Potassium Phosphite Induces Tolerance to Water Deficit Combined with High Irradiance in Soybean Plants
Abstract
1. Introduction
2. Materials and Methods
2.1. Plant Material and Experimental Conditions
2.2. Plant Analysis
2.2.1. Water Relations
2.2.2. Gas Exchange and Chlorophyll a Fluorescence
2.2.3. Photosynthetic Pigment Concentrations
2.2.4. Membrane Permeability
2.2.5. Determination of Proline Concentration
2.2.6. Determination of Malondialdehyde (MDA) Concentration
2.2.7. Determination of Antioxidant Enzyme Activities
2.2.8. Plant Biometrics and Production Components
2.2.9. Leaf Anatomical Structure Characterization
2.3. Statistical Analysis
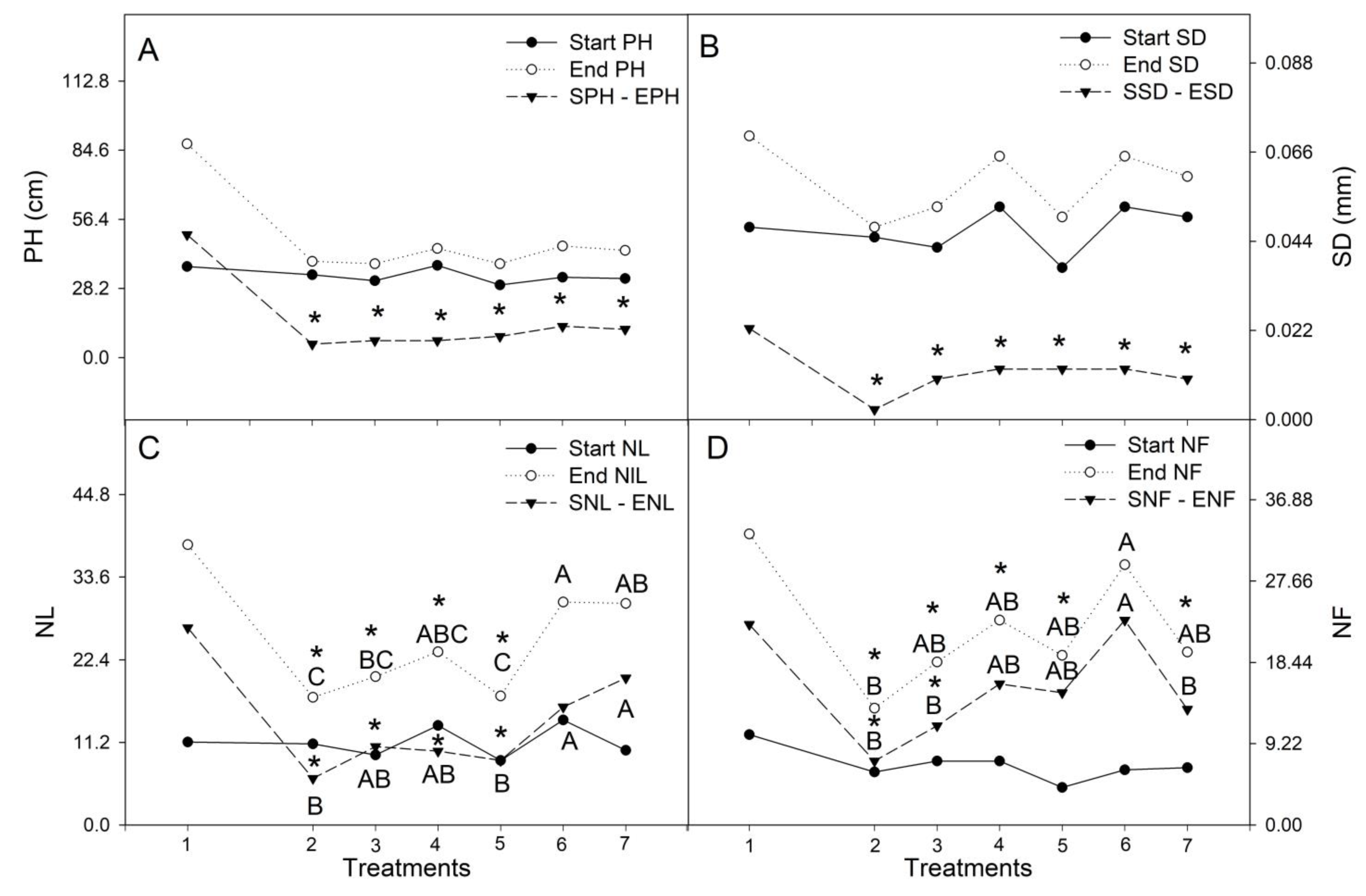
3. Results
4. Discussion
5. Conclusions
Author Contributions
Funding
Institutional Review Board Statement
Informed Consent Statement
Data Availability Statement
Acknowledgments
Conflicts of Interest
References
- Alexander, L.V. Global observed long-term changes in temperature and precipitation extremes: A review of progress and limitations in IPCC assessments and beyond. Weather Clim. Extrem. 2016, 11, 4–16. [Google Scholar] [CrossRef]
- Zhang, Y.; Yu, T.; Ma, W.; Tian, C.; Sha, Z.; Li, J. Morphological and physiological response of Acer catalpifolium Rehd. Seedlings to water and light stresses. Glob. Ecol. Conserv. 2019, 19, e00660. [Google Scholar] [CrossRef]
- Sánchez-Reinoso, A.D.; Ligarreto-Moreno, G.A.; Restrepo-Díaz, H. Evaluation of drought indices to identify tolerant genotypes in common bean bush (Phaseolus vulgaris L.). J. Integr. Agric. 2020, 19, 99–107. [Google Scholar] [CrossRef]
- Lv, Y.; Li, Y.; Liu, X.-H.; Xu, K. Photochemistry and proteomics of ginger (Zingiber officinale Roscoe) under drought and shading. Plant Physiol. Biochem. 2020, 151, 188–196. [Google Scholar] [CrossRef]
- Kromdijk, J.; Głowacka, K.; Leonelli, L.; Gabilly, S.T.; Iwai, M.; Niyogi, K.K.; Long, S.P. Improving photosynthesis and crop productivity by accelerating recovery from photoprotection. Science 2016, 354, 857–861. [Google Scholar] [CrossRef]
- Guo, J.; Zhou, Y.; Li, J.; Sun, Y.; Shangguan, Y.; Zhu, Z.; Hu, Y.; Li, T.; Hu, Y.; Rochaix, J.-D.; et al. COE 1 and GUN1 regulate the adaptation of plants to high light stress. Biochem. Biophys. Res. Commun. 2019, 521, 184–189. [Google Scholar] [CrossRef]
- Szymańska, R.; Ślesak, I.; Orzechowska, A.; Kruk, J. Physiological and biochemical responses to high light and temperature stress in plants. Environ. Exp. Bot. 2017, 139, 165–177. [Google Scholar] [CrossRef]
- Batista, P.F.; Müller, C.; Merchant, A.; Fuentes, D.; Silva-Filho, R.D.O.; da Silva, F.B.; Costa, A.C. Biochemical and physiological impacts of zinc sulphate, potassium phosphite and hydrogen sulphide in mitigating stress conditions in soybean. Physiol. Plant 2020, 168, 456–472. [Google Scholar] [CrossRef]
- Oyarburo, N.S.; Machinandiarena, M.F.; Feldman, M.L.; Daleo, G.R.; Andreu, A.B.; Olivieri, F.P. Potassium phosphite increases tolerance to UV-B in potato. Plant Physiol. Biochem. 2015, 88, 1–8. [Google Scholar] [CrossRef]
- Feldman, M.L.; Guzzo, M.C.; Machinandiarena, M.F.; Rey-Burusco, M.F.; Beligni, M.V.; Di Rienzo, J.; Castellote, M.A.; Daleo, G.R.; Andreu, A.B. New insights into the molecular basis of induced resistance triggered by potassium phosphite in potato. Physiol. Mol. Plant Pathol. 2020, 109, 101452. [Google Scholar] [CrossRef]
- Dalio, R.J.D.; Fleischmann, F.; Humez, M.; Osswald, W. Phosphite protects Fagus sylvatica seedlings towards P. plurivora via local toxicity, priming and facilitation of pathogen recognition. PLoS ONE 2014, 9, e87860. [Google Scholar] [CrossRef]
- Almeida, G.M.; Da Silva, A.A.; Batista, P.F.; Moura, L.M.D.F.; Vital, R.G.; Costa, A.C. Hydrogen sulfide, potassium phosphite and zinc sulfate as alleviators of drought stress in sunflower plants. Ciênc. Agrotec. 2020, 44, e006320. [Google Scholar] [CrossRef]
- Martinez, A.P.C.; Martinez, P.; Souza, M.C.; Brazaca, S.G.C. Alterações químicas em grãos de soja com a germinação. Rev. Ciê Tec. Ali. 2011, 31, 23–30. [Google Scholar] [CrossRef]
- Seleiman, M.F.; Al-Suhaibani, N.; Ali, N.; Akmal, M.; Alotaibi, M.; Refay, Y.; Dindaroglu, T.; Abdul-Wajid, H.H.; Battaglia, M.L. Drought stress impacts on plants and different approaches to alleviate its adverse effects. Plants 2021, 10, 259. [Google Scholar] [CrossRef]
- Trejo-Téllez, L.I.; Gómez-Merino, F.C. Phosphite as an inductor of adaptive responses to stress and stimulator of better plant performance. In Biotic and Abiotic Stress Tolerance in Plants; Springer: Singapore, 2018; pp. 203–238. [Google Scholar]
- Guo, B.; Sun, L.; Jiang, S.; Ren, H.; Sun, R.; Wei, Z.; Hong, H.; Luan, X.; Wang, J.; Wang, X.; et al. Soybean genetic resources contributing to sustainable protein production. Theor. Appl. Genet. 2022, 135, 4095–4121. [Google Scholar] [CrossRef]
- Pellegrina, H.S. Trade, productivity, and the spatial organization of agriculture: Evidence from Brazil. J. Dev. Econ. 2022, 156, 102816. [Google Scholar] [CrossRef]
- Sharma, R.K.; Kumar, S.; Vatta, K.; Dhillon, J.; Reddy, K.N. Impact of recent climate change on cotton and soybean yields in the southeastern United States. J. Agric. Food Res. 2022, 9, 100348. [Google Scholar] [CrossRef]
- Vital, R.G.; Müller, C.; Freire, F.B.S.; Silva, F.B.; Batista, P.F.; Fuentes, D.; Rodrigues, A.A.; Moura, L.M.F.; Daloso, D.M.; Silva, A.A.; et al. Metabolic, physiological and anatomical responses of soybean plants under water deficit and high temperature condition. Sci. Rep. 2022, 12, 16467. [Google Scholar] [CrossRef]
- Pask, A.J.D.; Pietragalla, J.; Mullan, D.M.; Reynolds, M.P. Physiological breeding II: A field guide to wheat phenotyping. In Osmotic Adjustment; Pierre, C.S., Arce, V.T., Eds.; CIMMYT: Heroica Veracruz, Mexico, 2012; pp. 21–24. [Google Scholar]
- Barrs, H.D.; Weatherley, P.E. A re-examination of the relative turgidity technique for estimating water deficits in leaves. Aust. J. Biol. Sci. 1962, 15, 413–428. [Google Scholar] [CrossRef]
- De Castro, J.N.; Müller, C.; Almeida, G.M.; Costa, A.C. Physiological tolerance to drought under high temperature in soybean cultivars. Aust. J. Crop Sci. 2019, 13, 976. [Google Scholar] [CrossRef]
- Wellburn, A.R. The spectral determination of chlorophylls a and b, as well as total carotenoids, using various solvents with spectrophotometers of different resolution. J. Plant Physiol. 1994, 144, 307–313. [Google Scholar] [CrossRef]
- Pimentel, C.; Sar, R.B.; Diouf, O.; Abboud, A.C.S.; Macauley, H.R. Tolerância protoplasmática foliar à seca, em dois genótipos de caupi cultivados em campo. Rev. Uni. Rural Série Ciên Vida 2002, 22, 7–14. [Google Scholar]
- Bates, L.S.; Waldren, R.P.; Teare, I.D. Rapid determination of free proline for water-stress studies. Plant Soil 1973, 39, 205–207. [Google Scholar] [CrossRef]
- Heath, R.L.; Packer, L. Photoperoxidation in isolated chloroplast: I- Kinetics and stoichiometry of fatty acid peroxidation. Arch. Biochem. Biophys. 1968, 10, 189–198. [Google Scholar] [CrossRef] [PubMed]
- Del Longo, O.T.; Gonzalez, C.A.; Pastori, G.M.; Trippi, V.S. Antioxidant defences under hyperoxygenic and hyperosmotic conditions in leaves of two lines of maize with differential sensitivity to drought. Plant Cell Physiol. 1993, 34, 1023–1028. [Google Scholar]
- Giannopolitis, C.N.; Ries, S.K. Superoxide dismutases I. Occurrence in higher plants. Plant Physiol. 1977, 59, 309–314. [Google Scholar] [CrossRef]
- Havir, E.A.; McHale, N.A. Biochemical and developmental characterization of multiple forms of catalase in tobacco leaves. Plant Physiol. 1987, 84, 450–455. [Google Scholar] [CrossRef]
- Anderson, M.D.; Prasad, T.K.; Stewart, C.R. Changes in isozyme profiles of catalase, peroxidase, and glutathione reductase during acclimation to chilling in mesocotyls of maize seedlings. Plant Physiol. 1995, 109, 1247–1257. [Google Scholar] [CrossRef]
- Nakano, Y.; Asada, K. Hydrogen peroxide is scavenged by ascorbate-specific peroxidase in spinach chloroplasts. Plant Cell Physiol. 1981, 22, 867–880. [Google Scholar]
- Kar, M.; Mishra, D. Catalase, peroxidase, and polyphenoloxidase activities during rice leaf senescence. Plant Physiol. 1976, 57, 315–319. [Google Scholar] [CrossRef]
- Chance, B.; Maehly, A.C. Assay of catalase and peroxidases. Methods Enzymol. 1955, 2, 764–775. [Google Scholar]
- Karnovsky, M. A formaldehyde-glutaraldehyde fixative of high osmolarity for use in electron microscopy. J. Cell Biol. 1965, 27, 137–138A. [Google Scholar]
- O’Brien, T.P.; Feder, N.; McCully, M.E. Polychromatic staining of plant cell walls by toluidine blue O. Protoplasma 1964, 59, 368–373. [Google Scholar] [CrossRef]
- Han, X.; Xi, Y.; Zhang, Z.; Mohammadi, M.A.; Joshi, J.; Borza, T.; Wang-Pruski, G. Effects of phosphite as a plant biostimulant on metabolism and stress response for better plant performance in Solanum tuberosum. Ecotoxicol. Environ. Saf. 2021, 210, 111873. [Google Scholar] [CrossRef]
- Xi, Y.; Han, X.; Zhang, Z.; Joshi, J.; Borza, T.; Aqa, M.M.; Wang-Pruski, G. Exogenous phosphite application alleviates the adverse effects of heat stress and improves thermotolerance of potato (Solanum tuberosum L.) seedlings. Ecotoxicol. Environ. Saf. 2020, 190, 110048. [Google Scholar] [CrossRef]
- Mohammed, U.; Davis, J.; Rossall, S.; Swarup, K.; Czyzewicz, N.; Bhosale, R.; Foulkes, J.; Murchie, E.H.; Swarup, R. Phosphite treatment can improve root biomass and nutrition use efficiency in wheat. Front. Plant Sci. 2022, 13, 4261. [Google Scholar] [CrossRef]
- Öztürk, L.; Demir, Y. In Vivo and in vitro protective role of proline. Plant Growth Regul. 2002, 38, 259–264. [Google Scholar] [CrossRef]
- Liang, X.; Zhang, L.; Natarajan, S.K.; Becker, D.F. Proline mechanisms of stress survival. Antioxid. Redox Signal 2013, 19, 998–1011. [Google Scholar] [CrossRef]
- Kaur, G.; Asthir, B. Proline: A key player in plant abiotic stress tolerance. Biol. Plant. 2015, 59, 609–619. [Google Scholar] [CrossRef]
- El Moukhtari, A.; Cabassa-Hourton, C.; Farissi, M.; Savouré, A. How does proline treatment promote salt stress tolerance during crop plant development? Front. Plant Sci. 2020, 11, 1127. [Google Scholar] [CrossRef]
- Meena, M.; Divyanshu, K.; Kumar, S.; Swapnil, P.; Zehra, A.; Shukla, V.; Upadhyay, R.S. Regulation of L-proline biosynthesis, signal transduction, transport, accumulation and its vital role in plants during variable environmental conditions. Heliyon 2019, 5, e02952. [Google Scholar] [CrossRef] [PubMed]
- Li, Y.; Pan, X.; Xu, X.; Wu, Y.; Zhuang, J.; Zhang, X.; Zhang, H.; Lei, B.; Hu, C.; Liu, Y. Carbon dots as light converter for plant photosynthesis: Augmenting light coverage and quantum yield effect. J. Hazard. Mater. 2020, 410, 124534. [Google Scholar] [CrossRef] [PubMed]
- Pinheiro, C.; Chaves, M.M. Photosynthesis and drought: Can we make metabolic connections from available data? J. Exp. Bot. 2011, 62, 869–882. [Google Scholar] [CrossRef] [PubMed]
- Pirasteh-Anosheh, H.; Saed-Moucheshi, A.; Pakniyat, H.; Pessarakli, M. Stomatal responses to drought stress. Water Stress Crop Plants A Sustain. Approach 2016, 1, 24–40. [Google Scholar]
- Rosa, V.R.; Silva, A.A.; Brito, D.S.; Júnior, J.D.P.; Silva, C.O.; Dal-Bianco, M.; Ribeiro, C. Estresse hídrico durante a fase reprodutiva de duas linhagens de soja. Pesqui Agropecu Bras. 2020, 55, e01736. [Google Scholar] [CrossRef]
- Lechowicz, K.; Pawłowicz, I.; Perlikowski, D.; Arasimowicz-Jelonek, M.; Blicharz, S.; Skirycz, A.; Kosmala, A. Adjustment of photosynthetic and antioxidant activities to water deficit is crucial in the drought tolerance of Lolium multiflorum/Festuca arundinacea introgression forms. Int. J. Mol. Sci. 2020, 21, 5639. [Google Scholar] [CrossRef]
- Pereira, L.F.; Junior, W.Q.R.; Ramos, M.L.G.; Santos, N.Z.D.; Soares, G.F.; Casari, R.A.D.C.N.; Sousa, C.A.F.D. Physiological changes in soybean cultivated with soil remineralizer in the Cerrado under variable water regimes. Pesqui Agropecu Bras. 2021, 56, e01455. [Google Scholar] [CrossRef]
- Nagao, R.; Kato, K.; Ifuku, K.; Suzuki, T.; Kumazawa, M.; Uchiyama, I.; Kashino, Y.; Dohmae, N.; Akimoto, S.; Shen, J.-R.; et al. Structural basis for assembly and function of a diatom photosystem I-light-harvesting supercomplex. Nat. Commun. 2020, 11, 2481. [Google Scholar] [CrossRef]
- Dhanapal, A.P.; Ray, J.D.; Singh, S.K.; Hoyos-Villegas, V.; Smith, J.R.; Purcell, L.C.; King, C.A.; Fritschi, F.B. Association mapping of total carotenoids in diverse soybean genotypes based on leaf extracts and high-throughput canopy spectral reflectance measurements. PLoS ONE 2015, 10, e0137213. [Google Scholar] [CrossRef]
- Moustakas, M.; Sperdouli, I.; Moustaka, J. Early Drought Stress Warning in Plants: Color Pictures of Photosystem II Photochemistry. Climate 2022, 10, 179. [Google Scholar] [CrossRef]
- Carvalho, M.D. Drought stress and reactive oxygen species. Plant Signal Behav. 2008, 3, 156–165. [Google Scholar] [CrossRef]
- Melgar, J.C.; Guidi, L.; Remorini, D.; Agati, G.; Degl’Innocenti, E.; Castelli, S.; Baratto, M.C.; Faraloni, C.; Tattini, M. Antioxidant defences and oxidative damage in salt-treated olive plants under contrasting sunlight irradiance. Tree Physiol. 2009, 29, 1187–1198. [Google Scholar] [CrossRef]
- Michael, P.I.; Krishnaswamy, M. Oxidative stress and antioxidants in cowpea plants subjected to boron and high irradiance stresses. J. Plant Nutr. 2012, 35, 2180–2197. [Google Scholar] [CrossRef]
- Li, J.; Cang, Z.; Jiao, F.; Bai, X.; Zhang, D.; Zhai, R. Influence of drought stress on photosynthetic characteristics and protective enzymes of potato at seedling stage. J. Saudi Soc. Agric. Sci. 2017, 16, 82–88. [Google Scholar] [CrossRef]
- Lin, Y.X.; Xu, H.J.; Yin, G.K.; Zhou, Y.C.; Lu, X.X.; Xin, X. Dynamic changes in membrane lipid metabolism and antioxidant defense during soybean (Glycine max L. Merr.) seed aging. Front. Plant Sci. 2022, 13, 908949. [Google Scholar] [CrossRef]
- Maia, J.M.; Ferreira-Silva, S.L.; Voigt, E.L.; Macêdo, C.E.C.D.; Ponte, L.F.A.; Silveira, J.A.G. Atividade de enzimas antioxidantes e inibição do crescimento radicular de feijão caupi sob diferentes níveis de salinidade. Acta Bot. Bras. 2012, 26, 342–349. [Google Scholar] [CrossRef]
- De Sousa, L.F.; de Menezes-Silva, P.E.; Lourenço, L.L.; Galmés, J.; Guimarães, A.C.; da Silva, A.F.; Farnese, F.D.S. Improving water use efficiency by changing hydraulic and stomatal characteristics in soybean exposed to drought: The involvement of nitric oxide. Physiol. Plant 2020, 168, 576–589. [Google Scholar] [CrossRef]







Disclaimer/Publisher’s Note: The statements, opinions and data contained in all publications are solely those of the individual author(s) and contributor(s) and not of MDPI and/or the editor(s). MDPI and/or the editor(s) disclaim responsibility for any injury to people or property resulting from any ideas, methods, instructions or products referred to in the content. |
© 2023 by the authors. Licensee MDPI, Basel, Switzerland. This article is an open access article distributed under the terms and conditions of the Creative Commons Attribution (CC BY) license (https://creativecommons.org/licenses/by/4.0/).
Share and Cite
Batista, P.F.; da Costa, A.C.; da Silva, A.A.; Almeida, G.M.; Rodrigues, M.F.M.; Santos, E.C.D.; Rodrigues, A.A.; Müller, C. Potassium Phosphite Induces Tolerance to Water Deficit Combined with High Irradiance in Soybean Plants. Agronomy 2023, 13, 382. https://doi.org/10.3390/agronomy13020382
Batista PF, da Costa AC, da Silva AA, Almeida GM, Rodrigues MFM, Santos ECD, Rodrigues AA, Müller C. Potassium Phosphite Induces Tolerance to Water Deficit Combined with High Irradiance in Soybean Plants. Agronomy. 2023; 13(2):382. https://doi.org/10.3390/agronomy13020382
Chicago/Turabian StyleBatista, Priscila Ferreira, Alan Carlos da Costa, Adinan Alves da Silva, Gabriel Martins Almeida, Maria Fernanda Marques Rodrigues, Emily Carolina Duarte Santos, Arthur Almeida Rodrigues, and Caroline Müller. 2023. "Potassium Phosphite Induces Tolerance to Water Deficit Combined with High Irradiance in Soybean Plants" Agronomy 13, no. 2: 382. https://doi.org/10.3390/agronomy13020382
APA StyleBatista, P. F., da Costa, A. C., da Silva, A. A., Almeida, G. M., Rodrigues, M. F. M., Santos, E. C. D., Rodrigues, A. A., & Müller, C. (2023). Potassium Phosphite Induces Tolerance to Water Deficit Combined with High Irradiance in Soybean Plants. Agronomy, 13(2), 382. https://doi.org/10.3390/agronomy13020382

