Abstract
Clavibacter michiganensis (Cm) is a tomato phytopathogenic bacterium. Outbreaks of Cm can result in severe yield and economic losses. To date, no resistance to Cm has been identified. Screening of wild tomato accessions has resulted in the identification of several sources of tolerance to Cm. The genetic background of tolerance provided by these sources is polygenic and complex. Previous results from advanced lines of a cross between Solanum arcanum LA2157 and S. lycopersicum showed that introgression lines carrying a locus of S. arcanum LA2157 on chromosome 7 had high levels of tolerance to Cm. We set out to functionally characterize this locus, in an effort to identify the gene(s) underlying the observed tolerance. Testing of near isogenic lines (NILs) containing a fixed LA2157 introgression on chromosome 7 did not lead to the expected results, as high susceptibility was observed in some NILs homozygous for the S. arcanum LA2157 allele. Therefore, we employed whole genome sequencing in combination with a bulk segregant analysis to identify loci involved in the observed tolerant phenotype. Our results suggest that two additional loci on chromosomes 2 and 4 together with the locus on chromosome 7 are required for tolerance to Cm.
1. Introduction
Resistance and tolerance represent the two major mechanisms of plant defences to pathogens [1]. Even though both resistance and tolerance result in the survival and reproduction of the host, the two mechanisms act in distinct ways [2]. Resistance acts by limiting the multiplication of the pathogen, while tolerance aims at the reduction of the effects of infection regardless of the pathogen population size [1,2].
The gram-positive phytopathogenic bacterium Clavibacter michiganensis (Cm) is responsible for bacterial canker of tomato (Solanum lycopersicum), one of the most destructive diseases of cultivated tomato [3,4]. The spread of the pathogen over long distances is primarily facilitated by contaminated seeds, while cultural practices can lead to a rapid spread of the pathogen in infected crops, resulting in severe disease outbreaks [5,6,7,8].
Cm colonizes the vasculature of tomato plants, leading to systemic infections. Severity of the disease depends on several factors, including the route of infection, environmental conditions, the tomato genotype, the developmental stage of the plant at the time of infection, and the virulence of the infecting strain [8,9,10,11]. The most commonly observed symptoms of the disease are wilting of leaves and leaflets, cankers on the stems and petioles of infected plants, as well as discoloration and necrosis of the xylem [3,4]. Localized infections of tomato fruits can lead to the development of necrotic spots, known as bird’s eye spots, while local infections of aerial parts can result in marginal leaf necrosis and white blister-like spots on the stems and leaves of plants [12,13]. Control of the pathogen is currently limited to the “good seed and plant practice” (GSPP) protocol, which aims at decreasing the risks of introduction and spread of the pathogen [14]. Chemical and biological agents for the control of Cm do not provide satisfactory levels of protection, while resistance to the pathogen has yet to be identified.
Early studies claimed several sources of resistance to the pathogen. Nevertheless, bacterial titres of the infected plants in these early studies were not assessed. Recent research that included the quantification of bacterial populations in wild accessions has only reported sources of tolerance. Based on these recent results, we cannot definitely conclude that the reported resistance was indeed resistance and not merely tolerance. For the purposes of this manuscript, we will refer to resistance and tolerance based on the terminology used in the original papers.
In most cases, the reported resistance conferred by wild accessions was found to be polygenic and complex (Table 1). An (unreported) accession of Solanum pimpinellifolium, which was used for the development of line “Bulgaria 12” (or PI 330727), was the first wild species reported to be resistant to Cm [15]. In other S. pimpinellifolium accessions, A129 and A134, several loci (ranged from four to 11) with additive effects were reported for the resistance observed in S. pimpinellifolium. However, no map positions of these loci were reported [15]. S. habrochaites LA407 is one of the most well-described sources conferring resistance to Cm. Initial genetic studies in crosses of S. habrochaites LA407 with S. lycopersicum resulted in one to three genetic loci linked to tolerance to Cm derived from S. habrochaites LA407 [16]. Further studies of the crosses resulted in the mapping of two QTLs on chromosomes 2 and 5 with an epistatic effect [17,18].
The polygenic nature of resistance to Cm was further demonstrated between inter- and intraspecific crosses of S. arcanum and S. lycopersicum [11,19,20]. The interspecific cross between S. arcanum LA2157 and S. lycopersicum cv. Solentos yielded three resistance quantitative trait loci (QTLs) located on tomato chromosomes 5, 7 and 9. The three QTLs were found to be additive, with the QTL on chromosome 7 having the biggest contribution to resistance [19]. Further fine-mapping of backcrosses between S. arcanum LA2157 and S. lycopersicum cv. Moneymaker (MM) reduced the size of the previously identified QTLs on chromosomes 5 and 7. In addition, two novel QTLs on tomato chromosomes 6 and 11 were identified [21]. Subsequent fine-mapping of the QTL on chromosome 7 concluded that a single ~211 kb introgression on chromosome 7 is enough to confer high tolerance to Cm. Based on the tomato reference genome, 15 genes were reported to be present on the ~211 kb introgression [22]. Finally, an intraspecific backcross population between the resistant S. arcanum LA2157 and susceptible S. arcanum LA2172 resulted in the identification of five QTLs on chromosomes 1, 6, 7, 8 and 10 of tomato [20]. In parallel to the fine-mapping of the backcrosses between S. arcanum LA2157 and S. lycopersicum cv. MM, bacterial enumeration in these crosses concluded that the bacterial titres were not different from the susceptible parent [21]. Therefore, the observed lack of symptoms was due to tolerance, rather than the previously reported resistance.
In contrast to most studies reporting multiple loci involved in resistance/tolerance to Cm, a dominant locus derived from S. arcanum var. humifusum linked to resistance has been reported on chromosome 4 of tomato [23]. Even though it was suggested that a single dominant gene was responsible for the observed resistance, the authors concluded that the resistance level was dependent on the presence of other modifier genes. Therefore, in our view, this source should also be considered as polygenic.
In an effort to identify novel sources of tomato resistance to Cm, 24 wild species were screened in our laboratory (Plant Breeding, WUR). The screen led to the report of three previously undescribed highly tolerant accessions, namely S. pimpinellifolium G1.1554, S. neorickii LA735 and S. neorickii LA2072 [11]. Further mapping studies of recombinant inbred lines (RILs) derived from crosses between S. pimpinellifolium GI.1554 and cv. MM, resulted in the identification of five QTLs on tomato chromosomes 1, 2, 7, 8, and 12. The QTL on chromosome 7 was found to have a major contribution to the observed tolerance [24].
Table 1.
Overview of loci associated with tolerance to Cm derived from wild accessions.
Table 1.
Overview of loci associated with tolerance to Cm derived from wild accessions.
| Tolerance Source | Susceptible Parent | Population | Tolerance/Resistance Type | Reference |
|---|---|---|---|---|
| S. habrochaites LA407 | S. lycopersicum cv. Ohio 86120 | F2 | QTLs Rcm 2.0 on chromosome 2 (Chr2) and Rcm 5.1 on Chr5 | [13] |
| S. arcanum LA2157 | S. lycopersicum cv. Solentos | F2 | QTLs on Chr5, Chr7 and Chr9 | [19] |
| S. arcanum LA2157 | S. lycopersicum cv. MM | Recombinant inbred lines (RILs) | QTLs on Chr5, Chr7, Chr6 and, Chr11 | [21] |
| S. arcanum LA2157 | S. lycopersicum cv. MM | Recombinant inbred lines (RILs) | ~211 kb introgression on Chr7 | [22] |
| S. pimpinellifolium GI. 1554 | S. lycopersicum cv. MM | Recombinant inbred lines (RILs) | QTLs on Chr1, Chr2, Chr7, Chr8, and Chr12 | [24] |
| S. arcanum LA2157 | S. arcanum LA2172 | Backcross (BC) of intraspecific cross | QTLs on Chr1, Chr6, Chr7, Chr8, and Chr10 | [20] |
| S. arcanum var. humifusum | S. lycopersicum × S. chilense LA460 | F2BC population of three genome hybrid S. lycopersicum line Cm 180 | Dominant gene on Chr4 (with modifier genes) | [23] |
In this study, we aimed to functionally characterize the 15 genes previously reported to be present on the ~211 kb LA2157 introgression, with the intention of identifying the gene(s) underlying the observed tolerance [22]. We used a BC3S6 line and its selfing with a fixed introgression on chromosome 7. Surprisingly, during our disease assays, we could not confirm the results previously reported. Therefore, we employed marker analysis as well as whole genome sequencing in combination with bulk segregant analysis (BSA) to identify loci involved in the observed tolerant phenotypes.
2. Materials and Methods
2.1. Plant Materials
In this study, we used an BC3S6 near isogenic line (NIL) PV175136 and its selfing PV185517. The material was developed from the original F2 population between the tolerant accession Solanum arcanum LA2157 and the susceptible Solanum lycopersicum cv. Solentos [19]. Shortly, progeny containing the identified QTLs described by van Heusden et al. [19] were backcrossed to Solanum lycopersicum cv. Moneymaker (cv. MM) to obtain BC3S6 NILs. Selfing of BC3S6 NIL PV175136 gave rise to PV185571, which was used in this study. The susceptible cv. MM was used as a control.
2.2. Bacterial Strains and Growth Conditions
Cm strain NCPBB382 was used in the bioassays. Prior to plant inoculation, the strain was grown at 25 °C on TBY plates (10 g L−1 tryptone, 5 g L−1 yeast extract, 5 g L−1 sodium chloride, 15 g L−1 bacteriological agar) for two days. For the preparation of the inoculum, bacterial cells were resuspended in Ringer’s buffer to a final concentration of ~108 cfu/mL (OD600 = 0.1).
2.3. Disease Assays
Tomato plants at the fourth true leaf stage were inoculated using a petiole clipping off method. The petioles of the first two fully expanded leaves were clipped off with razor blades immersed in the bacterial inoculum, and 5 μL of the bacterial inoculum was directly pipetted on the lowest wound created on the stem. For the first experiment, 27 plants (n = 27) from line PV175136 were inoculated. In the next two subsequent experiments, 54 (n = 54) and 73 (n = 73) plants from line PV185517 were used in the experiments, respectively.
Symptom development was monitored for up to 20 days post inoculation (dpi). A disease index (DI) scale based on the development of wilting symptoms on the leaves was used (0; no symptoms, 1; one leaf wilting, 2; <2/3 of leaves wilting, 3; 2/3 of leaves wilting, 4; 3/4 of leaves wilting, 5; all leaves wilting). A threshold of 2.5 was used to categorize plants as tolerant < 2.5 or susceptible ≥ 2.5, as at this value, more than half of the leaves were scored as wilting.
2.4. Development of Cleaved Amplified Polymorphic Sequences (CAPS) Markers
In previous research, it was described that NIL PV175136 contained a fixed 697 kb introgression on chromosome 7 [22]. To confirm the introgression size on chromosome 7, six in-gene CAPS markers flanking the reported introgression region (physical position SOL07-1060331 to SOL07-1784948) were designed. Genes in the region were mined from the available annotated ITAG3.2 genes on Jbrowser. Single nucleotide polymorphisms (SNPs) between S. arcanum LA2157 and S. lycopersicum cv. MM were identified, based on the de novo genome sequence of S. arcanum LA2157 [25] and the tomato genome ITAG 2.4 (SolGenomics). Polymorphic CAPS markers were developed based on the identified SNPs.
2.5. Genomic DNA Isolation and Genotypic
Genomic DNA (gDNA) was isolated from cotyledons of young tomato plants using a modified cetyl trimethylammonium bromide (CTAB) extraction method [26]. Gene specific primers were designed for the amplification of the allelic variants. Following amplification, the amplification products were incubated with the appropriate restriction enzyme at 37 °C overnight. The digested products were visualized on 2% agarose gel for the detection of the alleles present in each sample.
2.6. DNA Isolation and Pooling
Whole-genome sequencing (WGS) of a susceptible and a resistant pool of 14 plants, each was performed to identify loci involved in the observed phenotypes. Genomic DNA of plants was extracted from leaves that were flash frozen in liquid nitrogen and stored at −80 °C, using a modified (CTAB) extraction method [26]. DNA concentration of each sample was assessed using a Qubit Fluorometer (Invitrogen). Samples were cleaned with the Genomic DNA & Concentrator™-10 (Zymo Research). For each bulk, 28.57 ng of gDNA of each individual was pooled. For the WGS experiment, 400 ng of (pooled) gDNA were used for the library preparation and sequencing. Sequencing was performed on an Illumina Novaseq 6000 platform producing 151 bp paired end reads at a 35 × depth (Novogene Europe, Cambridge, UK).
2.7. Comparative Subsequence Sets Analysis (CoSSA)
A modified version of the CoSSA workflow was used for the identification of bulk-specific k-mers [27].
Using the KMC software package, k-mer databases with k = 31 and a minimum frequency of 2 were constructed from the susceptible and the resistant set of reads. Using the total number of k-mers in these databases, assuming the k-mer frequency to be Poisson distributed and estimating the total genome size to be 950 Mb, the rate parameter was estimated for both the susceptible and resistant set. From the two k-mer sets, two other databases were derived: all k-mers from the resistant set that were not in the susceptible set, and all k-mers from the susceptible set were not included in the resistant set. Then, these two new databases with uniquely resistant and uniquely susceptible k-mers were filtered to only k-mers with frequencies within the confidence interval of 99.9% for ploidy 1 or 2. These intervals were computed with the previously derived Poisson distributions. For each bulk, using the filtered k-mer database, all reads containing at least 15 (half the k-mer size) k-mers were selected. The two sets of selected reads were mapped against tomato reference genome SL4.0, just as both full sets of reads. For both the filtered and full sets of reads, coverage was computed using a bin equal to the k-mer size. As for the k-mer databases, rate parameters for the assumed Poisson distributions from the read depths were estimated. Using these distributions, for each bulk, the coverage bins were filtered to have both a total and selected read coverage within the confidence interval of 99.9% for ploidy 1 or 2. Because either 50% or 100% of the reads in each bin is expected to be selected, with the assumed underlying binominal distribution, a confidence boundary of 99.9% for the coverage fraction not to correspond with 25% of the total coverage was computed and applied. Finally, the selected bins were required to be covered by at least 10 uniquely mapped selected k-mers. This resulted in the filtered coverage of the 12 tomato chromosomes for both the R- and S-bulks.
2.8. Protein-Protein Interaction Network Prediction
For the prediction of potential protein-protein interactions between the two newly mapped loci on chromosomes 2 and 4 of tomato and the 15 mapped genes on the QTL on chromosome 7, we used the reference sequences of genes Solyc02g084740.4 and Solyc04g081190.3 as queries on the STRING database for functional protein association networks (https://string-db.org/, accessed 12 July 2022) using the default settings.
2.9. Protein Prediction of S. arcanum LA2157 Alleles
To predict the protein sequences produced by the S. arcanum LA2157 allelic variants, the coding sequence (CDS) of the genes was predicted based on the CDS of the S. lycopersicum allele. The CDS was then used on the expasy translate tool (https://web.expasy.org/translate/, accessed 12 July 2022) to predict the open reading frames and the protein sequences. The default settings were used in the prediction of the proteins.
3. Results
3.1. Phenotypic and Genotypic Evaluation of Lines PV175136 and PV185517
In an effort to confirm previous results, we used the line PV175136 and its selfing PV185517 derived from an initial cross between S. arcanum LA2157 and S. lycopersicum cv. Solentos, which carry the QTL on chromosome 7 homozygously and were tolerant to Cm [22].
To monitor the presence of the LA2157 introgression on chromosome 7, we developed cleaved amplified polymorphic sequence (CAPS) markers (Q7M1 to Q7M9, Supplementary Table S1) flanking the previously reported QTL region [22]. Marker analysis confirmed that these two lines are homozygous for the expected 697 kb introgression (physical position; SOL07-1060331 to SOL07-1784948) from S. arcanum LA2157 (Table 2).
Table 2.
CAPS markers analysis of the QTL on chromosome 7 in line PV175136. In the table, a number of plants with segregating phenotypes is given. A = homozygous for S. arcanum LA2157 allele, M = homozygous for S. lycopersicum cv. MM, S = susceptible, T = tolerant.
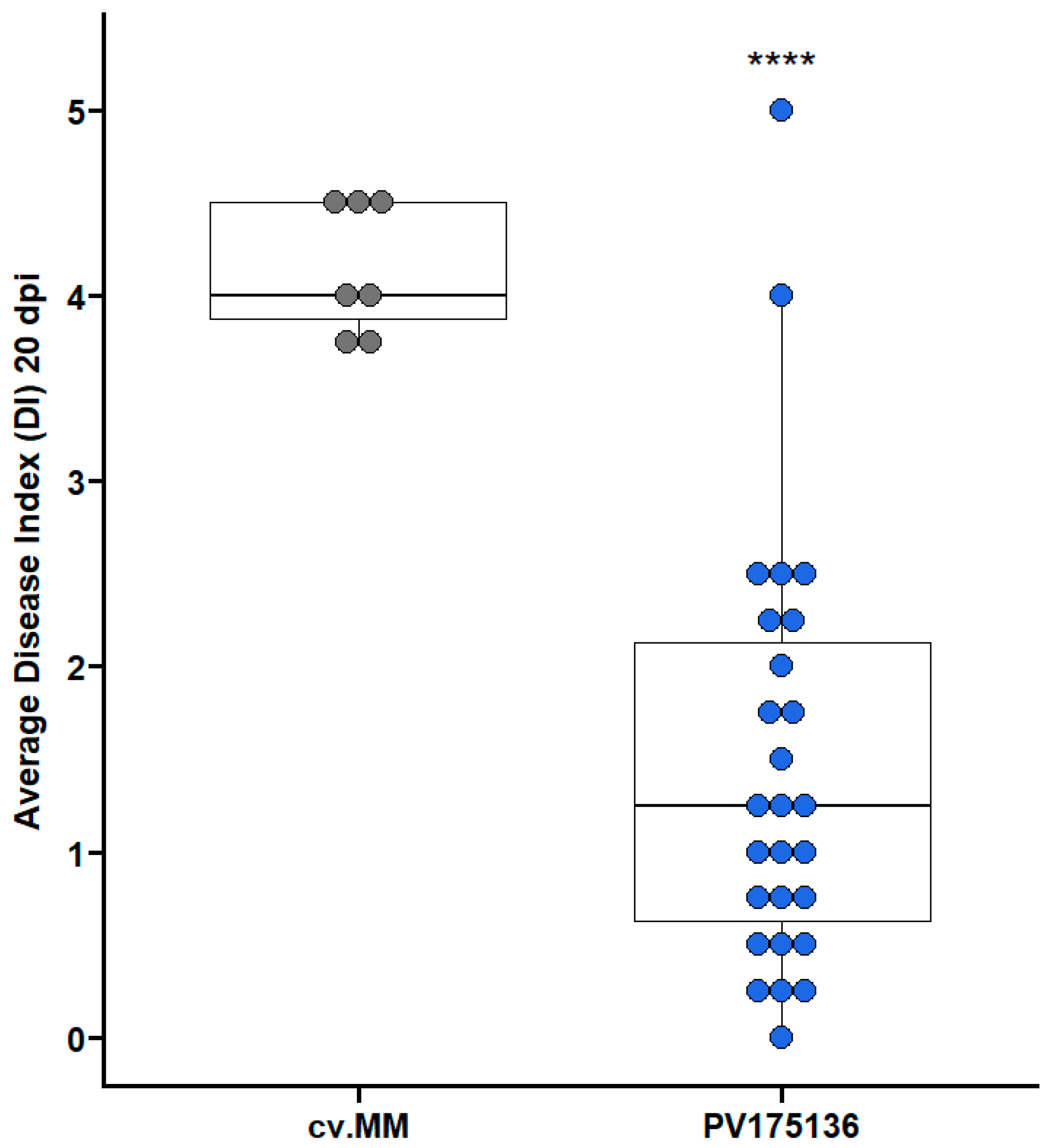
In our first experiment, the PV175136 line was inoculated with Cm. On average, a significant reduction of wilting symptoms was observed in family PV171536 compared to the susceptible control cv. MM at 20 dpi. However, we also recorded two plants that were highly susceptible (DI ≥ 2.5) in the PV175136 line (Figure 1).
Figure 1.
Phenotypic evaluation of line PV175136. Average disease index (DI) of the introgression line PV175136 and the susceptible background cv. MM at 20 days after inoculation with Clavibacter michiganensis NCPBB382. Centre lines indicate medians; the box limits indicate the 25th and 75th percentiles. (Student’s t-test, **** p ≤ 0.00).
To confirm these results, we decided to repeat the bioassays on a line derived from the selfing of PV175136-8. Prior to the infection of the plants, we confirmed that the PV185517 line carried the introgression on chromosome 7 homozygously (Table 3). Two independent experiments were performed with line PV185517. Our results were in accordance with what we previously observed for line PV175136. On average, the symptom development of line PV185517 was significantly lower than the susceptible cv. MM at 20 dpi (Figure 2a,b). Nevertheless, we observed both highly tolerant (0 ≤ DI < 2.5) and highly susceptible (2.5 ≤ DI ≤ 5) plants in the PV185517 family (Figure 2c,d).
Table 3.
CAPS markers analysis of the QTL on chromosome 7 in line PV185517. In the table, a number of plants with segregating phenotypes is given. A = homozygous for S. arcanum LA2157 allele, M = homozygous for S. lycopersicum cv. MM, S = susceptible, T = tolerant.
Figure 2.
Phenotypic evaluation of line PV185517. (a,b) Average disease index (DI) of introgression line PV185517 and the susceptible background cv. MM at 20 days after inoculation with Clavibacter michiganensis NCPBB382. (a,b) represent two independent experiments. Phenotype of (c) tolerant plants and (d) susceptible plants in the PV185517 family. Centre lines indicate medians; the box limits indicate the 25th and 75th percentiles. (Student’s t-test, **** p ≤ 0.00).
3.2. Additional QTLs on Chromosomes 5 and 9 Do Not Contribute to the Observed Tolerance
Since susceptible plants were observed in these two homozygous introgression lines, we speculated that another previously reported QTL from the initial cross, on either chromosome 5 or chromosome 9, was still segregating in the tested line [21]. To investigate this possibility, markers were run along the previously described genomic regions on chromosomes 5 (physical position; 39,792,518…61,792,631) and 9 (physical position; 52,411…4,698,709). Eight markers were run along each region on chromosomes 5 and 9. Only one single nucleotide polymorphism (SNP) (52533C > G) was identified between cv. MM and line PV185517. However, no segregation of the SNP was found between the plants of line PV185517, suggesting that this SNP was not responsible for the observed phenotypic segregation in the line.
3.3. Tolerance to Cm Requires QTL7 in Combination with Two Additional Loci on Chromosomes 2 and 4
To identify sequence variants linked to Cm tolerance in the PV185517 family, we combined whole genome sequencing (WGS) with bulk segregant analysis (BSA). We selected 14 fully resistant and 14 susceptible plants of PV185517 from the two independent experiments to compose the resistant bulk (R-bulk) and the susceptible bulk (S-bulk), respectively. Two higher peaks with different k-mer frequencies were observed for the R-bulk, one between positions 43,262,484…48,143,527 (6.98 Mb) on tomato chromosome 2, and the other between positions 63,165,755…63,767,930 (602 kb) on chromosome 4 (Figure 3). Several lower k-mer peaks were observed on other genomic regions (Figure 3). These lower k-mer peaks could be mapped due to lack of coverage in the S bulk, a hypothesis that still requires validation. On the mapped loci on chromosomes 2 and 4, only two genes contained k-mers that were specific to the R-bulk (Supplementary Table S2). These were genes Solyc02g084740.4 coding for cytochrome P450/CYP90C1 and Solyc04g081190.3 encoding vsf-1 on tomato chromosomes 2 and 4, respectively. Allele frequencies in the R-bulk for genes Solyc02g084740.4 and Solyc04g081190.3 were estimated to be 0.57 and 0.6, respectively. Further inspection of the sequencing data revealed that both sequences of the genes mapped on the R-bulk were identical to the S. arcanum LA2157 allele. Several S-bulk specific k-mers were also linked to genes specifically present in the S-bulk (Supplementary Table S3). Further analysis of the sequencing data revealed that the S-bulk specific k-mers were identical to the susceptible cv. MM sequences.
Figure 3.
Loci linked to tolerance and susceptibility to Cm mapped on chromosomes 2 and 4 of tomato. Density graphs of unique k-mers mapped to bins equal to k-mer size on the tomato (S. lycopersicum) reference genome ITAG 4.0. (a) Blue vertical lines indicate loci associated with tolerance, (b) blue vertical lined indicate loci associated with susceptibility.
3.4. Changes in the Amino Acid Sequence of Produced by the S. arcanum LA2157 Allelic Variant Lead to Changed Proteins
To detect for potential protein interactions between our new mapped genes on chromosomes 2 and 4 and the 15 genes mapped on QTL on chromosome 7 (Supplementary Table S4), we searched the STRING database for functional protein association networks. No interactions were detected on the database. The database, however, only allowed for the use of the sequences of the S. lycopersicum reference genome. We therefore decided to predict the protein sequences encoded by the S. arcanum LA2157 alleles and detect amino acid substitutions that could potentially result in changed protein-protein interactions. Alignment of the predicted S. arcanum LA2157 and the S. lycopersicum CYP90C1 (Solyc02g084740.4) proteins revealed a premature stop codon, leading to protein truncation and potential loss-of-function of the S. arcanum LA2157 protein. In addition, five amino acid changes were dtetected between the protein sequences. Of the five amino acid changes we predicted two which lead to changes in the amino acids charge. The pL167Q change results in a non-polar to polar amino acid substitution, whereas the pK255I substitution results in from a positively charged amino acid to a non-polar one (Figure 4).
Figure 4.
Alignment of the S. lycopersicum CYP90C1 protein against the predicted protein of the S. arcanum LA2157 allelic variant. Amino acids in red indicate changes between the two proteins.
After alignment of the predicted S. arcanum LA2157 and the S. lycopersicum vsf-1 (Solyc04g081190.3) proteins, we detected 8 amino acid changes between the protein sequences (Figure 5).
Figure 5.
Alignment of the S. lycopersicum vsf-1 protein against the predicted protein of the S. arcanum LA2157 allelic variant. Amino acids in red indicate changes between the two proteins.
Of the eight amino acid changes we predicted in the S. arcanum LA2157 protein, three were predicted to result in changes in the amino acids charge. The p.S56I change results in a polar to non-polar amino acid substitution. The p.P137S substitution results in a non-polar to polar amino acid change, while the p.K164E substitution results in a change from a basic to an acidic amino acid.
4. Discussion
Wild Solanum species harbour genetic diversity that can be used as a valuable source of disease resistance. Screenings of wild tomato accessions have resulted in the identification of several sources of tolerance to Cm [11,17,19,24]. Loci or markers closely linked to tolerance to Cm have been mapped on most of the tomato chromosomes (Figure 6). Colocalization of QTLs between studies have been reported for the QTLs mapped from crosses between S. arcanum LA2157 and S. lycopersicum [19,21,22]. Of the mapped QTLs, introgressions derived from S. arcanum LA2157 and S. pimpinellifolium GI. 1554 on chromosome 7 of tomato have been reported to have a major effect in tolerance [19,21].
Figure 6.
Overview of mapped QTLs reported to be linked to tolerance to Cm. Physical positions (Mb) of previously described QTLs linked to tolerance to Cm mapped on the Solanum lycopersicum genome. Bars indicate the QTL intervals determined by two flanking markers or one closely linked marker. Red bars indicate the newly mapped loci linked to tolerance on chromosomes 2 and 4 of tomato. References: ** [18], ***** [23], * [25], **** [26], *** [28]. It has long been speculated that morphological differences in the vascular system of wild tomato accessions might be responsible for the described tolerance to Cm [11,17,29]. Interestingly, both genes we mapped on chromosomes 2 and 4 could be related to vascular morphology. Gene Solyc02g084740.4 (cytochrome P450/CYP90C1) belongs to the cytochrome P450 family. Solyc02g084740.4 is an ortholog of the Arabidopsis ROTUNDIFOLIA3 (ROT3) gene, which is involved in brassinestoroid (BR) biosynthesis and polar cell elongation [30,31]. The CYP90C1 protein encodes a C-23 hydroxylase, which acts redundantly with CYP90D1 in BR biosynthesis in Arabidopsis [31]. BRs have been found to be important in several developmental processes of plants, including cell elongation, cell diving, and vascular differentiation [32]. Mutations in the Arabidopsis CYP90C1 gene have been shown to result in dwarf phenotypes, as well as to affect the expansion of cells in the stems of mutants and the arrangement of pith cells [29].
In our laboratory (Plant Breeding, WUR), efforts to identify the genes underlying the tolerance observed in crosses between S. arcanum LA2157 and S. lycopersicum resulted in a list of 15 genes in a ~211 kb introgression on the major QTL on chromosome 7. Data also suggested that the introgression on chromosome 7 alone were enough to confer high tolerance to Cm [22].
In this study, we set out to functionally characterize these 15 genes in the described region on chromosome 7. As a first step, we decided to confirm that the QTL on chromosome 7 alone is enough to confer high tolerance to Cm, as previously reported. A BC3S6 line and its selfing lines were used in our disease assays. During our disease assays, we indeed recorded a significant reduction in wilting symptoms on a line level. Nonetheless, we repeatedly observed phenotypic segregation between the plants in the line, with plants being highly tolerant or highly susceptible to the pathogen (Figure 1 and Figure 2).
Previously, it was reported that the combination of the QTL on chromosome 7 with either of the QTLs on chromosomes 5 or 9 leads to high levels of tolerance [19]. After marker analysis on the previously reported regions on chromosomes 5 and 9 of the line, we could not detect co-segregation of other QTLs with the observed segregating phenotypes (Table 1 and Table 2, Figure 1 and Figure 2).
By combining whole genome sequencing with a bulk segregant analysis, we identified two loci on tomato chromosomes 2 (6.98 Mb) and 4 (602 kb) contributing to the observed tolerance (Figure 3). Two genes with distinguishing k-mers on the loci on chromosomes 2 and 4 were mapped. Those were genes Solyc02g084740.4 and Solyc04g081190.3, coding for cytochrome P450/CYP90C1 and transcription factor VASCULAR SPECIFIC FACTOR-1 (vsf-1), respectively. Interestingly, a single dominant gene originating from S. arcanum var. humifusum was also reported on tomato chromosome 4 [23]. The position of the gene, however, was not mapped, and therefore, we cannot conclude if it co-localizes with the locus we mapped on chromosome 4.
VSF-1 is a development-related member of the bZIP family of transcription factors, and is expressed in vascular tissues [33]. Analysis of interactors of VSF-1 has revealed a strong interaction with the promoter of structural glycine-rich cell wall protein GRP1.8, which is specifically deposited on protoxylem and metaxylem cells [34,35]. Functional analysis of the rice homolog of VSF-1 (RF2a) reported that mutation of RF2a results in non-uniform lignification of the xylem, as well as alteration in phloem development [36].
Upon inspection of the sequencing data of the two genes mapped on the R-specific bulk, we could confirm that the SNPs present on the k-mers mapped to the genes were identical to the S. arcanum LA2157 allelic variant. We were able to show that differences in the coding sequences of the S. arcanum LA2157 alleles both genes result in the production of altered proteins (Figure 4 and Figure 5). In the case of Solyc02g084740.4 (cytochrome P459/CYP90C1), SNPs in the S. arcanum LA2157 allelic variant result in the production of a truncated protein. Amino acid substitutions in the proteins produced by allelic variants may influence protein-protein interactions [36]. Therefore, it is likely that changed interactions between the newly mapped loci on chromosomes 2 and 4 with the QTL on chromosome 7 result in tolerance. Based on the loci that we have mapped, molecular markers can be developed. Marker analysis of susceptible and resistant plants of the PV185517 line can confirm the involvement of the loci in tolerance. The use of molecular markers can also verify if the lower peaks mapped are minor loci or due to lack of sequencing coverage. As a next step, functional analysis of genes in the regions important for tolerance can further aid in the identification of the genes underlying the tolerant phenotype. In addition, morphological studies of the vascular systems of tolerant and susceptible plants might uncover differences that support the hypothesis that vascular changes are responsible for the observed tolerance.
Supplementary Materials
The following supporting information can be downloaded at: https://www.mdpi.com/article/10.3390/agronomy13040953/s1, Table S1. Details of CAPS markers used in this study; Table S2. Locations on the S. lycopersicum ITAG4.0 reference genome with resistant specific coverage; Table S3. Locations on the S. lycopersicum ITAG4.0 reference genome with susceptible specific coverage; Table S4. Genes mapped on QTL on chromosome 7; Computer code S1. Computer code developed for the Bulk Segregant Analysis (BSA).
Author Contributions
Conceptualization, E.K. and Y.B.; Methodology, E.K. and M.B.; Software, M.B.; Validation, E.K. and D.M.; Formal Analysis, E.K.; Investigation, E.K.; Resources, Y.B, J.M.V.d.W. and R.G.F.V.; Data Curation, E.K. and M.B., Writing—Original Draft Preparation, E.K.; Writing—Review & Editing, Y.B., J.M.V.d.W. and R.G.F.V. Visualization, Y.B.; Supervision, Y.B., J.M.V.d.W. and R.G.F.V.; Project Administration, Y.B.; Funding Acquisition, Y.B. and E.K. All authors have read and agreed to the published version of the manuscript.
Funding
This research was (partially) funded by NWO Science domain (NWO-ENW) project 8440590003, which is financed by the Dutch Research Council (NWO).
Data Availability Statement
The data presented in this study are openly available in European Nucleotide Archive (ENA), with reference number PRJEB59321.
Conflicts of Interest
The authors declare no conflict of interest. R.G.F.V is a member of the editorial board of Agronomy. The funders had no role in the design, in the collection, analyses or interpretation of data, in the writing of the manuscript, or in the decision to publish the results. The results described in this paper were part of the PhD study of Eleni Koseoglou and as such have appeared in a modified version in her PhD thesis entitled “Identification of susceptibility determinants in the tomato-Clavibacter michiganensis pathosystem”, Chapter 6, pages 143–173, Wageningen University and Research, DOI: 10.18174/574581, and ISBN: 978-94-6447-339-1.
References
- Pagán, I.; García-Arenal, F. Tolerance to Plant Pathogens: Theory and Experimental Evidence. Int. J. Mol. Sci. 2018, 19, 810. [Google Scholar] [CrossRef] [PubMed]
- Roy, B.A.; Kirchner, J.W. Evolutionary Dynamics of Pathogen Resistance and Tolerance. Evolution 2000, 54, 51–63. [Google Scholar] [CrossRef] [PubMed]
- Eichenlaub, R.; Gartemann, K.-H. The Clavibacter michiganensis Subspecies: Molecular Investigation of Gram-Positive Bacterial Plant Pathogens. Annu. Rev. Phytopathol. 2011, 49, 445–464. [Google Scholar] [CrossRef]
- Gartemann, K.-H.; Kirchner, O.; Engemann, J.; Gräfen, I.; Eichenlaub, R.; Burger, A. Clavibacter michiganensis subsp. michiganensis: First steps in the understanding of virulence of a Gram-positive phytopathogenic bacterium. J. Biotechnol. 2003, 106, 179–191. [Google Scholar] [CrossRef]
- Tancos, M.A.; Chalupowicz, L.; Barash, I.; Manulis-Sasson, S.; Smart, C.D. Tomato Fruit and Seed Colonization by Clavibacter michiganensis subsp. michiganensis through External and Internal Routes. Appl. Environ. Microbiol. 2013, 79, 6948–6957. [Google Scholar] [CrossRef]
- Sen, Y.; van der Wolf, J.; Visser, R.G.F.; van Heusden, S. Bacterial Canker of Tomato: Current Knowledge of Detection, Management, Resistance, and Interactions. Plant Dis. 2015, 99, 4–13. [Google Scholar] [CrossRef]
- Frenkel, O.; Bornestein, M.; Shulhani, R.; Sharabani, G.; Sofer, M.; Abo-Moch, F.; Lofthouse, M.; Manulis-Sasson, S.; Shtienberg, D. Secondary spread of Clavibacter michiganensis subsp. michiganensis in nurseries and the conditions leading to infection of tomato seedlings. Eur. J. Plant Pathol. 2016, 144, 569–579. [Google Scholar] [CrossRef]
- Sharabani, G.; Manulis-Sasson, S.; Borenstein, M.; Shulhani, R.; Lofthouse, M.; Chalupowicz, L.; Shtienberg, D. The significance of guttation in the secondary spread of Clavibacter michiganensis subsp.michiganensis in tomato greenhouses. Plant Pathol. 2013, 62, 578–586. [Google Scholar] [CrossRef]
- Sharabani, G.; Shtienberg, D.; Borenstein, M.; Shulhani, R.; Lofthouse, M.; Sofer, M.; Chalupowicz, L.; Barel, V.; Manulis-Sasson, S. Effects of plant age on disease development and virulence of Clavibacter michiganensis subsp.michiganensis on tomato. Plant Pathol. 2013, 62, 1114–1122. [Google Scholar] [CrossRef]
- Sharabani, G.; Manulis-Sasson, S.; Chalupowicz, L.; Borenstein, M.; Shulhani, R.; Lofthouse, M.; Sofer, M.; Frenkel, O.; Dror, O.; Shtienberg, D. Temperature at the early stages of Clavibacter michiganensis subsp.michiganensis infection affects bacterial canker development and virulence gene expression. Plant Pathol. 2014, 63, 1119–1129. [Google Scholar] [CrossRef]
- Sen, Y.; Feng, Z.; Vandenbroucke, H.; Van Der Wolf, J.; Visser, R.G.F.; Van Heusden, A.W. Screening for new sources of resistance to Clavibacter michiganensis subsp. michiganensis (Cmm) in tomato. Euphytica 2013, 190, 309–317. [Google Scholar] [CrossRef]
- Medina-Mora, C.M.; Hausbeck, M.K.; Fulbright, D.W. Bird’s Eye Lesions of Tomato Fruit Produced by Aerosol and Direct Application of Clavibacter michiganensis subsp. michiganensis. Plant Dis. 2001, 85, 88–91. [Google Scholar] [CrossRef] [PubMed]
- Chalupowicz, L.; Barash, I.; Reuven, M.; Dror, O.; Sharabani, G.; Gartemann, K.-H.; Eichenlaub, R.; Sessa, G.; Manulis-Sasson, S. Differential contribution of Clavibacter michiganensis ssp. michiganensis virulence factors to systemic and local infection in tomato. Mol. Plant Pathol. 2017, 18, 336–346. [Google Scholar] [CrossRef] [PubMed]
- EFSA. Scientific Opinion on the pest categorisation of Clavibacter michiganensis subsp. michiganensis (Smith) Davis et al. EFSA J. 2014, 12, 3721. [Google Scholar] [CrossRef]
- Thyr, B.D. Inheritance of Resistance to Corynebacterium michiganense in Tomato. Phytopathology 1976, 66, 1116–1119. [Google Scholar] [CrossRef]
- Francis, D.M.; Kabelka, E.; Bell, J.; Franchino, B.; St Clair, D. Resistance to Bacterial Canker in Tomato (Lycopersicon hirsutum LA407) and its Progeny Derived from Crosses to L. esculentum. Plant Dis. 2001, 85, 1171–1176. [Google Scholar] [CrossRef]
- Coaker, G.L.; Francis, D.M. Mapping, genetic effects, and epistatic interaction of two bacterial canker resistance QTLs from Lycopersicon hirsutum. Theor. Appl. Genet. 2004, 108, 1047–1055. [Google Scholar] [CrossRef]
- Kabelka, E.; Franchino, B.; Francis, D.M. Two Loci from Lycopersicon hirsutum LA407 Confer Resistance to Strains of Clavibacter michiganensis subsp.michiganensis. Phytopathology 2002, 92, 504–510. [Google Scholar] [CrossRef]
- Van Heusden, A.W.; Koornneef, M.; Voorrips, R.E.; Brüggemann, W.; Pet, G.; Vrielink-van Ginkel, R.; Chen, X.; Lindhout, P. Three QTLs from Lycopersicon peruvianum confer a high level of resistance to Clavibacter michiganensis ssp. michiganensis. Theor. Appl. Genet. 1999, 99, 1068–1074. [Google Scholar] [CrossRef]
- Sandbrink, J.M.; Van Ooijen, J.W.; Purimahua, C.C.; Vrielink, M.; Verkerk, R.; Zabel, P.; Lindhout, P. Localization of genes for bacterial canker resistance in Lycopersicon peruvianum using RFLPs. Theor. Appl. Genet. 1995, 90, 444–450. [Google Scholar] [CrossRef]
- Sen, Y. Bacterial Canker Resistance in Tomato. Ph.D. Thesis, Wageningen University & Research, Wageningen, The Netherlands, 2014; p. 140. [Google Scholar]
- Muniroh binti Mohd Nadzir, M. Different Approaches of Combating Bacterial Canker in Tomato: In Pursuit of Resistance. Ph.D. Thesis, Wageningen University & Research, Wageningen, The Netherlands, 2018; p. 149. [Google Scholar]
- Vulkova, Z.V.; Sotirova, V.G. Study of the three-genome hybrid Lycopersicon esculentum Mill.—L. chilense Dun.—L. peruvianum var ‘humifusum’ Mill. and its use as a source for resistance. Theor. Appl. Genet. 1993, 87, 337–342. [Google Scholar] [CrossRef] [PubMed]
- Sen, Y.; Manrique, M.J.; Kabaş, A.; Visser, R.G.F.; Heusden, A.W. Qtl Mapping of Clavibacter Michiganensis Subsp. Michiganensis (cmm) Resistance Originating from Solanum Pimpinellifolium g1.1554. Res. Sq. 2021. [Google Scholar] [CrossRef]
- Aflitos, S.; Schijlen, E.; De Jong, H.; De Ridder, D.; Smit, S.; Finkers, R.; Wang, J.; Zhang, G.; Li, N.; Mao, L.; et al. Exploring genetic variation in the tomato (Solanum section Lycopersicon) clade by whole-genome sequencing. Plant J. 2014, 80, 136–148. [Google Scholar] [CrossRef]
- Doyle, J. DNA Protocols for Plants; Springer: Berlin/Heidelberg, Germany, 1991; pp. 283–293. [Google Scholar]
- Prodhomme, C.; Esselink, D.; Borm, T.; Visser, R.G.F.; Van Eck, H.J.; Vossen, J.H. Comparative Subsequence Sets Analysis (CoSSA) is a robust approach to identify haplotype specific SNPs; mapping and pedigree analysis of a potato wart disease resistance gene Sen3. Plant Methods 2019, 15, 60. [Google Scholar] [CrossRef]
- Ohnishi, T.; Szatmari, A.M.; Watanabe, B.; Fujita, S.; Bancos, S.; Koncz, C.; Lafos, M.; Shibata, K.; Yokota, T.; Sakata, K.; et al. C-23 hydroxylation by Arabidopsis CYP90C1 and CYP90D1 reveals a novel shortcut in brassinosteroid biosynthesis. Plant Cell 2006, 18, 3275–3288. [Google Scholar] [CrossRef] [PubMed]
- Peritore-Galve, F.C.; Miller, C.; Smart, C.D. Characterizing Colonization Patterns of Clavibacter michiganensis during Infection of Tolerant Wild Solanum Species. Phytopathology 2020, 110, 574–581. [Google Scholar] [CrossRef]
- Kim, G.-T.; Tsukaya, H.; Uchimiya, H. The ROTUNDIFOLIA3 gene of Arabidopsis thaliana encodes a new member of the cytochrome P-450 family that is required for the regulated polar elongation of leaf cells. Genes Dev. 1998, 12, 2381–2391. [Google Scholar] [CrossRef]
- Oh, M.-H.; Honey, S.H.; Tax, F.E. The Control of Cell Expansion, Cell Division, and Vascular Development by Brassinosteroids: A Historical Perspective. Int. J. Mol. Sci. 2020, 21, 1743. [Google Scholar] [CrossRef] [PubMed]
- Li, D.; Fu, F.; Zhang, H.; Song, F. Genome-wide systematic characterization of the bZIP transcriptional factor family in tomato (Solanum lycopersicum L.). BMC Genom. 2015, 16, 771. [Google Scholar] [CrossRef]
- Ringli, C.; Keller, B. Specific interaction of the tomato bZIP transcription factor VSF-1 with a non-palindromic DNA sequence that controls vascular gene expression. Plant Mol. Biol. 1998, 37, 977–988. [Google Scholar] [CrossRef]
- Torres-Schumann, S.; Ringli, C.; Heierli, D.; Amrhein, N.; Keller, B. In vitro binding of the tomato bZIP transcriptional activator VSF-1 to a regulatory element that controls xylem-specific gene expression. Plant J. 1996, 9, 283–296. [Google Scholar] [CrossRef] [PubMed]
- Dai, S.; Petruccelli, S.; Ordiz, M.I.; Zhang, Z.; Chen, S.; Beachy, R.N. Functional Analysis of RF2a, a Rice Transcription Factor. J. Biol. Chem. 2003, 278, 36396–36402. [Google Scholar] [CrossRef] [PubMed]
- Teng, S.; Srivastava, A.K.; Schwartz, C.E.; Alexov, E.; Wang, L. Structural assessment of the effects of Amino Acid Substitutions on protein stability and protein protein interaction. Int. J. Comput. Biol. Drug Des. 2010, 3, 334. [Google Scholar] [CrossRef] [PubMed]
Disclaimer/Publisher’s Note: The statements, opinions and data contained in all publications are solely those of the individual author(s) and contributor(s) and not of MDPI and/or the editor(s). MDPI and/or the editor(s) disclaim responsibility for any injury to people or property resulting from any ideas, methods, instructions or products referred to in the content. |
© 2023 by the authors. Licensee MDPI, Basel, Switzerland. This article is an open access article distributed under the terms and conditions of the Creative Commons Attribution (CC BY) license (https://creativecommons.org/licenses/by/4.0/).





