, 36. [Google Scholar] [CrossRef]
- Zhao, P.; Yu, J.; Zhang, X.; Ren, Z.; Li, M.; Han, S. Trifolium repens and biochar addition affecting soil nutrients and bacteria community. Environ. Sci. Pollut. Res. 2023, 12, 33927–33941. [Google Scholar] [CrossRef] [PubMed]
- Anjum, Z.; Min, Q.; Riaz, L.; Waqar-Un-Nisa, S.; Qadeer, S.; Saleem, A. Employment of Cannabis sativa biochar to improve soil nutrient pool and metal immobilization. Front. Environ. Sci. 2022, 10, 1011820. [Google Scholar] [CrossRef]
- Pan, B.; Wang, W.; Liu, B.; Cai, K.; Tian, J.; Cai, Y. Significant difference in the efficacies of silicon application regimes on cadmium species and environmental risks in rice rhizosphere. Environ. Pollut. 2023, 327, 121521. [Google Scholar] [CrossRef] [PubMed]
- Das, S.; Gwon, H.; Khan, M.; Jeong, S.; Kim, P. Steel slag amendment impacts on soil microbial communities and activities of rice (Oryza sativa L.). Sci. Rep. 2020, 10, 6746. [Google Scholar] [CrossRef] [PubMed]
- Hossain, M.; Bahar, M.; Sarkar, B.; Donne, S.; OK, Y.; Palansooriya, K.; Kirkham, M.; Chowdhury, S.; Bolan, N. Biochar and its importance on nutrient dynamics in soil and plant. Biochar 2020, 4, 379–420. [Google Scholar] [CrossRef]
- Jinger, D.; Dhar, S.; Dass, A.; Sharma, V.; Paramesh, V.; Parihar, M.; Joshi, E.; Singhal, V.; Gupta, G.; Prasad, D.; et al. Co-fertilization of Silicon and Phosphorus Influences the Dry Matter Accumulation, Grain Yield, Nutrient Uptake, and Nutrient-Use Efficiencies of Aerobic Rice. Silicon 2022, 9, 4683–4697. [Google Scholar] [CrossRef]
- Rea, R.; Islam, M.; Rahman, M.; Nath, B.; Mix, K. Growth, Nutrient Accumulation, and Drought Tolerance in Crop Plants with Silicon Application: A Review. Sustainability 2022, 8, 4525. [Google Scholar] [CrossRef]
- Mahmoud, A.; Samy, M.; Sany, H.; Eid, R.; Rashad, H.; Abdeldaym, E. Nanopotassium, Nanosilicon, and Biochar Applications Improve Potato Salt Tolerance by Modulating Photosynthesis, Water Status, and Biochemical Constituents. Sustainability 2022, 2, 723. [Google Scholar] [CrossRef]
- Raza, M.; Haider, I.; Saleem, M.; Iqbal, R.; Aslam, M.; Ahmad, S.; Abbasi, S. Integrating Biochar, Rhizobacteria and Silicon for Strenuous Productivity of Drought Stressed Wheat. Commun. Soil Sci. Plant Anal. 2021, 4, 338–352. [Google Scholar] [CrossRef]






| Treatments | BCFCd | TFCd | |||||
|---|---|---|---|---|---|---|---|
| Root | Stem | Leaf | Milled Rice | Root→Stem | Stem→Leaf | Leaf→Milled Rice | |
| CK | 1.49 ± 0.09 a | 0.16 ± 0.03 a | 0.12 ± 0.01 a | 0.11 ± 0.05 a | 0.11 ± 0.02 a | 0.74 ± 0.06 c | 0.93 ± 0.09 a |
| TBC | 1.01 ± 0.02 b | 0.09 ± 0.01 b | 0.12 ± 0.02 a | 0.07 ± 0.004 b | 0.11 ± 0.03 a | 1.36 ± 0.12 b | 0.58 ± 0.04 b |
| JSi | 0.78 ± 0.05 c | 0.10 ± 0.07 ab | 0.14 ± 0.01 a | 0.06 ± 0.005 bc | 0.13 ± 0.01 a | 1.35 ± 0.18 b | 0.45 ± 0.06 bc |
| TBC + JSi | 0.86 ± 0.04 c | 0.09 ± 0.03 b | 0.15 ± 0.01 a | 0.05 ± 0.003 c | 0.10 ± 0.02 a | 1.74 ± 0.21 a | 0.36 ± 0.03 c |
Disclaimer/Publisher’s Note: The statements, opinions and data contained in all publications are solely those of the individual author(s) and contributor(s) and not of MDPI and/or the editor(s). MDPI and/or the editor(s) disclaim responsibility for any injury to people or property resulting from any ideas, methods, instructions or products referred to in the content. |
© 2024 by the authors. Licensee MDPI, Basel, Switzerland. This article is an open access article distributed under the terms and conditions of the Creative Commons Attribution (CC BY) license (https://creativecommons.org/licenses/by/4.0/).
Share and Cite
Su, X.; Cai, Y.; Pan, B.; Li, Y.; Liu, B.; Cai, K.; Wang, W. Significant Synergy Effects of Biochar Combined with Topdressing Silicon on Cd Reduction and Yield Increase of Rice in Cd-Contaminated Paddy Soil. Agronomy 2024, 14, 568. https://doi.org/10.3390/agronomy14030568
Su X, Cai Y, Pan B, Li Y, Liu B, Cai K, Wang W. Significant Synergy Effects of Biochar Combined with Topdressing Silicon on Cd Reduction and Yield Increase of Rice in Cd-Contaminated Paddy Soil. Agronomy. 2024; 14(3):568. https://doi.org/10.3390/agronomy14030568
Chicago/Turabian StyleSu, Xianglan, Yixia Cai, Bogui Pan, Yongqi Li, Bingquan Liu, Kunzheng Cai, and Wei Wang. 2024. "Significant Synergy Effects of Biochar Combined with Topdressing Silicon on Cd Reduction and Yield Increase of Rice in Cd-Contaminated Paddy Soil" Agronomy 14, no. 3: 568. https://doi.org/10.3390/agronomy14030568
APA StyleSu, X., Cai, Y., Pan, B., Li, Y., Liu, B., Cai, K., & Wang, W. (2024). Significant Synergy Effects of Biochar Combined with Topdressing Silicon on Cd Reduction and Yield Increase of Rice in Cd-Contaminated Paddy Soil. Agronomy, 14(3), 568. https://doi.org/10.3390/agronomy14030568

