Abstract
A strong canopy structure is central to maximizing yield. The canopy microenvironment, which is related to crop growth and development, reflects changes in a crop’s microclimate. In this study, with the uniform sowing of winter wheat (Triticun aestivum L.), five planting densities (in 104 plants·ha−1: 123, 156, 204, 278, and 400) were established to examine how the planting density affected filling stage spikes, canopy structures, microenvironments, yields, and yield components. The large-spike Xindong 50 and multi-spike Sangtamu 4 varieties were used. The experiment was conducted over 263 days in the Xinjiang province, in a warm continental arid desert-type climate, with low precipitation. The study aimed to determine the optimal parameters for cultivation on limited land and improve the production potential. For both varieties, from anthesis to filling, increases in planting density were associated with a rapid reduction in the leaf area index of the lower and middle parts of the leaves. Canopy temperature and canopy CO2 concentration also decreased, whereas relative humidity increased. The number of grains per spike and the thousand-grain weight of both varieties decreased with increased planting density. Yields were maximized at densities of 278 × 104 and 156 × 104 plants·ha−1 for the large- and multi-spike varieties, respectively, indicating that uniform sowing improves plant uniformity, and adjusting planting density optimizes canopy structure and microenvironment. Our study provides valuable data for optimizing planting densities to ensure high yields.
1. Introduction
Wheat is a widely grown food crop globally, and high wheat yields are required to guarantee food security [1,2]. Within this context, increasing wheat yields has been the focus of wheat cultivation research. Uniform sowing is a new yield-increasing technology for wheat cultivation. This approach ensures that wheat seeds are more evenly distributed, giving the plants relatively uniform spacing by regulating the tillering of single plants. Uniform sowing creates conditions for individual wheat plants to obtain balanced nutrition, reduces competition for nutrients at the seedling stage, and can enhance seedling quality. Moreover, it enables the plants to receive light uniformly, promotes a fuller utilization of light and heat resources, and improves seed yields [3].
Increasing planting density is the primary way to increase winter wheat yields [4,5]. The wheat canopy structure and canopy microenvironment are related to planting density and population growth, with planting density affecting the growth and development of individual wheat plants [6]. An appropriate canopy structure and microenvironment can maximize a crop’s production potential [7]. The viability of expanding planting areas and increasing investments in water, photosynthesis and fertilizer to achieve high wheat yields is limited [8,9]. Against this background, research into ecologically sustainable and high-yield wheat cultivation is focused on realizing crop production potential and ensuring the efficient use of limited resources during the reproductive period. This in turn depends on optimizing field layout, establishing appropriate plant spacing and density, and improving the distribution of light and heat in the crop canopy.
The canopy microenvironment reflects a combination of meteorological elements within the crop canopy, including light, temperature, water, and air. Within this context, Ben Mariem et al. indicated that higher temperatures shorten the wheat-filling duration [10]. The planting density of crops can change canopy relative humidity and canopy opening and temperature [11,12], allowing for a uniform distribution of CO2 in the crop canopy. Specifically, reduced row spacing can increase canopy humidity in the middle of the canopy and reduce maximum temperatures within the population. Furthermore, an even distribution of seeds can increase yields [13].
Most previous studies on winter wheat [14,15,16] have focused on the effects of row spacing and sowing volume on canopy structure, photosynthetic efficiency, and yields. Fewer studies [17], however, have examined the effects of planting density on the canopy structure of uniformly sown and irrigated winter wheat in southern Xinjiang, China. Notably, the use of correct cultivation techniques can effectively improve winter wheat canopy light distribution, and increase resource utilization efficiency. Developing a strong canopy structure is vital for achieving high wheat yields.
Therefore, within this study, we used different planting densities to investigate the optimal winter wheat canopy structure, using uniformly sown winter wheat in south Xinjiang. The objective was to provide a theoretical basis for ecologically sustainable and high-yield cultivation of winter wheat.
2. Materials and Methods
2.1. Experimental Site
The study was conducted in 2021–2022, at the experimental station of the College of Agriculture, Tarim University, Xinjiang (80°30′ N, 40°22′ E; 1100 m above sea level). The climate type is warm continental arid desert with low precipitation, and the agriculture is primarily irrigated. Meteorological data (Figure 1) were obtained from the National Meteorological Information Center (China) [18]. The soil is loamy, with a tillage layer of 0–20 cm, with the following base fertility levels: organic matter = 10.8 g·kg−1, alkaline nitrogen = 29.2 mg·kg−1, available phosphorus = 18.5 mg·kg−1, and fast-acting potassium = 132 mg·kg−1. Prior to land preparation, organic fertilizer (2250 kg·ha−1) and compound fertilizer (19%, 20%, and 6% of N, P, and K, respectively) (375 kg·ha−1) were applied as a base fertilizer.
Figure 1.
Daily precipitation and average temperature during the 2022 winter wheat growing season (National Meteorological Center of China).
2.2. Experimental Design
Two wheat varieties were used in our field study. One was a large-spike variety, Xindong 50 (V1), with a low effective tiller rate and high main stem productivity, and the other was a multi-spike variety, Sangtamu 4 (V2), with a greater effective tiller rate and smaller spikes. The experiment was conducted using a split-plot scheme, with varieties (V) reflected in the main plots and densities (D) in the sub-plots (6 × 4 m each), in a random complete-block design, with 3 replications. Uniform sowing (equal plant and row spacing) was adopted. In the sub-plots (Figure 2), five densities (D1–D5) were established with spacings of 9, 8, 7, 6, and 5 cm, achieving densities (in 104 plants·ha−1) of 123, 156, 204, 278, and 400, respectively. Manual spot-seeding was used with seeds sown at a depth of 3–4 cm. Seed spacing was fixed using wooden boards with punched holes. Sowing was commenced on 5 October 2021, with harvesting on 25 June 2022, making the total experiment length 263 days.
Figure 2.
Schematic showing the planning patterns for the various densities: D1 (9 cm), D2 (8 cm), D3 (7 cm), D4 (6 cm), and D5 (5 cm), with equal row and plant spacing.
2.3. Measurements
2.3.1. Leaf Area Index
Ten plants were sampled before the overwintering stage and at the jointing, heading, anthesis, filling, and mature stages. The leaf area was measured, and the leaf area index (LAI) was calculated using a LICOR LI-3100C leaf area meter (LI-COR, Inc., Lincoln, NE, USA).
2.3.2. Canopy Mean Leaf Tilt Angle (MTA)
During the mid-filling stage, the MTA was measured in the horizontal dimension (for the middle row of each plot), and in the vertical dimension in the upper (flag leaf), middle (second leaf from top), and lower (5 cm above the ground) layers (Figure 3). MTA was measured using a plant canopy analyzer (LI-COR 2200C).
Figure 3.
Triticum aestivum canopy stratification.
2.3.3. Canopy Air Temperature and Relative Humidity
During the mid-filling stage, the air temperature and relative humidity of the vertical layers (Figure 3) were measured using an agricultural weather monitor (ZJTNHY-8-G; Zhejiang Top Cloud-Agri Technology, Hangzhou, China) connected to an air temperature and humidity sensor (TPJ-20-LG, Top Cloud-Agri Technology, Hangzhou, China) for 24 h (from midnight to midnight), with both continuous monitoring and recording at intervals of 30 min.
2.3.4. Canopy CO2 Concentration
During the mid-filling stage, the canopy CO2 concentration was measured using a CO2 concentration sensor (TPJ-26-G, Top Cloud-Agri Technology, Hangzhou, China) connected to an agro-meteorological monitor, with the same method and durations as described in Section 2.3.3.
2.3.5. Yield and Yield Components
Following wheat maturity, a sample of 1 m2 was selected from each sample quadrant to count the number of effective spikes. The yield was calculated after harvesting and threshing. The thousand-grain weight was measured by randomly selecting 1000 grains and measuring their weight. This process was performed in triplicate. Twenty plants were randomly selected in the plot for indoor seed testing, and the number of grains per spike was calculated.
2.4. Data Analysis
The Microsoft Excel 2019 software was used to organize the data. Data Processing System 9.5 (Hangzhou Ruifeng Information Technology Co., Ltd., Hangzhou, China) organized LAI, MTA and yield components data, which were then analyzed using random complete-block design analysis of variance (ANOVA). The least significant difference test was used to compare the means. Differences with p < 0.05 were considered statistically significant. The data were analyzed using ANOVA in SPSS Statistics v22.0 (IBM, Inc., Armonk, NY, USA), and were plotted using OriginPro 2021 (OriginLab, Northampton, MA, USA).
3. Results
3.1. Effects of Planting Density on LAI
For both varieties, LAI gradually increased from the overwintering stage to the heading period (Figure 4), increasing with increasing planting density. After the heading stage, LAI gradually decreased during the reproductive period. In the filling stage, the response of LAI to density differed between the varieties For Xindong 50, the treatments were ranked as follows in terms of LAI: D4 > D3 > D2 > D5 > D1; for Sangtamu 4, they were ranked D2 > D1 > D3 > D4 > D5.
Figure 4.
Effects of planting density on leaf area index (LAI) of winter wheat for the Xindong 50 (V1) and Sangtamu 4 (V2) varieties, as recorded at the following stages: before overwintering stage (BS), jointing stage (JS), heading stage (HS), anthesis stage (AS), filling stage (FS), and mature stage (MS).
3.2. Vertical Differences in LAI during Anthesis and Filling
LAI is a key index of wheat growth. Our results showed that during anthesis, the middle layer (vertically) had the highest LAI in both varieties (Table 1). In Xindong 50, LAI decreased with decreasing density in all three layers. In Sangtamu 4, with decreasing density, LAI decreased in the upper and lower layers, whereas in the middle layer, it first increased, then decreased. In both varieties, LAI was lower during filling than during anthesis. In general, the higher the planting density, the faster the LAI decreased. Specifically, LAI decreased rapidly in the middle and lower layers, possibly owing to the increase in planting density, depression of the wheat population, and accelerated senescence of the middle and lower parts of the leaves.
Table 1.
Effects of planting density on the leaf area index (LAI) of uniformly sown winter wheat (mean ± SD).
3.3. Effects of Planting Density on Canopy MTA
For both varieties, MTA was highest in the upper layer, intermediate in the middle layer, and lowest in the lower layer (Table 2). MTA responded differently to changes in density in the different layers. With increasing density, for both varieties, the upper layer MTA increased, whereas the middle layer MTA first increased and then decreased. The middle layer MTA was the highest in D4 and lowest in D5 for Xindong 50, and highest in D2 and lowest in D5 for Sangtamu 4. For both varieties, lower layer MTA increased with increasing density. This may be associated with the rapid senescence of the lower leaf parts.
Table 2.
Effects of planting density on the mean leaf tilt angle of winter wheat (mean ± SD).
3.4. Effects of Planting Density on Canopy Temperature
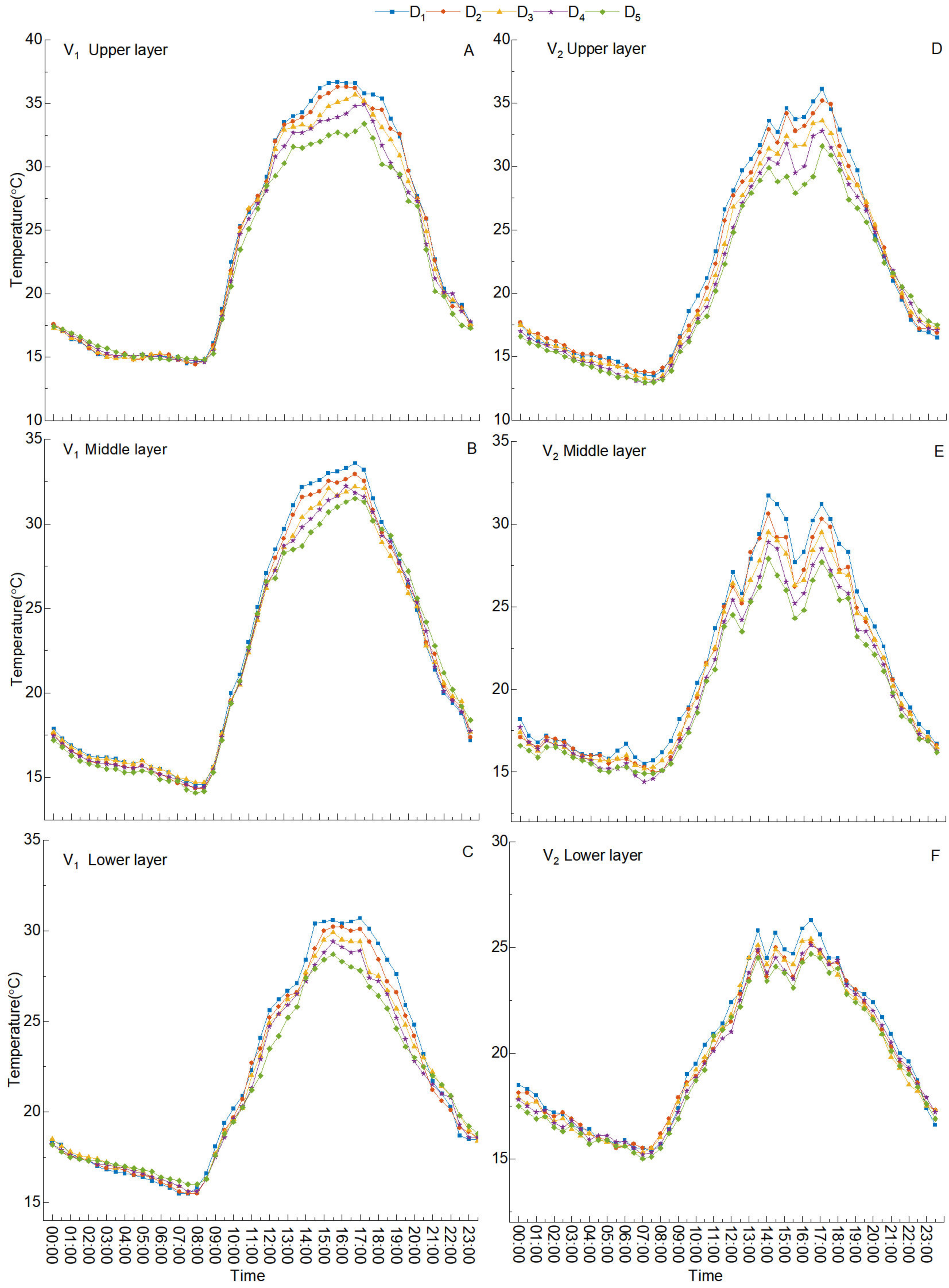
Canopy temperature strongly influences the duration of grain filling [19,20,21]. In our study, diurnal canopy temperature fluctuations varied with planting densities (Figure 5). Specifically, the two varieties exhibited the same patterns of canopy temperature fluctuation in the different layers. The canopy temperature decreased from midnight and increased from 8:00, then gradually decreased after peaking between 16:00 and 17:00.
Figure 5.
Effects of planting density on canopy temperature in uniformly sown winter wheat. V1, Xindong 50. V2, Sangtamu 4. (A–C) refer to the upper, middle, and lower layers of Xindong 50, respectively, whereas (D–F) indicate the upper, middle, and lower layers of Sangtamu 4, respectively.
Mean daytime canopy temperatures were the highest in the upper layer, intermediate in the middle layer, and lowest in the lower layer. In Xindong 50, the mean canopy temperature was 1.1 °C higher in the upper than in the lower layer. In Sangtamu 4, the mean canopy temperature was 1.7 °C higher in the upper than in the lower layer. Within each variety, daytime temperatures decreased with increasing planting density across all layers. In addition, the upper layer temperatures were significantly affected by planting density during the day, but not during the night.
3.5. Effects of Planting Density on Canopy Moisture
Planting density affected canopy humidity (Figure 6), showing opposite effects to those of canopy temperature. The canopy relative humidity increased with planting density. Specifically, during the day, canopy relative humidity decreased and then increased over time, reaching a minimum between 16:00 and 17:00. In both varieties, relative humidity gradually increased from the upper to the lower layers. The upper layer relative humidity was low from 8:00 to 20:00, varying significantly with external conditions. The effect of density on humidity was greater for the multi-spike variety Sangtamu 4 than for the large-spike variety Xindong 50.
Figure 6.
Effects of planting density on canopy relative humidity in uniformly sown winter wheat. V1, Xindong 50. V2, Sangtamu 4. (A–C) denote the upper, middle, and lower layers of Xindong 50, respectively, whereas (D–F) refer to the upper, middle, and lower layers of Sangtamu 4, respectively.
3.6. Effects of Planting Density on Canopy CO2 Concentration
In our study, we investigated the effects of planting density on canopy CO2 concentrations (Figure 7). In both varieties, the canopy CO2 concentration was the highest in the lower layer, intermediate in the upper layer, and lowest in the middle layer. CO2 concentrations differed considerably between the day and night. Specifically, CO2 concentrations were relatively constant at night, and highest during the high-density treatment. CO2 concentrations gradually decreased from 8:00, reaching a minimum at 16:00–17:00. For both varieties, CO2 concentrations decreased with increasing density in all layers. Upper layer CO2 concentrations varied significantly with density, whereas middle layer CO2 concentrations showed relatively little variability.
Figure 7.
Effects of planting density on canopy CO2 concentrations in uniformly sown winter wheat. V1, Xindong 50. V2, Sangtamu 4. (A–C) refer to the upper, middle, and lower layers of Xindong 50, respectively, whereas (D–F) refer to the upper, middle, and lower layers of Sangtamu 4, respectively.
3.7. Effects of Planting Density on Yield and Yield Components
In our study, an increase in planting density resulted in an increase in the number of effective spikes and decrease in the number of grains per spike (Figure 8) and the thousand-grain weight (Table 3). In both varieties, the number of effective spikes was the highest in D5, whereas the number of grains per spike was the highest in D1. The thousand-grain weight varied significantly with density (p < 0.05). The seed yield first increased and then decreased with density, with maximum yields of 9280.8 kg·ha−1 for Xindong 50 at D4, and 9389.34 kg·ha−1 for Sangtamu 4 at D2. This indicates that applying the appropriate increase in planting density would increase yields, but yields would then decline at excessively high densities.
Figure 8.
Effects of planting density on the spikes of uniformly sown winter wheat. V1, Xindong 50. V2, Sangtamu 4. D1–D5 refer to 123 × 104, 156 × 104, 204 × 104, 278 × 104, and 400 × 104 plants·ha−1 planting densities, respectively.
Table 3.
Effects of planting density on yield and yield components in uniformly sown winter wheat.
4. Discussion
4.1. Effects of Planting Density on Canopy Structure
The findings of our study reveal that planting density affects the canopy structure and microenvironment, and using the appropriate planting density can improve the canopy microenvironment, thus increasing the yield [22]. An effective canopy structure is conducive to increasing crop yield [23,24]. Improving the exposure of canopy leaves to light can improve light energy utilization and is central to photosynthesis. [25,26]. LAI and MTA reflect the capability of a wheat crop to intercept light and thus, crop yields are influenced by LAI and photosynthesis [27]. At excessively high densities, wheat canopy ventilation and light transmission is poor, and LAI decreases [15,28]. The findings of our study reveal that appropriately reducing the planting density can make it possible to maintain a high LAI during the filling stage. During the filling stage, as the planting density increased, the MTA of the middle and lower layers first increased and then decreased. The decrease possibly occurred because an excessively high planting density may have caused rapid senescence of the middle and lower parts of the leaves.
Increasing wheat MTA by adjusting planting density is conducive to improving light transmission capacity [29], which is consistent with the findings of Zhang Daijing et al. [28]. Both the MTA and LAI results revealed that the multi-spike variety, Sangtamu 4, exhibited better tillering. At the highest density (D5), the LAI of the upper layer was high, leading to poor light conditions within the canopy and accelerated senescence of the lower and middle parts of the leaves. At a low density (D2), competition between individual plants was somewhat reduced by increased spacing. This reduced the aggregation of individual plants, thereby facilitating light penetration and maintaining a high LAI (Table 1).
4.2. Planting Density Regulates the Canopy Microenvironment
Conditions in the crop canopy microenvironment are closely associated with wheat growth and development [30]. During the winter wheat filling stage, an elevated canopy temperature adversely affects seed yield [31,32,33], whereas elevated CO2 concentrations increase water use efficiency and the net photosynthetic rate, thus increasing yield [34,35]. An appropriate population structure facilitates the coordinated development of both the population and individual wheat plants, and is essential for the efficient production of winter wheat [36,37].
Our findings revealed variability within the canopy microenvironment. Vertically, the higher the position from the ground, the higher the canopy temperature (Figure 5) and the lower the relative humidity. As the planting density increased, the daytime canopy temperature and CO2 concentration decreased in all layers (Figure 7), whereas relative humidity increased (Figure 6). For the large-spike varieties, increasing planting density to improve plant distribution uniformity can reduce canopy temperature and increase humidity. These are changes that are conducive to seed filling. At the same planting density, multi-spike varieties will have a lower canopy temperature than large-spike varieties, because of the existence of tillers. Under a low density (D2), the lower and middle parts of the leaves maintained a high LAI, slowing their nutrient loss, as well as high canopy CO2 concentrations, thus facilitating high yields (Figure 7).
4.3. Effects of Planting Density on Yield and Yield Components
A crop’s yield is closely related to the sowing method, and an optimum spatial distribution and canopy structure is conducive to increased yield [38,39]. Uniform sowing allows individual winter wheat plants to fully utilize soil resources, leading to an increasingly developed root system and thus improving wheat yield [40]. In our study, increasing the planting density of uniformly sown winter wheat increased the number of individual plants and the number of effective spikes. Nevertheless, with increased density, the competition between individual plants for light and subsurface nutrients increased, as well as the canopy temperature, thus reducing the number of effective tillers and the thousand-grain weight. Therefore, the yield did not increase continuously with increasing planting density. At a low density (D1), the large-spike variety, Xindong 50, produced more grains per spike and had a higher thousand-grain weight than Sangtamu. Nevertheless, it is often difficult to achieve a high yield with large-spike varieties, owing to their relatively weak tillering capacity and hence, smaller populations. In contrast, multi-spike varieties have a strong tiller capacity; thus, an excessively high density will lead to an increase in the number of ineffective tillers, increased competition between the population and individual plants, and unbalanced yield components, thereby negatively impacting the yield. Large-spike varieties should be planted at higher densities to achieve a high yield by increasing the number of spikes and, hence, the number of grains. Multi-spike varieties should be planted at lower densities to ensure the appropriate population size to take advantage of the characteristics of the individual plants, and to maintain a stable number of grains to achieve a high yield.
As the effects of heat flux on the canopy microenvironment fell beyond the scope of the present study, we suggest that future studies specifically focus on the effects of farmland and turbulent heat fluxes on the microenvironment of the wheat canopy.
5. Conclusions
In conclusion, our study demonstrates that planting density has a significant impact on the canopy structure, microenvironment, and ultimately the yield of uniformly sown winter wheat. Based on these results, we recommend a planting density of 278 × 104 plants·ha−1 for the large-spike variety, and 156 × 104 plants·ha−1 for the multi-spike varieties of winter wheat. Our findings provide valuable data for farmers and agronomists regarding the optimal planting densities for different varieties of winter wheat, which can aid in improving crop yields and efficient use of resources.
Author Contributions
Conceptualization, L.L. and Y.Z.; Methodology, F.Z. and Q.W. (Qinglin Wen); Data curation, F.Z.; Investigation, Z.Z. and X.L.; Supervision, Y.Z. and G.C.; Validation, F.Z.; Funding acquisition, Y.Z.; Writing—original draft, F.Z.; Writing—review & editing, D.Z. and Q.W. (Quanzhong Wu). All authors have read and agreed to the published version of the manuscript.
Funding
This research was funded by the project of the key industrial support program of Xinjiang production and Construction Cros, South Xinjiang (grant number 2017DB010), the Open Project of State Key Laboratory of Crop Biology in Arid Areas (grant number CSBAA202209).
Institutional Review Board Statement
Not applicable.
Informed Consent Statement
Not applicable.
Data Availability Statement
The data presented in this study are available on request from the corresponding author.
Conflicts of Interest
The authors declare no conflict of interest.
References
- Reynolds, M.; Foulkes, J.; Furbank, R.; Griffiths, S.; King, J.; Murchie, E.; Parry, M.; Slafer, G. Achieving yield gains in wheat. Plant Cell Environ. 2012, 35, 1799–1823. [Google Scholar] [CrossRef]
- Meng, L.; Liu, Z.; Zhang, L.; Hu, G.; Song, X. Cytological characterization of a thermo-sensitive cytoplasmic male-sterile wheat line having K-type cytoplasm of Aegilops kotschyi. Breed. Sci. 2016, 66, 752–761. [Google Scholar] [CrossRef]
- Noor, H.; Wang, Q.; Islam, M.A.; Sun, M.; Lin, W.; Ren, A.X.; Feng, Y.; Yu, S.B.; Fida, N.; Dong, S.F. Effects of sowing methods and nitrogen rates on photosynthetic characteristics, yield, and quality of winter wheat. Photosynthetica 2021, 59, 277–285. [Google Scholar] [CrossRef]
- Zheng, M.; Chen, J.; Shi, Y.; Li, Y.; Yin, Y.; Yang, D.; Luo, Y.; Pang, D.; Xu, X.; Li, W. Manipulation of lignin metabolism by plant densities and its relationship with lodging resistance in wheat. Sci. Rep. 2017, 7, 41805. [Google Scholar] [CrossRef]
- Liu, T.; Wang, Z.; Cai, T. Canopy apparent photosynthetic characteristics and yield of two spike-type wheat cultivars in response to row spacing under high plant density. PLoS ONE 2016, 11, e148582. [Google Scholar] [CrossRef] [PubMed]
- Bastos, L.M.; Carciochi, W.; Lollato, R.P.; Jaenisch, B.R.; Rezende, C.R.; Schwalbert, R.; Prasad, P.V.V.; Zhang, G.; Fritz, A.K.; Foster, C.; et al. Winter wheat yield response to plant density as a function of yield environment and tillering potential: A review and field studies. Front. Plant Sci. 2020, 11, 54. [Google Scholar] [CrossRef]
- Yang, W.P.; Guo, T.C.; Liu, S.B.; Wang, C.Y.; Wang, Y.H.; Ma, D.Y. Effects of row spacing in winter wheat on canopy structure and microclimate in later growth stage. Chin. J. Plant Ecol. 2008, 32, 485–490. [Google Scholar] [CrossRef]
- Parry, M.A.; Reynolds, M.; Salvucci, M.E.; Raines, C.; Andralojc, P.J.; Zhu, X.; Price, G.D.; Condon, A.G.; Furbank, R.T. Raising yield potential of wheat. II. Increasing photosynthetic capacity and efficiency. J. Exp. Bot. 2011, 62, 453–467. [Google Scholar] [CrossRef] [PubMed]
- Foulkes, M.J.; Slafer, G.A.; Davies, W.J.; Berry, P.M.; Sylvester-Bradley, R.; Martre, P.; Calderini, D.F.; Griffiths, S.; Reynolds, M.P. Raising yield potential of wheat. III. Optimizing partitioning to grain while maintaining lodging resistance. J. Exp. Bot. 2011, 62, 469–486. [Google Scholar] [CrossRef] [PubMed]
- Ben Mariem, S.; Soba, D.; Zhou, B.; Loladze, I.; Morales, F.; Aranjuelo, I. Climate change, crop yields, and grain quality of C3 cereals: A Meta-Analysis of [CO2], temperature, and drought effects. Plants 2021, 10, 1052. [Google Scholar] [CrossRef]
- Yang, G.Z.; Luo, X.J.; Nie, Y.C.; Zhang, X.L. Effects of plant density on yield and canopy micro environment in hybrid cotton. J. Integr. Agric. 2014, 13, 2154–2163. [Google Scholar] [CrossRef]
- Yang, G.T.; Wang, X.C.; Nabi, F.; Wang, H.N.; Zhao, C.K.; Peng, Y.L.; Ma, J.; Hu, Y.C. Optimizing Planting Density and Impact of Panicle Types on Grain Yield and Microclimatic Response Index of Hybrid Rice (Oryza sativa L.). Int. J. Plant Prod. 2021, 15, 447–457. [Google Scholar] [CrossRef]
- Xue, Y.W.; Zhang, Y.H.; Huang, Q.; Wang, Z.M. Effects of narrow row spacing and uniform sowing on canopy environment, individual plant traits, and biomass production in late-sowing winter wheat. Acta Ecol. Sin. 2015, 35, 5545–5555. [Google Scholar] [CrossRef]
- Ding, J.; Li, F.; Le, T.; Xu, D.; Zhu, M.; Li, C.; Zhu, X.; Guo, W. Tillage and seeding strategies for wheat optimizing production in harvested rice fields with high soil moisture. Sci. Rep. 2021, 11, 119. [Google Scholar] [CrossRef]
- Xiong, S.P.; Cao, W.B.; Zhang, Z.Y.; Zhang, J.; Gao, M.; Fan, Z.H.; Shen, S.J.; Wang, X.C.; Ma, X.M. Effects of row spacing and sowing rate on vertical distribution of photosynthetically active radiation, biomass, and grain yield in winter wheat canopy. Chin. J. Appl. Ecol. 2021, 32, 1298–1306. [Google Scholar] [CrossRef]
- Li, S.Y.; Feng, W.; Wang, Y.H.; Wang, C.Y.; Guo, T.C. Effects of spacing interval of wide bed planting on canopy characteristics and yield in winter wheat. Chin. J. Plant Ecol. 2013, 37, 758–767. [Google Scholar] [CrossRef]
- Zhang, J.S.; Jia, Y.H.; Sun, P.; Liu, C.; Wang, H.; Luo, S.W.; Shi, S.B. Effect of uniform pattern and N application rate on colony, photosynthesis and dry matter accumulation of winter wheat. J. China Agric. Univ. 2021, 26, 12. [Google Scholar] [CrossRef]
- National Meteorological Information Center-China Meteorological Data Network. Available online: https://data.cma.cn/ (accessed on 17 February 2023).
- Liu, P.; Guo, W.; Jiang, Z.; Pu, H.; Feng, C.; Zhu, X.; Peng, Y.; Kuang, A.; Little, C.R. Effects of high temperature after anthesis on starch granules in grains of wheat (Triticum aestivum L.). J. Agric. Sci. 2011, 149, 159–169. [Google Scholar] [CrossRef]
- Barlow, K.M.; Christy, B.P.; O’leary, G.J.; Riffkin, P.A.; Nuttall, J.G. Simulating the impact of extreme heat and frost events on wheat crop production: A review. Field Crop. Res. 2015, 171, 109–119. [Google Scholar] [CrossRef]
- Jing, J.G.; Guo, S.Y.; Li, Y.F.; Li, W.H. The alleviating effect of exogenous polyamines on heat stress susceptibility of different heat resistant wheat (Triticum aestivum L.) varieties. Sci. Rep. 2020, 10, 7467. [Google Scholar] [CrossRef]
- Gao, Y.M.; Zhang, M.; Yao, C.S.; Liu, Y.Q.; Wang, Z.M.; Zhang, Y.H. Increasing seeding density under limited irrigation improves crop yield and water productivity of winter wheat by constructing a reasonable population architecture. Agric. Water Manag. 2021, 253, 106951. [Google Scholar] [CrossRef]
- Song, Q.; Chu, C.; Parry, M.A.; Zhu, X.G. Genetics-based dynamic systems model of canopy photosynthesis: The key to improve light and resource use efficiencies for crops. Food Energy Secur. 2016, 5, 18–25. [Google Scholar] [CrossRef] [PubMed]
- Bi, Y.; Zhou, H. Changes in peanut canopy structure and photosynthetic characteristics induced by an arbuscular mycorrhizal fungus in a nutrient-poor environment. Sci. Rep. 2021, 11, 14832. [Google Scholar] [CrossRef]
- Mattera, J.; Romero, L.A.; Cuatrín, A.L.; Cornaglia, P.S.; Grimoldi, A.A. Yield components, light interception and radiation use efficiency of lucerne (Medicago sativa L.) in response to row spacing. Eur. J. Agron. 2013, 45, 87–95. [Google Scholar] [CrossRef]
- Luo, C.; Guo, Z.; Xiao, J.; Dong, K.; Dong, Y. Effects of applied ratio of nitrogen on the light environment in the canopy and growth, development and yield of wheat when intercropped. Front. Plant Sci. 2021, 12, 719850. [Google Scholar] [CrossRef]
- Emmel, C.; D’Odorico, P.; Revill, A.; Hörtnagl, L.; Ammann, C.; Buchmann, N.; Eugster, W. Canopy photosynthesis of six major arable crops is enhanced under diffuse light due to canopy architecture. Glob. Chang. Biol. 2020, 26, 5164–5177. [Google Scholar] [CrossRef]
- Daijing, Z.; Xue, M.; Wang, X.D.; Wang, X.D.; Wang, D.D.; Wang, Z.; Chen, H.T.; Li, C.X. Effects of variety and density on photosynthetic traits and light utilization efficiency of wheat in middle Henan Province. J. Triticeae Crop. 2014, 34, 388–394. [Google Scholar] [CrossRef]
- Li, C.M.; Xiong, S.P.; Ying, Y.Y.; Ma, X.M. Effects of different fertilizer treatments on canopy architecture and grain yield characteristics of winter Wheat-Yumai 49. Acta Ecol. Sin. 2009, 29, 2514–2519. [Google Scholar]
- Amani, I.; Fischer, R.A.; Reynolds, M.P. Canopy temperature depression association with yield of irrigated spring wheat cultivars in a hot climate. J. Agron. Crop. Sci. 1996, 176, 119–129. [Google Scholar] [CrossRef]
- Talukder, S.K.; Babar, M.A.; Vijayalakshmi, K.; Poland, J.; Prasad, P.V.V.; Bowden, R.; Fritz, A. Mapping QTL for the traits associated with heat tolerance in wheat (Triticum aestivum L.). BMC Genet. 2014, 15, 1–13. [Google Scholar] [CrossRef]
- Lizana, X.C.; Calderini, D.F. Yield and grain quality of wheat in response to increased temperatures at key periods for grain number and grain weight determination: Considerations for the climatic change scenarios of Chile. J. Agric. Sci. 2013, 151, 209–221. [Google Scholar] [CrossRef]
- Cai, D.; Shoukat, M.R.; Zheng, Y.; Tan, H.; Meng, F.; Yan, H. Optimizing center pivot irrigation to regulate field microclimate and wheat physiology under Dry-Hot wind conditions in the North China Plain. Water 2022, 14, 708. [Google Scholar] [CrossRef]
- Wang, X.; Li, X.; Zhong, Y.; Blennow, A.; Liang, K.; Liu, F. Effects of elevated CO2 on grain yield and quality in five wheat cultivars. J. Agron. Crop. Sci. 2022, 208, 733–745. [Google Scholar] [CrossRef]
- Wang, J.; Hasegawa, T.; Li, L.; Lam, S.K.; Zhang, X.; Liu, X.; Pan, G. Changes in grain protein and amino acids composition of wheat and rice under short-term increased [CO2] and temperature of canopy air in a paddy from East China. New Phytol. 2019, 222, 726–734. [Google Scholar] [CrossRef]
- Huang, C.; Chai, S.; Zhao, D.; Chang, L.; Cheng, H.; Yang, C. Effect of combined application of nitrogen and phosphorus on photosynthesis parameters at grain-filling stage and grain yield in winter wheat. Chin. Bull. Bot. 2015, 50, 47. [Google Scholar]
- Chen, S.; Zhang, X.; Mao, R.; Wang, Y.; Sun, H. Effect of sowing date and rate on canopy intercepted photo-synthetically active radiation and yield of winter wheat. Chin. J. Eco-Agric. 2009, 17, 681–685. [Google Scholar] [CrossRef]
- De Bruin, J.L.; Pedersen, P. Effect of row spacing and seeding rate on soybean yield. Agron. J. 2008, 100, 704–710. [Google Scholar] [CrossRef]
- Li, Q.; Chen, Y.; Liu, M.; Zhou, X.; Yu, S.; Dong, B. Effects of irrigation and planting patterns on radiation use efficiency and yield of winter wheat in North China. Agric. Water Manag. 2008, 95, 469–476. [Google Scholar] [CrossRef]
- Liu, C.; Jia, Y.H.; Zhang, J.S.; Sun, P.; Luo, S.W.; Wang, H.; Li, P.; Shi, S.B. Effects of seeding pattern and phosphorus application on population structure, photosynthetic characteristics and yield of winter wheat. Chin. J. Appl. Ecol. 2020, 31, 919–928. [Google Scholar] [CrossRef]
Disclaimer/Publisher’s Note: The statements, opinions and data contained in all publications are solely those of the individual author(s) and contributor(s) and not of MDPI and/or the editor(s). MDPI and/or the editor(s) disclaim responsibility for any injury to people or property resulting from any ideas, methods, instructions or products referred to in the content. |
© 2023 by the authors. Licensee MDPI, Basel, Switzerland. This article is an open access article distributed under the terms and conditions of the Creative Commons Attribution (CC BY) license (https://creativecommons.org/licenses/by/4.0/).







