RETRACTED: Effects of the Application of Biochar in Four Typical Agricultural Soils in China
Abstract
1. Introduction
2. Materials and Methods
2.1. Test Materials
2.2. Experimental Design
2.3. Sampling Method
2.4. Determination of Biochar Properties and Soil Chemical Properties
2.5. Bacterial Diversity
2.6. Data Processing
3. Results
3.1. Effects of Biochar on Soil Physical Properties
3.2. Effects of Biochar on Soil Chemical Properties
3.3. Effects of Biochar on Bacterial Diversity
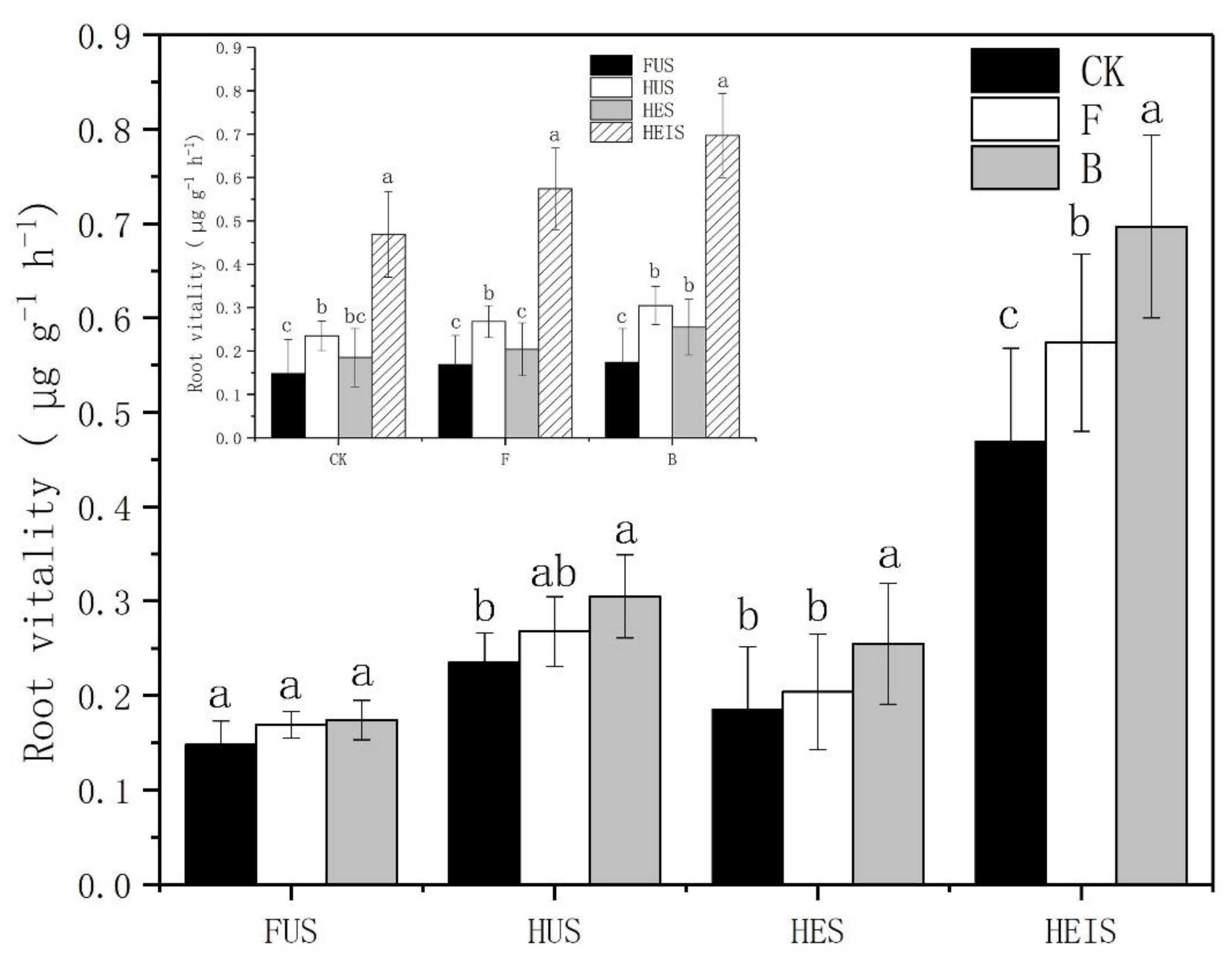
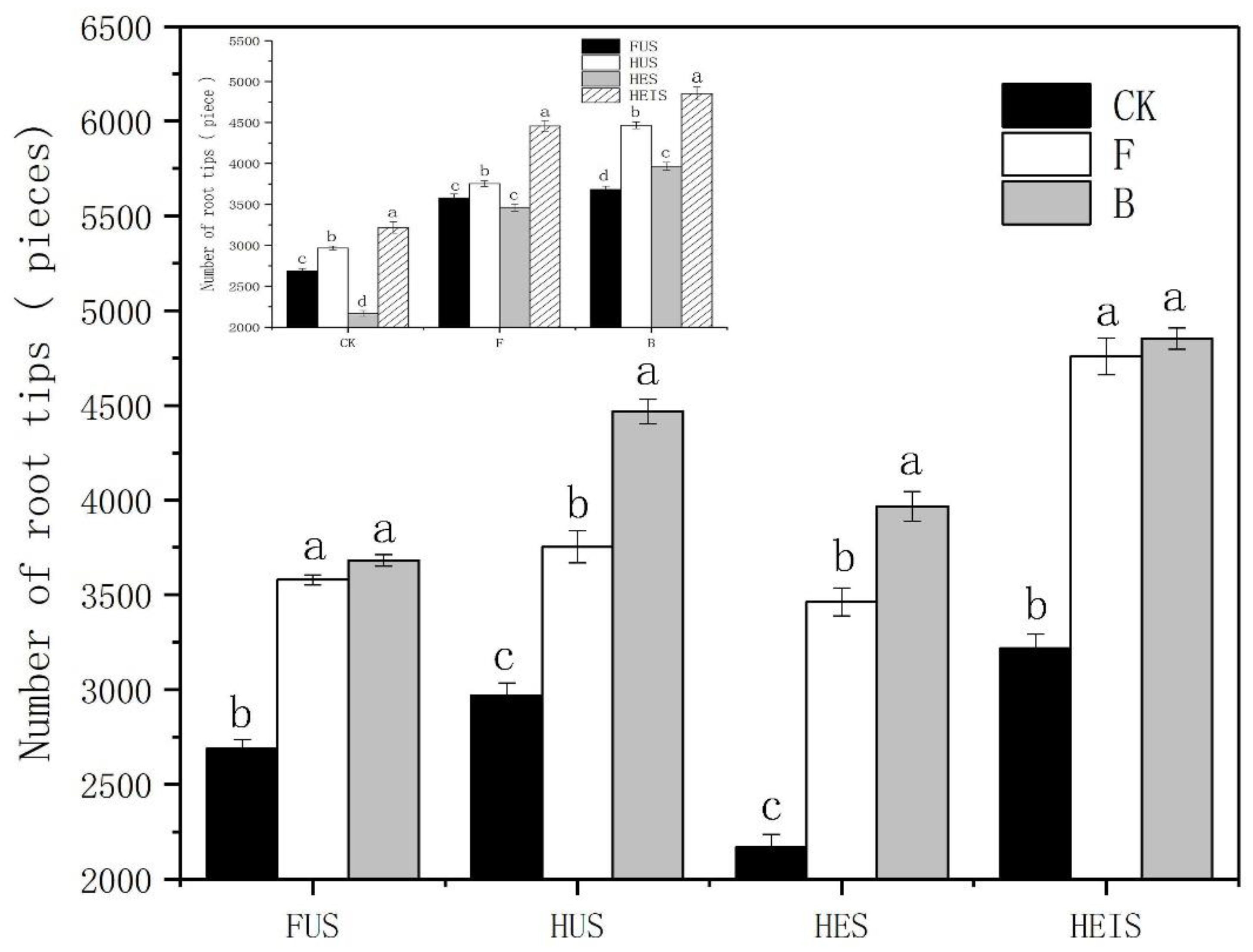
3.4. Effects of Biochar on the Growth and Development of Tobacco Plant Roots
3.5. Correlation Analysis between Soil Physical and Chemical Properties and Root Development of Flue-Cured Tobacco
4. Discussion
4.1. Effects of Biochar on Soil Physical and Chemical Properties
4.2. Effects of Biochar on Soil Chemical Properties
4.3. Effects of Biochar on Soil Microbial Diversity
4.4. Effects of Biochar on the Development of Flue-Cured Tobacco Roots
5. Conclusions
Author Contributions
Funding
Acknowledgments
Conflicts of Interest
References
- Song, Y.J.; Gong, J. Effects of Biochar Application on Soil Ecosystem Functions. J. Ludong Univ. 2010, 26, 361–365. [Google Scholar]
- Lehmann, J.; Gaunt, J.; Rondon, M. Bio-char sequestration in terrestrial esosytems—A review. Mitig. Adapt Strateg. Glob. Chang. 2006, 11, 395–419. [Google Scholar] [CrossRef]
- Chen, W.F.; Zhang, W.M.; Meng, J.; Xu, Z.J. Study on Application Technology of Biochar. Eng. Sci. 2011, 13, 83–89. [Google Scholar]
- Smernik, R.J.; Kookarna, R.S.; Skjemstad, J.O. NMR characterization of 13C-benzene sorbed to natural and prepared charcols. Environ. Sci. Technol. 2006, 40, 1764–1769. [Google Scholar] [CrossRef]
- Glaser, B.; Haumaier, L.; Guggenberger, G.; Zech, W. The ‘Terra Preta’ phenomenon: A model for sustainable agriculture in the humid tropics. Naturwiss 2001, 88, 37–41. [Google Scholar] [CrossRef]
- Lehmann, J.; Kern, D.C.; Glaser, B.; Woods, W.I. (Eds.) Amazonian Dark Earths: Origin Properties Management; Springer Science & Business Media: Berlin, Germany, 2007. [Google Scholar]
- Demirbas, A. Effects of temperature and particle size on biochar yield from pyrolysis of agricultural residues. J. Anal. Appl. Pyrol. 2004, 72, 243–248. [Google Scholar] [CrossRef]
- Ioannidou, O.; Zabaniotou, A. Agricultural residues as precursors for activated carbon production—A review. Renew. Sustain. Energy Rev. 2007, 11, 1966–2005. [Google Scholar] [CrossRef]
- Chan, K.Y.; Van Zwieten, L.; Meszaros, I.; Downie, A.; Joseph, S. Agronomic values of greenwaste biochar as a soil amendment. Aust. J. Soil Res. 2007, 45, 629–634. [Google Scholar] [CrossRef]
- Downie, A.; Klatt, P.; Downie, R.; Munroe, P. Slow Pyrolysis: Australian Demonstration Plant successful on Multifeedstocks. In Proceedings of the Bioenergy 2007 Conference, Jyvaskyla, Finland, 3–6 September 2007. [Google Scholar]
- Finland, L.I.M.; Mcaloon, A.J.; Boateng, A.A. Activated carbon from broiler litter: Process description and cost ofproduction. Biomass Bioenergy 2008, 32, 568–572. [Google Scholar]
- Chan, K.Y.; Van Zwieten, L.; Meszaros, I.; Downie, A.; Joseph, S. Using poultry litter biochars as soil amendments. Aust. J. Soil Res. 2008, 46, 437–444. [Google Scholar] [CrossRef]
- Ya, N.Y.; Toyota, K.; Okazaki, M. Effects of charcoal addition on N2O emissions from soil resulting from rewetting air-dried soil in short-term laboratory experiments. Soil Sci. Plant Nutr. 2007, 53, 181–188. [Google Scholar]
- Van, Z.L.; Singh, B.; Joseph, S.; Kimber, S.; Cowie, A.; Chan, Y. Biochar reduces emissions of non-CO2 GHG from soil. In Biochar for Environmental Management; Lehmann, J., Joseph, S., Eds.; Earthscan Publications Ltd.: London, UK, 2009; pp. 227–249. [Google Scholar]
- Zhang, T.L.; Zhong, P.L.; Wang, X.X. Soil Degradation and Its Eco-Environmental Impact under Highly−Intensified Agriculture. Acta Pedol. Sin. 2006, 4, 843–850. [Google Scholar]
- IUSS Working Group WRB. World Reference Base for Soil 40 Resources 2014. In International Soil Classification System for Naming Soils and Creating Legends for Soil Maps, 3rd ed.; FAO: Rome, Italy, 2014. [Google Scholar]
- Nielsen, S.; Minchin, T.; Kimber, S.; Van, Z.L.; Gilbert, J.; Munroe, P.; Joseph, S.; Thomas, T. Comparative analysis of the microbial communities in agricultural soil amended with biochars or traditional fertilisers. Agric. Ecosyst. Environ. 2014, 191, 73–82. [Google Scholar] [CrossRef]
- Yu, L.; Ya, Q.S.; Li, Z.Z. Biochar alters microbial community and carbon sequestration potential across different soil pH. Sci. Total Environ 2018, 622–623, 1391–1399. [Google Scholar]
- Chen, X.X.; He, X.S.; Zeng, Z.C.; Zhang, W.; Gao, H.Y. Effects of biochar on soil chemical properties, wheat and barley yields. Acta Ecol. Sin. 2013, 33, 6534–6542. [Google Scholar] [CrossRef]
- Van, Z. Effects of Biochar from Slow Pyrolysis of Papermill Waste on Agronomic Performance and Soil Fertility. Plant Soil 2010, 327, 235. [Google Scholar]
- Rayment, G.E.; Higginson, F.R. Australian Laboratory Handbook of Soil and Water Chemical Methods; Inkata Press Pty Ltd.: Melbourne Australia, 1992; Volume 43, p. 412. [Google Scholar]
- Schloss, P.D.; Westcott, S.L.; Ryabin, T.; Hall, J.R.; Hartmann, M.; Hollister, E.B.; Lesniewski, R.A.; Oakley, B.B.; Parks, D.H.; Robinson, C.J. Introducing mothur: Open-source, platform-independent, community-supported software for describing and comparing microbial communities. Appl. Environ. Microbiol. 2009, 75, 7537–7541. [Google Scholar] [CrossRef]
- Wang, H.H.; Ren, T.B.; Zhang, Z.H.; Yuan, Y.; Wang, B.; Kuang, G.; Liu, D.Y.; Liu, G.S. Effect of Biochar on Tobacco-planting Soil Improvement and Tobacco Quality in Mudanjiang. Chin. Agric. Sci. Bull. 2017, 33, 96–101. [Google Scholar]
- Shaun, N.; Stephen, J.; Jun, Y.; Chee, C.; Paul, M.; Lukas, V.Z.; Torsten, T. Crop-season and residual effects of sequentially applied mineral enhanced biochar and N fertiliser on crop yield, soil chemistry and microbial communities. Agric. Ecosyst. Environ. 2018, 255, 52–61. [Google Scholar]
- Bolker, B.M. Ecological Models and Data in R; Princeton University Press: Princeton, NJ, USA, 2008; Volume 215, pp. 170–181. [Google Scholar]
- Wang, F.Q.; Tian, L.Q.; Song, A.D.; Sang, Y.Q.; Zhang, J.S.; Gao, J. Four seasons dynamics of soil microbial biomass carbon and nitrogen in black locust forest and natural restoration Vegetation in North China. For. Sci. 2015, 51, 16–24. [Google Scholar]
- Wang, H.H.; Ren, T.B.; Zhang, Z.H.; Yuan, Y.; Wang, B.; Kuang, G.; Liu, D.Y.; Liu, G.S. Effects of Biochar on Root Development and Leaf Photosynthetic Characteristics of Flue-cured Tobacco. J. Soil Water Conserv. 2017, 31, 287–292. [Google Scholar]
- Bardou, P.; Mariette, J.; Escudié, F.; Djemiel, C.; Klopp, C. jvenn: An interactive Venn diagram viewer. BMC Bioinf. 2014, 15, 293. [Google Scholar] [CrossRef] [PubMed]
- Han, X.Z.; Wang, F.X.; Wang, F.J.; Zou, W.X. Effects of long-term organic manure application on crop yield and fertility of black soil. Agric. Res. Arid Areas 2010, 28, 66–71. [Google Scholar]
- Mehr, A.M.M.; Guijian, L.; Balal, Y.; Muhammad, U.A.; Qumber, A.; Habib, U. Synergistic effects of biochar and processed fly ash on bioavailability, transformation and accumulation of heavy metals by maize (Zea mays L.) in coal−mining contaminated soil. Chemosphere 2019, 240, 124845. [Google Scholar]
- Birk, J.J.; Steiner, C.; Teixiera, W.C.; Zech, W.; Glaser, B. Microbial Response to Charcoal Amendments and Fertilization of a Highly Weathered Tropical Soil. In Amazonian Dark Earths: Wim Sombroek’s Vision; Springer: Dordrecht, The Netherlands, 2009; pp. 309–324. [Google Scholar]
- Brodowski, S.; John, B.; Flessa, H.; Amelung, W. Aggregate-occluded black carbon in soil. Eur. J. Soil Sci. 2006, 57, 539–546. [Google Scholar] [CrossRef]
- Topoliantz, S.; Ponge, J.F.; Ballof, S. Manioc peel and charcoal: A potential organic amendment for sustainable soil fertility in the tropics. Biol. Fertil. Soils. 2005, 41, 15–21. [Google Scholar] [CrossRef]
- Karhu, K.; Mattila, T.; Bergström, I.; Regina, K. Biochar addition to agricultural soil increased CH4 uptake and water holding capacity—Results from a short-term pilot field study. Agric. Ecosyst. Environ. 2011, 140, 309–313. [Google Scholar] [CrossRef]
- Masulili, A.; Utomo, W.H.; Syechfani, M.S. Rice husk biochr for rice based cropping system in acid soil 1. Thecharacteristics of rice husk biochar and its Influence on the properties of acid sulfate soils and rice growth in west Kalimantan, Indonesia. J. Agric. Sci. 2010, 2, 39–47. [Google Scholar]
- Rees, F.; Simonnot, M.O.; Morel, J.L. Short-term effects of biochar on soil heavy metal mobility are controlled by intra-particle diffusion and soil pH increase. Eur. J. Soil Sci. 2014, 65, 149–161. [Google Scholar] [CrossRef]
- Ye, X.F.; Ling, A.F.; Li, Y.J.; Yang, Y.X.; Huang, Y.J.; Chen, X.H.; Liu, G.S. Evaluation of the Soil Fertility in Tobacco—Growing Areas in Henan Province. Chin. J. Soil Sci. 2009, 40, 1303–1307. [Google Scholar]
- Chen, H.X.; Du, Z.L.; Guo, W.; Zhang, Q.Z. Effects of biochar amendment on cropland soil bulk density, cation exchange capacity, and particulate organic matter content in the North China Plain. Chin. J. Appl. Ecol. 2011, 22, 2930–2934. [Google Scholar]
- Kolb, S.E.; Fermanich, K.J.; Dornbush, M.E. Effect of charcoal quantity on microbial biomass and activity in temperate soils. Soil Sci. Soc. Am. J. 2009, 73, 1173–1181. [Google Scholar] [CrossRef]
- Palumbo, A.V.; Porat, I.; Phillips, J.R.; Amonette, J.E.; Drake, M.M.; Brown, S.D.; Schadt, C.W. Leaching of Mixtures of Biochar and Fly Ash. In Proceedings of the World of Coal Ash (WOCA) Conference, Lexington, KY, USA, 4–7 May 2009. [Google Scholar]
- Lu, G.Y.; Zhang, Y.; Wang, X.F.; Meng, Y.L. Effects of carbon-based fertilizers on soil physical properties and corn yield. Hebei Agric. Sci. 2011, 15, 50–53. [Google Scholar]
- Zhao, X.; Cheng, H.T.; Lu, G.H.; Jia, Q.Y. Research progress on soil microbial biomass. J. Meteorol. Environ. 2006, 22, 68–72. [Google Scholar]
- Li, D.P.; Wu, Z.J.; Chen, L.J.; Zhu, P.; Ren, J.; Peng, C.; Liang, C.H. Dynamic Changes of Microbial Biomass Carbon and Its Influencing Factors in Long-term Fertilization Black Soil. Chin. J. Appl. Ecol. 2004, 15, 1334–1338. [Google Scholar]
- Durenkamp, M.; Luo, Y.; Brookes, P.C. Impact of black carbon addition to soil on the determination of soil microbial biomass by fumigation extraction. Soil Biol. Biochem. 2010, 42, 2026–2029. [Google Scholar] [CrossRef]
- O’Neill, B.; Grossman, J.; Tsai, M.T.; Gomes, J.E.; Lehmann, J.; Peterson, J.; Neves, E. ThiesBacterial community composition in Brazilian anthrosols and adjacent soils characterized using culturing and molecular identification. Microb. Ecol. 2009, 58, 23–35. [Google Scholar] [CrossRef]
- Lehmann, J. Biochar for Environmental Management; Joseph, S., Ed.; Earthscan: London, UK, 2009. [Google Scholar]
- Jaafar, N.M.; Clode, P.L.; Abbott, L.K. Microscopy observations of habitable space in biochar for colonization by fungal hyphae from soil. J. Integr. Agric. 2014, 13, 483–490. [Google Scholar] [CrossRef]
- Kielak, A.; Pijl, A.S.; Van, V.; Kowalchuk, J.A. Phylogenetic diversity of Acidobacteria in a former agricultural soil. ISME J. 2009, 3, 378–382. [Google Scholar] [CrossRef]
- Steiner, C.; Teixeira, W.G.; Lehmann, J.; Nehls, T.; Macêdo, J.L.V.; Blum, W.E.H.; Zech, W. Long term effects of manure, charcoal and mineral fertilization on crop production and fertility on a highly weathered central Amazonian upland soil. Plant Soil 2007, 291, 275–290. [Google Scholar] [CrossRef]
- Prendergast-Miller, M.T.; Duvall, M.; Sohi, S.P. Localisation of nitrate in the rhizosphere of biochar—Amended soils. Soil Biol. Biochem. 2011, 43, 2243–2246. [Google Scholar] [CrossRef]
- Prendergast-Miller, M.T.; Duvall, M.; Sohi, S.P. Biochar-root interactions are mediated by biochar nutrient content and impacts on soil nutrient availability. Eur. J. Soil Sci. 2014, 65, 173–185. [Google Scholar] [CrossRef]
- Liu, S.J.; Dou, S. The effects of black carbon on growth of maize and the absorption and leaching of nutrients. J. Soil Water Conserv. 2009, 3, 79–82. [Google Scholar]
- Zhang, W.J.; Li, Z.F.; Zhang, Q.Z.; Du, Z.L.; Ma, M.Y.; Wang, Y.D. Impacts of biochar and nitrogen fertilizer on spinach yield and tissue nitrate content from a pot experiment. J. Agro Environ. Sci. 2011, 30, 1946–1952. [Google Scholar]
- Cappa, C.D.; Onasch, T.B.; Massoli, P.; Worsnop, D.R.; Bates, T.S.; Cross, E.S.; Davidovits, P.; Hakala, J.; Hayden, K.L.; Jobson, B.T.; et al. Radiative absorption enhancements due to the mixing state of atmospheric black carbon. Science 2012, 337, 1078–1081. [Google Scholar] [CrossRef] [PubMed]
- Zhang, A.; Cui, L.; Pan, G.; Li, L.; Hussain, Q.; Zhang, X.; Zheng, J.; Crowley, D. Effect of biochar amendment on yield and methane and nitrous oxide emissions from a rice paddy from Tai Lake plain, China. Agric. Ecosyst. Environ. 2010, 139, 469–475. [Google Scholar] [CrossRef]



| Site | Classification | N | C | S | pH | Alkaline Nitrogen (mg/kg) | Available Phosphorus (mg/kg) | Available Potassium (mg/kg) |
|---|---|---|---|---|---|---|---|---|
| (g/kg) | (g/kg) | (mg/kg) | ||||||
| FUS | Ferralsol | 0.78 | 16.92 | 0.09 | 4.61 | 112.53 | 36.85 | 237.53 |
| HUS | Acrisol | 0.62 | 19.81 | 0.13 | 5.12 | 81.89 | 29.59 | 184.62 |
| HES | Fuvisol | 0.46 | 13.41 | 0.05 | 6.13 | 97.57 | 19.88 | 206.48 |
| HEIS | Phaeozem | 0.81 | 23.26 | 0.07 | 6.95 | 89.48 | 21.61 | 165.45 |
| Variable | Limit of Detection | Biochar |
|---|---|---|
| Specific surface area (m2/g) | 0.7 | 16.72 |
| pH | 0.05 | 8.6 |
| Electrical conductivity, EC (dS/m) | 0.02 | 2.3 |
| Total nitrogen (mg kg−1) | 0.2 | 7.9 |
| Total carbon (mg kg−1) | 4 | 583.4 |
| Ammonium-N (mg kg−1) | 0.2 | 587 |
| Nitrate-N (mg kg−1) | 0.2 | 0.38 |
| Aluminum (g kg−1) | 0.004 | 1.7 |
| Arsenic (mg kg−1) | 4 | <4 |
| Boron (mg kg−1) | 5 | 13 |
| Calcium (g kg−1) | 0.002 | 56 |
| Cadmium (mg kg−1) | 0.3 | <0.15 |
| Cobalt (mg kg−1) | 0.5 | 4.3 |
| Chromium (mg kg−1) | 0.2 | 7.9 |
| Copper (mg kg−1) | 0.3 | 26 |
| Iron (g kg−1) | 0.0004 | 5 |
| Potassium (g kg−1) | 0.005 | 4.1 |
| Magnesium (g kg−1) | 0.0007 | 12.2 |
| Manganese (mg kg−1) | 0.2 | 1893 |
| Molybdenum (mg kg−1) | 0.4 | 1.8 |
| Sodium (g kg−1) | 0.006 | 1.6 |
| Nickel (mg kg−1) | 0.5 | 5.8 |
| Phosphorus (g kg−1) | 0.0002 | 2.3 |
| Lead (mg kg−1) | 2 | 3.7 |
| Sulfur (g kg−1) | 0.0007 | 0.39 |
| Selenium (mg kg−1) | 3 | <3 |
| Zinc (mg kg−1) | 0.6 | 117 |
| Index | Treatments | FUS | HUS | HES | HEIS |
|---|---|---|---|---|---|
| Ρb * (g·cm−3) | CK | 1.28 ± 0.07 aA | 1.03 ± 0.11 abB | 0.89 ± 0.08 aA | 0.82 ± 0.17 abB |
| F | 1.36 ± 0.12 aA | 1.16 ± 0.52 aA | 0.93 ± 0.06 aA | 0.97 ± 0.08 aA | |
| B | 1.14 ± 0.09 bB | 0.89 ± 0.07 bC | 0.82 ± 0.13 aB | 0.74 ± 0.11 bC | |
| Porosity (%) | CK | 46.34 ± 1.36 aB | 52.69 ± 2.58 bB | 62.44 ± 3.04 abB | 72.19 ± 1.01 bB |
| F | 47.25 ± 0.94 aB | 48.16 ± 1.35 cC | 58.19 ± 0.95 bC | 70.43 ± 0.64 bB | |
| B | 49.86 ± 2.01 aA | 58.15 ± 2.19 aA | 67.43 ± 1.17 aA | 79.21 ± 2.92 aA | |
| Conductivity (%) | CK | 36.11 ± 3.18 bB | 29.56 ± 0.48 aB | 41.94 ± 1.02 bC | 38.45 ± 0.69 cC |
| F | 34.98 ± 2.63 bB | 30.54 ± 0.09 aAB | 45.97 ± 0.57 aB | 42.61 ± 0.18 bB | |
| B | 42.19 ± 0.85 aA | 32.94 ± 0.15 aA | 47.85 ± 0.46 aA | 47.15 ± 0.05 aA | |
| Water-holding capacity (μS·cm−1) | CK | 57.21 ± 0.12 aA | 62.89 ± 0.36 aA | 51.92 ± 0.79 aA | 41.97 ± 0.08 aA |
| F | 57.49 ± 0.04 aA | 62.17 ± 0.44 aA | 51.29 ± 0.04 aA | 42.18 ± 0.51 aA | |
| B | 57.77 ± 0.19 aA | 63.08 ± 1.87 aA | 51.94 ± 0.11 aA | 42.66 ± 0.17 aA |
| Index | Treatment | FUS | HUS | HES | HEIS |
|---|---|---|---|---|---|
| pH | CK | 4.79 ± 0.52 bB | 5.31 ± 0.15 bB | 6.21 ± 0.09 aB | 6.88 ± 0.31 aA |
| F | 4.74 ± 0.07 bB | 5.35 ± 0.22 bB | 6.18 ± 0.35 aB | 6.82 ± 0.54 aA | |
| B | 5.02 ± 0.46 aA | 5.74 ± 0.36 aA | 6.45 ± 0.17 aA | 6.93 ± 0.08 aA | |
| A−N (mg kg−1) | CK | 117.25 ± 1.95 aB | 84.59 ± 0.79 bB | 68.46 ± 1.23 bB | 65.82 ± 2.64 aB |
| F | 136.59 ± 3.14 aA | 117.46 ± 2.18 aA | 81.29 ± 2.31 aA | 75.49 ± 0.85 aA | |
| B | 125.84 ± 0.99 aB | 95.84 ± 1.66 bB | 77.54 ± 2.11 aA | 73.51 ± 2.14 aA | |
| A−P (mg kg−1) | CK | 35.94 ± 0.56 bB | 34.91 ± 0.94 bB | 18.64 ± 0.54 bC | 25.64 ± 0.56 bB |
| F | 43.62 ± 0.08 aA | 40.59 ± 1.31 aA | 21.59 ± 1.21 abB | 30.77 ± 0.79 aA | |
| B | 45.58 ± 1.05 aA | 41.66 ± 0.08 aA | 24.61 ± 0.16 aA | 32.19 ± 1.31 aA | |
| A−K (g kg−1) | CK | 237.48 ± 3.95 bC | 178.51 ± 2.94 bB | 195.84 ± 3.64 bC | 148.18 ± 2.11 bB |
| F | 269.62 ± 1.87 aB | 220.16 ± 3.05 aA | 221.61 ± 2.11 aB | 156.04 ± 1.65 aA | |
| B | 283.94 ± 1.16 aA | 225.47 ± 1.04 aA | 230.87 ± 2.97 aA | 161.84 ± 1.77 aA | |
| MBC (mg kg−1) | CK | 406.78 ± 3.65 aB | 487.66 ± 5.47 bC | 309.14 ± 5.88 cC | 457.91 ± 1.59 bB |
| F | 413.97 ± 4.91 aB | 519.64 ± 2.89 abB | 337.84 ± 1.79 bB | 467.28 ± 5.64 bB | |
| B | 441.89 ± 1.96 aA | 557.33 ± 7.01 aA | 369.21 ± 2.07 aA | 495.79 ± 2.91 aA |
| Parameter | MBC | pH | ρb | A−N | A−P | A−K | Root Activity |
|---|---|---|---|---|---|---|---|
| pH | 0.75 ** | ||||||
| ρb * | −0.92 ** | −0.18 | |||||
| A−N | 0.81 ** | 0.73 ** | −0.75 ** | ||||
| A−P | 0.64 ** | 0.31 * | −0.39 * | 0.93 ** | |||
| A−K | 0.96 ** | 0.25 * | −0.81 ** | 0.76 ** | 0.56 ** | ||
| Root activity | 0.61 ** | 0.48 * | −0.94 ** | 0.35 * | 0.71 ** | 0.73 ** | |
| Total root tips | 0.56 ** | 0.88 ** | −0.63 ** | 0.74 ** | 0.83 ** | 0.92 ** | 0.82 ** |
© 2020 by the authors. Licensee MDPI, Basel, Switzerland. This article is an open access article distributed under the terms and conditions of the Creative Commons Attribution (CC BY) license (http://creativecommons.org/licenses/by/4.0/).
Share and Cite
Wang, H.; Ren, T.; Feng, Y.; Liu, K.; Feng, H.; Liu, G.; Shi, H. RETRACTED: Effects of the Application of Biochar in Four Typical Agricultural Soils in China. Agronomy 2020, 10, 351. https://doi.org/10.3390/agronomy10030351
Wang H, Ren T, Feng Y, Liu K, Feng H, Liu G, Shi H. RETRACTED: Effects of the Application of Biochar in Four Typical Agricultural Soils in China. Agronomy. 2020; 10(3):351. https://doi.org/10.3390/agronomy10030351
Chicago/Turabian StyleWang, Huanhuan, Tianbao Ren, Yuqing Feng, Kouzhu Liu, Huilin Feng, Guoshun Liu, and Hongzhi Shi. 2020. "RETRACTED: Effects of the Application of Biochar in Four Typical Agricultural Soils in China" Agronomy 10, no. 3: 351. https://doi.org/10.3390/agronomy10030351
APA StyleWang, H., Ren, T., Feng, Y., Liu, K., Feng, H., Liu, G., & Shi, H. (2020). RETRACTED: Effects of the Application of Biochar in Four Typical Agricultural Soils in China. Agronomy, 10(3), 351. https://doi.org/10.3390/agronomy10030351
