Effects of Different Irrigation Management and Nitrogen Rate on Sorghum (Sorghum bicolor L.) Growth, Yield and Soil Nitrogen Accumulation with Drip Irrigation
Abstract
1. Introduction
2. Materials and Methods
2.1. Experimental Site Description
2.2. Experimental Design
2.3. Measurement of Sorghum Growth Traits
2.4. Aboveground Biomass and Seed Yield
2.5. Nitrate-N and Ammonium-N Accumulation in Soil
2.6. Data Analysis
3. Results
3.1. Plant Height, Stem Diameter, LAI and SPAD Value
3.2. Yield and Aboveground Biomass
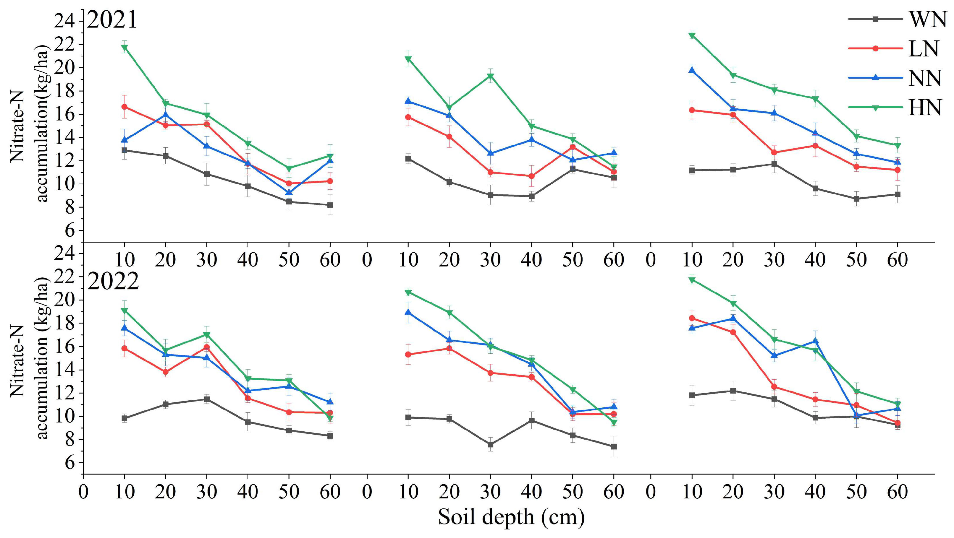
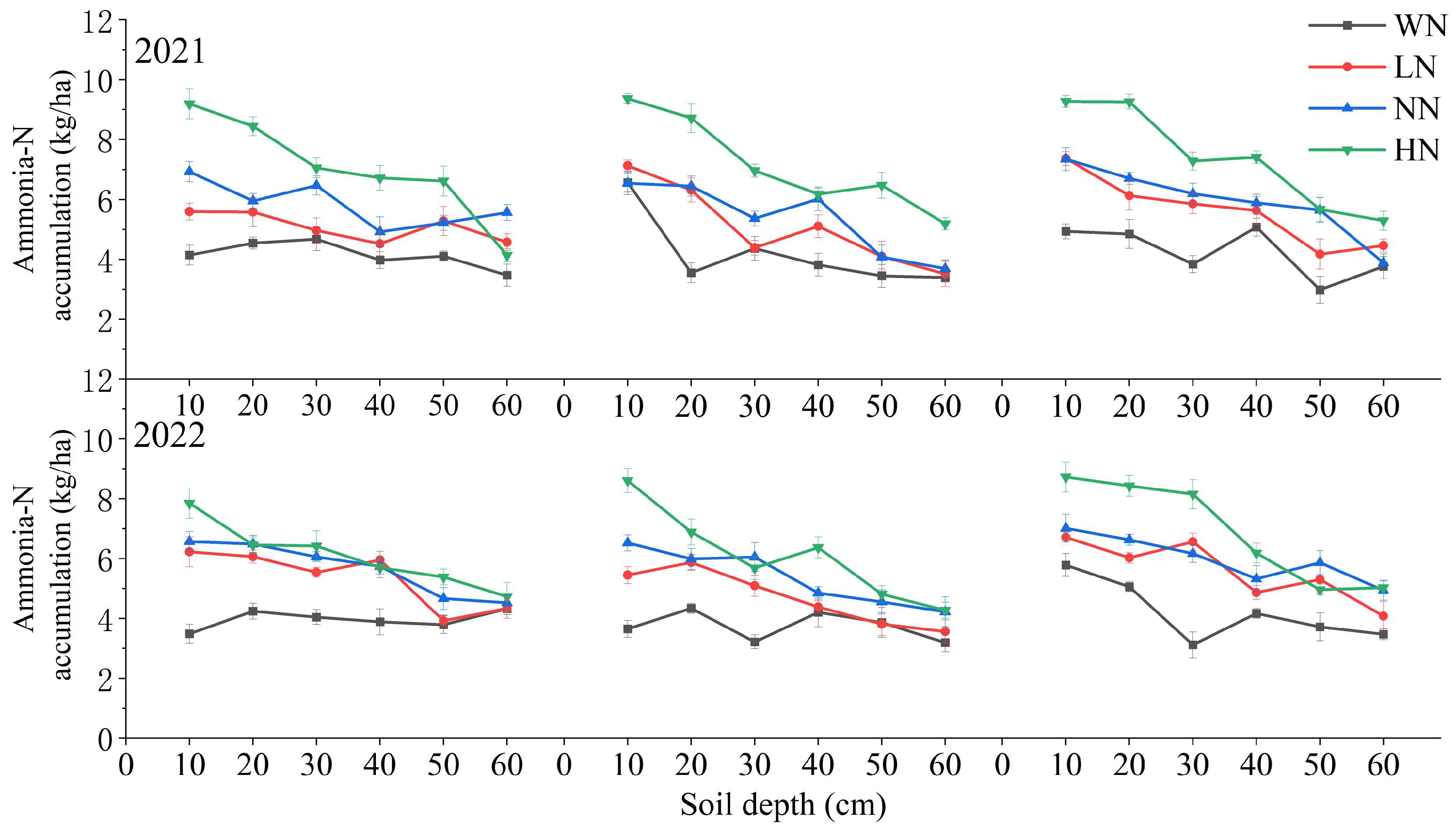
3.3. Soil Nitrate-N and Nitrate-N Accumulation in the 0~60 cm Soil Layer
3.4. Pearson’s Correlation Coefficients between Sorghum Growth (Plant Height, Stem Diameter, LAI and SPAD Value), Yield, Aboveground Biomass and Soil Nitrogen Accumulation
4. Discussion
4.1. Effects of Irrigation Management and Nitrogen Rate Management on Sorghum Growth
4.2. Effects of Irrigation Management and Nitrogen Rate Management on Sorghum Yield and Aboveground Biomass
4.3. Effects of Irrigation Management and Nitrogen Rate Management on Soil Nitrate-N and Nitrate-N Accumulation
5. Conclusions
Author Contributions
Funding
Data Availability Statement
Acknowledgments
Conflicts of Interest
References
- Hadebe, S.T.; Modi, A.T.; Mabhaudhi, T. Drought tolerance and water use of cereal crops: A focus on sorghum as a food security crop in Sub-Saharan Africa. J. Agron. Crop. Sci. 2017, 203, 177–191. [Google Scholar] [CrossRef]
- Crasta, O.; Xu, W.; Rosenow, D.; Mullet, J.; Nguyen, H. Mapping of post-fowering drought resistance traits in grain sorghum: Association between QTLs infuencing premature senescence and maturity. Mol. Gen. Genet. 1999, 262, 579–588. [Google Scholar] [CrossRef] [PubMed]
- Morris, G.P.; Ramu, P.; Deshpande, S.P.; Hash, C.T.; Shah, T.; Upadhyaya, H.D.; Riera-Lizarazu, O.; Brown, P.J.; Acharya, C.B.; Mitchell, S.E.; et al. Population genomic and genome-wide association studies of agroclimatic traits in sorghum. Proc. Natl. Acad. Sci. USA 2013, 110, 453–458. [Google Scholar] [CrossRef] [PubMed]
- Available online: www.fao.org/faostat/ (accessed on 1 January 2024).
- Staggenborg, S.A.; Dhuyvetter, K.C.; and Gordon, W.B. Grain Sorghum and Corn Comparisons: Yield, Economic, and Environmental Responses. Agron. J. 2008, 100, 1600–1604. [Google Scholar] [CrossRef]
- Li, J.; Yu, R.C.; Yue, X.Y.; Zhang, M.M.; Lie, N. Quantifying the Spatial Unevenness of Precipitation in Central and Eastern China. J. Hydrometeorol. 2023, 24, 2141–2149. [Google Scholar] [CrossRef]
- Ren, C.C.; Jin, S.Q.; Wu, Y.Y.; Zhang, B.; Kanter, D.; Wu, B.; Xi, X.C.; Zhang, X.; Chen, D.L.; Xu, J.M.; et al. Fertilizer overuse in Chinese smallholders due to lack of fixed inputs. J. Environ. Manag. 2021, 293, 112913. [Google Scholar] [CrossRef]
- Xue, C.X.; Zhang, T.T.; Yao, S.B.; Guo, Y.J. Effects of Households’ Fertilization Knowledge and Technologies on Over-Fertilization: A Case Study of Grape Growers in Shaanxi, China. Land 2020, 9, 321. [Google Scholar] [CrossRef]
- Pereira, L.S.; Cordery, I.; Iacovides, I. Improved indicators of water use performance and productivity for sustainable water conservation and saving. Agric. Water Manag. 2012, 108, 39–51. [Google Scholar] [CrossRef]
- Abd El-Mageed, T.A.; El-Samnoudi, I.M.; Ibrahim, A.E.A.M.; Abd El Tawwab, A.R. Compost and mulching modulates morphological, physiological responses and water use efficiency in sorghum (bicolor L. Moench) under low moisture regime. Agric. Water Manag. 2018, 208, 431–439. [Google Scholar] [CrossRef]
- Bonfim-Silva, E.M.; da Silva, T.J.A.; Cabral, C.E.A.; Kroth, B.E.; Rezende, D. Initial Development of Grasses Under Water Stress. Rev. Caatinga 2011, 24, 180–186. [Google Scholar]
- Wang, J.S.; Guo, R.; Dong, R.W.; Ding, Y.C.; Han, X.; Jiao, X.Y. Effects of Different Irrigation Amounts on the Growth, Yield and Water Use Efficiency of Sorghum. Chin. Agric. Sci. Bull. 2012, 28, 156–160. [Google Scholar]
- Li, D.X.; Liu, H.; Gao, S.K.; Leghari, S.J.; Hou, H.S.; Li, Y.B. Effect of Post-Drought Rehydration on Winter Wheat Fluorescence and Photosynthetic Indices under Different Levels of Nitrogen Application. Water 2023, 15, 305. [Google Scholar] [CrossRef]
- Amanullah Khalid, S.; Khalil, F.; Elshikh, M.S.; Alwahibi, M.S.; Alkahtani, J.; Imranuddin; Imran. Growth and dry matter partitioning response in cereal-legume intercropping under full and limited irrigation regimes. Sci. Rep. 2021, 11, 12585. [Google Scholar] [CrossRef] [PubMed]
- Cossani, C.M.; Slafer, G.A.; Savin, R. Co-limitation of nitrogen and water, and yield and resource-use efficiencies of wheat and barley. Crop. Pasture Sci. 2010, 61, 844–851. [Google Scholar] [CrossRef]
- Sui, J.; Wang, J.D.; Gong, S.H.; Xu, D.; Zhang, Y.Q.; Qin, Q.M. Assessment of maize yield-increasing potential and optimum N level under mulched drip irrigation in the Northeast of China. Field Crop. Res. 2018, 215, 132–139. [Google Scholar] [CrossRef]
- Sprunger, C.D.; Culman, S.W.; Palm, C.A.; Thuita, M.; Vanlauwe, B. Long-term application of low C:N residues enhances maize yield and soil nutrient pools across Kenya. Nutr. Cycl. Agroecosyst. 2019, 114, 261–276. [Google Scholar] [CrossRef]
- Sun, N.; Wang, T.Y.; Qi, B.W.; Yu, S.J.; Yao, Z.B.; Zhu, G.L.; Fu, Q.; Li, C.Y. Inhibiting release of phenanthrene from rice-crab coculture sediments to overlying water with rice stalk biochar: Performance and mechanisms. Sci. Total Environ. 2023, 908, 168385. [Google Scholar] [CrossRef]
- Wang, D.; Li, G.Y.; Mo, Y.; Cai, M.K.; Bian, X.Y. Evaluation of optimal nitrogen rate for corn production under mulched drip fertigation and economic benefits. Field Crop. Res. 2018, 216, 225–233. [Google Scholar] [CrossRef]
- Wang, S.Q.; Tang, C.Y.; Song, X.F.; Yuan, R.Q.; Han, Z.W.; Pan, Y. Factors contributing to nitrate contamination in a groundwater recharge area of the North China Plain. Hydrol. Process. 2016, 30, 2271–2285. [Google Scholar] [CrossRef]
- Shu, X.X.; Wang, Y.Q.; Wang, Y.L.; Ma, Y.; Men, M.X.; Zheng, Y.P.; Xue, C.; Peng, Z.P.; Noulas, C. Response of soil N2O emission and nitrogen utilization to organic matter in the wheat and maize rotation system. Sci. Rep. 2021, 11, 4396. [Google Scholar] [CrossRef]
- Yan, F.L.; Zhang, F.C.; Fan, X.K.; Fan, J.L.; Wang, Y.; Zou, H.Y.; Wang, H.D.; Li, G.D. Determining irrigation amount and fertilization rate to simultaneously optimize grain yield, grain nitrogen accumulation and economic benefit of drip-fertigated spring maize in northwest China. Agric. Water Manag. 2019, 243, 106440. [Google Scholar] [CrossRef]
- Bai, F.F.; Qi, X.B.; Li, P.; Du, Z.J.; Guo, W. Groundwater Depth and Nitrogen Application Amount Jointly Regulate the Water and Residual Soil Nitrate Accumulation in Agricultural Soil Profile. Agronomy 2023, 13, 1163. [Google Scholar] [CrossRef]
- Tong, L.; Liu, Z.; Cui, J.; Hu, J.; Zhang, R.Y. First Report of Leaf Blight caused by Setosphaeria turcica on Sweet Sorghum (Sorghum bicolor) in China. Plant Dis. 2017, 101, 1952. [Google Scholar] [CrossRef]
- Yan, X.X.; Jiang, D.; Fu, J.Y.; Hao, M.M. Assessment of Sweet Sorghum-Based Ethanol Potential in China within the Water-Energy-Food Nexus Framework. Sustainability 2018, 10, 1046. [Google Scholar] [CrossRef]
- Bao, S. Soil Agrochemical Analysis; China Agriculture Press: Beijing, China, 2000. [Google Scholar]
- Wang, S.B.; Guo, L.L.; Zhou, P.C.; Wang, X.J.; Shen, Y.; Han, H.F.; Ning, T.Y.; Han, K. Effect of subsoiling depth on soil physical properties and summer maize (Zea mays L.) yield. Plant Soil Environ. 2019, 65, 131–137. [Google Scholar] [CrossRef]
- Huang, J.Y.; Nie, T.Z.; Li, T.C.; Chen, P.; Zhang, Z.X.; Zhu, S.J.; Sun, Z.Y.; Lihua, E. Effects of Straw Incorporation Years and Water-Saving Irrigation on Greenhouse Gas Emissions from Paddy Fields in Cold Region of Northeast China. Agriculture 2022, 12, 1878. [Google Scholar] [CrossRef]
- Finch, T. Restoring farmlands for food and nature. One Earth 2020, 3, 665–668. [Google Scholar] [CrossRef]
- Comas, L.H.; Trout, T.J.; DeJonge, K.C.; Zhang, H.H.; Gleason, S.M. Water productivity under strategic growth stage-based deficit irrigation in maize. Agric. Water Manag. 2019, 212, 433–440. [Google Scholar] [CrossRef]
- Semida, W.M.; Abd El-Mageed, T.A.; Mohamed, S.E.; El-Sawah, N.A. Combined effect of deficit irrigation and foliar-applied salicylic acid on physiological responses, yield, and water-use efficiency of onion plants in saline calcareous soil. Arch. Agron. Soil Sci. 2017, 63, 1227–1239. [Google Scholar] [CrossRef]
- Xu, X.X.; Zhang, M.; Li, J.P.; Liu, Z.Q.; Zhao, Z.G.; Zhang, Y.H.; Zhou, S.L.; Wang, Z.M. Improving water use efficiency and grain yield of winter wheat by optimizing irrigations in the North China Plain. Field Crop. Res. 2018, 221, 219–227. [Google Scholar] [CrossRef]
- Liu, X.; Li, M.; Guo, P.; and Zhang, Z.X. Optimization of water and fertilizer coupling system based on rice grain quality. Agric. Water Manag. 2019, 221, 34–46. [Google Scholar] [CrossRef]
- De Lira, J.B.; De Andrade, A.P.; Magalhaes, A.L.R.; Campos, F.S.; De Araújo, G.G.L.; Gois, G.C.; Neto, A.R.; Cunha, D.D.; Tabosa, J.N.; Da Silva, T.G.F. Production of BRS Ponta Negra Sorghum Irrigated with Different Depths of Brackish Water Combined with Organic Fertilization. Commun. Soil Sci. Plant Anal. 2022, 53, 396–407. [Google Scholar] [CrossRef]
- Tovignan, T.K.; Fonceka, D.; Ndoye, I.; Cisse, N.; Luquet, D. The sowing date and post-flowering water status affect the sugar and grain production of photoperiodic, sweet sorghum through the regulation of sink size and leaf area dynamics. Field Crop. Res. 2016, 192, 67–77. [Google Scholar] [CrossRef]
- Fan, F.; Spiertz, J.H.J.; Han, L.P.; Liu, Z.X.; Xie, G.H. Sweet sorghum performance under irrigated conditions in north-west China: Biomass and its partitioning in inbred and hybrid cultivars at two nitrogen levels. Res. Crop. 2013, 14, 459–470. [Google Scholar]
- Tian, Y.; Wang, F.Y.; Shi, X.J.; Shi, F.; Li, N.N.; Li, J.H.; Chenu, K.; Luo, H.H.; Yang, G.Z. Late nitrogen fertilization improves cotton yield through optimizing dry matter accumulation and partitioning. Ann. Agric. Sci. 2023, 68, 75–86. [Google Scholar] [CrossRef]
- Sun, Z.X.; Zheng, J.M.; Sun, W.T. Coupled Effects of Soil Water and Nutrients on Growth and Yields of Maize Plants in a Semi-Arid Region. Pedosphere 2009, 19, 673–680. [Google Scholar] [CrossRef]
- Cai, S.B.; Zheng, B.Y.; Zhao, Z.Y.; Zheng, Z.X.; Yang, N.; Zhai, B.N. Precision Nitrogen Fertilizer and Irrigation Management for Apple Cultivation Based on a Multilevel Comprehensive Evaluation Method of Yield, Quality, and Profit Indices. Water 2023, 15, 468. [Google Scholar] [CrossRef]
- Si, R.; Liu, B.; Zhu, Z.C.; Liu, C.; Zhao, Y. Optimal fertigation and irrigation for sweet sorghum production in arid regions northwest Cina. J. Irrig. Drain. Eng. ASCE 2021, 40, 54–61. [Google Scholar]
- Obour, A.K.; Holman, J.D.; Assefa, Y. Grain sorghum productivity as affected by nitrogen rates and available soil water. Crop Sci. 2022, 62, 1360–1372. [Google Scholar] [CrossRef]
- Bartzialis, D.; Giannoulis, K.D.; Gintsioudis, I.; Danalatos, N.G. Assessing the Efficiency of Different Nitrogen Fertilization Levels on Sorghum Yield and Quality Characteristics. Agriculture 2023, 13, 1253. [Google Scholar] [CrossRef]
- Berge, H.F.M.; Hijbeek, R.; van Loon, M.P.; Rurinda, J.; Tesfaye, K.; Zingore, S.; Craufurd, P.; van Heerwaarden, J.; Brentrup, F.; Schröder, J.J.; et al. Maize crop nutrient input requirements for food security in sub-Saharan Africa. Glob. Food Secur. Agric. Policy 2019, 23, 9–21. [Google Scholar] [CrossRef]
- Sun, Y.; Hu, K.L.; Zhang, K.F.; Jiang, L.H.; Xu, Y. Simulation of nitrogen fate for greenhouse cucumber grown under different water and fertilizer management using the EU-Rotate_N model. Agric. Water Manag. 2012, 112, 21–32. [Google Scholar] [CrossRef]
- Chen, F.; Ameen, A.; Tang, C.C.; Du, F.; Yang, X.L.; Xie, G.H. Effects of Nitrogen Fertilization on Soil Nitrogen for Energy Sorghum on Marginal Land in China. Agron. J. 2017, 109, 636–645. [Google Scholar] [CrossRef]
- Subbarao, G.V.; Nakahara, K.; Ishikawa, T.; Ono, H.; Yoshida, M.; Yoshihashi, T.; Zhu, Y.Y.; Zakir, H.; Deshpande, S.P.; Hash, C.T.; et al. Biological nitrification inhibition (BNI) activity in sorghum and its characterization. Plant Soil 2013, 366, 243–259. [Google Scholar] [CrossRef]
- Li, Y.Y.; Zhang, Y.; Chapman, S.J.; Yao, H.Y. Biological nitrification inhibition by sorghum root exudates impacts ammonia-oxidizing bacteria but not ammonia-oxidizing archaea. Biol. Fertil. Soils 2021, 57, 399–407. [Google Scholar] [CrossRef]










| Soil Depth (cm) | Particle Size Distribution (%) | Soil Type | Bulk Density (g/cm3) | Field Capacity (%) | Wilting Point (%) | ||
|---|---|---|---|---|---|---|---|
| Clay | Silt | Sand | |||||
| 0~20 | 36.8 | 47.2 | 16 | Clay loam | 1.29 | 25.6 | 11.4 |
| 20~40 | 35.2 | 46.4 | 18.4 | Clay loam | 1.26 | 26.5 | 11.1 |
| 40~60 | 33.4 | 47.8 | 18.8 | Clay loam | 1.14 | 27.2 | 11.2 |
| Factors | Growth Stages | Plant Height | Stem Diameter | LAI | SPAD | ||||
|---|---|---|---|---|---|---|---|---|---|
| 2021 | 2022 | 2021 | 2022 | 2021 | 2022 | 2021 | 2022 | ||
| Irrigation management | Jointing Stage | ns | ns | ns | ns | ns | ns | * | ns |
| Heading Stage | * | * | * | ** | ns | ns | * | * | |
| Filling Stage | * | * | * | * | * | * | * | ns | |
| Maturity Stage | ns | * | ns | * | ns | ns | * | ns | |
| Nitrogen rate | Jointing Stage | ns | * | ns | * | * | * | ns | * |
| heading Stage | ** | * | ns | ns | * | * | * | * | |
| Filling Stage | ns | ns | * | ns | ns | * | * | * | |
| Maturity Stage | * | ns | ns | ns | * | * | ns | * | |
| Irrigation management × Fertilization rate | Jointing Stage | ns | * | ns | * | * | * | ** | * |
| Heading Stage | ** | ** | * | ** | * | * | ** | * | |
| Filling Stage | * | * | * | * | * | ** | ** | ** | |
| Maturity Stage | * | * | ns | * | * | * | ** | * | |
| Treatments | Yield (kg/ha) | Aboveground Biomass (kg/ha) | Nitrate-N Accumulation (kg/ha) | Ammonium-N Accumulation (kg/ha) | ||||
|---|---|---|---|---|---|---|---|---|
| 2021 | 2022 | 2021 | 2022 | 2021 | 2022 | 2021 | 2022 | |
| HI | 6538.01 a | 6536.54 ab | 12,594.09 a | 14,713.89 a | 75.3 a | 76.21 a | 33.17 a | 30.87 a |
| NI | 6474.63 a | 6877.72 a | 14,213.00 a | 12,825.15 ab | 78.77 a | 77.77 a | 32.66 a | 31.61 a |
| LI | 6143.90 b | 6295.24 b | 11,352.56 b | 11,031.75 b | 79.79 a | 77.2 a | 34.7 a | 34.08 a |
| HN | 6204.87 b | 6791.09 a | 12,991.15 ab | 13,904.35 a | 93.88 a | 92.53 a | 43.08 a | 38.23 a |
| NN | 7039.15 a | 6846.28 a | 14,848.72 a | 13,298.82 a | 82.22 b | 83.55 b | 43.08 b | 34.06 ab |
| LN | 6350.67 b | 6422.43 ab | 11,705.62 b | 13,089.13 a | 77.82 b | 78.87 b | 43.08 c | 34.07 b |
| WN | 5947.35 b | 6219.54 b | 11,334.07 b | 11,135.53 b | 77.82 c | 58.79 c | 43.08 d | 34.07 c |
| Irrigation management | * | * | ** | ** | ns | ns | ns | ns |
| Fertilization rate | ** | * | * | * | ** | ** | ** | ** |
| Irrigation management × Fertilization rate | * | * | ** | ** | ** | ** | ** | ** |
Disclaimer/Publisher’s Note: The statements, opinions and data contained in all publications are solely those of the individual author(s) and contributor(s) and not of MDPI and/or the editor(s). MDPI and/or the editor(s) disclaim responsibility for any injury to people or property resulting from any ideas, methods, instructions or products referred to in the content. |
© 2024 by the authors. Licensee MDPI, Basel, Switzerland. This article is an open access article distributed under the terms and conditions of the Creative Commons Attribution (CC BY) license (https://creativecommons.org/licenses/by/4.0/).
Share and Cite
Wang, Z.; Nie, T.; Lu, D.; Zhang, P.; Li, J.; Li, F.; Zhang, Z.; Chen, P.; Jiang, L.; Dai, C.; et al. Effects of Different Irrigation Management and Nitrogen Rate on Sorghum (Sorghum bicolor L.) Growth, Yield and Soil Nitrogen Accumulation with Drip Irrigation. Agronomy 2024, 14, 215. https://doi.org/10.3390/agronomy14010215
Wang Z, Nie T, Lu D, Zhang P, Li J, Li F, Zhang Z, Chen P, Jiang L, Dai C, et al. Effects of Different Irrigation Management and Nitrogen Rate on Sorghum (Sorghum bicolor L.) Growth, Yield and Soil Nitrogen Accumulation with Drip Irrigation. Agronomy. 2024; 14(1):215. https://doi.org/10.3390/agronomy14010215
Chicago/Turabian StyleWang, Zelin, Tangzhe Nie, Dehao Lu, Peng Zhang, Jianfeng Li, Fanghao Li, Zhongxue Zhang, Peng Chen, Lili Jiang, Changlei Dai, and et al. 2024. "Effects of Different Irrigation Management and Nitrogen Rate on Sorghum (Sorghum bicolor L.) Growth, Yield and Soil Nitrogen Accumulation with Drip Irrigation" Agronomy 14, no. 1: 215. https://doi.org/10.3390/agronomy14010215
APA StyleWang, Z., Nie, T., Lu, D., Zhang, P., Li, J., Li, F., Zhang, Z., Chen, P., Jiang, L., Dai, C., & Waller, P. M. (2024). Effects of Different Irrigation Management and Nitrogen Rate on Sorghum (Sorghum bicolor L.) Growth, Yield and Soil Nitrogen Accumulation with Drip Irrigation. Agronomy, 14(1), 215. https://doi.org/10.3390/agronomy14010215

