Weather-Based Predictive Modeling of Wheat Stripe Rust Infection in Morocco
Abstract
1. Introduction
2. Materials and Methods
2.1. Study Sites and Weather Data
2.2. Wheat Stripe Rust Incidence and Severity Assessment
2.3. Development of the Weather-Based Model for Predicting WSR Infection Events
2.4. Model Calibration and Evaluations
3. Results and Discussion
3.1. Weather Conditions during the Study Period
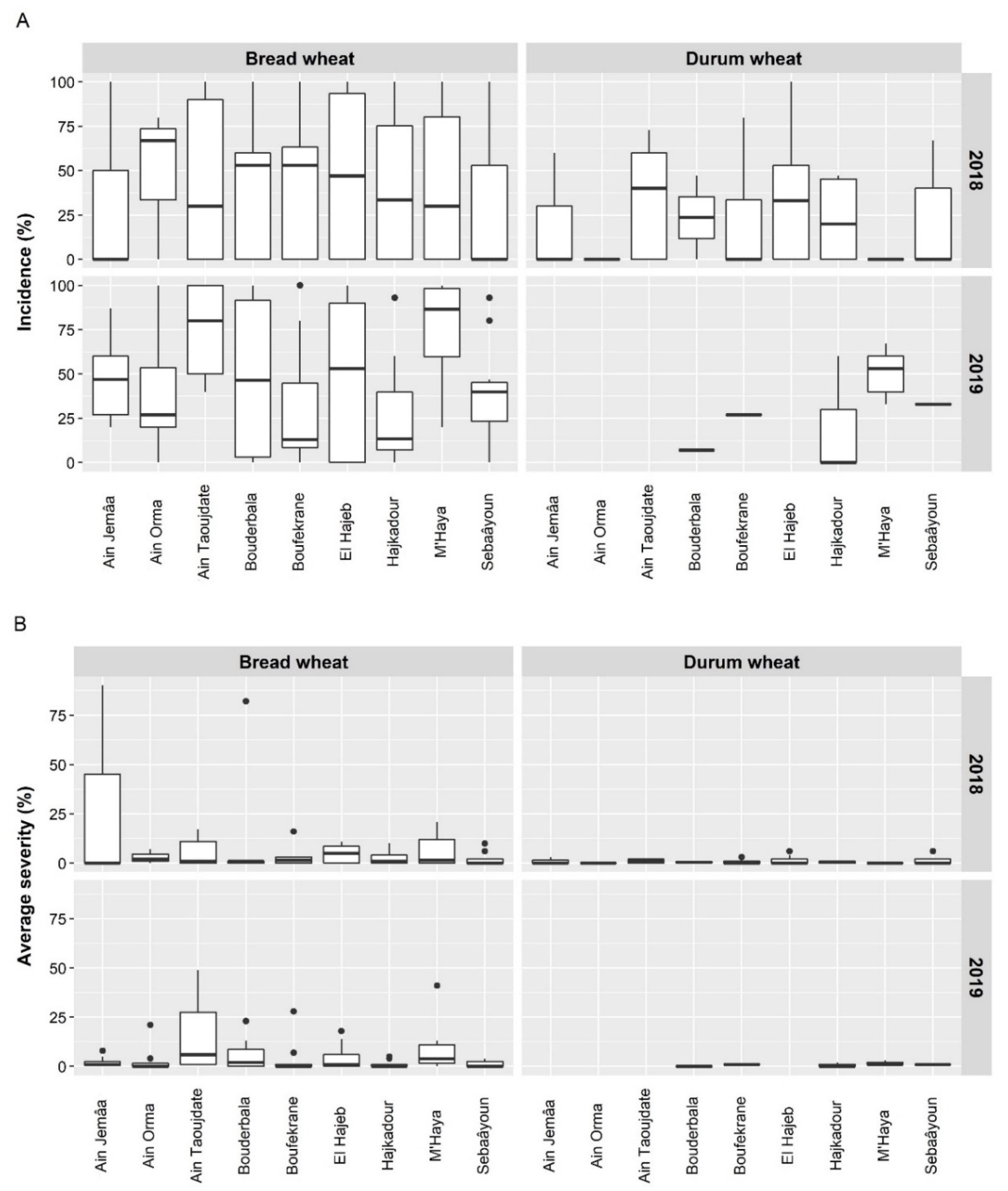
3.2. Incidence and Severity of Wheat Stripe Rust during the Survey
3.3. Weather Conditions Conducive to Infections by Puccinia Striiformis at the Moroccan Sites
3.4. Performance of the Weather-Based Model for Predicting WSR Infection Events
4. Conclusions
Supplementary Materials
Author Contributions
Funding
Acknowledgments
Conflicts of Interest
References
- Singh, R.P.; Hodson, D.P.; Huerta-Espino, J.; Jin, Y.; Njau, P.; Wanyera, R.; Herrera-Foessel, S.A.; Ward, R.W. Will Stem Rust Destroy the World’s Wheat Crop? In Advances in Agronomy; Academic Press: Cambridge, MA, USA, 2008; Volume 98, pp. 271–309. [Google Scholar]
- Dean, R.; Van Kan, J.A.L.; Pretorius, Z.A.; Hammond-Kosack, K.E.; Di Pietro, A.; Spanu, P.D.; Rudd, J.J.; Dickman, M.; Kahmann, R.; Ellis, J.; et al. The top 10 fungal pathogens in molecular plant pathology. Mol. Plant Pathol. 2012, 13, 414–430. [Google Scholar] [CrossRef] [PubMed]
- Pardey, P.G.; Beddow, J.M.; Kriticos, D.J.; Hurley, T.M.; Park, R.F.; Duveiller, E.; Sutherst, R.W.; Burdon, J.J.; Hodson, D. Right-sizing stem-rust research. Science 2013, 340, 147–148. [Google Scholar] [CrossRef] [PubMed]
- Singh, R.P.; Singh, P.K.; Rutkoski, J.; Hodson, D.P.; He, X.; Jørgensen, L.N.; Hovmøller, M.S.; Huerta-Espino, J. Disease impact on wheat yield potential and prospects of genetic control. Annu. Rev. Phytopathol. 2016, 54, 303–322. [Google Scholar] [CrossRef] [PubMed]
- Beddow, J.M.; Pardey, P.G.; Chai, Y.; Hurley, T.M.; Kriticos, D.J.; Braun, J.-C.; Park, R.F.; Cuddy, W.S.; Yonow, T. Research investment implications of shifts in the global geography of wheat stripe rust. Nat. Plants 2015, 1, 15132. [Google Scholar] [CrossRef] [PubMed]
- Khanfri, S.; Boulif, M.; Lahlali, R. Yellow rust (Puccinia striiformis): a serious threat to wheat production worldwide. Not. Sci. Biol. 2018, 10. [Google Scholar] [CrossRef]
- Hovmøller, M.S.; Walter, S.; Justesen, A.F. Escalating threat of wheat rusts. Science 2010, 329, 369. [Google Scholar] [CrossRef]
- Hovmøller, M.S.; Walter, S.; Bayles, R.A.; Hubbard, A.; Flath, K.; Sommerfeldt, N.; Leconte, M.; Czembor, P.; Rodriguez-Algaba, J.; Thach, T.; et al. Replacement of the European wheat yellow rust population by new races from the centre of diversity in the near-Himalayan region. Plant Pathol. 2016, 65, 402–411. [Google Scholar] [CrossRef]
- Hovmøller, M.S.; Rodriguez-Algaba, J.; Thach, T.; Sørensen, C. Race typing of Puccinia striiformis on wheat. In Methods in Molecular Biology; Periyannan, S., Ed.; Humana Press: New York, NY, USA, 2017. [Google Scholar]
- Ali, S.; Rodriguez-Algaba, J.; Thach, T.; Sørensen, C.K.; Hansen, J.G.; Lassen, P.; Nazari, K.; Hodson, D.P.; Justesen, A.F.; Hovmøller, M.S. Yellow rust epidemics worldwide were caused by pathogen races from divergent genetic lineages. Front. Plant Sci. 2017, 8, 1057. [Google Scholar] [CrossRef]
- Ezzahiri, B.; Yahyaoui, A.; Hovmøller, M.S. An analysis of the 2009 Epidemic of yellow rust on wheat in Morocco. In Proceedings of the 4th Regional Yellow Rust Conference for Central and West Asia and North Africa, Antalya, Turkey, 10–12 October 2009. [Google Scholar]
- Mert, Z.; Nazari, K.; Karagöz, E.; Akan, K.; Öztürk, İ.; Tülek, A. First incursion of the Warrior race of wheat stripe rust (Puccinia striiformis f. sp. tritici) to Turkey in 2014. Plant Dis. 2015, 100, 528. [Google Scholar] [CrossRef]
- Milus, E.A.; Kristensen, K.; Hovmøller, M.S. Evidence for increased aggressiveness in a recent widespread strain of Puccinia striiformis f.sp. tritici causing stripe rust of wheat. Phytopathology 2009, 99, 89–94. [Google Scholar] [CrossRef]
- Te Beest, D.E.; Paveley, N.D.; Shaw, M.W.; van den Bosch, F. Disease–weather relationships for powdery mildew and yellow rust on winter wheat. Phytopathology 2008, 98, 609–617. [Google Scholar] [CrossRef]
- El Jarroudi, M.; Kouadio, L.; Bock, C.H.; El Jarroudi, M.; Junk, J.; Pasquali, M.; Maraite, H.; Delfosse, P. A threshold-based weather model for predicting stripe rust infection in winter wheat. Plant Dis. 2017, 101, 693–703. [Google Scholar] [CrossRef]
- Zadoks, J.C. Yellow rust on wheat: Studies in epidemiology and physiologic specialisation. Tijdschr.Planteziekten 1961, 67, 69–256. [Google Scholar] [CrossRef]
- Gladders, P.; Langton, S.D.; Barrie, I.A.; Taylor, M.C.; Paveley, N.D. The importance of weather and agronomic factors for the overwinter survival of yellow rust (Puccinia striiformis) and subsequent disease risk in commercial wheat crops in England. Ann. Appl. Biol. 2007, 150, 371–382. [Google Scholar] [CrossRef]
- Hovmoller, M.S.; Justesen, A.F.; Brown, J.K.M. Clonality and long-distance migration of Puccinia striiformis f.sp. tritici in north-west Europe. Plant Pathol. 2002, 51, 24–32. [Google Scholar] [CrossRef]
- Hovmøller, M.S. Sources of seedling and adult plant resistance to Puccinia striiformis f.sp. tritici in European wheats. Plant Breed. 2007, 126, 225–233. [Google Scholar] [CrossRef]
- Hovmøller, M.S.; Justesen, A.F. Rates of evolution of avirulence phenotypes and DNA markers in a northwest European population of Puccinia striiformis f. sp tritici. Mol. Ecol. 2007, 16, 4637–4647. [Google Scholar] [CrossRef]
- Jin, Y.; Szabo, L.J.; Carson, M. Century-old mystery of Puccinia striiformis life history solved with the identification of Berberis as an alternate host. Phytopathology 2010, 100, 432–435. [Google Scholar] [CrossRef]
- Rodriguez-Algaba, J.; Walter, S.; Sørensen, C.K.; Hovmøller, M.S.; Justesen, A.F. Sexual structures and recombination of the wheat rust fungus Puccinia striiformis on Berberis vulgaris. Fungal Genet. Biol. 2014, 70, 77–85. [Google Scholar] [CrossRef]
- Zhao, J.; Wang, L.; Wang, Z.; Chen, X.; Zhang, H.; Yao, J.; Zhan, G.; Chen, W.; Huang, L.; Kang, Z. Identification of eighteen Berberis species as alternate hosts of Puccinia striiformis f. sp. tritici and virulence variation in the pathogen isolates from natural infection of barberry plants in China. Phytopathology 2013, 103, 927–934. [Google Scholar] [CrossRef]
- Rodriguez-Algaba, J.; Hovmøller, M.S.; Justesen, A.F. Sexual recombination within the “Kranich” race of the yellow rust fungus Puccinia striiformis f.sp. tritici on Berberis vulgaris. Eur. J. Plant Pathol. 2020. [Google Scholar] [CrossRef]
- FAO. GIEWS Country Brief: Morocco; Food and Agriculture Organization of the United Nations (FAO): Rome, Italy, 2018. [Google Scholar]
- Tidiane Sall, A.; Chiari, T.; Legesse, W.; Seid-Ahmed, K.; Ortiz, R.; van Ginkel, M.; Bassi, M.F. Durum wheat (Triticum durum Desf.): Origin, cultivation and potential expansion in Sub-Saharan Africa. Agronomy 2019, 9, 263. [Google Scholar] [CrossRef]
- Ministry of Agriculture and Fisheries. Kingdom of Morocco Ministry of Agriculture and Fisheries-Department of Agriculture. Available online: http://www.agriculture.gov.ma/en/ (accessed on 29 January 2020).
- USDA. Morocco. Grain and Feed Annual-2016 Annual Report. United States Department of Agriculture (USDA) Foreign Agricultural Service, Gobal Agricultural Information Network (GAIN). GAIN Report number: MO1602. Date: 30 March 2016. Available online: https://apps.fas.usda.gov/newgainapi/api/report/downloadreportbyfilename?filename=Grain%20and%20Feed%20Annual_Rabat_Morocco_3-30-2016.pdf (accessed on 29 January 2020).
- USDA. Morocco. Grain and Feed Annual-Early returns turn to losses after three-month drought. United States Department of Agriculture (USDA) Foreign Agricultural Service, Gobal Agricultural Information Network (GAIN). GAIN Report number: MO1912. Date: 4 December 2019. Available online: https://apps.fas.usda.gov/newgainapi/api/report/downloadreportbyfilename?filename=Grain%20and%20Feed%20Annual_Rabat_Morocco_4-12-2019.pdf (accessed on 29 January 2020).
- Ramdani, A.; Nazari, K.; Hodson, D.; Thach, T.; Algaba, J.R.; Hovmøller, M.S. Outbreak of wheat yellow rust disease under Moroccan conditions during 2016-2017 cropping season. In Proceedings of the 2018 Borlaug Global Rust Initiative (BGRI) Technical Workshop, Marrakech, Morocco, 14–17 April 2018. [Google Scholar]
- De Vallavieille-Pope, C.; Huber, L.; Leconte, M.; Goyau, H. Comparative effects of temperature and interrupted wet periods on germination, penetration and infection of Puccinia recondita f.sp. tritici and P. striiformis on wheat seedlings. Phytopathology 1995, 85, 409–415. [Google Scholar] [CrossRef]
- De Vallavieille-Pope, C.; Giosue, S.; Munk, L.; Newton, A.C.; Niks, R.E.; Østergård, H.; Pons-kühnemann, J.; Rossi, V.; Sache, I. Assessment of epidemiological parameters and their use in epidemiological and forecasting models of cereal airborne diseases. Agron. Sustain. Dev. 2000, 20, 715–727. [Google Scholar] [CrossRef]
- de Vallavieille-Pope, C.; Bahri, B.; Leconte, M.; Zurfluh, O.; Belaid, Y.; Maghrebi, E.; Huard, F.; Huber, L.; Launay, M.; Bancal, M.O. Thermal generalist behaviour of invasive Puccinia striiformis f. sp. tritici strains under current and future climate conditions. Plant Pathol. 2018, 67, 1307–1320. [Google Scholar] [CrossRef]
- Newlands, N.K. Model-based forecasting of agricultural crop disease risk at the regional scale, integrating airborne inoculum, environmental, and satellite-based monitoring data. Front. Environ. Sci. 2018, 6. [Google Scholar] [CrossRef]
- Line, R.F. Stripe rust of wheat and barley in North America: A retrospective historical review. Annu. Rev. Phytopathol. 2002, 40, 75–118. [Google Scholar] [CrossRef]
- Coakley, S.M.; McDaniel, L.R.; Line, R.F. Quantifying how climatic factors affect variation in plant disease severity: A general method using a new way to analyze meteorological data. Clim. Chang. 1988, 12, 57–75. [Google Scholar] [CrossRef]
- Coakley, S.M.; Line, R.F.; McDaniel, L.R. Predicting stripe rust severity on winter wheat using an improved method for analyzing meteorological and rust data. Phytopathology 1988, 78, 543–550. [Google Scholar] [CrossRef]
- El Jarroudi, M.; Kouadio, L.; Beyer, M.; Junk, J.; Hoffmann, L.; Tychon, B.; Maraite, H.; Bock, C.H.; Delfosse, P. Economics of a decision–support system for managing the main fungal diseases of winter wheat in the Grand-Duchy of Luxembourg. Field Crops Res. 2015, 172, 32–41. [Google Scholar] [CrossRef]
- Gommes, R.; El Hairech, T.; Rosillon, D.; Balaghi, R.; Kanamaru, H. Impact of Climate Change on Agricultural Yields in Morocco; Food and Agriculture Organization of the United Nations (FAO): Rome, Italy, 2007. [Google Scholar]
- Doutreloup, S.; Wyard, C.; Amory, C.; Kittel, C.; Erpicum, M.; Fettweis, X. Sensitivity to convective schemes on precipitation simulated by the regional climate model MAR over Belgium (1987–2017). Atmosphere 2019, 10, 34. [Google Scholar] [CrossRef]
- Doutreloup, S.; Kittel, C.; Wyard, C.; Belleflamme, A.; Amory, C.; Erpicum, M.; Fettweis, X. Precipitation evolution over Belgium by 2100 and sensitivity to convective schemes using the regional climate model MAR. Atmosphere 2019, 10, 321. [Google Scholar] [CrossRef]
- Peterson, R.F.; Campbell, A.B.; Hannah, A.E. A diagrammatic scale for estimating rust intensity on leaves and stems of cereals. Can. J. Res. 1948, 26c, 496–500. [Google Scholar] [CrossRef]
- Dennis, J.I. Temperature and wet-period conditions for infection by Puccinia striiformis f.sp. tritici race 104E137A +. Trans. Br. Mycol. Soc. 1987, 88, 119–121. [Google Scholar] [CrossRef]
- Zadoks, J.C. Systems analysis and the dynamics of epidemics. Phytopathology 1971, 61, 600–610. [Google Scholar] [CrossRef]
- FAO. GIEWS Country Brief: Morocco; Food and Agriculture Organization of the United Nations (FAO): Rome, Italy, 2019. [Google Scholar]
- Crown, M.D. Validation of the NOAA Space Weather Prediction Center’s solar flare forecasting look-up table and forecaster-issued probabilities. Space Weather 2012, 10, S06006. [Google Scholar] [CrossRef]
- El Jarroudi, M.; Delfosse, P.; Maraite, H.; Hoffmann, L.; Tychon, B. Assessing the accuracy of simulation model for Septoria leaf blotch disease progress on winter wheat. Plant Dis. 2009, 93, 983–992. [Google Scholar] [CrossRef]
- Hodson, D. Morocco Rust Survey Summary-Leaf Rust and Yellow Rust Both Widespread; RustTracker.org-A global wheat rust monitoring system:CIMMYT-Ethiopia: Addis Ababa, Ethiopia, 2010. [Google Scholar]
- Rharrabti, Y.; Elhani, S. Using path analysis to evaluate breeding progress in grain yield and related characters of durum wheat in Morocco. Int. J. Inn. Appl. St. 2014, 9, 1224. [Google Scholar]
- Rapilly, F. Yellow rust epidemiology. Annu. Rev. Phytopathol. 1979, 17, 59–73. [Google Scholar] [CrossRef]
- Sache, I. Short-distance dispersal of wheat rust spores. Agronomie 2000, 20, 757–767. [Google Scholar] [CrossRef]
- Chen, X. Epidemiology and control of stripe rust [Puccinia striiformis f. sp. tritici] on wheat. Can. J. Plant Pathol. 2005, 27, 314–337. [Google Scholar] [CrossRef]
- Chen, X. High-temperature adult-plant resistance, key for sustainable control of stripe rust. Am. J. Plant Sci. 2013, 4, 608. [Google Scholar] [CrossRef]







| Bread Wheat | Durum Wheat | ||||||
|---|---|---|---|---|---|---|---|
| Location | Year | Observation Date | Growth Stage | N.F 1 | Growth Stage | N.F | Total N.F | 
| Ain Jemâa | 2018 | 23 May | n.a. 2 | 3 | n.a. | 3 | 6 | 
| 2019 | 6 May | Milk stage–Dough stage | 11 | 0 | 11 | ||
| Ain Orma | 2018 | 7–14 May | n.a. | 3 | n.a. | 1 | 4 | 
| 2019 | 7 May | Milk stage–Dough stage | 11 | 0 | 11 | ||
| Ain Taoujdate | 2018 | 24 May | n.a. | 6 | n.a. | 9 | 15 | 
| 2019 | 25 April | Milk stage–Dough stage | 11 | 0 | 11 | ||
| Bouderbala | 2018 | 27 April; 16 May | n.a. | 5 | n.a. | 2 | 7 | 
| 2019 | 11-April | Heading–Flowering | 10 | Flowering | 1 | 11 | |
| Boufekrane | 2018 | 14–15 May | n.a. | 8 | n.a. | 7 | 15 | 
| 2019 | 9-April | Booting–Heading–Flowering | 10 | Heading | 1 | 11 | |
| El Hajeb | 2018 | 26 April; 7–9 May | n.a. | 7 | n.a. | 13 | 20 | 
| 2019 | 4 April | Tillering–Booting/Heading–Flowering | 11 | 0 | 11 | ||
| Hajkadour | 2018 | 26 April–7 May | n.a. | 4 | n.a. | 6 | 10 | 
| 2019 | 2 April | Heading–Flowering | 8 | Heading—Flowering | 3 | 11 | |
| M’Haya | 2018 | 23 May | n.a. | 6 | n.a. | 1 | 7 | 
| 2019 | 3 May | Milk stage–Dough stage | 6 | Milk stage—Dough stage | 5 | 11 | |
| Sebaâyoun | 2018 | 26 April; 7–9 May | n.a. | 9 | n.a. | 5 | 14 | 
| 2019 | 16 April | Flowering–Milk stage | 10 | Milk stage | 1 | 11 | |
| Total 2018 | 51 | 47 | 98 | ||||
| Total 2019 | 88 | 11 | 99 | ||||
| Variable | Class | ||||||
|---|---|---|---|---|---|---|---|
| Temperature (°C) | T <0 | 0< T ≤ 4 | 4< T ≤ 8 | 8< T ≤ 12 | 12< T ≤ 16 | 16< T ≤ 20 | T > 18 | 
| Relative humidity (%) | RH ≤ 60 | 60 < RH ≤ 75 | 75 < RH ≤ 85 | 85 < RH ≤ 90 | RH > 90 | ||
| Rainfall (mm) | R = 0 | 0 < R ≤ 1 | 1 < R ≤ 5 | R > 5 | 
| Minimum of 4 Continuous Hours | Minimum of 8 Continuous Hours | ||||||
|---|---|---|---|---|---|---|---|
| Threshold 1 | Combination Class 2 | POD 3 | FAR 4 | CSI 5 | POD | FAR | CSI | 
| 5% | C1 | 1.00 | 0.20 | 0.80 | 1.00 | 0.30 | 0.70 | 
| C2 | 1.00 | 0.48 | 0.52 | 1.00 | 0.57 | 0.43 | |
| C3 | 1.00 | 0.83 | 0.17 | 1.00 | 0.85 | 0.15 | |
| C4 | 1.00 | 0.95 | 0.05 | 1.00 | 0.97 | 0.03 | |
| C5 | 0.00 | 1.00 | 0.00 | 0.00 | 1.00 | 0.00 | |
| 10% | C1 | 1.00 | 0.30 | 0.70 | 1.00 | 0.40 | 0.60 | 
| C2 | 1.00 | 0.63 | 0.37 | 1.00 | 0.75 | 0.25 | |
| C3 | 1.00 | 0.88 | 0.12 | 1.00 | 0.92 | 0.08 | |
| C4 | 1.00 | 0.97 | 0.03 | 1.00 | 0.98 | 0.02 | |
| C5 | 0.00 | 1.00 | 0.00 | 0.00 | 1.00 | 0.00 | |
| 15% | C1 | 1.00 | 0.45 | 0.55 | 1.00 | 0.55 | 0.45 | 
| C2 | 1.00 | 0.78 | 0.22 | 1.00 | 0.93 | 0.07 | |
| C3 | 1.00 | 0.93 | 0.07 | 1.00 | 0.95 | 0.05 | |
| C4 | 0.00 | 1.00 | 0.00 | 0.00 | 1.00 | 0.00 | |
| C5 | 0.00 | 1.00 | 0.00 | 0.00 | 1.00 | 0.00 | |
| 20% | C1 | 1.00 | 0.57 | 0.43 | 1.00 | 0.67 | 0.33 | 
| C2 | 1.00 | 0.88 | 0.12 | 1.00 | 0.98 | 0.02 | |
| C3 | 1.00 | 0.97 | 0.03 | 1.00 | 0.97 | 0.03 | |
| C4 | 0.00 | 1.00 | 0.00 | 0.00 | 1.00 | 0.00 | |
| C5 | 0.00 | 1.00 | 0.00 | 0.00 | 1.00 | 0.00 | |
| 25% | C1 | 1.00 | 0.67 | 0.33 | 1.00 | 0.73 | 0.27 | 
| C2 | 1.00 | 0.97 | 0.03 | 1.00 | 0.98 | 0.02 | |
| C3 | 1.00 | 0.97 | 0.03 | 1.00 | 0.98 | 0.02 | |
| C4 | 0.00 | 1.00 | 0.00 | 0.00 | 1.00 | 0.00 | |
| C5 | 0.00 | 1.00 | 0.00 | 0.00 | 1.00 | 0.00 | |
| 30% | C1 | 1.00 | 0.73 | 0.27 | 1.00 | 0.75 | 0.25 | 
| C2 | 1.00 | 0.98 | 0.02 | 1.00 | 0.98 | 0.02 | |
| C3 | 1.00 | 0.97 | 0.03 | 1.00 | 0.98 | 0.02 | |
| C4 | 0.00 | 1.00 | 0.00 | 0.00 | 1.00 | 0.00 | |
| C5 | 0.00 | 1.00 | 0.00 | 0.00 | 1.00 | 0.00 | |
| 35% | C1 | 1.00 | 0.78 | 0.22 | 1.00 | 0.78 | 0.22 | 
| C2 | 1.00 | 0.98 | 0.02 | 1.00 | 0.98 | 0.02 | |
| C3 | 0.00 | 1.00 | 0.00 | 0.00 | 1.00 | 0.00 | |
| C4 | 0.00 | 1.00 | 0.00 | 0.00 | 1.00 | 0.00 | |
| C5 | 0.00 | 1.00 | 0.00 | 0.00 | 1.00 | 0.00 | |
| SO 1 | SNO 2 | NSO 3 | POD 4 | FAR 5 | CSI 6 | ||
|---|---|---|---|---|---|---|---|
| Calibration | Bread wheat | 57 | 17 | 0 | 1.00 | 0.23 | 0.77 | 
| Durum wheat | 27 | 18 | 0 | 1.00 | 0.40 | 0.60 | |
| Model evaluation #1 | Bread wheat | 40 | 6 | 0 | 1.00 | 0.13 | 0.87 | 
| Durum wheat | 28 | 13 | 0 | 1.00 | 0.32 | 0.68 | |
| Model evaluation #2 | Bread wheat | 24 | 2 | 2 | 0.92 | 0.10 | 0.86 | 
| Durum wheat | 5 | 1 | 0 | 1.00 | 0.17 | 0.83 | 
© 2020 by the authors. Licensee MDPI, Basel, Switzerland. This article is an open access article distributed under the terms and conditions of the Creative Commons Attribution (CC BY) license (http://creativecommons.org/licenses/by/4.0/).
Share and Cite
El Jarroudi, M.; Lahlali, R.; Kouadio, L.; Denis, A.; Belleflamme, A.; El Jarroudi, M.; Boulif, M.; Mahyou, H.; Tychon, B. Weather-Based Predictive Modeling of Wheat Stripe Rust Infection in Morocco. Agronomy 2020, 10, 280. https://doi.org/10.3390/agronomy10020280
El Jarroudi M, Lahlali R, Kouadio L, Denis A, Belleflamme A, El Jarroudi M, Boulif M, Mahyou H, Tychon B. Weather-Based Predictive Modeling of Wheat Stripe Rust Infection in Morocco. Agronomy. 2020; 10(2):280. https://doi.org/10.3390/agronomy10020280
Chicago/Turabian StyleEl Jarroudi, Moussa, Rachid Lahlali, Louis Kouadio, Antoine Denis, Alexandre Belleflamme, Mustapha El Jarroudi, Mohammed Boulif, Hamid Mahyou, and Bernard Tychon. 2020. "Weather-Based Predictive Modeling of Wheat Stripe Rust Infection in Morocco" Agronomy 10, no. 2: 280. https://doi.org/10.3390/agronomy10020280
APA StyleEl Jarroudi, M., Lahlali, R., Kouadio, L., Denis, A., Belleflamme, A., El Jarroudi, M., Boulif, M., Mahyou, H., & Tychon, B. (2020). Weather-Based Predictive Modeling of Wheat Stripe Rust Infection in Morocco. Agronomy, 10(2), 280. https://doi.org/10.3390/agronomy10020280
 
        



 
       