Next Article in Journal
Spatial Distribution Characteristics of Soil C:N:P:K Eco-Stoichiometry of Farmland and Grassland in the Agro-Pastoral Ecotone in Inner Mongolia, China
Next Article in Special Issue
Effects of Different Organic Fertilizer Substitutions for Chemical Nitrogen Fertilizer on Soil Fertility and Nitrogen Use Efficiency of Foxtail Millet
Previous Article in Journal
Refined Evaluation of Climate Suitability of Maize at Various Growth Stages in Major Maize-Producing Areas in the North of China
Previous Article in Special Issue
Optimized Nitrogen Fertilization Promoted Soil Organic Carbon Accumulation by Increasing Microbial Necromass Carbon in Potato Continuous Cropping Field
 
 
Font Type:
Arial Georgia Verdana
Font Size:
Aa Aa Aa
Line Spacing:
Column Width:
Background:
Article

The Effect of Nitrogen Reduction and Applying Bio-Organic Fertilisers on Soil Nutrients and Apple Fruit Quality and Yield

1
Xinjiang Production and Construction Corps Key Laboratory of Special Fruits and Vegetables Cultivation Physiology and Germplasm Resources Utilization, College of Agriculture, Shihezi University, Shihezi 832003, China
2
Institute of Agricultural Science, 4th Division of Production and Construction Corps, Kekedala 835219, China
*
Author to whom correspondence should be addressed.
Agronomy 2024, 14(2), 345; https://doi.org/10.3390/agronomy14020345
Submission received: 6 January 2024 / Revised: 3 February 2024 / Accepted: 5 February 2024 / Published: 8 February 2024
(This article belongs to the Special Issue Effect of Fertilization on Soil Quality)

Abstract

In this study, we investigated the effect of partially substituting inorganic nitrogen with bio-organic fertiliser on the ‘Tianhong2’ Fuji apple planting in Xinjiang. Bio-organic fertiliser was applied, and nitrogen was reduced by 20% (T2), 40% (T3), and 60% (T4) during the blooming and fruit expansion periods with conventionally fertilised fields used as control (T1); soil nutrient, soil enzyme activity, leaf nutrients, fruit quality, and yield were measured. The total nitrogen (TN), total phosphorus (TP), total potassium (TK), total calcium (TCa), available phosphorus (AP), available potassium (AK), and soil organic matter (SOM) contents, as well as the soil catalase (S-CAT), soil uretrase (S-UE), soil saccharase (S-SC), and soil nitrate reductase (S-NR) activities, significantly increased in the experimental soils compared with those in T1. In addition, TP, TCa, and total magnesium (TMg) content in apples significantly increased. Compared to T1, the T2 and T3 treatments significantly improved the fruit yield and quality, increasing the sugar–acid ratio, soluble protein, soluble sugar, peel carotenoid, and anthocyanin content and reducing peel chlorophyll content. The brightness (L*), red–green axis (a*), yellow–blue axis (b*), colour intensity (C), and tone (h°) values changed. The yield per hectare and nitrogen fertiliser partial productivity values were significantly increased. Overall, the T2 treatment resulted in the best outcome for the Yili area. In conclusion, partially substituting inorganic nitrogen with bio-organic fertiliser can effectively increase soil and leaf nutrient content and improve fruit yield and quality.

1. Introduction

Apple (Malus pumila Mill.) is the most widely eaten fruit in the world, with different varieties that are cultivated in more than 80 countries. Apple production in China has a long history due to its favourable geography, climate, human resources, and market size [1]. New apple-producing regions with suitable climatic conditions are emerging in China [2]. These include the Aksu and Yili River valleys, which produce high yields of apples with excellent quality, bright colour, and rich flavour that are highly demanded by domestic and foreign consumers [3]. Apple fruit quality is primarily affected by the application method and amount of fertiliser [4]. The rational fertilisation of apple fields provides the plants with the amounts of nutrients required for optimum growth and high fruit quality [5,6]. However, fertilisation methods have not been previously standardised for Fuji apple production in the Yili area; fruit farmers apply large amounts of fertiliser, especially nitrogen, during cultivation, which results in soil nutrient imbalance, unstable yield, and low fruit quality [7]. Such practices also lead to the wastage of fertiliser resources and cause environmental pollution [8]. Bio-organic fertiliser can change the microbial environment in the soil, increase the activity of soil enzymes, improve the root development and absorption capacity of plants at the seedling stage, activate the soil nutrient system [9], change microbial flora, reduce soil bulk density [10], and can also improve the disease resistance of plants, reduce diseases [11], promote crop development [12], and can significantly increase crop yield and improve crop quality. Therefore, it is an effective alternative to fertilisers for sustainable agricultural development [13,14]. The partial substitution of inorganic nitrogen fertiliser with bio-organic fertiliser effectively alleviates the adverse ecological effects of inorganic nitrogen fertilisers, such as environmental pollution, and realises the efficient cultivation of crops [15,16]. Previous studies have found that the application of humic acid and Bacillus subtilis bio-organic fertiliser in the soil can promote the absorption of nitrogen, phosphorus and potassium by crops, increase the accumulation of dry matter in crops, and increase yields [17,18]. The relevant research shows that in the process of vegetable growth and development, the reduction in nitrogen fertiliser application with the application of bio-organic fertiliser can increase the content of microorganisms in the soil, improve soil physical and chemical properties, reduce nutrient surplus [19], and promote the absorption of nutrients by crops in the process of growth and development. It has been found that reducing nitrogen by 20% and applying microbial fertiliser on apples can not only improve the fruit quality, chlorophyll content and photosynthetic indexes of ‘Fuji’ apples compared with conventional fertilisation, but also reduce their fruit shape index, titratable acid content and chlorophyll fluorescence parameters [20]. Other studies have shown that reducing nitrogen and applying bio-organic fertiliser can significantly improve soil enzyme activity compared with conventional fertilisation [21]. Although many studies have investigated the use of lower amounts of nitrogen fertiliser to improve crop quality, only a few have reported on the application of biological organic fertilisers to apples in Xinjiang. Owing to the large differences in soil conditions in different regions, the irrational use of nitrogen and bio-organic fertilisers in apple fields may reduce the fruit yield and economically affect the farmers. Therefore, in this study with ‘Tianhong2’ red Fuji apple as test material and conventional fertiliser as a control, the proportion to reduce the amount of nitrogen fertiliser application with the application of humic acid and Bacillus subtilis biological organic fertiliser, study different fertiliser treatment of soil nutrients, soil enzyme activity, leaf full amount of nutrients, the influence of apple fruit quality and yield. The outcomes of this study would help identify the most appropriate amount of nitrogen and bio-organic fertilisers for application in apple fields in Yili and other areas of Xinjiang to improve the fruit yield and maximise the farmers’ income.

2. Materials and Methods

2.1. Test Situation

The field experiment was conducted on 15 April 2022 at the 1st Company of the 78th Regiment, Xinjiang Production and Construction Corps, located at 447′ N, 8037′ E. This region is characterised by a mountainous continental climate, an annual effective temperature of 29.63 °C, annual average sunshine of 2719 h, a frost-free period of 136 days, and sandy loam soil. The indoor experiment was conducted at the Key Laboratory of Characteristic Fruit and Vegetable Cultivation Physiology and Germplasm Resource Utilisation, Shihezi University.

2.2. Test Materials

2.2.1. Plant Materials

The study was performed using six-year-old ‘Tianhong2’ red Fuji apples with rootstocks in Xinjiang wild apples. The plants were characterised using high germination rates, low branch capacity, and short and long branches. The fruit results were mostly concentrated in short branches, with some growing on the tree body and long branches.

2.2.2. Main Fertilisers

The test fertiliser contained (NH4) 2HPO4, (N + P2O5 ≥ 64.0%, N ≥ 16%, P2O5 ≥ 48%, B + Zn ≥ 0.2%, polyglutamate ≥ 0.2%) and was purchased from Yunnan Yuntianhua Co., Ltd. (Kunming, China). Garden power humic acid water-soluble fertiliser (humic acid ≥ 30 g·L−1, P2O5 + K2O ≥ 200 g·L−1, P2O5 ≥ 80 g·L−1, K2O ≥ 160 g·L−1) was purchased from Sichuan Runer Technology Co., Ltd. (Chengdu, China). B. subtilis was obtained from Deqiang Biological Co., Ltd. (Harbin, China).

2.2.3. Instruments and Equipment

The instruments used for analysis included an ultraviolet spectrophotometer (UV-2600, Shimazin Instruments Co., Ltd., Suzhou, China), ice maker (SIM-F140AY65, Qingdao Sanyo Electric Machinery Co., Ltd., Qingdao, China), oven (ZFD-A5090, Shanghai Zhicheng Instrument Manufacturing Co., Ltd., Shanghai, China), ultrasonic cleaning machine (CQ-500B, Shanghai Yuejin Medical Optical Equipment Factory, Shanghai, China), water bath pot (HH-S, Jiangsu Jintan Hengfeng Manufacturing Co., Ltd., Suzhou, China), tissue grinder (Tissuelyser-64, Shanghai Jingxin Industrial Development Co., Ltd., Shanghai, China), and microplate reader (VARIOSKAN FLASH, Thermo Fisher Scientific Co., Ltd., Shanghai, China).

2.3. Test Design

The experimental area was 1 hm2, and four experimental plots were selected. In each plot, 15 fruit trees with strong growth, no pests or diseases, and good growth potential were randomly selected (row and plant spacing of 5 m × 2 m). All measurements were conducted on three trees with five replicates using a completely randomised block design. The orchard had good fertiliser and water conditions, strong tree growth, and a high management level. Pollination trees were planted in rows along the side length of the orchard plot, with one row of pollination trees planted every four rows of main cultivars to facilitate field operations. The experiment included four treatments: conventional nitrogen fertiliser (T1), which was the annual conventional fertilisation number of farmers; conventional nitrogen fertiliser reduced by 20% + humic acid + Bacillus subtilis (T2); conventional nitrogen fertiliser reduced by 40% + humic acid + Bacillus subtilis (T3); and conventional nitrogen fertiliser reduced by 60% + humic acid + Bacillus subtilis (T4).
Three fertilisation treatments were conducted on 15 April 2022, 15 June 2022, and 15 July 2022. The fertiliser was dissolved in the water and applied using a fertiliser-integrated drip irrigation system that was placed 70 cm away from the trunk. The specific fertilisation amounts are listed in Table 1.

2.4. Determination Items and Methods

2.4.1. Determination of Soil Nutrient and Enzyme Activities

After fertilisation, soil samples were collected at 0–20 cm and 20–40 cm depth. Five soil samples were obtained, parts of which were bagged, sealed, and stored at 4 °C, while the other parts were naturally dried, ground, and sieved for use in soil indicator assays. In brief, the total nitrogen content was determined using a Kazitometer [22], and P, K, Ca, and Mg contents were determined using inductively coupled plasma–atomic emission spectrometry (ICP-AES). Soil alkali nitrogen content was determined using the alkali diffusion method; soil available phosphorus content and available potassium content were determined using the molybdenum–antimony resistance method and the flame light method [22]. Soil nitrate nitrogen content was determined using nitrosalicylic acid, and ammonium nitrogen content was determined using indophenol blue [23]. Soil organic matter content was determined using potassium dichromate external heating [22], and soil pH was measured using an acidity meter. Soil saccharase (invertase) and soil cellulase (S-CL) activity were measured using the 3,5-dinitrosalicylic acid colourimetric method; soil urease activity was measured using the sodium phenol colourimetric method. Soil acid phosphatase (S-ACP) activity was measured using disodium benzene phosphate; soil protease (S-ACPT) and soil dehydrogenase (S-DHA) activities were measured using the TTC colourimetric method; soil catalase activity was measured via potassium permanganate titration. Soil peroxidase (S-POD) activity was measured using guaiacol. Soil nitrate reductase activity was determined via phenolic disulphate. Soil nitrite reductase (S-NiR) activity was characterised by measuring the NO2-N content before and after adding the Gree reagent. The determination method of soil enzyme activity is based on the reagent kit provided by Suzhou Keming Biotechnology Co., Ltd. (Suzhou, China).

2.4.2. Determination of Nutrients in Apple Leaves

In August 2022, 50 healthy and mature leaves were collected from the outer parts of the test tree in different directions and rinsed with pure water. Subsequently, the leaves were oven-dried at 105 °C for 15 min and then maintained at 80 °C until the blade quality stabilised. The baked leaves were crushed and passed through a 0.25 mm sieve, and the mineral content was determined. In brief, leaf total nitrogen was measured using a Kazitometer and leaf TP, TK, TCa, and TMg were measured via ICP-AES.

2.4.3. Determination of Apple Fruit Quality

During the fruit harvest period in October 2022, five fruit trees with similar growth characteristics (e.g., tree height and crown) were selected from the experimental plots. One fruit sample was randomly picked from each of the four directions (north, south, east, and west) of the five fruit trees, resulting in a total of 20 fruit samples per plot. These samples were brought back to the laboratory for testing of fruit quality. The measurement method was as follows: an electronic digital vernier calliper was used to measure the longitudinal and transverse diameters of the fruit, and the fruit shape index was calculated as the ratio of the longitudinal diameter to the transverse diameter of the fruit. The fruit hardness was measured using a GY-4 hand-held fruit hardness meter. The single fruit weight was weighed using an electronic balance (FA2004, Shanghai Puchun Metering Instrument Co., Ltd., Shanghai, China); the chlorophyll content was measured using the acetone method [24]. Fruit carotenoid content was determined using high-performance liquid chromatography. The anthocyanin content in peels was determined via the pH differential method [25]. The VC content was determined according to the 2,6-dichlorophenol indophenol titration method in national standard GB/T 5009.86—2016 Determination of Ascorbic Acid in National Standard for Food Safety Food. The soluble protein content was determined using the Coomassie blue method [26]. Soluble solid content was measured using a TD-45 meter (Zhejiang topu yunnong Technology Co., Ltd., Hangzhou, China), and soluble sugar content was measured via anthrone [27]. The titratable acid content of the fruit was determined via acid-base titration. The sugar-to-acid ratio was calculated by dividing the soluble sugar content by the titratable acid content [28]. A CR-400 colourimeter was used to measure surface brightness (L*), red–green axis (a*), and yellow–blue axis (b*), and the colour intensity (C value = [(a*)2 + (b*)2])1/2 [29,30] and the tone (h° = arctan (b*/a*)) were calculated. According to the HunterLab system, the larger the value of L*, the brighter the surface of the sample [31]. −a* value indicates green, and +a* value indicates red [32]. +b value indicates yellow, and −b* value indicates blue. The larger the value of C, the higher the red saturation of the fruit. The smaller the value of h°, the fewer colour components there are and the more vivid the colour hue [33].

2.4.4. Determination of Apple Yield

After the fruit was ripe, the single fruit weight and yield of apples were investigated on a per-plant basis. The calculation method for single fruit weight and yield was to randomly collect one fruit from each of the four directions of the tree canopy and mix the three trees into one sample, totalling 12 fruits, with five repeats for each treatment. The single fruit weight value for each repeat was the average weight of the 12 fruits, while the per-plant yield was obtained by multiplying the single fruit weight by the number of fruits on a single plant. The yield per hectare was obtained by multiplying the per-plant yield by the number of trees per hectare. Nitrogen fertiliser productivity was obtained from the ratio of fruit yield to fertiliser application per apple tree.

2.5. Data Analysis

Data processing was performed using Microsoft Excel 2021 (Microsoft, Redmond, WA, USA), Spss 26.0 (SPSS, Chicago, IL, USA) statistical software for univariate difference analysis (One-way ANOVA), and multiple comparisons were performed using the LSD method. p < 0.05 indicated statistical significance, and graphs were constructed using the Origin 2021 (OriginLab, Northampton, MA, USA) software.

3. Results

3.1. Effect of Nitrogen Reduction and Application of Bio-Organic Fertilisers on Soil Nutrients and Enzyme Activities

3.1.1. Effect of Nitrogen Reduction and Application of Biological Organic Fertilisers on Soil Physical and Chemical Properties

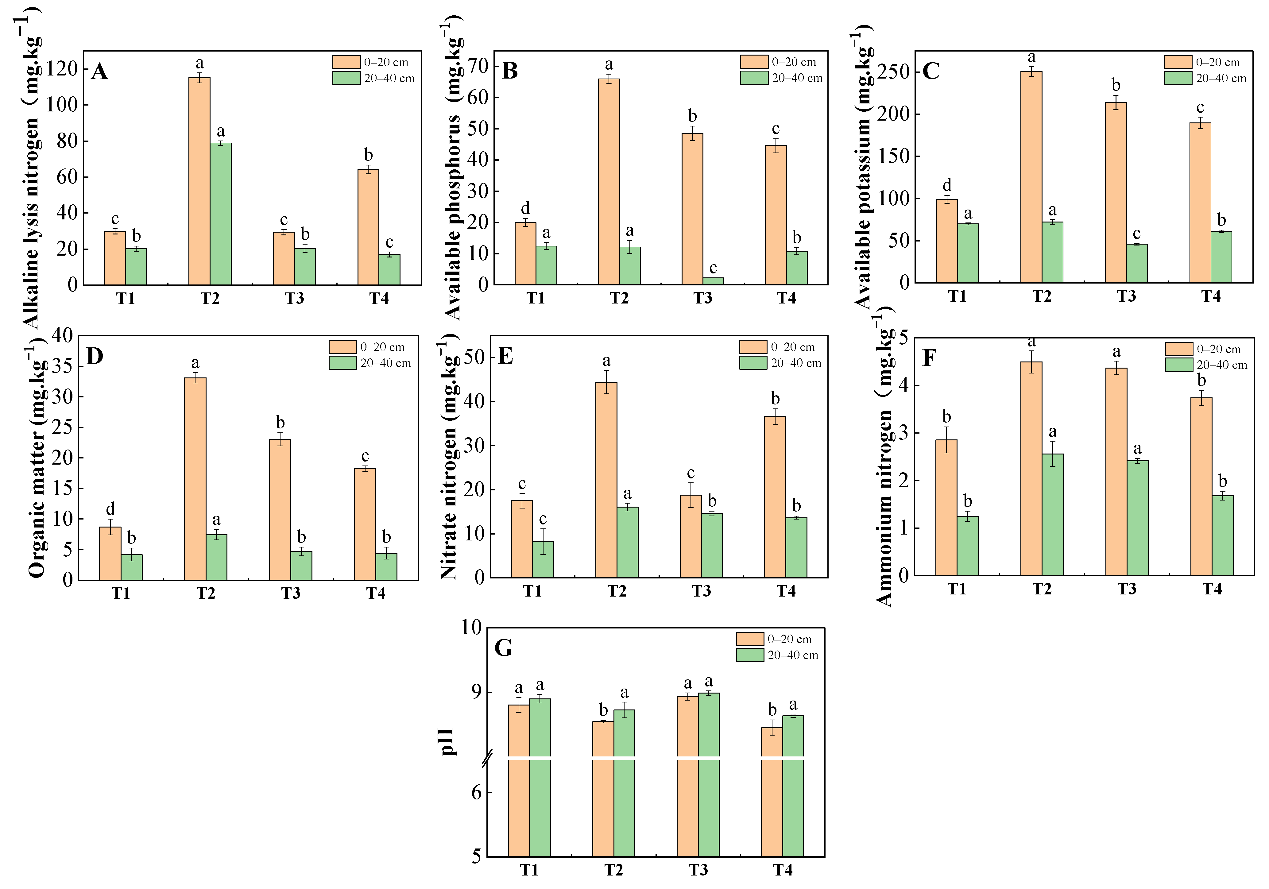
The physical and chemical properties of the soil changed with increasing soil depth (Figure 1). In the 0–20 cm deep soil, the T2 and T4 treatments increased the alkali nitrogen (AN) contents by 74.10% and 53.57%, the nitrate nitrogen (NO3) content by 60.61% and 52.20%, and decreased pH by 3.04% and 4.14%, respectively. The T2, T3, and T4 treatments increased the available phosphorus (AP) content by 69.76%, 58.86%, and 55.23%, the quick potassium (AK) content by 60.51%, 53.74%, and 47.80%, and the organic matter (SOM) content by 73.80%, 62.35%, and 52.52%, respectively. In the 20–40 cm deep soil, pH changes were not significant. Compared to the T1 treatment, AN and SOM content significantly (p < 0.05) increased by 74.42% and 43.73%, respectively. AP and AK contents were significantly reduced in the T3 and T4 treatments. The T2 and T4 treatments significantly increased the nitrate nitrogen content by 48.77% and 39.80%, respectively. The ammonium nitrogen (NH4-N) increased by 36.44% and 34.59% (0–20 cm) and 51.17%, 48.26%, and (20–40 cm), respectively.

3.1.2. Effect of Partial Replacement of Inorganic Nitrogen with Bio-Organic Fertiliser on Soil Element Content

The total amount of soil elements decreased with increasing soil depth (Figure 2). The contents of total phosphorus (TP) and total potassium (TK) in the 0–20 cm and 20–40 cm deep soil with T2, T3, and T4 treatments were significantly higher than those with T1 treatment. In the 0–20 cm deep soil, compared with the T1 conventional fertilization treatment, the soil total nitrogen (TN) of T2, T3 and T4 treatments were significantly increased by 74.62%, 63.32% and 57.28%, respectively, and the total calcium (TCa) content increased by 26.91%, 17.39%, and 22.11%, respectively. The total (TMg) content with the T2 treatment was significantly higher than 33.10% with the T1 treatment. In the 20–40 cm deep soil, the T2 treatment significantly increased by 40.35% compared to the T1 treatment. The T2 and T3 treatments significantly increased TCa by 19.19% and 8.72% and TMg by 20.54% and 17.71%, respectively.

3.1.3. Effect of Partial Replacement of Inorganic Nitrogen with Bio-Organic Fertiliser on Soil Enzyme Activity

The S-CAT, S-UE, S-SC, S-CL, S-ACP, S-DHA, S-NR, S-POD, S-NiR, and S-ACPT enzymatic activities decreased with increasing soil depth (Figure 3). In the 0–20 cm deep soil, compared to the T1 treatment, S-CAT activity increased by 45.59%, 38.78%, and 23.58%, S-SC activity increased by 78.23%, 71.22% and 69.16%, S-NR activity increased by 69.06%, 53.38% and 64.79%, and S-UE activity increased by 72.57%, 66.10%, and 56.86% with T2, T3, and T4 treatments, respectively. T2 treatment increased S-CL, S-DHA, S-POD, and S-NiR enzyme activities by 49.80%, 60.82%, 28.94%, and 14.15%, respectively. T2 and T3 treatments increased the S-ACP activity by 69.77% and 58.61%, and S-ACPT activity by 46.12% and 44.48%, respectively.
In the 20–40 cm deep soil layer, T2 treatment increased the S-CAT, S-UE, S-DHA, S-NR, S-POD, and S-NiR activities by 23.68%, 32.43%, 33.21%, 58.26%, 18.83%, and 13.77%, respectively. The T2 and T3 treatments significantly increased the S-CL activity by 38.38% and 44.69% and S-ACPT activity by 42.88% and 38.84%, respectively. T2 treatment increased S-ACP activity by 30.64%. S-SC enzyme activity did not differ significantly among the treatments.

3.2. Effect of Nitrogen Reduction and Bio-Organic Fertiliser on Full Element Content in Apple Leaves

The elemental contents of apple leaves were significantly different under treatment with reduced amounts of inorganic nitrogen and bio-organic fertiliser (Figure 4). Compared with T1, the total nitrogen (TN) content of leaves treated with T2 and T4 was increased by 9.30% and 9.17%, respectively. The total phosphorus (TP) content of the leaves significantly (p < 0.05) increased by 33.20%, 22.48%, and 26.02%; the total calcium (Tca) content significantly increased by 51.74%, 38.21%, and 30.02%, and the total magnesium (TMg) content significantly increased by 18.88%, 13.52%, and 8.98% with T2, T3 and T4 treatments, respectively. The total potassium (TK) content in the leaves of T2 and T3 treatments increased significantly by 28.38% and 6.94%, respectively.

3.3. Effect of Nitrogen Reduction and Application of Bio-Organic Fertiliser on Apple Fruit Quality

The fruit quality in the different treatment groups varied significantly (Figure 5). The weight, shape index, and hardness were greater in the T2 and T3 than in the T1-treated fruits, whereas the T4-treated fruits showed the lowest values. The soluble solid content of both T2- and T3-treated fruits decreased by 6.13%, with no significant changes in each treatment. The VC content was higher by 31.44% and 19.90%, and the sugar–acid ratio was higher by 23.41% and 37.11% in the T2- and T3-treated fruits, respectively, than in the T1-treated fruits. The soluble protein content of the T2-, T3-, and T4-treated fruits significantly increased by 37.16%, 30.14%, and 34.99%, respectively, and the soluble sugar contents significantly increased by 16.15%, 14.86%, and 8.92%, respectively, compared to the T1-treated fruits. The titratable acid content was 36.57% lower in the T2 treated than in the T1-treated fruits. The carotenoid content was 44.64% and 40.05% higher, and the anthocyanin content was 31.77% and 30.14% higher in the T2- and T3-treated fruits, respectively. The total chlorophyll content was 14.22% and 11.28% lower in the T2- and T3-treated pericarps, respectively.
The change in the colouring coefficient of apple peels treated with bio-organic fertiliser (Figure 6). Compared to T1, the skin tone h°, red–green axis a* value, and colour intensity C value of the other treatments did not change significantly. The T2 and T4 treatments decreased the yellow–blue axis b* value by 35.74% and 4.63% and the brightness L* value by 27.80% and 3.11%, respectively.

3.4. Effect of Nitrogen Reduction and Applying Bio-Organic Fertiliser on Apple Production

The apple yield was significantly different under the bio-organic fertiliser treatment (Figure 7). Compared to T1, the apple per-plant yield of T2 treatment increased by 10.21%. T2 and T3 treatments significantly increased yield per hectare by 14.81% and 9.97% and PFPN by 10.21% and 7.59%, respectively.

3.5. Correlation Analysis

As shown in Figure 8, SFW, S-NiR, S-ACP and S-ACPT negatively correlated with the fruit quality indicators of fruit firmness (FF) and soil organic matter (SOM). SSC, Car, and Ant positively correlated with all soil indicators except AN, SOM, NO3, S-CL, and S-POD. TA and Chl negatively correlated with pH and S-ACPT. SAR positively correlated with AK and TK. SP and VC positively correlated with all soil indicators except NO3, pH, S-CL, S-POD, S-NiR, and S-ACPT. L* negatively correlated with AN, TN, TK, TMg, and S-ACP; a* showed a positive correlation with NH4-N, S-UE, and S-SC; PPY and YPH positively correlated with TK, S-NiR, S-ACP, and S-ACPT. PFPN positively correlated with S-NiR, S-ACP, and S-ACPT. All correlations were found to be statistically significant (* p < 0.05).

4. Discussion

Partially replacing inorganic nitrogen with bio-organic fertilisers improves soil quality by regulating nutrient release and enhancing nutrient utilisation by plants [34,35]. High-quality soil is crucial for plant growth, and the amount of fertiliser significantly affects plant growth. Therefore, controlling the amount and type of fertiliser can improve soil quality, which plays an important role in nutrient absorption and crop yield [36]. This study shows that compared to the conventional fertilisation method (T1), reducing nitrogen and applying bio-organic fertiliser reduces soil pH (Figure 1). This is consistent with the results of the study by Li [5] on Fuji apples but not with those by Qi et al. [37]. This may be due to the neutralisation of the slightly alkaline soil by humic acid in the bio-organic fertiliser. In addition, this study showed that reducing the amount of inorganic nitrogen and applying bio-organic fertiliser could significantly promote the content of soil AN, AP, AK, NO3, and NH4-N, especially in the 0–20 cm layer with T2 treatment, which is consistent with the results of the study by Liu [22] and Guo [12]. The reason may be that the appropriate application of nitrogen fertiliser improves the soil carbon–nitrogen ratio, optimises the soil microbial environment, and accelerates the production of available nitrogen, phosphorus, and potassium in the soil [38]. Moreover, the bio-organic fertiliser contains humic acid, whose structure includes several functional groups that can form complexes with ammonium, phosphate, and potassium ions in the soil, reducing the loss of alkali-hydrolysed nitrogen, inhibiting phosphorus and potassium fixation and enhancing the release of fixed phosphorus and potassium, thereby improving the soil available nutrients and nitrate nitrogen and ammonium nitrogen content [39]. Compared to the conventional fertilisation method, the soil organic matter and total elemental content in the soil also increased significantly, especially in the 0–20 cm layer (Figure 2). This is consistent with the findings of Li et al. [40]. Therefore, the reduction in nitrogen fertiliser application might increase soil enzyme activity and enhance the utilisation of nitrogen, phosphorus, and potassium in fertilisers [41]. Moreover, B. subtilis in bio-organic fertilisers decomposes some relatively difficult-to-decompose substances in soil, accelerates the decomposition of organic matter in the soil, improves the soil granule structure, and promotes the survival of other beneficial bacteria, thereby indirectly increases nutrients in the soil [42,43,44,45].
Soil enzyme activity reflects the biochemical reactions and fertility changes that occur in the soil, as well as the state of soil fertility. Determining enzyme activity is an effective tool for understanding the biological processes in soil [46]. Excessive nitrogen fertilisation can reduce soil enzyme activity and plant nutrient absorption [47]. Soil urease activity can characterise the nitrogen status of the soil [41], and acid phosphatase (ACP) is involved in the dephosphorisation of organic phosphorus in the soil [48]. Catalase activity characterises the ability of the soil to degrade pollutants [49,50], and the enzymatic product of soil invertase is closely related to the nutrient content (such as organic matter, nitrogen, and phosphorus) in the soil [51]. This study found that reducing nitrogen fertiliser and applying bio-organic fertiliser resulted in higher enzyme activities of CAT, ACP, UE, SC, CL, DHA, NR, NiR, ACPT, and POD in the soil than the conventional fertilisation treatment, especially in the 0–20 cm soil layer. The enzyme activities significantly increased when the amount of nitrogen fertiliser was reduced by 20% and 30% and combined with bio-organic fertiliser (Figure 3), which is consistent with the results of other studies [52,53,54]. This might be because organic fertilisers can increase the carbon content of soil, root exudates and microbial activity, thereby increasing enzyme activity in soil [55,56]. Furthermore, the application of bio-organic fertilisers improves the structure of microbial communities and the content of beneficial microorganisms in soil. Microorganisms secrete large amounts of enzymes during multiplication, thereby enhancing soil enzyme activity [57,58].
The leaf blade can reflect the nutrient supply and its nutritional status is the most important quantitative indicator for nutritional diagnosis [59]. Appropriate amounts of phosphorus and potassium nutrition can also promote fat metabolism and the synthesis of aroma substances [60]. This study found that the TP, TK, TCa, and TMg contents in apple leaves under various nitrogen reduction treatments were significantly higher than those under the T1 conventional fertilisation treatment, except for TN (Figure 4), which is consistent with the results reported by Teng et al. [61]. This may be related to the beneficial microorganisms in B. subtilis that regulate plant hormone levels, phosphorus-solubilisation, and potassium availability, improving the bioavailability and utilisation of soil phosphorus, potassium, calcium, and other nutrients [62,63].
Excessive nitrogen application can lead to excessive vegetative growth, inhibit reproductive growth in fruit trees, and inhibit nutrient absorption, which can affect tree growth and crop yield [64]. Many studies have shown that proper reduction in nitrogen fertiliser application increases the yield and improves the nutritional quality of crops. Moreover, it reduces the amounts of wasted nitrogen fertiliser, improves fertiliser utilisation efficiency, and reduces environmental pollution [65]. This study found that under different fertilisation treatments, fruit weight, shape index, and hardness of apples increased with 20% and 30% nitrogen reduction combined with bio-organic fertiliser (Figure 5 and Figure 6), and the fruit yield and nitrogen partial factor productivity also increased accordingly (Figure 7). These findings are consistent with those of Li [66]. The change in soluble solid content was not significant; however, the titratable acid content significantly decreased under all treatments. Soluble protein, vitamin C, soluble sugar content, and sugar–acid ratio significantly increased, consistent with the findings of Zhang et al. [67] and Wang et al. [4]. This is consistent with the notion that humic acid can promote protein synthesis and increase the activity of sucrose synthase and vitamin C synthase [68]. In addition, bio-organic fertilisers can increase soil enzyme activity, activate soil nutrients, and promote plant absorption, thereby improving fruit quality, which is consistent with the positive correlation between most fruit quality indicators and soil nutrients in this study. Fruit colouration is one of the most important parameters for evaluating apple quality. The colour of apples is determined by many factors, including maturity, ecology, genotype, soil type, and climate [69]. This study found that the total chlorophyll content in apple peels decreased in the 20% and 30% nitrogen reduction treatments, whereas the carotenoid and anthocyanin contents significantly increased. This result is consistent with previous studies that concluded that soils with high organic matter and potassium content are more conducive to the development of fruit colour [70]. In addition, this study found that the changes in fruit colouration coefficients a*, C, and h° were not significant, with a* and C values slightly increasing compared to the T1 conventional fertilisation treatment. This indicates that the reduction in nitrogen fertiliser combined with the application of bio-organic fertiliser can increase the anthocyanin content in the fruit, promote fruit colouring, make the fruit brighter and redder [24,71], and improve the commercial value of the fruit. The b* and L* values significantly decreased when nitrogen fertiliser was reduced by 20% and 60% and combined with bio-organic fertiliser, which is consistent with the results of previous studies [70]. This may be due to the promotion of organic matter accumulation in the soil by humic acid in the bio-organic fertiliser, which promotes the accumulation of pigments in the peel of the fruit and deepens the colour of the peel, thereby reducing L* and b* values. The reasons for this need to be further investigated. In addition, this study did not conduct an in-depth analysis of the structure of soil microbial communities under different treatments and was unable to fully understand the impact of nitrogen reduction combined with bio-organic fertiliser on soil microorganisms. This will be addressed in future research.

5. Conclusions

Reducing nitrogen fertiliser application and applying bio-organic fertilisers can effectively fertilise the soil, increase leaf nutrient content and fruit yield, and improve fruit quality. Moreover, fruit quality was significantly and positively correlated with most soil indicators, whereas yield was positively correlated with most soil indicators. Among them, T2 treatment, which resulted in a 20% reduction in nitrogen application combined with bio-organic fertiliser, resulted in the best outcomes and could be used for apple cultivation in the Yili region. The results of this study also reveal the important role of reducing nitrogen application and applying bio-organic fertiliser in improving fruit quality and soil and have potential significance for promoting organic cultivation of apple fruit and green agricultural development.

Author Contributions

R.Y. performed the experiments, analysed the data, wrote the first draft, revised the manuscript, and was responsible for the publication; R.B. performed the project management, designed the study, and finalised the manuscript; Q.Y. provided the research material and managed the project; Y.B. performed the data collection; W.Y. performed the project administration. All authors have read and agreed to the published version of the manuscript.

Funding

This research was funded by the Scientific and Technological Breakthrough Project of Corps: The evaluation of ecological adaptability of apple rootstock–scion combinations in Xinjiang and the research and integration of the supporting cultivation technical system and demonstration (2023AB077).

Institutional Review Board Statement

Not applicable for studies not involving humans or animals.

Informed Consent Statement

Not applicable.

Data Availability Statement

Data are contained within the article.

Conflicts of Interest

The authors declare no conflicts of interest.

References

  1. Liu, Y.J. Apple Industry in China. Doctoral Dissertation, China Agricultural University, Beijing, China, 2005. [Google Scholar]
  2. Ren, J.J.; Zhang, M.M.; Li, W. Analysis on the regional distribution characteristics and supply and demand optimization of apple in China. Chin. J. Fruit Sci. 2023, 5, 123–126. [Google Scholar] [CrossRef]
  3. Wang, J.; Xu, D.Y.; Gao, Y.Y.; Ren, S.L. Xinjiang’s Advantages in Fruit and Vegetable Production and Climate; China Meteorological Press: Beijing, China, 2006; pp. 101–109. [Google Scholar]
  4. Wang, A.L.; Duan, G.Q.; Tian, S.M.; Liang, Z.J.; Zhang, J.C. Effects of Combined Application of Microbial Fertilizer on Quality and Photosynthetic Characteristics of ‘Fuji’Apple. North. Hortic. 2022, 18, 16–22. [Google Scholar]
  5. Li, C.Y. Effects of Different Modes of Reducing Fertilizer on the Growth and Fructification of Fuji Apple Tree. Master’s Thesis, Northwest A&F University, Xianyang, China, 2019. [Google Scholar]
  6. Zhao, Z.P. Analysis of nitrogen inputs and soil nutrient loading in different croplands in the upper Hangjiang River. J. Environ. Sci. 2014, 34, 2861–2868. [Google Scholar] [CrossRef]
  7. Zhang, D.Y.; Zhao, L.; An, L.; Liu, H.; Chen, T.C. Investigation and Analysis Nutrient Status of Red Fuji Apple Orchard Soil and Leaf in Yili Area. J. Northwest For. Univ. 2014, 29, 71–74. [Google Scholar] [CrossRef]
  8. Song, P.Z. Effects of Nitrogen Reduction Combined with Organic Fertilizer and Biological Fungus Fertilizer on Quality and Yield of Chinese Flowering Cabbage. Master’s Thesis, Jilin Agricultural University, Changchun, China, 2022. [Google Scholar]
  9. Liu, J. Tentative Research on Mechanism of Microbial Fertilizers Biofertilizers/Inoculants on Promoting Plant Growth. Master’s Thesis, Chinese Academy of Agricultural Sciences, Beijing, China, 2000. [Google Scholar]
  10. Yunus, A.; Brahmanto, N.; Widyastuti, Y. Artemisia annua respon to various types of organic fertilizer and dose in lowland. IOP Conf. Ser. Earth Environ. Sci. 2018, 142, 012021. [Google Scholar] [CrossRef]
  11. Deng, J.L.; Li, H.L.; Li, X.L.; Wang, Y.; Zeng, Q.; Li, S.Y. Effect of Microbial Agent on Tobacco Wilt. Tianjin Agric. Sci. 2015, 21, 117–119. [Google Scholar] [CrossRef]
  12. Guo, L.Y.; Wu, G.L.; Li, Y.; Li, C.H.; Liu, W.J.; Meng, J.; Liu, H.T.; Yu, X.F.; Jiang, G.M. Effects of cattle manure compost combined with chemical fertilizer on topsoil organic matter, bulk density and earthworm activity in a wheat–maize rotation system in Eastern China. Soil Tillage Res. 2016, 156, 140–147. [Google Scholar] [CrossRef]
  13. Tang, H.; Wang, J.W.; Xu, C.S.; Zhou, W.Q.; Wang, J.F.; Wang, X. Research progress analysis on key technology of chemical fertilizer reduction and efficiency increase. Trans. Chin. Soc. Agric. Mach. 2019, 50, 11. [Google Scholar] [CrossRef]
  14. Zhang, Y.C.; Xie, J.M.; Li, J.; Niu, T.H.; Xia, G.D.; Mao, Z.Y.; Wang, Q.L.; Chen, Y.Y. Effects of Partial Substitution of Chemical Fertilizer by Bio-organic Fertilizer on Asparagus Lettuce and Soil Physical-chemical Properties and Microorganisms. J. Soil Water Conserv. 2019, 33, 196–205. [Google Scholar] [CrossRef]
  15. Bai, Y.L. The situation and prospect of research on efficient fertilization. Sci. Agric. Sin. 2018, 51, 2116–2125. [Google Scholar] [CrossRef]
  16. Ren, K.Y.; Duan, Y.H.; Xu, M.G.; Zhang, X.B. Effect of manure application on nitrogen use efficiency of crops in China: A meta-analysis. Sci. Agric. Sin. 2019, 52, 2983–2996. [Google Scholar] [CrossRef]
  17. Sun, L.Y.; Ma, Y.C.; Liu, Y.L.; Li, J.; Deng, J.Y.; Rao, X.D.; Zhang, Y. The combined effects of nitrogen fertilizer, humic acid, and gypsum on yield-scaled greenhouse gas emissions from a coastal saline rice field. Environ. Sci. Pollut. Res. 2019, 26, 19502–19511. [Google Scholar] [CrossRef] [PubMed]
  18. Wang, J.W.; Yue, D.D.; Li, G.J.; Li, L.; Liu, Y.Y.; Zhen, J.; Zhao, J.J.; Chen, G.S.; Yang, J.X.; Mu, Q. Effects of Bacillus subtilis on Physiological and Biochemical Indexes of Winter Wheat. Henan Sci. 2020, 38, 397–403. [Google Scholar] [CrossRef]
  19. Zhang, Y.L.; Li, C.H.; Wang, Y.W.; Hu, Y.M.; Christie, P.; Zhang, J.L.; Li, X.L. Maize yield and soil fertility with combined use of compost and inorganic fertilizers on a calcareous soil on the North China Plain. Soil Tillage Res. 2016, 155, 85–94. [Google Scholar] [CrossRef]
  20. Zhang, B. Effects of Climate Change on Agricultural Chemical Fertilizer Utilization Efficiency Taking an Example of Apple Production in Two Superior Areas. Master’s Thesis, Northwest A&F University, Xianyang, China, 2018. [Google Scholar]
  21. Liang, Y.Z. Effects of Manure Combined with Inorganic Fertilizer on the Characteristic of Soil Microbiology and Fertility. Master’s Thesis, Northeast Agricultural University, Harbin, China, 2017. [Google Scholar] [CrossRef]
  22. Liu, W.Q. Effect of Replacing Nitrogen Fertilizer with Humic Acid Organic Fertilizer on Soil Nutrients and Apple Yield and Quality. Master’s Thesis, Northwest A&F University, Xianyang, China, 2022. [Google Scholar]
  23. Zhao, C.X.; Zheng, H.C.; Gao, F.S.; Gao, W.; Wang, X.; Wang, S. Effect of different materials on dynamic change of soil nitrate and ammonium nitrogen and N uptake by maize in Hetao irrigation area. Soil Fertil. Sci. China 2017, 6, 99–104. [Google Scholar]
  24. Han, C.H.; Li, B.; Yang, Y.J.; Jiang, W.; Zhang, X.Z.; Wang, Q.; Chen, D.X.; Xue, H.B. Effects of MeJA and PDJ on fruit coloration, sugar and acid content of three red pear cultivars. China Fruits 2022, 12, 14–19. [Google Scholar] [CrossRef]
  25. Yang, Z.Y. Anthocyanin content in mulberry red pigment by pH-differential spectrophotometry. Food Sci. Technol. 2007, 32, 201–203. [Google Scholar] [CrossRef]
  26. Deng, L.L.; Pan, X.Q.; Sheng, J.P.; Shen, L. Optimization of Experimental Conditions for the Determination of Water Soluble Protein in Apple Pulp Using Coomassie Brilliant Blue Method. Food Sci. 2012, 33, 185–189. [Google Scholar]
  27. Li, H.S. Principles and Techniques of Plant Physiology and Biochemistry Experiments; Higher Education Press: Beijing, China, 2000. [Google Scholar]
  28. Cao, J.K.; Jiang, W.B.; Zhao, Y.M. Experimental Guide for Postharvest Physiology and Biochemistry of Fruits and Vegetables; National Light Industry Press: Beijing, China, 2007; p. 34. [Google Scholar]
  29. Wang, L.Q.; Dai, X.Z. Application of Colorimeter for Testing Its Color Change during the Development of Hot Pepper (Capsicum annuum L.) Fruit. Pepper J. 2009, 7, 23–26+33. [Google Scholar] [CrossRef]
  30. Wang, L.; Ying, T.J. Study on the kinetic change of surface color of tomato fruits during post-harvest storage. Food Sci. Technol. 2000, 5, 49–51. [Google Scholar] [CrossRef]
  31. Zhang, B.; Luo, Y.; Wang, Y.; Hu, J.G. The Effect of Jasmonates on Fruit Coloration and Quality of New Yugui Grape. Northwest Hortic. (Compr.) 2021, 1, 51–54. [Google Scholar] [CrossRef]
  32. Ma, X.L.; Shi, P.L.; Wang, J.; Liang, D.; Lu, X.L. Diagnosis of deficiency of elements in Kyoho grape and prevention of deficiency of magnesium and zinc. Chin. Foreign Grape Wine 2016, 5, 48–53. [Google Scholar] [CrossRef]
  33. Whale, S.K.; Singh, Z.; Behboudian, M.H.; Janes, J.; Dhaliwal, S.S. Fruit quality in ‘Cripp’s Pink’ apple, especially colour, as affected by prehavest sprays of aminoethoxyvinyl glycine and etheph-on. Sci. Hortic. 2008, 115, 342–351. [Google Scholar] [CrossRef]
  34. Kang, Y.J.; Zhao, B.P.; Sun, W.; Liu, R.F.; Liu, J.H. Effects of Fertilizer Reduction Combined with Bio-organic Fertilizer on Soil Characteristics and Oat Yield. Chin. Agric. Sci. Bull. 2021, 37, 59–64. [Google Scholar]
  35. Wang, N.; Nan, H.Y.; Feng, K.Y. Effects of reduced chemical fertilizer with organic fertilizer application on soil microbial biomass, enzyme activity and cotton yield. Acta Ecol. Sin. 2020, 31, 173–181. [Google Scholar] [CrossRef]
  36. Luan, X.B.; Xu, F.L.; Wang, Y.K.; Li, H.J. Impacts of Fertilization on soil Microorganism Quantities and Enzyme Activities in Jujube Forest of Hillside. J. Northwest AF Univ. 2012, 21, 149–154. [Google Scholar] [CrossRef]
  37. Qi, Y.B.; Jiang, F.L.; Zhou, R.; Wu, Y.; Hou, X.L.; Li, J.X.; Lin, W.Y.; Wu, Z. Effects of Reduced Nitrogen with Bio-Organic Fertilizer on Soil Properties, Yield and Quality of Non-Heading Chinese Cabbage. Agronomy 2021, 11, 2196. [Google Scholar] [CrossRef]
  38. Li, F.X.; Zhao, Y. Effect of Nitrogen Fertilizer Reduction with Microbial Inoculants on Broccoli Production and the Influence of the Soil Microbial Characteristics. Soil Water Conserv. Res. 2017, 2, 94–100. [Google Scholar] [CrossRef]
  39. Pei, R.J.; Wang, J.Z.; Ji, J.H.; Wang, Z.Y.; Yuan, T.Y.; Sun, X.M.; Yan, J.Y. Effect of combined application of humic acid fertilizer and nitrogen fertilizer on soil physicochemical properties. Jiangsu Agric. Sci. 2018, 46, 331–334. [Google Scholar] [CrossRef]
  40. Li, Y.F.; Li, B.; Tao, J.L.; Hu, L.; Cao, Y.; Jin, H.Y. Effects of Reducing Nitrogen Fertilizer Application on Growth, Yield and Quality of Cabbage and Soil Nutrients. Guizhou Agric. Sci. 2020, 48, 106–111. [Google Scholar] [CrossRef]
  41. Feng, A.Q.; Zhang, M.; Li, C.L.; Yang, C.Y. Effects of Controlled Release Nitrogen Fertilizer on Soil Enzyme Activities and Soil Nutrient Utilization. J. Soil Water Conserv. 2014, 3, 177–184. [Google Scholar] [CrossRef]
  42. Yang, S.W.; Wang, J.P.; Liu, S.; Miao, Y.M.; Zhang, Y.C. Effects of Soil Amendments on Soil Physical and Chemical Properties of Dryland Apple Orchards and Economic Efficiency in the Loess Plateau. Water-Sav. Irrig. 2023, 1, 40–46. [Google Scholar] [CrossRef]
  43. Wang, F.J.; Guo, X.S.; Ding, F.J.; Wu, Q.Q.; Zhu, L.X. Effects of Humic Acid, Bacillus subtilis and Calcium Peroxide on Soil Fertility of Salvia miltiorrhiza Continuous Cropping Field. Shandong Agric. Sci. 2021, 53, 85–90. [Google Scholar] [CrossRef]
  44. Li, W.; Wang, J.T. Effects of Bacillus subtilis and phosphate-solubilizing bacteria on soil characteristics and fruit quality in apple orchards. Jiangsu Agric. Sci. 2018, 46, 140–144. [Google Scholar] [CrossRef]
  45. Olasupo, I.O.; Wang, J.; Wei, X.X.; Sun, M.T.; Li, Y.S.; Yu, X.C.; Yan, Y.; He, C.X. Chili residue and Bacillus laterosporus synergy impacts soil bacterial microbiome and agronomic performance of leaf mustard (Brassica juncea L.) in a solar greenhouse. Plant Soil 2022, 479, 185–205. [Google Scholar] [CrossRef]
  46. Yang, L.L.; Wang, Y.H.; Han, W.S.; Ma, L.Y.; Yang, D.C.; Han, Y.Y.; Tong, Y.A. Effects of reducing nitrogen fertilizer and applying organic fertilizer on apple yield and quality and soil biological characteristics. J. Agric. Environ. Sci. 2021, 40, 631–639. [Google Scholar] [CrossRef]
  47. Sha, H.N.; Sun, Q.; Zhou, M.; Guo, J.; Zhang, X.J. Effect of N Application Rate on Soil Enzyme Activities, Physiological Activities and Yield of Tomato. North. Hortic. 2010, 7, 9–11. [Google Scholar]
  48. Sattar, A.; Naveed, M.; Ali, M.; Zahir, Z.A.; Nadeem, S.M.; Yaseen, M.; Meena, V.S.; Farooq, M.; Singh, R.; Rahman, M.; et al. Perspectives of potassium solubilizing microbes in sustainable food production system: A review. Appl. Soil Ecol. 2019, 133, 146–159. [Google Scholar] [CrossRef]
  49. Zhang, W.J.; Yang, L.L.; Wang, J.H.; Zhu, L.S.; Wang, J.; Mao, S.S. Effect of combined pollution of three antibiotics and Cu on soil catalase activity. J. Agric. Resour. Environ. 2020, 37, 135–143. [Google Scholar] [CrossRef]
  50. Wu, Q.J.; Hu, M.D.; Hou, S.F.; Yuan, Y.; Kang, T.; Xie, K.L.; Xie, Z.J.; Ren, T.B.; Zhou, C.H.; Liu, H. Effect of nitrogen reduction with carbon-based fertilizer on the physicochemical properties and enzyme activity of pomelo soil. J. Henan Agric. Univ. 2022, 56, 732–741. [Google Scholar] [CrossRef]
  51. Yan, Y.S.; Zhong, X.M.; Duan, X.Y.; Li, R.H.; Li, H.; Wang, H. Effects of Different Mulching Treatments on Physicochemical Properties and Enzyme Activities of Vineyard Soil. Chin. Foreign Grape Wine 2023, 3, 1–9. [Google Scholar] [CrossRef]
  52. Song, Z.Z.; Li, X.H.; Li, J.; Lin, Z.A.; Zhao, B.Q. Long-term effects of mineral versus organic fertilizers on soil labile nitrogen fractions and soil enzyme activities in agricultural soil. J. Plant Nutr. Fertil. 2014, 20, 525–533. [Google Scholar] [CrossRef]
  53. Gong, Q.L.; Zhai, B.N.; Zheng, W.; Liu, J.; Zheng, Z.X.; Zhao, Z.Y.; Li, Z.Y.; Wang, Z.H. Effects of different fertilizer combinations on soil nutrients and enzyme activities under grass cover in apple orchards in Weibei dryland. Acta Ecol. Sin. 2018, 29, 205–212. [Google Scholar] [CrossRef]
  54. Yang, Y.H.; Li, M.J.; Wu, J.C.; Pan, X.Y.; Gao, C.M.; Tang, D.W.S. Impact of Combining Long-Term Subsoiling and Organic Fertilizer on Soil Microbial Biomass Carbon and Nitrogen, Soil Enzyme Activity, and Water Use of Winter Wheat. Front. Plants Sci. 2022, 12, 788651. [Google Scholar] [CrossRef]
  55. Rehana, R.; Kukal, S.S.; Hira, G.S. Soil organic carbon and physical properties as affected by long-term application of FYM and inorganic fertilizers in maize-wheat system. Soil Ellage Res. 2008, 101, 31–36. [Google Scholar] [CrossRef]
  56. Pu, Q.M.; Yang, P.; Deng, Y.C.; Xiang, C.Y.; Lin, B.M.; Liu, L.S.; Shi, S.M.; He, Z.M.; Yong, L. Effects of different fertilization methods on soil enzyme activity, soil nutrients and quality of spring cabbage. J. Agric. Sci. Technol. 2020, 22, 130–139. [Google Scholar] [CrossRef]
  57. Yang, Q.Y.; Zhang, M.K. Effect of bio-organic fertilizers partially substituting chemical fertilizers on labile organic carbon and bacterial community of citrus orchard soils. Plant Soil 2023, 483, 255–272. [Google Scholar] [CrossRef]
  58. Liu, W.B.; Cui, S.Y.; Wu, L.T.; Qi, W.L.; Chen, J.H.; Ye, Z.Q.; Ma, J.W.; Liu, D. Effects of Bio-organic Fertilizer on Soil Fertility, Yield, and Quality of Tea. J. Soil Sci. Plant Nutr. 2023, 23, 5109–5121. [Google Scholar] [CrossRef]
  59. Teng, Q.M.; Zhang, D.N.; Yu, L.M.; He, C.X.; Zhang, Z.F.; Xu, G.P. The effect of reducing nitrogen fertilizer and applying nitrogen-fixing bacteria on the growth of flue-cured tobacco and soil characteristics. Jiangsu Agric. Sci. 2023, 21, 72–78. [Google Scholar] [CrossRef]
  60. Gu, M.H.; Zhou, X.; Wei, J.Y.; Zeng, X.G.; Li, X.F. Effect of organic and inorganic fertilizers on lipid metabolism in flue-cured tobacco. Ecol. Environ. 2009, 2, 674–678. [Google Scholar] [CrossRef]
  61. Zhao, Y.N. Effections of Bacillus megaterium Application on the Characteristics of Soil Microbial Community and Mechanism of Cucumber Growth Promoting Function in Greenhouse. Doctoral Dissertation, Hebei Agricultural University, Baoding, China, 2021. Available online: https://link.cnki.net/doi/10.27109/d.cnki.ghbnu.2021.000264 (accessed on 5 January 2024).
  62. Wei, Z.M.; Sun, B.; Fang, C.; Dai, Z.W.; Liu, M.Q.; Jiao, J.G.; Xu, L. Co-inoculation with rhizobia and azotobacter affects the growth of Vicia villosa. Acta Prataculturalis Sin. 2021, 5, 94–102. [Google Scholar] [CrossRef]
  63. Jia, Y.L.; Liao, Z.; Wang, L.F.; Bu, J.C.; Lin, B.S.; Lin, H.; Lin, Z.S. Effects of chemical fertilizer reduction and co-application with a JUNCAO nitrogen-fixing biofertilizer on growth and nutritional quality of Pennisetum giganteum and soil nutrient status. J. Grass Ind. 2021, 3, 215–223. [Google Scholar] [CrossRef]
  64. Wei, B.; Li, Y.M.; Zhai, G.S.; Huang, W.J.; Li, N.; Quan, X.R. Effects of Nitrogenous Nutrition on Nutritional Functional Traits and Fruit Yield of Actinidia lindl. J. Anhui Agric. Sci. 2015, 12, 98–101. [Google Scholar] [CrossRef]
  65. Lu, Q.W.; Miles, C.; Tao, H.Y.; DeVetter, L.W. Reduced Nitrogen Fertilizer Rates Maintained Raspberry Growth in an Established Field. Agronomy 2022, 12, 672. [Google Scholar] [CrossRef]
  66. Li, T.T.; Zhai, B.N.; Li, Y.G.; Liu, L.L.; Yan, M.H.; Zhao, Z.Y. Effect of Combined Application of Organic and lnorganic Fertilizers on Quality of Red Fuji’Apple in Dry Land. North. Hortic. 2013, 21, 178–181. [Google Scholar]
  67. Zhang, Y.; Zhang, R.; Xu, T.T. The effects of organic fertilizer replacing nitrogen fertilizer on the yield, quality, and water-fertilizer efficiency of greenhouse tomato under the condition of reducing nitrogen fertilizer. China Cucurbits Veg. 2023, 12, 93–99. [Google Scholar] [CrossRef]
  68. Zhang, L.X.; Zhou, J.; Zhao, Y.G.; Zhai, Y.; Paramasivam, S. Optimal combination of chemical compound fertilizer and Humic acid to improve soil and leaf properties, yield and quality of apple (Malus domestica) in the loess plateau of China. Pak. J. Bot. 2013, 45, 1315–1320. [Google Scholar]
  69. Hernández-Rodríguez, A.; Montaño-Carrasco, M.; Ojeda-Barrios, D.; Martínez-Rosales, A.; Cruz-Álvarez, O.; Martínez-Damián, M.T.; Rodríguez-Roque, M.J. Foliar Nutritional Content and Apple Fruit Quality as Affected by Organic, Conventional, or Integrated Management. Plant Nutr. 2021, 44, 1886–1902. [Google Scholar] [CrossRef]
  70. Kilic, N.; Burgut, A.; Gündesli, M.A.; Nogay, G.; Ercisli, S.; Kafkas, N.E.; Ekiert, H.; Elansary, H.O.; Szopa, A. The Effect of Organic, Inorganic Fertilizers and Their Combinations on Fruit Quality Parameters in Strawberry. Horticulturae 2021, 7, 354. [Google Scholar] [CrossRef]
  71. Dai, H.J.; Wei, Q.; He, Y.; Wang, Y.N.; Wang, Z.P. Effects of Brassinolide Treatment on Anthocyanin Synthesis and Quality in Grape Under High Temperature Stress. Acta Hortic. 2023, 50, 1711–1722. [Google Scholar] [CrossRef]
Figure 1. Physicochemical properties after partial replacement of inorganic nitrogen with bio-organic fertiliser. Soil samples were taken at 0–20 cm (orange) and 20–40 cm (green) depths. The data are presented as mean ± standard error. Lowercase letters in the figure represent significant differences in the same soil layer (p < 0.05). (A) alkaline lysis nitrogen, (B) available phosphorus, (C) available potassium, (D) soil organic matter, (E) nitrate nitrogen, (F) ammonium nitrogen, (G) pH.
Figure 1. Physicochemical properties after partial replacement of inorganic nitrogen with bio-organic fertiliser. Soil samples were taken at 0–20 cm (orange) and 20–40 cm (green) depths. The data are presented as mean ± standard error. Lowercase letters in the figure represent significant differences in the same soil layer (p < 0.05). (A) alkaline lysis nitrogen, (B) available phosphorus, (C) available potassium, (D) soil organic matter, (E) nitrate nitrogen, (F) ammonium nitrogen, (G) pH.
Agronomy 14 00345 g001
Figure 2. Change in total element content in soil treated by partial replacement of inorganic nitrogen with bio-organic fertiliser. Soil samples were taken at 0–20 cm (orange) and 20–40 cm (green) depths. Different lowercase letters in the figure represent significant differences in the same soil layer (p < 0.05). (A) total nitrogen content, (B) total phosphorus content, (C) total potassium content, (D) total calcium content, (E) total magnesium content.
Figure 2. Change in total element content in soil treated by partial replacement of inorganic nitrogen with bio-organic fertiliser. Soil samples were taken at 0–20 cm (orange) and 20–40 cm (green) depths. Different lowercase letters in the figure represent significant differences in the same soil layer (p < 0.05). (A) total nitrogen content, (B) total phosphorus content, (C) total potassium content, (D) total calcium content, (E) total magnesium content.
Agronomy 14 00345 g002
Figure 3. Enzyme activity in soil treated with reduced amounts of inorganic nitrogen and bio-organic fertiliser. Soil samples were taken at 0–20 cm (orange) and 20–40 cm (green) depths. Lowercase letters in the figure represent significant differences between samples from the same soil layer (p < 0.05). (A) soil catalase, (B) soil uretrase, (C) soil saccharase, (D) soil cellulase, (E) soil acid phosphatase, (F) soil dehydrogenase, (G) soil nitrate reductase, (H) soil peroxidase, (I) soil nitrite reductase, (J) soil protease.
Figure 3. Enzyme activity in soil treated with reduced amounts of inorganic nitrogen and bio-organic fertiliser. Soil samples were taken at 0–20 cm (orange) and 20–40 cm (green) depths. Lowercase letters in the figure represent significant differences between samples from the same soil layer (p < 0.05). (A) soil catalase, (B) soil uretrase, (C) soil saccharase, (D) soil cellulase, (E) soil acid phosphatase, (F) soil dehydrogenase, (G) soil nitrate reductase, (H) soil peroxidase, (I) soil nitrite reductase, (J) soil protease.
Agronomy 14 00345 g003
Figure 4. Total elemental content in apple leaves under nitrogen reduction and bio-organic fertiliser treatment. Lowercase letters represent significant differences in the total element content of leaves under different treatments (p < 0.05). The empty and solid dots represent the mean and data points, respectively, and the dashed line is the normal distribution curve fitted to the data points. (A) total nitrogen content, (B) total phosphorus content, (C) total potassium content, (D) total calcium content, (E) total magnesium content.
Figure 4. Total elemental content in apple leaves under nitrogen reduction and bio-organic fertiliser treatment. Lowercase letters represent significant differences in the total element content of leaves under different treatments (p < 0.05). The empty and solid dots represent the mean and data points, respectively, and the dashed line is the normal distribution curve fitted to the data points. (A) total nitrogen content, (B) total phosphorus content, (C) total potassium content, (D) total calcium content, (E) total magnesium content.
Agronomy 14 00345 g004
Figure 5. Changes in apple fruit quality under nitrogen reduction and biological organic fertiliser treatments. Lowercase letters in the figure indicate significant differences in apple peel colouring coefficient values (p < 0.05). The empty and solid dots represent the mean and data points, respectively, and the dashed line is the normal distribution curve fitted to the data points. (A) single fruit weight, (B) fruit shape index, (C) fruit firmness, (D) toluble solid content, (E) VC content, (F) soluble protein content, (G) soluble sugar content, (H) titratable acid content, (I) sugar–acid ratio, (J) total chlorophyll content, (K) carotenoid content, (L) anthocyanin content.
Figure 5. Changes in apple fruit quality under nitrogen reduction and biological organic fertiliser treatments. Lowercase letters in the figure indicate significant differences in apple peel colouring coefficient values (p < 0.05). The empty and solid dots represent the mean and data points, respectively, and the dashed line is the normal distribution curve fitted to the data points. (A) single fruit weight, (B) fruit shape index, (C) fruit firmness, (D) toluble solid content, (E) VC content, (F) soluble protein content, (G) soluble sugar content, (H) titratable acid content, (I) sugar–acid ratio, (J) total chlorophyll content, (K) carotenoid content, (L) anthocyanin content.
Agronomy 14 00345 g005
Figure 6. Change in apple peel colouring coefficient under bio-organic fertiliser treatment. Lowercase letters in the figure represent the significant differences in values apple peel colouring coefficient values (p < 0.05). L*, brightness; a*, red–green axis; b*, yellow–blue axis; C, colour intensity; h°, tone.
Figure 6. Change in apple peel colouring coefficient under bio-organic fertiliser treatment. Lowercase letters in the figure represent the significant differences in values apple peel colouring coefficient values (p < 0.05). L*, brightness; a*, red–green axis; b*, yellow–blue axis; C, colour intensity; h°, tone.
Agronomy 14 00345 g006
Figure 7. Changes in apple yield under nitrogen reduction and bio-organic fertiliser treatment. Lowercase letters in the figure represent significant differences in yields (p < 0.05). The empty and solid dots represent the mean and data points, respectively, and the dashed line is the normal distribution curve fitted to the data points. (A) per-plant yield, (B) yield per hectare, (C) partial factor productivity from applied N (PFPN).
Figure 7. Changes in apple yield under nitrogen reduction and bio-organic fertiliser treatment. Lowercase letters in the figure represent significant differences in yields (p < 0.05). The empty and solid dots represent the mean and data points, respectively, and the dashed line is the normal distribution curve fitted to the data points. (A) per-plant yield, (B) yield per hectare, (C) partial factor productivity from applied N (PFPN).
Agronomy 14 00345 g007
Figure 8. Correlation analysis of apple fruit quality, yield, and soil index. All soil indicators were obtained from 0 to 20 cm soil samples. SFW: single fruit weight, FSI: fruit shape index, FF: fruit firmness, TSS: total soluble solid, TA: titratable acid, SSC: soluble sugar, SAR: sugar–acid ratio; SP: soluble protein, VC: Vitamin C, Chl: chlorophyll, Ant: anthocyanin, Car: carotenoid, L*: brightness, a*: red–green axis, b*: yellow–blue axis, C: colour intensity, h°: tone, PPY: per-plant yield, YPH: yield per hectare, PFPN: partial factor productivity from applied N, AN: alkaline lysis nitrogen, AP: available phosphorus, AK: available potassium, SOM: soil organic matter, NO3: nitrate nitrogen, NH4-N: ammonium nitrogen, TN: total nitrogen, TP: total phosphorus, TK: total potassium, TCa: total calcium, TMg: total magnesium, S-UE: uretrase, S-CAT: catalase, S-SC: saccharase, S-CL: cellulase, S-POD: peroxidase, S-NR: nitrate reductase, S-NiR: nitrite reductase, S-ACP: acid phosphatase, S-DHA: dehydrogenase, S-ACPT: protease.
Figure 8. Correlation analysis of apple fruit quality, yield, and soil index. All soil indicators were obtained from 0 to 20 cm soil samples. SFW: single fruit weight, FSI: fruit shape index, FF: fruit firmness, TSS: total soluble solid, TA: titratable acid, SSC: soluble sugar, SAR: sugar–acid ratio; SP: soluble protein, VC: Vitamin C, Chl: chlorophyll, Ant: anthocyanin, Car: carotenoid, L*: brightness, a*: red–green axis, b*: yellow–blue axis, C: colour intensity, h°: tone, PPY: per-plant yield, YPH: yield per hectare, PFPN: partial factor productivity from applied N, AN: alkaline lysis nitrogen, AP: available phosphorus, AK: available potassium, SOM: soil organic matter, NO3: nitrate nitrogen, NH4-N: ammonium nitrogen, TN: total nitrogen, TP: total phosphorus, TK: total potassium, TCa: total calcium, TMg: total magnesium, S-UE: uretrase, S-CAT: catalase, S-SC: saccharase, S-CL: cellulase, S-POD: peroxidase, S-NR: nitrate reductase, S-NiR: nitrite reductase, S-ACP: acid phosphatase, S-DHA: dehydrogenase, S-ACPT: protease.
Agronomy 14 00345 g008
Table 1. Experimental treatment and its fertilisation status.
Table 1. Experimental treatment and its fertilisation status.
TreatmentProcessing NumberN (g. Plant−1)Humic Acid Water-Soluble Fertiliser (g. Plant−1)Bacillus subtilis (g. Plant−1)
P2O5KO2Humic Acid
Conventional fertilisationT1300000
Nitrogen reduction by 20% + bio-organic fertiliserT2242.254.50.842
Nitrogen reduction by 40% + bio-organic fertiliserT3182.254.50.842
Nitrogen reduction by 60% + bio-organic fertiliserT4122.254.50.842
Disclaimer/Publisher’s Note: The statements, opinions and data contained in all publications are solely those of the individual author(s) and contributor(s) and not of MDPI and/or the editor(s). MDPI and/or the editor(s) disclaim responsibility for any injury to people or property resulting from any ideas, methods, instructions or products referred to in the content.

Share and Cite

MDPI and ACS Style

Yao, R.; Bai, R.; Yu, Q.; Bao, Y.; Yang, W. The Effect of Nitrogen Reduction and Applying Bio-Organic Fertilisers on Soil Nutrients and Apple Fruit Quality and Yield. Agronomy 2024, 14, 345. https://doi.org/10.3390/agronomy14020345

AMA Style

Yao R, Bai R, Yu Q, Bao Y, Yang W. The Effect of Nitrogen Reduction and Applying Bio-Organic Fertilisers on Soil Nutrients and Apple Fruit Quality and Yield. Agronomy. 2024; 14(2):345. https://doi.org/10.3390/agronomy14020345

Chicago/Turabian Style

Yao, Ruiyun, Ru Bai, Qingfan Yu, Yaqi Bao, and Weiwei Yang. 2024. "The Effect of Nitrogen Reduction and Applying Bio-Organic Fertilisers on Soil Nutrients and Apple Fruit Quality and Yield" Agronomy 14, no. 2: 345. https://doi.org/10.3390/agronomy14020345

APA Style

Yao, R., Bai, R., Yu, Q., Bao, Y., & Yang, W. (2024). The Effect of Nitrogen Reduction and Applying Bio-Organic Fertilisers on Soil Nutrients and Apple Fruit Quality and Yield. Agronomy, 14(2), 345. https://doi.org/10.3390/agronomy14020345

Note that from the first issue of 2016, this journal uses article numbers instead of page numbers. See further details here.

Article Metrics

Back to TopTop