Next Article in Journal
Remediation of Cadmium and Lead in Mine Soil by Ameliorants and Its Impact on Maize (Zea mays L.) Cultivation
Next Article in Special Issue
Phenylalanine Ammonia-Lyase-Mediated Differential Response of Tomato (Solanum lycopersicum L.) Cultivars with Different Stress Tolerance to Treatment with Low-Molecular-Weight Chitosan
Previous Article in Journal
Elevating Sorghum Prosperity: Unveiling Growth Trends through Phosphate-Solubilizing Bacteria and Arbuscular Mycorrhizal Fungi Inoculation in Phosphate-Enriched Substrates
 
 
Font Type:
Arial Georgia Verdana
Font Size:
Aa Aa Aa
Line Spacing:
Column Width:
Background:
Article

Prohexadione-Calcium Mitigates the Overgrowth of Corn Seedlings

1
Department of Crop Science, Chungbuk National University, Cheongju 28644, Republic of Korea
2
Department of Industrial Plant Science and Technology, Chungbuk National University, Cheongju 28644, Republic of Korea
*
Authors to whom correspondence should be addressed.
These authors contributed equally to this work.
Agronomy 2024, 14(2), 371; https://doi.org/10.3390/agronomy14020371
Submission received: 15 January 2024 / Revised: 12 February 2024 / Accepted: 13 February 2024 / Published: 14 February 2024

Abstract

In the temperate climate of South Korea, specific corn varieties are cultivated using plug trays. The cultivation process is initiated from February to March within greenhouse facilities, maintaining a temperature below 10 degrees Celsius. Following this, in April, seedlings are transplanted to enable an exceptionally early harvest for increased profitability. However, the subsequent elevation in indoor temperatures leads to seedling overgrowth. This study explores the effectiveness of three plant growth regulators—paclobutrazol, prohexadione-calcium, and diniconazole–on super sweet corn seedlings. Significantly, the application of prohexadione-calcium at 2 ppm during the first leaf stage substantially reduces seedling height and impedes the growth of both the first and second internodes. This impact extends to leaf-related traits, manifesting reductions in the area, length, and width of the third leaf. Furthermore, prohexadione-calcium induces a significant decrease in both fresh and dried shoot weight, while simultaneously augmenting root weight. This alteration results in a noteworthy shift in the root–shoot ratio, particularly at 2 ppm. Subsequent experiments have identified the optimal concentration of prohexadione-calcium at 15 ppm, effectively mitigating overgrowth in both hybrid and inbred corn varieties. These findings provide essential insights for practitioners seeking to efficiently manage corn seedling overgrowth. The study contributes to understanding the retardant effect of prohexadione-calcium on various morphological traits, offering practical applications for optimizing plant growth regulator concentrations in corn cultivation strategies.

1. Introduction

Corn (Zea mays L.) is the third most significant grain crop globally, serving as a primary energy source in livestock feed. Its versatile applications extend to the production of various food and industrial products, such as starch, corn oil, industrial alcohol, and biofuel [1]. Over the last 5 years, South Korea has exhibited an average grain demand of approximately 19.5 million tons (https://fas.usda.gov/data/south-korea-grain-and-feed-update-21) (accessed on 12 February 2024). However, domestic production only meets 5.2 million tons of this demand, necessitating imports to cover the remaining 14.3 million tons. Notably, South Korea annually imports 8.5 million tons of corn. The cultivation area for corn in South Korea is modest, totaling 27,000 hectares [2]. Within this, 16,000 hectares are dedicated to waxy and sweet corn for fresh vegetable production, while the remaining 11,000 hectares serve for grain and silage purposes [2]. While waxy corn has been around for decades in South Korea, the cultivation of fresh sweet corn has witnessed increased popularity over the last 5 years [2]. These fresh corn varieties have become lucrative assets for rural agriculture areas and prices are particularly advantageous, especially when sold from early June for a month based on individual communication with farmers.
In the temperate climate of South Korea, the sowing period for corn is typically from late April to early May after the last frost has passed in most regions. For fresh corn, to maximize profits through early harvesting, sowing in plug trays is carried out and seedlings are still nurtured indoors in the chilly months of February and March, with transplanting in April when the weather warms up. However, as indoor greenhouse temperature rises, there is a tendency for seedling overgrowth (seedling elongation). Overgrowth is characterized by long and weak stems, narrow leaves, and a pale yellow color [3]. While research has been conducted on the effects of growth inhibitors, known as plant growth retardants (PGRs), to prevent seedling elongation in various crops, there is a lack of such research results, particularly in fresh waxy and sweet corn [4].
Plant growth retardants (PGRs) are synthetic or naturally extracted organic compounds used to regulate growth and development processes in plants. The exogenous application of various plant growth regulators is widespread in crops due to their advantages of minimal secondary pollution and significant effects in small amounts. PGRs are employed to modify plant growth, such as increasing branching, suppressing shoot growth, promoting return bloom, removing excess fruit, or altering fruit maturity. Several factors influence the performance of PGRs, including absorption by the plant, tree vigor and age, dosage, timing, cultivar, weather conditions, and various concentrations of the compounds [4,5,6,7].
Various chemicals, such as paclobutrazol (PBZ), diniconazole (DIN), and prohexadione-calcium (Pro-Ca), are globally used as common PGRs. PBZ belongs to the triazole family and possesses growth-regulating properties. The effects of PBZ on plant growth are mediated by changes in the levels of essential plant hormones, including gibberellins (Gas), abscisic acid (ABA), and cytokinins (CK) [8]. DIN is a triazole-based growth regulator known for inhibiting plant height [9]. Triazoles as an active ingredient of DIN, in general, inhibit GA biosynthesis, resulting in suppressed plant growth [10]. Pro-Ca is a calcium salt containing equal numbers of prohexadione (2−) and Ca (2+) ions, which is a group of endogenous hormones largely responsible for regulating terminal growth in grain cereals. Pro-Ca, considered one of the most novel synthetic PGRs, has demonstrated effects on various crops, including rice [11] and wheat [12].
In Korea, the Positive List System (PLS) has been in effect since 2016 under the Ministry of Agriculture, Food and Rural Affairs. It is a regulatory framework that generally prohibits the use of pesticides not registered domestically or those lacking established maximum residue limits (MRLs) (https://fas.usda.gov/data/south-korea-koreas-positive-list-system-veterinary-drugs) (accessed on 12 February 2024). As of 2023, growth inhibitors such as PBZ, DIN, and Pro-Ca have not been registered for use or excluded from use in PLS under this regulation. This is due to a lack of research conducted on their effectiveness for corn.
Therefore, this experiment was undertaken with the primary objectives of (i) assessing the efficacy of commercially available growth inhibitors on sweet corn seedlings and (ii) determining the optimal concentration for the controlled application of growth inhibitors to alleviate seedling overgrowth under greenhouse conditions. Additionally, the study aimed to investigate the impact of the growth inhibitor treatment on post-transplantation agronomic traits.

2. Materials and Methods

Two super sweet corn lines were tested, comprising a hybrid (Geumdang) and an inbred line (PNS42w). The 162 seeds were sown in plastic 162-plug trays measuring 530 × 280 × 45 mm, filled with the agricultural growing media. The trays were placed in a greenhouse located on the campus of Chungbuk National University, South Korea (at a latitude of 36°37′49.404″ N, longitude of 127°27′7.34″ E, and an altitude of 26.43 m). Inside the greenhouse, temperatures ranged from 20 to 30 degrees Celsius, humidity remained at approximately 60 to 70%, and no supplemental light sources were used. Post-planting, all trays were watered to maintain soil humidity at around 70 to 80%.
Commercially available growth regulators containing 5% DIN, 0.39% PBZ, and 20% Pro-Ca as the active ingredients were evaluated in this study. All three PGRs are not registered for corn and there is no recommended concentration for their application. Table 1 summarizes the PGRs used and doses applied at a 100% concentration level in this study.
To evaluate the efficacy of PGRs, the hybrid cultivar, Geumdang, was sown on 1 April 2022, in 162-plug trays, and nurtured in the greenhouse throughout the experiment. Each chemical had two concentration regimes (100% vs. 200%) with the untreated control, making it a total of seven treatments (Control, PBZ 0.5 PPM, PBZ 1 PPM, Pro-Ca 1 PPM, Pro-Ca 2 PPM, DIN 0.5 PPM, and DIN 1 PPM). Chemical solutions were applied at a volume of 50 mL for each 162-plug tray when seedlings reached the one-leaf stage by a hand-sprayer (single-strip experiment). Each tray was considered a replication and there were three replications per treatment. Seven days after treatment, five seedlings were randomly selected for data collection. The following traits were measured: seedling height, stem diameter, length of internodes, fresh and dry weight of shoots and roots, area, length, and width of all individual leaves (CI-202 Portable laser leaf area meter, CID Bio-Science, Inc., Camas, WA, USA). The dissected seedlings were freeze-dried at −70 °C for 72 h for the dry weight of shoots and roots (MCFD-808, ilShinBioBase, Dongducheon-si, Republic of Korea).
To determine the optimal concentration of Pro-Ca, a hybrid cultivar, Geumdang, and an inbred line, PNS42w, were planted on 10 June 2022, and nurtured in the same methods as above. There were 7 concentrations of Pro-Ca treatments (2 PPM, 6 PPM, 9 PPM, 12 PPM, 15 PPM, 18 PPM, and 21 PPM) with the untreated control (0 PPM). All other methods, such as the number of replications, number of seedlings sampled, traits measured, etc., were the same as the above experiment.
Analysis of variance (ANOVA) was conducted to assess treatment differences, followed by Tukey’s Honestly Significant Difference (HSD) for mean separation. The analysis was carried out using the R programming language in RStudio (PBC, Boston, MA, USA, Version 4.1.2) [13]. Pearson correlation analysis was conducted on the leaf area, length, and width.

3. Results

3.1. Evaluation of Growth Regulator Efficacy on Corn Seedlings

Three PGRs at two different doses were tested on a super sweet corn hybrid, Geumdang, at the one-leaf stage. The efficacy was measured on morphological traits seven days after the treatment. Pro-Ca at 2 PPM demonstrated a significant reduction in seedling height (23.6 ± 1.9 cm) compared to the control seedling (28.6 ± 2.7 cm) (Figure 1A). All other PGR treatments had no discernible effects. There was no statistical difference in stem width among all treatments (Figure 1B). Regarding the length of internodes, Pro-Ca at 2 PPM inhibited the growth of both the first (2.5 ± 0.14 cm) and second (2.1 ± 0.30 cm) internodes significantly when compared to the control (Figure 1C,D). Except for Pro-Ca at 2 PPM, no significant reduction was observed for all other PGRs. Pro-Ca at 2 PPM appeared to have a stronger effect on the second internode than the first (Figure 1).
We measured leaf-related traits to investigate the retardant effect of the PGRs on individual leaves. Up to the third leaf was fully extended at the time of observation. The first and second leaves were not affected by all the treatments while some of the treatments on the third leaf had the retardant effect on all three traits (Figure 2). The leaf area and width on the third leaf were the traits significantly reduced only by Pro-Ca. The leaf area was affected by both Pro-Ca 1 and 2 PPM while the leaf width was decreased significantly by Pro-Ca 1 PPM. The leaf length on the third leaf, on the other hand, was not only affected by Pro-Ca 1 and 2 PPM but also by PBZ 1 PPM and DIN 0.5 PPM, significantly. Correlation analyses among the leaf area, length, and width on the third leaf indicated that leaf area had a positive correlation with leaf length (r = 0.77, p < 0.001) and leaf width (r = 0.65, p < 0.001) but no significant correlation was found between leaf length and width.
Figure 3 illustrates seedling weights measured for fresh and dried shoots and roots separately. Pro-Ca at concentrations of 1 PPM and 2 PPM significantly reduced the fresh weights of the shoot by 15.4% and 23.7%, and the dried weights by 20.6% and 28.3%, respectively. Conversely, the fresh weight of the root was significantly increased by 17.44% and the dried weight by 30.7%, respectively, when treated with Pro-Ca at 2 PPM. There were no significant weight changes in fresh shoots treated with PBZ and DIN. No change was also observed with the dried weight of the root, except for PBZ 1 PPM on the shoot and PBZ 1 PPM and DIN 1 PPM on the root.
The decrease in shoot weight and increase in root weight treated by Pro-Ca resulted in the greatest change in the root–shoot ratio in both fresh and dried weights. The root–shoot ratio was defined as the percentage of the root weight divided by the sum of the shoot and root weights. While the fresh weight of the root–shoot ratio from all treatments except Pro-Ca 2 PPM stayed at around 50%, that of Pro-Ca 2 PPM reached 59.7% (Figure 4A). A similar trend was observed for the dried weight of the ratio with Pro-Ca 2 PPM (55.0%) while the ratio stayed below 50% for all other treatments (Figure 4B).

3.2. The Optimal Concentration of Prohexadione-Calcium

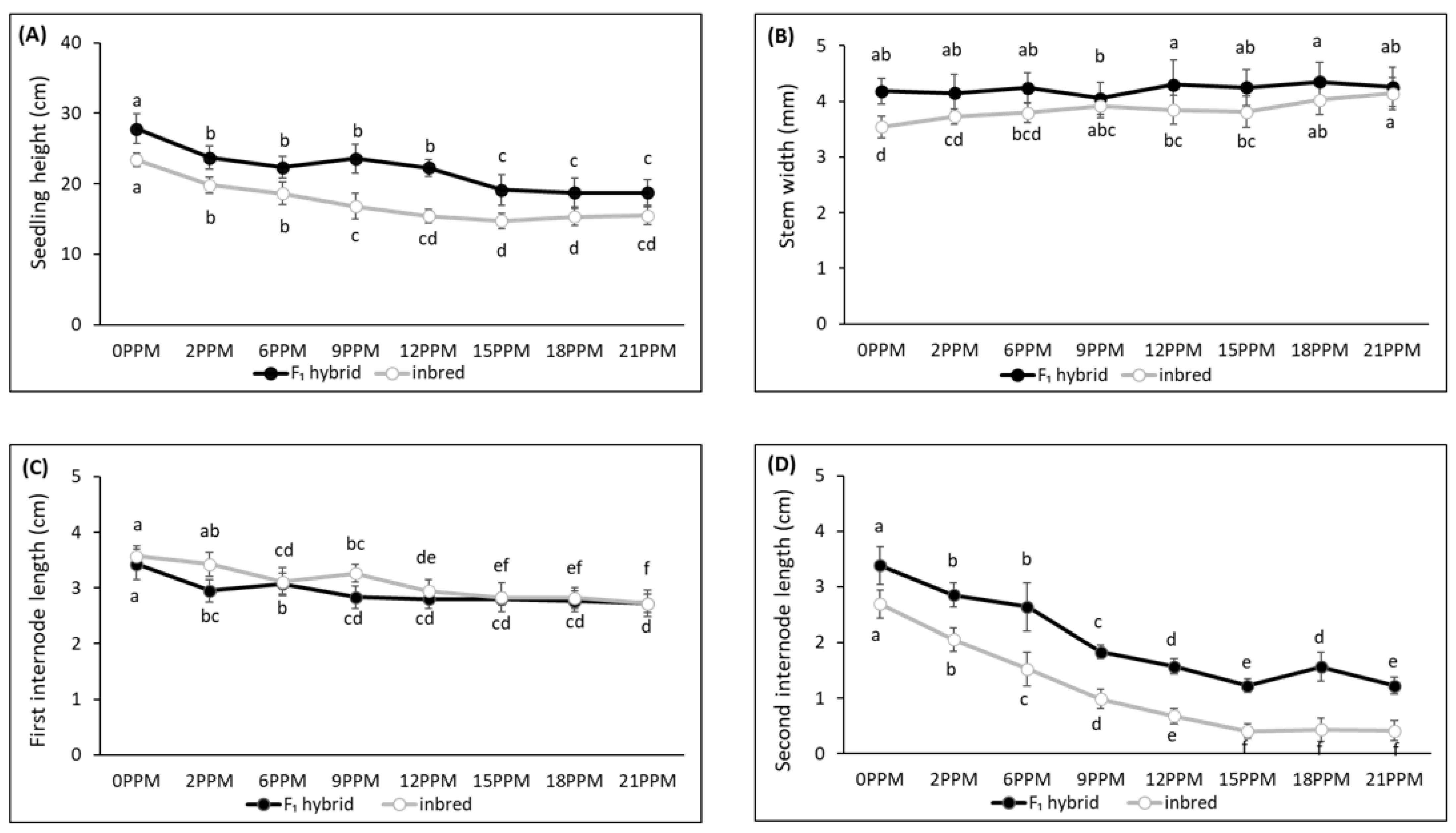
Based on the aforementioned results, Pro-Ca emerged as the most effective growth inhibitor in comparison to PBZ and DIN. In the next step, we set up an experiment to determine the optimal concentration of the Pro-Ca application to regulate corn seedling overgrowth. The experiment employed not only the hybrid line (Geumdang) but also a super sweet corn inbred line (PNS42w) to investigate how differences in seedling vigor due to heterosis would be affected by different concentrations of the growth inhibitor. Figure 5 summarizes changes in seedling height (Figure 5A), stem width (Figure 5B), and internode length (Figure 5C,D), of the hybrid and inbred at different concentrations of the Pro-Ca application. Overall, a gradual decrease in the seedling height and the length of internodes was observed as the concentration of Pro-Ca increased to 12 PPM in both hybrid and inbred lines, most notably in the second internode length (Figure 5A,D). Pro-Ca at 12 PPM and higher, however, did not result in a significant growth inhibition effect in most traits for both lines. The stem width of the hybrid stayed the same as in the previous experiment whereas it had a gradually significant increase in the inbred line (Figure 5B). The second internode length at the highest concentration of 21 PPM exhibited the most significant suppression, up to 63.78% and 84.65% in hybrid and inbred lines, respectively, compared to control seedlings. Consequently, Pro-Ca treatment at 15 PPM proved to be the most effective and economical for mitigating overgrowth in corn seedlings for both hybrid and inbred lines.
We also measured the leaf area, length, and width of the first, second, and third leaves, as well as the fresh and dried weights of the shoot and root in this experiment. The same results were observed as in the previous and current experiments: the leaf area, length, and width of the first and second leaves were mostly not affected at all concentrations of Pro-Ca, but those for the third leaf decreased in a manner up to 12 PPM.

4. Discussion

The growth behavior of crop species is governed by their genetic potential, climatic conditions, and the supply of nutrients. Specific controls of plant growth through the application of exogenous growth regulators are already in practice in some crops and have been spreading to other crops in recent years.
In this study, three commercially available PGRs in South Korea, namely PBZ, Pro-Ca, and DIN, were tested for their effects on corn seedling growth in a greenhouse environment, specifically to suppress overgrowth. Pro-Ca was the most effective in retarding seedling overgrowth, as reflected in the reduction of seedling height, the lengths of the first and second internodes, and the area, length, and width of the third leaf (Figure 1 and Figure 2). The chemical is a growth regulator that is known to reduce terminal growth (shoot elongation) by inhibiting the synthesis of gibberellins, a group of endogenous hormones that are largely responsible for the regulation of terminal growth in plants [14,15]. It has been proven that Pro-Ca has specific regulatory effects on various horticultural and cereal crops, such as rice (Oryza sativa L.) and sorghum (Sorghum bicolor (L.) Moench) [16,17,18].
The retardant effect of Pro-Ca, measured as the leaf area, length, and width, mostly showed up only on the third leaf (Figure 2). We applied the inhibitor at the first leaf stage and measured the traits seven days after the treatment at which the seedling reached the third leaf stage. Foliar application of Pro-Ca on apple (Malus × domestica Borkh.) took at least 8 h for uptake and was translocated to the shoot growing points [19]. The first leaf was fully extended while the second leaf was visible on the whorl at the time of the Pro-Ca application. The effect of Pro-Ca also seemed to take place on the most immature, still actively growing part of corn seedlings. It was also observed that Pro-Ca was more effective in newer and smaller shoot growth than its old counterparts in the apple [19].
While the above-ground characteristics were decreased by the application of Pro-Ca, it was inversely affected on the below-ground part of the seedlings (Figure 3). This resulted in a higher root–shoot ratio of fresh and dried weights compared to control seedlings (Figure 4). This observation was consistent with previous findings on sweet potato (Ipomoea batatas Lam.) [20] and peanut (Arachis hypogaea L.) [21], in that Pro-Ca treated plants had more sweet potato and peanut yield and less vine yield to control excessive vine growth for harvest efficiency. A well-established root system could enhance the corn seedling transplanting task more efficiently because it makes the unplugging of corn seedlings from the plug tray easier.
With the selection of Pro-Ca as an effective PGR on corn seedlings, we proceeded to determine an optimum concentration under greenhouse conditions for not only a hybrid cultivar but also an inbred line. The results indicated that as the applied Pro-Ca concentration increased, the retardant effect also increased up to around 12~15 PPM on both hybrid and inbred lines, and the effect did not further incline beyond 15 PPM. Consequently, we opted for Pro-Ca at 15 PPM as the most effective and economically efficient concentration to mitigate corn seedling overgrowth under indoor or greenhouse conditions.
Figure 6 illustrates the treatment effect of Pro-Ca at 15 PPM. We seamlessly incorporated this result into our line development and hybrid evaluation processes for both sweet corn and waxy corn breeding programs, without encountering any issues. It seems that the retardant effect ceases once the seedlings are transplanted to the field.
The use of Pro-Ca seems to be advantageous with its short-term effect, lack of persistence, short half-life in higher plants, soil, and water, and no toxicity on birds, fish, honeybees, and soil micro-organisms [19]. We also found it useful in that it allowed a prolonged time window to prepare nursery beds in the field for transplanting. One of the problems with the transplanting practice is that field preparation can be delayed by unexpected precipitation, resulting in unwanted nursing of the already overgrown seedlings for a few more days. The application of Pro-Ca to corn seedlings could offer a flexible tool for the development of an integrated farming strategy for growers.
However, additional research is imperative to delve into the retarding effect of Pro-Ca during the seedling stage and its subsequent impact on agronomic performance in the field. A field performance test was undertaken, yielding inconclusive results. Statistical analysis revealed a significant interaction between hybrid types and Pro-Ca treatment across various agronomic traits, including mid-tasseling and mid-silking days, plant and ear heights, per-ear weight, ear length and diameter, brix, and tenderness. The uncertainty arises regarding whether the observed interaction is attributable to distinct hybrid responses to the Pro-Ca application or stems from accumulated field variation resulting from inadequate field management throughout the cultivation period. Notably, the key agronomic traits of interest were assessed at a significantly later stage, while the treatment occurred during the early growth phase, creating a substantial gap of over 100 days between treatment and measurement. This extended period raises the possibility of corn plants being exposed to environmental stresses, contributing to the inconclusive nature of the results. The field findings, despite their inconclusiveness, hold significance for refining future experimental designs. Considerations for plot designs, the number of replications, sample sizes, and field locations will be crucial in optimizing the experimental setup based on the insights gained from these field results.
It would be of scientific interest to incorporate an investigation into the heightened lodging resistance conferred by Pro-Ca under field conditions in the study. A previous attempt to explore the impact of exogenously applied Pro-Ca around the flowering period in rice fields on lodging traits and yield components is documented [11]. In that study, the application of Pro-Ca at 20 PPM, administered 10 days before flowering, led to a reduction in the stem length, third internode length, panicle length, fresh weight, and lodging index, accompanied by an increase in milled rice yield. Furthermore, it was observed that higher concentrations of Pro-Ca, coupled with an earlier application from the flowering time, resulted in increased stem-breaking strength. While not explicitly presented in this context, our observations during the field application of Pro-Ca at the V7 growth stage align with these findings. Specifically, an overall reduction in plant height was noted, confirming the efficacy of the retardant effect during the field application at later growth stages. This suggests the potential for Pro-Ca to enhance lodging resistance in field conditions, warranting further investigation and analysis in the ongoing study.
Several precautions merit attention in the application of Pro-Ca. Firstly, concerning the volume of Pro-Ca applied, our approach involved the administration of 50 mL at a concentration of 15 PPM for a 162-plug tray, assuming 100% emergence at the first leaf stage. It is noteworthy that vendor instructions for other crops are typically based on a unit area of 1000 m2. The fine-tuning of both the volume and concentration of corn seedlings in this study was derived from preliminary pilot studies. Our recommendation is tailored to the context of 162 seedlings at the first leaf stage, cultivated in a 162-plug tray (530 × 280 × 45 mm). Factors such as the number of seedlings, the cultivation area, and the growth stage should be taken into account, as the foliar application of Pro-Ca is contingent upon the total leaf area of the plants. Thus, the customization of volume and concentration is imperative to align with specific user-defined growth management strategies. Secondly, the ambient temperature within the greenhouse is a crucial consideration. Seedling overgrowth is exacerbated with higher temperatures, and it appears to impact the efficacy of the Pro-Ca application. The retardant effect is compromised when seedlings are nurtured in greenhouse conditions exceeding 30 °C, particularly during the summer season. Thirdly, the timing of the Pro-Ca application necessitates careful consideration, especially concerning the subsequent watering of seedlings. This is particularly relevant when overhead watering is employed for corn seedling trays post-emergence. It is reported in the literature that Pro-Ca requires approximately 8 h for complete absorption after foliar application [11,19]. Hence, the synchronization of the Pro-Ca application with the watering schedule is recommended for optimal results in corn seedling management strategies.

5. Conclusions

The present study systematically examined the impact of three commercially available plant growth regulators (PGRs), namely paclobutrazol (PBZ), prohexadione-calcium (Pro-Ca), and diniconazole (DIN), on corn seedling growth within a controlled greenhouse environment. The primary objective was to assess the efficacy of these PGRs in suppressing seedling overgrowth. Among the tested PGRs, Pro-Ca exhibited the highest effectiveness, manifesting a substantial reduction in seedling height, internode length, and leaf dimensions. Notably, Pro-Ca’s influence on above-ground characteristics resulted in a noteworthy decrease, while concurrently exerting a positive impact on below-ground attributes. This dual effect culminated in an elevated root–shoot ratio, thereby facilitating an efficient process of seedling transplantation. Subsequent experiments were conducted to ascertain the optimal concentration of Pro-Ca under greenhouse conditions, revealing that 15 parts per million (PPM) emerged as the most efficacious and economically viable concentration for mitigating overgrowth in corn seedlings. However, the study underscores the need for additional research endeavors aimed at comprehensively evaluating Pro-Ca’s impact on the agronomic performance of corn in field conditions. This acknowledgment reflects the need for a more holistic understanding of the regulator’s influence beyond greenhouse settings, providing a foundation for informed decision-making in agricultural practices.

Author Contributions

Conceptualization, J.-W.C., J.-K.Y. and Y.-S.S.; methodology, J.-W.C. and Y.-S.S.; software, M.V.D.; validation, J.-W.C.; formal analysis, M.V.D.; investigation, M.V.D. and V.G.H.; resources, Y.-S.S.; data curation, M.V.D., H.M. and V.G.H.; writing—original draft preparation, M.V.D. and J.-W.C.; writing—review and editing, J.-W.C., J.-K.Y. and Y.-S.S.; visualization, M.V.D., H.M. and V.G.H.; supervision, J.-K.Y. and Y.-S.S.; project administration, Y.-S.S.; funding acquisition, Y.-S.S. All authors have read and agreed to the published version of the manuscript.

Funding

This work was supported by the Korea Institute of Planning and Evaluation for Technology in Food, Agriculture and Forestry (IPET) through the Technology Commercialization Support Program, funded by the Ministry of Agriculture, Food, and Rural Affairs (MAFRA) (122042-03).

Data Availability Statement

The data presented in this study are available upon request from the corresponding authors.

Conflicts of Interest

The authors declare no conflicts of interest.

References

  1. Yu, J.-K.; Moon, Y.-S. Corn starch: Quality and quantity improvement for Industrial Uses. Plants 2022, 11, 92. [Google Scholar] [CrossRef]
  2. Baek, S.-B.; Son, B.-Y.; Kim, J.-T.; Bae, H.-H.; Go, Y.-S.; Kim, S.-L. Changes and prospects in the development of corn varieties in Korea. Korean J. Breed. Sci. 2020, 52, 93–102. [Google Scholar] [CrossRef]
  3. Smith, E.F. Mechanism of overgrowth in plants. Proc. Am. Philos. Soc. 1917, 56, 437–444. [Google Scholar]
  4. Rademacher, W. Plant growth regulators: Backgrounds and uses in plant production. J. Plant Growth Regul. 2015, 34, 845–872. [Google Scholar] [CrossRef]
  5. Bonnett, O.T. Inflorescences of Maize, Wheat, Rye, Barley, and Oats: Their Initiation and Development; University of Illinois, College of Agriculture, Agricultural Experiment Station: Urbana, IL, USA, 1966; Volume 721, 105p. [Google Scholar]
  6. Cline, J.A.; Embree, C.G.; Hebb, J.; Nichols, D.S. Performance of prohexadione-calcium on shoot growth and fruit quality of apple—Effect of spray surfactants. Can. J. Plant Sci. 2008, 88, 165–174. [Google Scholar] [CrossRef]
  7. Sun, T.P.; Kamiya, Y. Regulation and cellular localization of ent-kaurene synthesis. Plant Physiol. 1997, 101, 701–708. [Google Scholar] [CrossRef]
  8. Desta, B.; Amare, G. Paclobutrazol as a plant growth regulator. Chem. Biol. Technol. Agric. 2021, 8, 1. [Google Scholar] [CrossRef]
  9. Eum, S.; Park, K.; Choi, Y.; Oh, W.; Kim, K. Effects of diniconazole application on anatomical and biochemical characteristics related to stress tolerance in Lilium davuricum. Korean J. Hortic. Sci. Technol. 2012, 30, 229–235. [Google Scholar]
  10. Jeonj, E.-J.; Imran, M.; Kang, S.-M.; Khan, M.-A.; Lee, I.-J. The application of diniconazole and prohydrojasmon as plant growth regulators to induce growth and tuberization of potato. J. Appl. Bot. Food Qual. 2021, 94, 39–46. [Google Scholar]
  11. Kim, Y.H.; Lee, I.J.; Hamayun, M.; Kim, J.T.; Won, J.G.; Hwang, I.C.; Kim, K.U. Effect of Prohexadione-Calcium on growth components and endogenous gibberellins contents of rice (Oryza sativa L.). J. Agron. Crop Sci. 2007, 193, 445–451. [Google Scholar] [CrossRef]
  12. Stachecki, S.; Praczyk, T.; Adamczewski, K. Adjuvant effects on plant growth regulators in winter wheat. J. Plant Prot. Res. 2004, 44, 365–371. [Google Scholar]
  13. R Core Team. R: A Language and Environment for Statistical Computing; R Foundation for Statistical Computing: Vienna, Austria, 2013. [Google Scholar]
  14. Brown, R.G.S.; Kawaide, H.; Yang, Y.-Y.; Rademacher, W.; Kamiya, Y. Daminozide and prohexadione have similar modes of action as inhibitors of the late stages of gibberellin metabolism. J. Plant Physiol. 1997, 101, 309–313. [Google Scholar] [CrossRef]
  15. Griggs, D.L.; Hedden, P.; Temple-Smith, K.E.; Rademacher, W. Inhibition of gibberellin 2β-hydroxylases by acyl cyclohexanedione derivatives. Phytochemistry 1991, 30, 2513–2517. [Google Scholar] [CrossRef]
  16. Kim, Y.H.; Khan, A.L.; Hamayun, M.; Kim, J.T.; Lee, J.H.; Hwang, I.C.; Yoon, C.S.; Lee, I.-J. Effects of Prohexadione-Calcium on growth and gibberellins contents of Chrysanthemum morifolium R. cv Monalisa White. Sci. Hortic. 2010, 123, 423–427. [Google Scholar] [CrossRef]
  17. Ilias, I.F.; Rajapakse, N. Prohexadione-calcium affects growth and flowering of petunia and impatiens grown under photoselective films. Sci. Hortic. 2005, 106, 190–202. [Google Scholar] [CrossRef]
  18. Lee, I.-J.; Foster, K.R.; Morgan, P.W. Photoperiod control of gibberellin levels and flowering in sorghum. Plant Physiol. 1998, 116, 1003–1011. [Google Scholar] [CrossRef]
  19. Evans, J.R.; Evans, R.R.; Regusci, C.L.; Rademacher, W. Mode of action, metabolism, and uptake of BAS 125W, Prohexadione-Calcium. HortScience 1999, 34, 1200–1201. [Google Scholar] [CrossRef]
  20. Njiti, V.N.; Xia, Q.; Tyler, L.S.; Stewart, L.D.; Tenner, A.T.; Zhang, C.; Alipoe, D.; Chukwuma, F.; Gao, M. Influence of Prohexadione Calcium on sweetpotato growth and storage root yield. HortScience 2013, 48, 73–76. [Google Scholar] [CrossRef]
  21. Beam, J.B.; Jordan, D.L.; York, A.C.; Isleib, T.G.; Bailey, J.E.; McKemie, T.E.; Spears, J.F.; Johnson, P.D. Influence of Prohexadione-Calcium on pod yield and pod loss of peanut. Agron. J. 2002, 94, 331–336. [Google Scholar] [CrossRef]
Figure 1. Hybrid (Geumdang) seedling heights (A), stem width (B), length of the first (C) and second (D) internodes of corn seedlings at 7 days after plant growth retardant (PGR) treatment. The significant difference is indicated by different letters according to Tukey’s HSD test at α = 0.05. PGRs used are paclobutrazol (PBZ), prohexadione-calcium (Pro-Ca), and diniconazole (DIN).
Figure 1. Hybrid (Geumdang) seedling heights (A), stem width (B), length of the first (C) and second (D) internodes of corn seedlings at 7 days after plant growth retardant (PGR) treatment. The significant difference is indicated by different letters according to Tukey’s HSD test at α = 0.05. PGRs used are paclobutrazol (PBZ), prohexadione-calcium (Pro-Ca), and diniconazole (DIN).
Agronomy 14 00371 g001
Figure 2. Leaf area (A), leaf length (B), and leaf width (C) of corn hybrid seedlings (Geumdang) at 7 days after plant growth retardant (PGR) treatment. The significant difference is indicated by different letters according to Tukey’s HSD test at α = 0.05. PGRs used are paclobutrazol (PBZ), prohexadione-calcium (Pro-Ca), and diniconazole (DIN).
Figure 2. Leaf area (A), leaf length (B), and leaf width (C) of corn hybrid seedlings (Geumdang) at 7 days after plant growth retardant (PGR) treatment. The significant difference is indicated by different letters according to Tukey’s HSD test at α = 0.05. PGRs used are paclobutrazol (PBZ), prohexadione-calcium (Pro-Ca), and diniconazole (DIN).
Agronomy 14 00371 g002
Figure 3. Fresh weight of shoot (A) and root (B) and dry weight of shoot (C) and root (D) of corn hybrid seedlings (Geumdang) at 7 days after plant growth retardant (PGR) treatment. The significant difference is indicated by different letters according to Tukey’s HSD test at α = 0.05. PGRs used are paclobutrazol (PBZ), prohexadione-calcium (Pro-Ca), and diniconazole (DIN).
Figure 3. Fresh weight of shoot (A) and root (B) and dry weight of shoot (C) and root (D) of corn hybrid seedlings (Geumdang) at 7 days after plant growth retardant (PGR) treatment. The significant difference is indicated by different letters according to Tukey’s HSD test at α = 0.05. PGRs used are paclobutrazol (PBZ), prohexadione-calcium (Pro-Ca), and diniconazole (DIN).
Agronomy 14 00371 g003
Figure 4. Root–shoot ratio of fresh (A) and dried (B) weight of corn hybrid seedlings (Geumdang) at 7 days after plant growth retardant (PGR) treatment. PGRs used are paclobutrazol (PBZ), prohexadione-calcium (Pro-Ca), and diniconazole (DIN). The ratio is displayed as mean ± standard deviation (n = 15).
Figure 4. Root–shoot ratio of fresh (A) and dried (B) weight of corn hybrid seedlings (Geumdang) at 7 days after plant growth retardant (PGR) treatment. PGRs used are paclobutrazol (PBZ), prohexadione-calcium (Pro-Ca), and diniconazole (DIN). The ratio is displayed as mean ± standard deviation (n = 15).
Agronomy 14 00371 g004
Figure 5. Seedling height (A), stem width (B), first internode length (C), and second internode length (D) were treated with prohexadione-calcium at different concentrations. Super sweet corn F1 variety (Geumdang) and inbred line (PNS42w) were used. Different alphabets represent significant differences in ANOVA among different concentrations.
Figure 5. Seedling height (A), stem width (B), first internode length (C), and second internode length (D) were treated with prohexadione-calcium at different concentrations. Super sweet corn F1 variety (Geumdang) and inbred line (PNS42w) were used. Different alphabets represent significant differences in ANOVA among different concentrations.
Agronomy 14 00371 g005
Figure 6. The difference in seedling height seven days after the treatment of prohexadione-calcium at 15 PPM. The overgrowth inhibitor was applied at the first leaf stage.
Figure 6. The difference in seedling height seven days after the treatment of prohexadione-calcium at 15 PPM. The overgrowth inhibitor was applied at the first leaf stage.
Agronomy 14 00371 g006
Table 1. Plant growth retardants and the recommended dose used in this study.
Table 1. Plant growth retardants and the recommended dose used in this study.
Commercial NameManufacturerActive IngredientCrop 1Volume 2Recommended Dose in PPM 3
BinnariDongbang Agro,
South Korea
Diniconazole
5%
Lilies20 mL0.5 PPM
DadeumiSyngenta KoreaPaclobutrazol
0.39%
Grass250 mL0.5 PPM
BibipulKyungnong,
South Korea
Prohexadione-Calcium
20%
Grass10 mL1 PPM
1 Crop from which the recommended dose is taken for this study. 2 Chemical volume to mix with 20 L water to achieve the recommended dose. 3 Recommended dose in PPM was considered at a 100% concentration for this study.
Disclaimer/Publisher’s Note: The statements, opinions and data contained in all publications are solely those of the individual author(s) and contributor(s) and not of MDPI and/or the editor(s). MDPI and/or the editor(s) disclaim responsibility for any injury to people or property resulting from any ideas, methods, instructions or products referred to in the content.

Share and Cite

MDPI and ACS Style

Duong, M.V.; Chung, J.-W.; Ha, V.G.; Moon, H.; Yu, J.-K.; So, Y.-S. Prohexadione-Calcium Mitigates the Overgrowth of Corn Seedlings. Agronomy 2024, 14, 371. https://doi.org/10.3390/agronomy14020371

AMA Style

Duong MV, Chung J-W, Ha VG, Moon H, Yu J-K, So Y-S. Prohexadione-Calcium Mitigates the Overgrowth of Corn Seedlings. Agronomy. 2024; 14(2):371. https://doi.org/10.3390/agronomy14020371

Chicago/Turabian Style

Duong, Minh Vuong, Jong-Wook Chung, Van Gioi Ha, Hwi Moon, Ju-Kyung Yu, and Yoon-Sup So. 2024. "Prohexadione-Calcium Mitigates the Overgrowth of Corn Seedlings" Agronomy 14, no. 2: 371. https://doi.org/10.3390/agronomy14020371

APA Style

Duong, M. V., Chung, J.-W., Ha, V. G., Moon, H., Yu, J.-K., & So, Y.-S. (2024). Prohexadione-Calcium Mitigates the Overgrowth of Corn Seedlings. Agronomy, 14(2), 371. https://doi.org/10.3390/agronomy14020371

Note that from the first issue of 2016, this journal uses article numbers instead of page numbers. See further details here.

Article Metrics

Back to TopTop