Assessment of a Low-Cost Portable Device for Gas Concentration Monitoring in Livestock Housing
Abstract
1. Introduction
2. Materials and Methods
2.1. Description of the Barn
2.2. Measurement Devices
2.3. Data Processing and Statistical Analyses
3. Results
3.1. Gas Concentrations
3.2. Analysis of the Measurement Errors
4. Discussion
4.1. Gas Concentrations Measured by the Reference Instrument
4.2. Performance of the Portable Device
5. Conclusions
Author Contributions
Funding
Institutional Review Board Statement
Informed Consent Statement
Data Availability Statement
Acknowledgments
Conflicts of Interest
References
- CCAFS. Agriculture Is Integrated into the Paris Agreement. In CCAFS Outcome Case; CGIAR Research Program on Climate Change, Agriculture and Food Security (CCAFS): Copenhagen, Denmark, 2016; Available online: https://hdl.handle.net/10568/76393 (accessed on 5 May 2022).
- Wilkes, A. Measurement, Reporting and Verification of Greenhouse Gas Emissions from Livestock: Current Practices and Opportunities for Improvement. 2017. Available online: https://cgspace.cgiar.org/bitstream/handle/10568/80890/Livestock%20MRV%20Info%20Note%20May%203%202017.pdf (accessed on 5 May 2022).
- European Parliament Resolution of 13 March 2019 on a Europe that Protects: Clean Air for All (2018/2792(RSP)). Available online: https://www.europarl.europa.eu/doceo/document/TA-8-2019-0186_EN.html (accessed on 13 September 2022).
- Bjerg, B.S.; Demeyer, P.; Hoyaux, J.; Mislav, D.; Juha, G.; Mélynda, H.; Barbara, A.; Bartzanas, T.; Sándor, R.; Fogarty, M.P.; et al. Review of legal requirements on ammonia and greenhouse gases emissions from animal production buildings in european countries. In Proceedings of the 2019 ASABE Annual International Meeting, Boston, MA, USA, 7–10 July 2019. [Google Scholar] [CrossRef]
- Decreto Legislativo, n. 152 del 3 Aprile 2006. Norme in Materia Ambientale, Gazzetta Ufficiale n. 88 del 14 Aprile 2006—Supplemento Ordinario n. 96. Available online: https://www.gazzettaufficiale.it/atto/serie_generale/caricaDettaglioAtto/originario?atto.dataPubblicazioneGazzetta=2006-04-14&atto.codiceRedazionale=006G0171 (accessed on 21 September 2022).
- Decreto Legislativo, n. 128 del 29 Giugno 2010. Modifiche e Integrazioni al Decreto Legislativo 3 Aprile 2006, n. 152, Recante Norme in Materia Ambientale, a Norma Dell’articolo 12 Della Legge 18 Giugno 2009, n. 69, Gazzetta Ufficiale n. 186 Dell’11 Agosto 2010—Supplemento Ordinario n. 184. Available online: https://www.bosettiegatti.eu/info/norme/statali/2010_0128.htm (accessed on 21 September 2022).
- Arcidiacono, C.; Porto, S.M.C.; Cascone, G. On Ammonia Concentrations in Naturally Ventilated Dairy Houses Located in Sicily. AgricEngInt: CIGR Journal, Special Issue 2015: 18th World Congress of CIGR: 294-309. Available online: https://cigrjournal.org/index.php/Ejounral/article/view/3077 (accessed on 13 May 2022).
- Maasikmets, M.; Teinemaa, E.; Kaasik, A.; Kimmel, V. Measurement and analysis of ammonia, hydrogen sulphide and odour emissions from the cattle farming in Estonia. Biosyst. Eng. 2015, 139, 48–59. [Google Scholar] [CrossRef]
- Tullo, E.; Finzi, A.; Guarino, M. Review: Environmental impact of livestock farming and Precision Livestock Farming as a mitigation strategy. Sci. Total Environ. 2019, 650, 2751–2760. [Google Scholar] [CrossRef] [PubMed]
- Herzog, A.; Winckler, C.; Zollitsch, W. In pursuit of sustainability in dairy farming: A review of interdependent effects of animal welfare improvement and environmental impact mitigation. Agric. Ecosyst. Environ. 2018, 267, 174–187. [Google Scholar] [CrossRef]
- Herzog, A.; Hortenhuber, S.; Winckler, C.; Kral, I.; Zollitsch, W. Welfare intervention and environmental impacts of milk production e cradle-to-farm-gate effects of implementing rubber mats in Austrian dairy farms. J. Clean. Prod. 2020, 277, 123953. [Google Scholar] [CrossRef]
- Lovarelli, D.; Bacenetti, J.; Guarino, M. A review on dairy cattle farming: Is precision livestock farming the compromise for an environmental, economic and social sustainable production? J. Clean. Prod. 2020, 262, 121409. [Google Scholar] [CrossRef]
- D'Urso, P.R.; Arcidiacono, C.; Cascone, G. Environmental and Animal-Related Parameters and the Emissions of Ammonia and Methane from an Open-Sided Free-Stall Barn in Hot Mediterranean Climate: A Preliminary Study. Agronomy 2021, 11, 1772. [Google Scholar] [CrossRef]
- Wang, X.; Ndegwa, P.M.; Joo, H.; Neerackal, G.M.; Harrison, J.H.; Stöckle, C.O.; Liu, H. Reliable low-cost devices for monitoring ammonia concentrations and emissions in naturally ventilated dairy barns. Environ. Pollut. 2016, 208, 571–579. [Google Scholar] [CrossRef]
- Hassouna, M.; Eglin, T.; Cellier, P.; Colomb, V.; Cohan, J.-P.; Decuq, C.; Delabuis, M.; Edouard, N.; Espagnol, S.; Eugène, M.; et al. Measuring Emissions from Livestock Farming: Greenhouse Gases, Ammonia and Nitrogen Oxides; Ademeand INRA: Paris, France, 2016; ISBN 2-7380-1392-9. Available online: https://hal.archives-ouvertes.fr/hal-01567208 (accessed on 13 May 2022).
- Zhang, G.; Strøm, J.S.; Li, B.; Rom, H.B.; Morsing, S.; Dahl, P.; Wang, C. Emission of Ammonia and Other Contaminant Gases from Naturally Ventilated Dairy Cattle Buildings. Biosyst. Eng. 2005, 92, 355–364. [Google Scholar] [CrossRef]
- Saha, C.K.; Ammon, C.; Berg, W.; Loebsin, C.; Fiedler, M.; Brunsch, R.; Von Bobrutzki, K. The effect of external wind speed and direction on sampling point concentrations, air change rate and emissions from a naturally ventilated dairy building. Biosyst. Eng. 2013, 114, 267–278. [Google Scholar] [CrossRef]
- Saha, C.; Ammon, C.; Berg, W.; Fiedler, M.; Loebsin, C.; Sanftleben, P.; Brunsch, R.; Amon, T. Seasonal and diel variations of ammonia and methane emissions from a naturally ventilated dairy building and the associated factors influencing emissions. Sci. Total Environ. 2014, 468–469, 53–62. [Google Scholar] [CrossRef]
- Hempel, S.; Saha, C.K.; Fiedler, M.; Berg, W.; Hansen, C.; Amon, B.; Amon, T. Non-linear temperature dependency of ammonia and methane emissions from a naturally ventilated dairy barn. Biosyst. Eng. 2016, 145, 10–21. [Google Scholar] [CrossRef]
- Schmithausen, A.J.; Schiefler, I.; Trimborn, M.; Gerlach, K.; Südekum, K.-H.; Pries, M.; Büscher, W. Quantification of Methane and Ammonia Emissions in a Naturally Ventilated Barn by Using Defined Criteria to Calculate Emission Rates. Animals 2018, 8, 75. [Google Scholar] [CrossRef] [PubMed]
- D’Urso, P.R.; Arcidiacono, C. Effect of the Milking Frequency on the Concentrations of Ammonia and Greenhouse Gases within an Open Dairy Barn in Hot Climate Conditions. Sustainability 2021, 13, 9235. [Google Scholar] [CrossRef]
- D’Urso, P.R.; Arcidiacono, C.; Cascone, G. Analysis of the Horizontal Distribution of Sampling Points for Gas Concentrations Monitoring in an Open-Sided Dairy Barn. Animals 2022, 12, 3258. [Google Scholar] [CrossRef]
- Rom, H.B.; Zhang, G. Time Delay for Aerial Ammonia Concentration Measurements in Livestock Buildings. Sensors 2010, 10, 4634–4642. [Google Scholar] [CrossRef]
- Zhuang, S.; Brusselman, E.; Sonck, B.; Demeyer, P. Validation of Five Gas Analysers for Application in Ammonia Emission Measurements at Livestock Houses According to the VERA Test Protocol. Appl. Sci. 2020, 10, 5034. [Google Scholar] [CrossRef]
- Ngwabie, N.; Jeppsson, K.-H.; Nimmermark, S.; Swensson, C.; Gustafsson, G. Multi-location measurements of greenhouse gases and emission rates of methane and ammonia from a naturally-ventilated barn for dairy cows. Biosyst. Eng. 2009, 103, 68–77. [Google Scholar] [CrossRef]
- Pigni, A.; Tugnolo, A.; Beghi, R.; Cocetta, G.; Finzi, A. Rapid and continuous monitoring of air ammonia concentration in dairy milking parlors. In Proceedings of the 2021 IEEE International Workshop on Metrology for Agriculture and Forestry (MetroAgriFor), Trento-Bolzano, Italy, 3–5 November 2021. [Google Scholar] [CrossRef]
- D’Urso, P.R.; Arcidiacono, C.; Valenti, F.; Janke, D.; Cascone, G. Measuring ammonia concentrations by an infrared photo-acoustic multi-gas analyser in an open dairy barn: Repetitions planning strategy. Comput. Electron. Agric. 2023, 204, 107509. [Google Scholar] [CrossRef]
- D’Urso, P.R.; Arcidiacono, C.; Valenti, F.; Cascone, G. Assessing Influence Factors on Daily Ammonia and Greenhouse Gas Concentrations from an Open-Sided Cubicle Barn in Hot Mediterranean Climate. Animals 2021, 11, 1400. [Google Scholar] [CrossRef]
- Mendes, L.; Edouard, N.; Ogink, N.; Van Dooren, H.J.C.; FerreiraTinôco, I.D.F.; Mosquera, J. Spatial variability of mixing ratios of ammonia and tracer gases in a naturally ventilated dairy cow barn. Biosyst. Eng. 2015, 129, 360–369. [Google Scholar] [CrossRef]
- Baldini, C.; Borgonovo, F.; Gardoni, D.; Guarino, M. Comparison among NH3 and GHGs emissive patterns from different housingsolutions of dairy farms. Atmos. Environ. 2016, 141, 60–66. [Google Scholar] [CrossRef]
- König, M.; Hempel, S.; Janke, D.; Amon, B.; Amon, T. Variabilities in determining air exchange rates in naturally ventilated dairy buildings using the CO2 production model. Biosyst. Eng. 2018, 174, 249–259. [Google Scholar] [CrossRef]
- Domènech-Gil, G.; Puglisi, D. Benefits of virtual sensors for air quality monitoring in humid conditions. Sens. Actuators B Chem. 2021, 344, 130294. [Google Scholar] [CrossRef]
- Janke, D.; Willink, D.; Ammon, C.; Hempel, S.; Schrade, S.; Demeyer, P.; Hartung, E.; Amon, B.; Ogink, N.; Amon, T. Calculation of ventilation rates and ammonia emissions: Comparison of sampling strategies for a naturally ventilated dairy barn. Biosyst. Eng. 2020, 198, 15–30. [Google Scholar] [CrossRef]
- VERA. Test Protocol for Livestock Housing and Management Systems. Verif. Environ. Technol. Agric. Prod. 2018, 2, 1–55. [Google Scholar]
- D’Urso, P.R.; Arcidiacono, C.; Cascone, G. Uncertainty in determining ammonia and methane emissions at different sampling locations in an open-sided dairy barn. In Proceedings of the 2021 IEEE International Workshop on Metrology for Agriculture and Forestry (MetroAgriFor), Trento-Bolzano, Italy, 3–5 November 2021; 2021; pp. 145–150. [Google Scholar] [CrossRef]
- Arcidiacono. Engineered Solutions for Animal Heat Stress Abatement in Livestock Buildings. CIGR Journal. Special Issue: Animal Housing in Hot Climate 2018. Available online: https://cigrjournal.org/index.php/Ejounral/article/view/4705/2734 (accessed on 13 May 2022).
- IPCC. Refinement to the 2006 IPCC Guidelines for National Greenhouse Gas Inventories. 2019. Available online: https://www.ipcc.ch/report/2019-refinement-to-the-2006-ipcc-guidelines-for-national-greenhouse-gas-inventories/ (accessed on 5 May 2022).








| SL | Mean of NH3 INNOVA Analyzer (ppm) | Tukey’s Post-Hoc Test | SL | Mean of NH3 Portable Device (ppm) | Tukey’s Post-Hoc Test | ||||
|---|---|---|---|---|---|---|---|---|---|
| A | 3.51 | A | A | 3.63 | A | ||||
| B | 1.71 | B | C | 0.77 | B | ||||
| C | 1.69 | B | B | 0.68 | B | ||||
| SL | Mean of CO2 INNOVA Analyzer (ppm) | Tukey’s post-hoc test | SL | Mean of CO2 Portable Device (ppm) | Tukey’s post-hoc test | ||||
| C | 598.62 | A | C | 779.6 | A | ||||
| A | 596.44 | A | B | 575.59 | B | ||||
| B | 558.95 | B | A | 444.83 | C | ||||
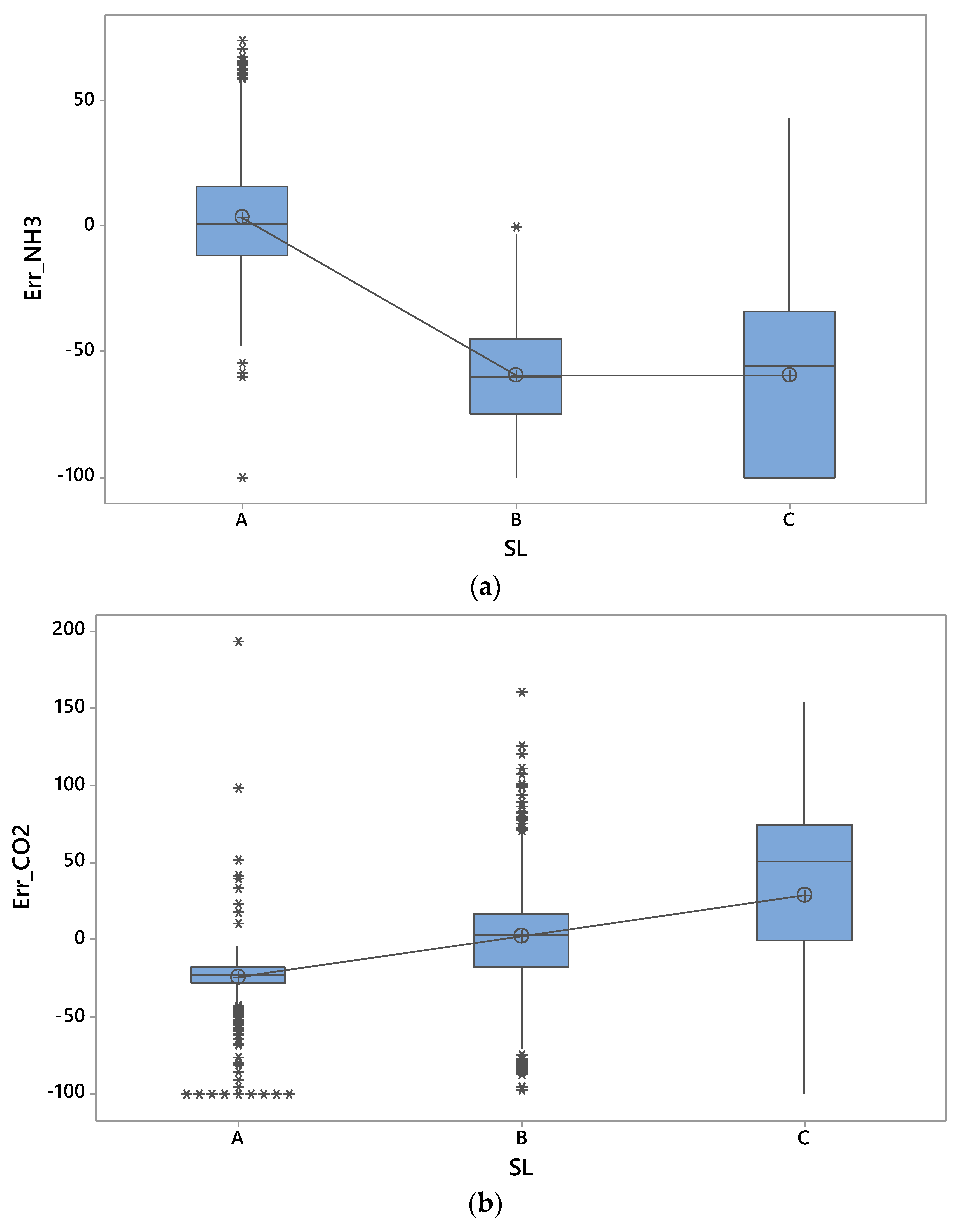
| SL | Mean of Error for NH3 Portable Device (%) | Tukey’s Post-Hoc Test * | ||
|---|---|---|---|---|
| A | 3.39 | A | ||
| C | −59.20 | B | ||
| B | −59.33 | B | ||
| SL | Mean of error for CO2 portable device (%) | Tukey’s post-hoc test * | ||
| C | 28.82 | A | ||
| B | 1.90 | B | ||
| A | −24.47 | C | ||
Disclaimer/Publisher’s Note: The statements, opinions and data contained in all publications are solely those of the individual author(s) and contributor(s) and not of MDPI and/or the editor(s). MDPI and/or the editor(s) disclaim responsibility for any injury to people or property resulting from any ideas, methods, instructions or products referred to in the content. |
© 2022 by the authors. Licensee MDPI, Basel, Switzerland. This article is an open access article distributed under the terms and conditions of the Creative Commons Attribution (CC BY) license (https://creativecommons.org/licenses/by/4.0/).
Share and Cite
D’Urso, P.R.; Arcidiacono, C.; Cascone, G. Assessment of a Low-Cost Portable Device for Gas Concentration Monitoring in Livestock Housing. Agronomy 2023, 13, 5. https://doi.org/10.3390/agronomy13010005
D’Urso PR, Arcidiacono C, Cascone G. Assessment of a Low-Cost Portable Device for Gas Concentration Monitoring in Livestock Housing. Agronomy. 2023; 13(1):5. https://doi.org/10.3390/agronomy13010005
Chicago/Turabian StyleD’Urso, Provvidenza Rita, Claudia Arcidiacono, and Giovanni Cascone. 2023. "Assessment of a Low-Cost Portable Device for Gas Concentration Monitoring in Livestock Housing" Agronomy 13, no. 1: 5. https://doi.org/10.3390/agronomy13010005
APA StyleD’Urso, P. R., Arcidiacono, C., & Cascone, G. (2023). Assessment of a Low-Cost Portable Device for Gas Concentration Monitoring in Livestock Housing. Agronomy, 13(1), 5. https://doi.org/10.3390/agronomy13010005

