Assessing Soil Organic Carbon, Soil Nutrients and Soil Erodibility under Terraced Paddy Fields and Upland Rice in Northern Thailand
Abstract
1. Introduction
2. Material and Methods
2.1. Study Area and Site Selection
2.2. Management Practices
2.3. Soil Sample Collection and Laboratory Analysis
2.4. Soil Organic Carbon Calculation
2.5. Soil Erodibility Calculation
2.6. Statistical Analysis
3. Results and Discussion
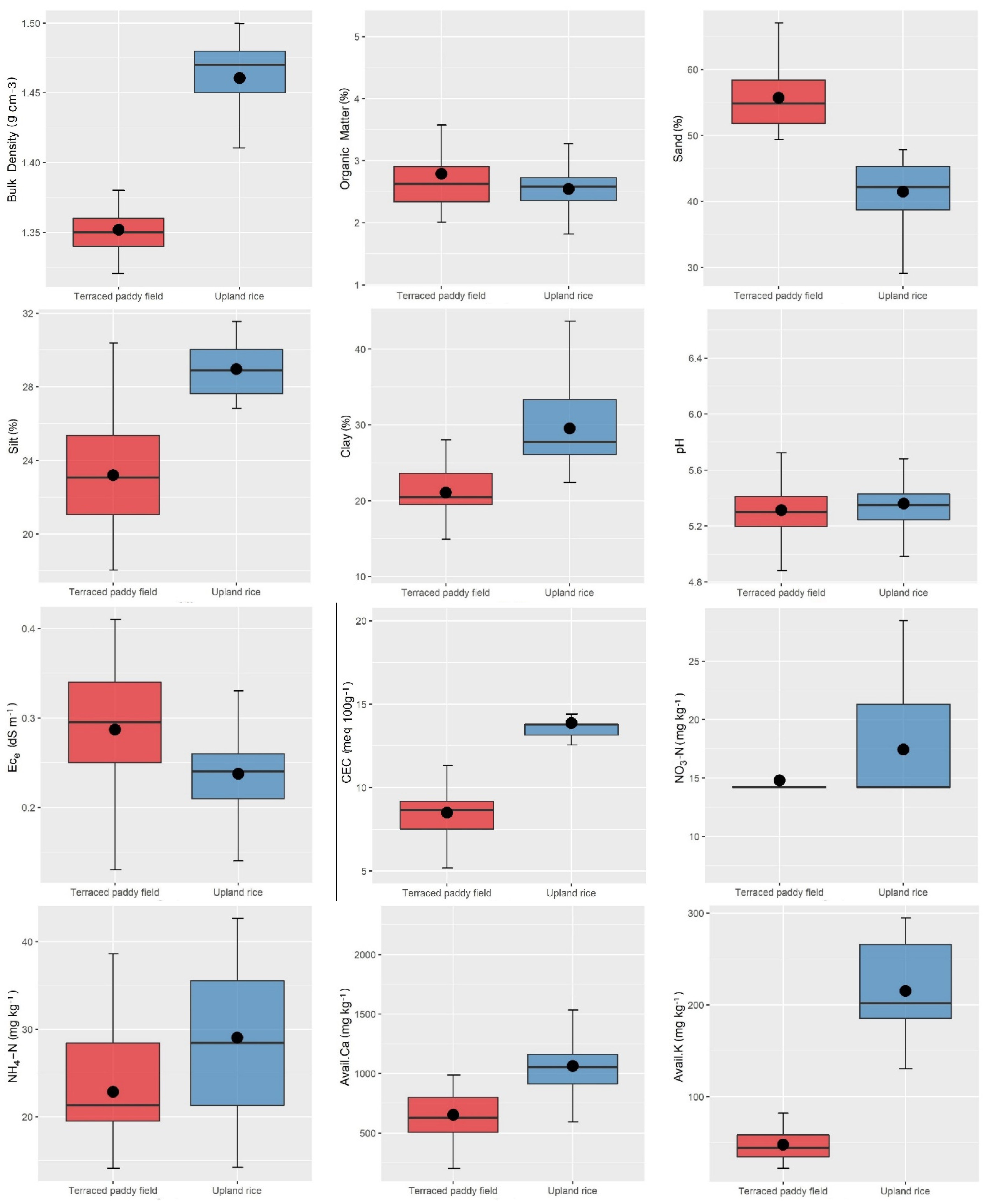
3.1. Variation of Soil Properties under Terraced Paddy Field and Upland Rice
3.2. Soil Organic Carbon Stock under Terraced Paddy Field and Upland Rice
3.3. Soil Erodibility under Terraced Paddy Field and Upland Rice
3.4. Correlation Coefficient Matrix and PCA Analysis
3.5. Recommendations for Further Study
4. Conclusions
Author Contributions
Funding
Institutional Review Board Statement
Informed Consent Statement
Data Availability Statement
Acknowledgments
Conflicts of Interest
References
- Jobbágy, E.G.; Jackson, R.B. The vertical distribution of soil organic carbon and its relation to climate and vegetation. Ecol. Appl. 2000, 10, 423–436. [Google Scholar] [CrossRef]
- Todd-Brown, K.E.O.; Randerson, J.T.; Hopkins, F.; Arora, V.; Hajima, T.; Jones, C.; Shevliakova, E.; Tjiputra, J.; Volodin, E.; Wu, T.; et al. Changes in soil organic carbon storage predicted by Earth system models during the 21st century. Biogeosciences 2014, 11, 2341–2356. [Google Scholar] [CrossRef]
- Amelung, W.; Bossio, D.; de Vries, W.; Kögel-Knabner, I.; Lehmann, J.; Amundson, R.; Bol, R.; Collins, C.; Lal, R.; Leifeld, J.; et al. Towards a global-scale soil climate mitigation strategy. Nat. Commun. 2020, 11, 5427. [Google Scholar] [CrossRef]
- Sanderman, J.; Hengl, T.; Fiske, G.J. Soil carbon debt of 12,000 years of human land use. Proc. Natl. Acad. Sci. USA 2017, 114, 9575–9580. [Google Scholar] [CrossRef]
- Gibbs, H.K.; Salmon, J.M. Mapping the world’s degraded lands. Appl. Geogr. 2015, 57, 12–21. [Google Scholar] [CrossRef]
- Liu, X.; Herbert, S.; Hashemi, A.; Zhang, X.; Ding, G. Effects of agricultural management on soil organic matter and carbon transformation—A review. Plant Soil Environ. 2011, 52, 531–543. [Google Scholar] [CrossRef]
- Freibauer, A.; Rounsevell, M.D.A.; Smith, P.; Verhagen, J. Carbon sequestration in the agricultural soils of Europe. Geoderma 2004, 122, 1–23. [Google Scholar] [CrossRef]
- Arunrat, N.; Kongsurakan, P.; Sereenonchai, S.; Hatano, R. Soil Organic Carbon in Sandy Paddy Fields of Northeast Thailand: A Review. Agronomy 2020, 10, 1061. [Google Scholar] [CrossRef]
- Mueller, L.; Schindler, U.; Mirschel, W.; Shepherd, T.G.; Ball, B.C.; Helming, K.; Rogasik, J.; Eulenstein, F.; Wiggering, H. Assessing the productivity function of soils. A review. Agron Sustain. Dev. 2010, 30, 601–614. [Google Scholar] [CrossRef]
- Lal, R.; Delgado, J.A.; Groffman, P.M.; Millar, N.; Dell, C.; Rotz, A. Management to mitigate and adapt to climate change. J. Soil Water Conserv. 2011, 66, 276–285. [Google Scholar] [CrossRef]
- Haddaway, N.R.; Hedlund, K.; Jackson, L.E.; Kätterer, T.; Lugato, E.; Thomsen, I.K.; Jørgensen, H.B.; Söderström, B. What are the effects of agricultural management on soil organic carbon in boreo temperate systems? Environ. Evid. 2015, 4, 23. [Google Scholar] [CrossRef]
- Sattler, D.; Murray, L.T.; Kirchner, A.; Lindner, A. Influence of soil and topography on aboveground biomass accumulation and carbon stocks of afforested pastures in South East Brazil. Ecol. Eng. 2014, 73, 126–131. [Google Scholar] [CrossRef]
- Xin, Z.; Qin, Y.; Yu, X. Spatial variability in soil organic carbon and its influencing factors in a hilly watershed of the Loess Plateau, China. CATENA 2016, 137, 660–669. [Google Scholar] [CrossRef]
- Arunrat, N.; Pumijumnong, N.; Sereenonchai, S.; Chareonwong, U. Factors Controlling Soil Organic Carbon Sequestration of Highland Agricultural Areas in the Mae Chaem Basin, Northern Thailand. Agronomy 2020, 10, 305. [Google Scholar] [CrossRef]
- Cao, L.; Liang, Y.; Wang, Y.; Lu, H. Runoff and soil loss from Pinus massoniana forest in southern China after simulated rainfall. CATENA 2015, 129, 1–8. [Google Scholar] [CrossRef]
- Budry, B.; Curtis, J. Environmental perceptions and behavioral change of hillside farmers: The case of Haiti. J. Caribb. Agro.-Econ. Soc. (CAES) 2007, 7, 122–138. [Google Scholar]
- Tadele, A.; Terefe, A.; Selassie, Y.G.; Yitaferu, B.; Wolfgramm, B.; Hurni, H. Soil properties and crop yields along the terraces and topo-sequece of Anjeni watershed, Central Highlands of Ethiopia. J. Agric. Sci. 2013, 5, 134. [Google Scholar]
- Morgan, J.M.; Condon, A.G. Water Use, Grain Yield, and Osmoregulation in Wheat. Funct. Plant Biol. 1986, 13, 523–532. [Google Scholar] [CrossRef]
- Li, Y.M.; Wang, K.Q.; Liu, Z.Q.; Wang, J.Y.; Zhou, X. Effect of measure of engineering preparation to soil water in Yunnan dry-hot river valley. (English Abstract). J. Soil Water Conserv. 2006, 1, 15–19. [Google Scholar]
- Chen, S.-K.; Liu, C.-W.; Chen, Y.-R. Assessing soil erosion in a terraced paddy field using experimental measurements and universal soil loss equation. CATENA 2012, 95, 131–141. [Google Scholar] [CrossRef]
- Shao, H.; Baffaut, C.; Gao, J.E.; Nelson, N.O.; Janssen, K.A.; Pierzynski, G.M.; Barnes, P.L. Development and application of algorithms for simulating terraces within swat. Trans. Asabe 2013, 56, 1715–1730. [Google Scholar]
- Petanidou, T.; Kizos, T.; Soulakellis, N. Socioeconomic Dimensions of Changes in the Agricultural Landscape of the Mediterranean Basin: A Case Study of the Abandonment of Cultivation Terraces on Nisyros Island, Greece. Environ. Manag. 2008, 41, 250–266. [Google Scholar] [CrossRef]
- Tarolli, P.; Cao, W.; Sofia, G.; Evans, D.; Ellis, E.C. From features to fingerprints: A general diagnostic framework for anthropogenic geomorphology. Prog. Phys. Geogr. Earth Environ. 2019, 43, 95–128. [Google Scholar] [CrossRef]
- Chang, T.T. The rice cultures. Philos. Trans. R. Soc. Lond. B 1976, 275, 143–157. [Google Scholar]
- Price, S.; Nixon, L. Ancient Greek Agricultural Terraces: Evidence from Texts and Archaeological Survey. Am. J. Archaeol. 2005, 109, 665–694. [Google Scholar] [CrossRef]
- Chen, S.-K.; Chen, Y.-R.; Peng, Y.-H. Experimental study on soil erosion characteristics in flooded terraced paddy fields. Paddy Water Environ. 2012, 11, 433–444. [Google Scholar] [CrossRef]
- Yuan, Z.; Lun, F.; He, L.; Cao, Z.; Min, Q.; Bai, Y.; Liu, M.; Cheng, S.; Li, W.; Fuller, A.M. Exploring the State of Retention of Traditional Ecological Knowledge (TEK) in a Hani Rice Terrace Village, Southwest China. Sustainability 2014, 6, 4497–4513. [Google Scholar] [CrossRef]
- Deng, C.; Zhang, G.; Liu, Y.; Nie, X.; Li, Z.; Liu, J.; Zhu, D. Advantages and disadvantages of terracing: A comprehensive review. Int. Soil Water Conserv. Res. 2021, 9, 344–359. [Google Scholar] [CrossRef]
- Tian, H.; Lu, C.; Yang, J.; Banger, K.; Huntzinger, D.N.; Schwalm, C.R.; Michalak, A.M.; Cook, R.; Ciais, P.; Hayes, D.; et al. Global patterns and controls of soil organic carbon dynamics as simulated by multiple terrestrial biosphere models: Current status and future directions. Glob. Biogeochem. Cycles 2015, 29, 775–792. [Google Scholar] [CrossRef]
- Haas, H.J.; Willis, W.O.; Boatwright, G.O. Moisture Storage and Spring Wheat Yields on Level-Bench Terraces as Influenced by Contributing Area Cover and Evaporation Control. Agron. J. 1966, 58, 297–299. [Google Scholar] [CrossRef]
- Al Ali, Y.; Touma, J.; Zante, P.; Nasri, S.; Albergel, J. Water and sediment balances of a contour bench terracing system in a semi-arid cultivated zone (El Gouazine, central Tunisia). Hydrol. Sci. J. 2008, 53, 883–892. [Google Scholar] [CrossRef]
- Homburg, J.A.; Sandor, J.A. Anthropogenic effects on soil quality of ancient agricultural systems of the American Southwest. CATENA 2011, 85, 144–154. [Google Scholar] [CrossRef]
- Li, X.H.; Yang, J.; Zhao, C.Y.; Wang, B. Runoff and sediment from orchard terraces in southeastern China. Land Degrad. Dev. 2012, 25, 184–192. [Google Scholar] [CrossRef]
- Liu, X.; He, B.; Li, Z.; Zhang, J.; Wang, L.; Wang, Z. Influence of land terracing on agricultural and ecological environment in the loess plateau regions of China. Environ. Earth Sci. 2011, 62, 797–807. [Google Scholar] [CrossRef]
- Fukamachi, K. Sustainability of terraced paddy fields in traditional satoyama landscapes of Japan. J. Environ. Manag. 2017, 202, 543–549. [Google Scholar] [CrossRef]
- Garcia-Franco, N.; Wiesmeier, M.; Goberna, M.; Martínez-Mena, M.; Albaladejo, J. Carbon dynamics after afforestation of semiarid shrublands: Implications of site preparation techniques. For. Ecol. Manag. 2014, 319, 107–115. [Google Scholar] [CrossRef]
- Xu, G.; Lu, K.; Li, Z.; Li, P.; Wang, T.; Yang, Y. Impact of soil and water conservation on soil organic carbon content in a catchment of the middle Han River, China. Environ. Earth Sci. 2015, 74, 6503–6510. [Google Scholar] [CrossRef]
- Zhang, J.H.; Wang, Y.; Li, F.C. Soil organic carbon and nitrogen losses due to soil erosion and cropping in a sloping terrace landscape. Soil Res. 2015, 53, 87–96. [Google Scholar] [CrossRef]
- McConchie, J.A.; Huan-Cheng, M. A discussion of the risks and benefits of using rock terracing to limit soil erosion in Guizhou Province. J. For. Res. 2002, 13, 41–47. [Google Scholar] [CrossRef]
- Ramos, M.C.; Cots-Folch, R.; Martínez-Casasnovas, J.A. Effects of land terracing on soil properties in the Priorat region in Northeastern Spain: A multivariate analysis. Geoderma 2007, 142, 251–261. [Google Scholar] [CrossRef]
- Sahahirun, A.; Baconguis, R.D. A Model in Promoting Highland Terrace Paddy Cultivation Technology in Northern Thailand. IJERD-Int. J. Environ. Rural Dev. 2018, 9, 9–10. [Google Scholar]
- Damrongkiet, C. Upland Rice and Food Security Development in Highland Area (in Thailand). 2012. Available online: http://www.ricethailand.go.th/rkb3/Eb_024.pdf (accessed on 8 August 2021).
- Sang-Arun, J.; Mihara, M.; Horaguchi, Y.; Yamaji, E. Soil erosion and participatory remediation strategy for bench terraces in northern Thailand. CATENA 2006, 65, 258–264. [Google Scholar] [CrossRef]
- United States Department of Agriculture (USDA). Diagnosis and Improvement of Saline and Alkali Soils, Agriculture. Handbook No. 60, U.S. Salinity Laboratory; Government Printing Office: Washington, DC, USA, 1954.
- National Soil Survey Center. Soil Survey Laboratory Methods Manual. Soil Survey Investigations Report No. 42, Version 3.0, Natural Conservation Service; USDA: Washington, DC, USA, 1996.
- Walkley, A.; Black, J.A. An examination of the dichromate method for determining soil organic matter and a proposed modification of the chromic acid titration method. Soil Sci. 1934, 37, 29–38. [Google Scholar] [CrossRef]
- Bray, R.H.; Kurtz, L.T. Determination of total organic and available form of phosphorus in soil. Soil Sci. 1945, 59, 39–46. [Google Scholar] [CrossRef]
- Thomas, G.W. Soil pH and Soil Acidity. Method of Soil Analysis, Part 3: Chemical Methods; Sparks, D.L., Page, A.L., Helmke, P.A., Loeppert, R.H., Soltanpour, P.N., Tabatabai, M.A., Johnston, C.T., Sumner, M.E., Eds.; SSSA Inc.: Madison, WI, USA; ASA Inc.: Madison, WI, USA, 1996; pp. 475–490. [Google Scholar]
- Wischmeier, W.H.; Johnson, C.B.; Cross, B.V. A soil erodibility nomograph for farmland and construction sites. J. Soil Water Conserv. 1971, 26, 189–193. [Google Scholar]
- Williams, J.; Renard, K.; Dyke, P. EPIC: A new method for assessing erosion’s effect on soil productivity. J. Soil Water Conserv. 1983, 38, 381–383. [Google Scholar]
- Shirazi, M.A.; Boersma, L. A Unifying Quantitative Analysis of Soil Texture. Soil Sci. Soc. Am. J. 1984, 48, 142–147. [Google Scholar] [CrossRef]
- Du, J.; Shi, C.; Fan, X.; Zhou, Y. Impacts of socio-economic factors on sediment yield in the Upper Yangtze River. J. Geogr. Sci. 2011, 21, 359–371. [Google Scholar] [CrossRef]
- Wu, L.; Long, T.-Y.; Liu, X.; Mmereki, D. Simulation of soil loss processes based on rainfall runoff and the time factor of governance in the Jialing River Watershed, China. Environ. Monit. Assess. 2012, 184, 3731–3748. [Google Scholar] [CrossRef]
- Chen, J.; He, B.; Wang, X.; Ma, Y.; Xi, W. The effects of Herba Andrographitis hedgerows on soil erodibility and fractal features on sloping cropland in the Three Gorges Reservoir Area. Environ. Sci. Pollut. Res. 2013, 20, 7063–7070. [Google Scholar] [CrossRef]
- Liu, X.; Zhang, Y.; Li, P. Spatial Variation Characteristics of Soil Erodibility in the Yingwugou Watershed of the Middle Dan River, China. Int. J. Environ. Res. Public Health 2020, 17, 3568. [Google Scholar] [CrossRef] [PubMed]
- Sharpley, A.N.; Wiliams, J.R. EPIC The Erosion Productivity Impact Calculator. 1. Model Documentation. U.S. Department of Agriculture (Technical Buletin No. 1768). USA Government Printing Office: Washington, DC, USA, 1990. [Google Scholar]
- De Mendiburu, F. Package “agricolae” Title Statistical Procedures for Agricultural Research. 2020. Available online: http://tarwi.lamolina.edu.pe/~fmendiburu (accessed on 15 September 2021).
- Wickham, H. ggplot2. ggplot2; Springer: New York, NY, USA, 2009. [Google Scholar]
- Kassambara, A.; Mundt, F. Package “factoextra” Type Package Title Extract and Visualize the Results of Multivariate Data Analyses. 2020. Available online: https://github.com/kassambara/factoextra/issues (accessed on 15 September 2021).
- Cui, B.; Zhao, H.; Li, X.; Zhang, K.; Ren, H.; Bai, J. Temporal and spatial distributions of soil nutrients in Hani terraced paddy fields, Southwestern China. Procedia Environ. Sci. 2010, 2, 1032–1042. [Google Scholar] [CrossRef][Green Version]
- Miyamoto, T.; Kawahara, M.; Mori, Y.; Somura, H.; Ide, J.; Takahashi, E.; Yone, M.; Suetsugu, A. Evaluation of management practices in forest soil environments using a multi-frequency electromagnetic sounding system. J. Jpn. Soc. Soil Phys. 2013, 124, 17–24. [Google Scholar]
- Mori, Y.; Sasaki, M.; Morioka, E.; Tsujimoto, K. When do rice terraces become rice terraces? Paddy Water Environ. 2019, 17, 323–330. [Google Scholar] [CrossRef]
- Schmitter, P.; Dercon, G.; Hilger, T.; Le Ha, T.T.; Thanh, N.H.; Lam, N.; Vien, T.D.; Cadisch, G. Sediment induced soil spatial variation in paddy fields of Northwest Vietnam. Geoderma 2010, 155, 298–307. [Google Scholar] [CrossRef]
- Baskan, O.; Dengiz, O.; Gunturk, A. Effects of toposequence and land use-land cover on the spatial distribution of soil properties. Environ. Earth Sci. 2016, 75, 448. [Google Scholar] [CrossRef]
- De Blécourt, M.; Hänsel, V.M.; Brumme, R.; Corre, M.D.; Veldkamp, E. Soil redistribution by terracing alleviates soil organic carbon losses caused by forest conversion to rubber plantation. For. Ecol. Manag. 2014, 313, 26–33. [Google Scholar] [CrossRef]
- Qiu, Y.J.; Xu, M.X.; Shi, C.D.; Zhang, Z.X.; Zhang, S. Dynamic accumulation of soil organic carbon of terrace changed from slope cropland in the hilly loess plateau of eastern Gansu Province. J. Plant Nutr. Fertil. 2014, 20, 87–98. [Google Scholar]
- Pabst, H.; Gerschlauer, F.; Kiese, R.; Kuzyakov, Y. Land Use and Precipitation Affect Organic and Microbial Carbon Stocks and the Specific Metabolic Quotient in Soils of Eleven Ecosystems of Mt. Kilimanjaro, Tanzania. Land Degrad. Dev. 2015, 27, 592–602. [Google Scholar] [CrossRef]
- Schmitter, P.; Dercon, G.; Hilger, T.; Hertel, M.; Treffner, J.; Lam, N.; Duc Vien, T.; Cadisch, G. Linking spatio-temporal variation of crop response with sediment deposition along paddy rice terraces. Agric. Ecosyst. Environ. 2010, 140, 34–45. [Google Scholar] [CrossRef]
- Huang, L.-M.; Thompson, A.; Zhang, G.-L.; Chen, L.-M.; Han, G.-Z.; Gong, Z.-T. The use of chronosequences in studies of paddy soil evolution: A review. Geoderma 2015, 237–238, 199–210. [Google Scholar] [CrossRef]
- Chen, D.; Wei, W.; Daryanto, S.; Tarolli, P. Does terracing enhance soil organic carbon sequestration? A national-scale data analysis in China. Sci. Total Environ. 2020, 721, 137751. [Google Scholar] [CrossRef] [PubMed]
- Wei, W.; Chen, D.; Wang, L.; Daryanto, S.; Chen, L.; Yu, Y.; Lu, Y.; Sun, G.; Feng, T. Global synthesis of the classifications, distributions, benefits and issues of terracing. Earth-Sci. Rev. 2016, 159, 388–403. [Google Scholar] [CrossRef]
- Chen, D.; Wei, W.; Chen, L. How can terracing impact on soil moisture variation in China? A meta-analysis. Agric. Water Manag. 2019, 227, 105849. [Google Scholar] [CrossRef]
- Tadesse, B.; Mesfin, S.; Tesfay, G.; Abay, F. Effect of integrated soil bunds on key soil properties and soil carbon stock in semi-arid areas of northern Ethiopia. South Afr. J. Plant Soil 2016, 33, 297–302. [Google Scholar] [CrossRef]
- Arunrat, N.; Pumijumnong, N.; Hatano, R. Practices sustaining soil organic matter and rice yield in tropical monsoon area. Soil Sci. Plant Nutr. 2017, 63, 274–287. [Google Scholar]
- Arunrat, N.; Sereenonchai, S.; Hatano, R. Impact of burning on soil organic carbon of maize-upland rice system in Mae Chaem Basin of Northern Thailand. Geoderma 2021, 392, 115002. [Google Scholar] [CrossRef]
- Bryan, R.; Govers, G.; Poesen, J. The concept of soil erodibility and some problems of assessment and application. CATENA 1989, 16, 393–412. [Google Scholar] [CrossRef]
- Tejada, M.; Gonzalez, J. The relationships between erodibility and erosion in a soil treated with two organic amendments. Soil Tillage Res. 2006, 91, 186–198. [Google Scholar] [CrossRef]
- Römkens, M.J.M.; Wells, R.R.; Wang, B.; Zheng, F.; Hickey, C.J. Soil Erosion on Upland Areas by Rainfall and Overland Flow. In Advances in Water Resources Engineering. Handbook of Environmental Engineering; Yang, C., Wang, L., Eds.; Springer: Berlin/Heidelberg, Germany, 2015; Volume 14. [Google Scholar]
- Dlugoß, V.; Fiener, P.; Van Oost, K.; Schneider, K. Model based analysis of lateral and vertical soil carbon fluxes induced by soil redistribution processes in a small agricultural catchment. Earth Surf. Process. Landf. 2011, 37, 193–208. [Google Scholar] [CrossRef]
- Wiaux, F.; Cornelis, J.-T.; Cao, W.; Vanclooster, M.; Van Oost, K. Combined effect of geomorphic and pedogenic processes on the distribution of soil organic carbon quality along an eroding hillslope on loess soil. Geoderma 2014, 216, 36–47. [Google Scholar] [CrossRef]
- Qi, Y.; Wei, W.; Li, J.; Chen, C.; Huang, Y. Effects of terracing on root distribution of Pinus tabulaeformis Carr. forest and soil properties in the Loess Plateau of China. Sci. Total Environ. 2020, 721, 137506. [Google Scholar] [CrossRef] [PubMed]
- Bajpai, R.K.; Tripathi, R.P. Evaluation of non-pudding under shallow water tables and alternative tillage methods on soil and crop parameters in a rice—Wheat system in Uttar Pradesh. Soil Tillage Res. 2000, 55, 96–106. [Google Scholar] [CrossRef]
- Deng, L.; Kim, D.-G.; Peng, C.; Shangguan, Z. Controls of soil and aggregate-associated organic carbon variations following natural vegetation restoration on the Loess Plateau in China. Land Degrad. Dev. 2018, 29, 3974–3984. [Google Scholar] [CrossRef]
- Shi, Z.H.; Cai, C.F.; Ding, S.W.; Wang, T.W.; Chow, T.L. Soil conservation planning at the small watershed level using RUSLE with GIS: A case study in the Three Gorge Area of China. CATENA 2004, 55, 33–48. [Google Scholar] [CrossRef]
- Zhang, K.L.; Shu, A.P.; Xu, X.L.; Yang, Q.K.; Yu, B. Soil erodibility and its estimation for agricultural soils in China. J. Arid Environ. 2008, 72, 1002–1011. [Google Scholar] [CrossRef]
- Zhang, K.; Yu, Y.; Dong, J.; Yang, Q.; Xu, X. Adapting & testing use of USLE K factor for agricultural soils in China. Agric. Ecosyst. Environ. 2019, 269, 148–155. [Google Scholar] [CrossRef]
- Shabani, F.; Kumar, L.; Esmaeili, A. Improvement to the prediction of the USLE K factor. Geomorphology 2014, 204, 229–234. [Google Scholar] [CrossRef]
- Ostovari, Y.; Ghorbani-Dashtaki, S.; Bahrami, H.-A.; Naderi, M.; Dematte, J.A.M.; Kerry, R. Modification of the USLE K factor for soil erodibility assessment on calcareous soils in Iran. Geomorphology 2016, 273, 385–395. [Google Scholar] [CrossRef]











| Soil Properties | Upland Rice | Terraced Paddy Field | Between Group | |||||||
|---|---|---|---|---|---|---|---|---|---|---|
| Mean | Std | F | sig. | Mean | Std | F | sig. | t Value | p Value | |
| pH | 5.36 | 0.29 | 1.45 | 0.23 | 5.31 | 0.20 | 5.06 | 0.03 | −1.15 | 0.25 |
| Bulk density (g·cm−3) | 1.46 | 0.03 | 4.60 | 0.04 | 1.35 | 0.01 | 3.43 | 0.07 | −32.24 | <0.01 |
| Organic matter (%) | 2.55 | 0.33 | 0.33 | 0.57 | 2.79 | 0.85 | 128.70 | <0.01 | 2.29 | 0.02 |
| Soil organic carbon (Mg·C·ha−1) | 21.61 | 2.72 | 0.79 | 0.38 | 21.84 | 6.52 | 132.20 | <0.01 | 0.28 | 0.78 |
| Electrical conductivity (dS·m−1) | 0.24 | 0.05 | 0.06 | 0.81 | 0.29 | 0.06 | 6.08 | 0.02 | 5.32 | <0.01 |
| Cation exchange capacity (meq·100 g−1) | 13.87 | 1.75 | 0.07 | 0.79 | 8.50 | 1.45 | 145.70 | <0.01 | −20.21 | <0.01 |
| NH4-N (mg·kg−1) | 29.05 | 7.36 | 59.87 | <0.01 | 22.85 | 6.68 | 0.59 | 0.45 | −5.34 | <0.01 |
| NO3-N (mg·kg−1) | 17.44 | 4.52 | 14.16 | <0.01 | 14.81 | 4.03 | 1.24 | 0.27 | −3.72 | <0.01 |
| Available P (mg·kg−1) | 2.57 | 0.97 | 8.83 | <0.01 | 95.83 | 37.49 | 91.58 | <0.01 | 21.54 | <0.01 |
| Available K (mg·kg−1) | 215.25 | 48.84 | 23.97 | <0.01 | 48.00 | 15.74 | 4.50 | 0.04 | −27.71 | <0.01 |
| Available Ca (mg·kg−1) | 1063.32 | 341.00 | 2.99 | 0.09 | 652.63 | 188.83 | 46.37 | <0.01 | −8.98 | <0.01 |
| Available Mg (mg·kg−1) | 141.62 | 27.97 | 28.59 | <0.01 | 28.28 | 7.52 | 5.85 | 0.02 | −33.25 | <0.01 |
| %Sand | 41.50 | 4.52 | 2.35 | 0.13 | 55.70 | 4.77 | 0.004 | 0.95 | 18.53 | <0.01 |
| %Silt | 28.96 | 1.41 | 2.08 | 0.15 | 23.20 | 3.00 | 18.86 | <0.01 | −14.99 | <0.01 |
| %Clay | 29.54 | 5.04 | 3.22 | 0.08 | 21.10 | 3.90 | 10.65 | <0.01 | −11.33 | <0.01 |
| Soil erodibility (t·h·MJ−1·mm−1) | 0.2402 | 0.0136 | 0.00 | 0.99 | 0.2351 | 0.0104 | 35.08 | <0.01 | 0.17 | 0.86 |
| Variable | pH | BD | SOC | ECe | CEC | NH4-N | NO3-N | P | K | Ca | Mg | %Sand | %Silt | %Clay |
|---|---|---|---|---|---|---|---|---|---|---|---|---|---|---|
| pH | −0.24 * | 0.45 * | 0.18 | 0.54 * | −0.08 | 0.24 * | −0.18 | 0.23 * | 0.75 * | 0.41 * | −0.01 | 0.31 * | −0.08 | |
| BD | −0.14 | −0.13 | 0.06 | −0.24 * | 0.01 | −0.26 * | 0.14 | 0.44 * | −0.30 * | −0.10 | 0.00 | 0.17 | −0.05 | |
| SOC | 0.52 * | −0.33 * | 0.36 * | 0.66 * | 0.02 | 0.28 * | 0.17 | 0.21 | 0.47 * | 0.09 | −0.25 * | 0.43 * | 0.10 | |
| ECe | −0.42 * | 0.16 | −0.30 * | 0.15 | 0.24 * | 0.51 * | 0.11 | 0.40 * | 0.23 * | 0.10 | 0.11 | 0.13 | −0.14 | |
| CEC | 0.49 * | −0.13 | 0.88 * | −0.25 * | −0.08 | 0.37 * | −0.29 * | 0.18 | 0.78 * | 0.48 * | −0.65 * | 0.02 * | 0.57 * | |
| NH4-N | −0.17 | 0.30 * | −0.09 | 0.66 * | 0.12 | 0.27 * | −0.17 | −0.32 * | 0.15 | 0.39 * | 0.09 | 0.12 | −0.11 | |
| NO3-N | −0.17 | 0.09 | −0.35 * | 0.05 | −0.38 * | −0.23 | −0.04 | 0.05 | 0.37 * | 0.37 * | −0.07 | −0.29 | 0.14 | |
| P | −0.13 | −0.07 | 0.44 * | −0.08 | 0.61 * | 0.15 | −0.04 | 0.25 * | −0.53 * | −0.66 * | 0.40 * | 0.36 * | −0.46 * | |
| K | 0.31 * | −0.15 | 0.33 * | 0.30 * | 0.39 * | 0.37 | −0.11 | 0.25 * | 0.02 | −0.01 | −0.04 | 0.25 | −0.03 | |
| Ca | 0.80 * | −0.19 | 0.82 * | −0.32 * | 0.83 * | −0.03 | −0.32 * | 0.31 * | 0.41 * | 0.70 * | −0.39 * | 0.12 * | 0.32 * | |
| Mg | 0.40 * | 0.13 * | −0.02 | 0.45 * | 0.03 | 0.44 * | 0.02 | −0.34 * | 0.54 * | 0.28 * | −0.51 * | −0.19 * | 0.51 * | |
| %Sand | −0.09 | −0.41 | −0.04 | −0.24 * | −0.34 * | −0.54 * | −0.01 | −0.33 * | −0.28 * | −0.27 * | −0.45 * | 0.23 * | −0.96 * | |
| %Silt | 0.16 | 0.02 * | 0.59 * | −0.06 | 0.62 * | 0.20 | −0.32 * | 0.57 * | 0.15 | 0.51 * | −0.02 | −0.58 * | −0.48 * | |
| %Clay | −0.01 | 0.49 | −0.41 * | 0.34 * | −0.07 | 0.50 * | 0.25 * | −0.03 | 0.23 * | −0.07 | 0.56 * | −0.78 * | −0.06 |
| PC1 | PC2 | PC3 | PC4 | PC5 | PC6 | |
|---|---|---|---|---|---|---|
| Eigenvalue | 7.408 | 2.607 | 1.502 | 1.196 | 0.909 | 0.866 |
| Var. (%) | 46.301 | 16.296 | 9.386 | 7.473 | 5.681 | 5.415 |
| Cum. var. (%) | 46.301 | 62.598 | 71.984 | 79.457 | 85.138 | 90.553 |
| Factor loading/eigenvector | ||||||
| Toposequence | 0.022 | 0.378 | 0.266 | 0.442 | −0.409 | 0.310 |
| pH | −0.103 | −0.337 | 0.276 | 0.493 | −0.186 | −0.330 |
| Bulk density | −0.325 | 0.201 | 0.051 | −0.124 | −0.053 | −0.009 |
| SOC | −0.050 | −0.541 | 0.158 | −0.169 | −0.141 | 0.044 |
| ECe | 0.129 | −0.005 | −0.537 | 0.263 | −0.552 | 0.003 |
| CEC | −0.348 | −0.125 | 0.065 | −0.007 | 0.011 | 0.049 |
| NH4-N | −0.170 | 0.024 | −0.506 | −0.286 | −0.327 | −0.291 |
| NO3-N | −0.125 | 0.001 | −0.396 | 0.445 | 0.494 | −0.239 |
| P | 0.289 | −0.273 | −0.120 | −0.107 | 0.015 | 0.175 |
| K | −0.329 | 0.116 | 0.087 | 0.032 | −0.139 | −0.003 |
| Ca | −0.287 | −0.273 | 0.055 | 0.198 | −0.034 | −0.205 |
| Mg | −0.353 | 0.080 | −0.033 | −0.004 | 0.061 | −0.157 |
| %Sand | 0.342 | −0.040 | 0.087 | 0.052 | −0.029 | −0.298 |
| %Silt | −0.297 | −0.075 | 0.110 | −0.285 | −0.245 | −0.027 |
| %Clay | −0.292 | 0.101 | −0.185 | 0.099 | 0.186 | 0.426 |
| Soil erodibility | 0.097 | 0.457 | 0.201 | −0.149 | −0.001 | −0.529 |
Publisher’s Note: MDPI stays neutral with regard to jurisdictional claims in published maps and institutional affiliations. |
© 2022 by the authors. Licensee MDPI, Basel, Switzerland. This article is an open access article distributed under the terms and conditions of the Creative Commons Attribution (CC BY) license (https://creativecommons.org/licenses/by/4.0/).
Share and Cite
Arunrat, N.; Sereenonchai, S.; Kongsurakan, P.; Hatano, R. Assessing Soil Organic Carbon, Soil Nutrients and Soil Erodibility under Terraced Paddy Fields and Upland Rice in Northern Thailand. Agronomy 2022, 12, 537. https://doi.org/10.3390/agronomy12020537
Arunrat N, Sereenonchai S, Kongsurakan P, Hatano R. Assessing Soil Organic Carbon, Soil Nutrients and Soil Erodibility under Terraced Paddy Fields and Upland Rice in Northern Thailand. Agronomy. 2022; 12(2):537. https://doi.org/10.3390/agronomy12020537
Chicago/Turabian StyleArunrat, Noppol, Sukanya Sereenonchai, Praeploy Kongsurakan, and Ryusuke Hatano. 2022. "Assessing Soil Organic Carbon, Soil Nutrients and Soil Erodibility under Terraced Paddy Fields and Upland Rice in Northern Thailand" Agronomy 12, no. 2: 537. https://doi.org/10.3390/agronomy12020537
APA StyleArunrat, N., Sereenonchai, S., Kongsurakan, P., & Hatano, R. (2022). Assessing Soil Organic Carbon, Soil Nutrients and Soil Erodibility under Terraced Paddy Fields and Upland Rice in Northern Thailand. Agronomy, 12(2), 537. https://doi.org/10.3390/agronomy12020537

